Machine Learning Models for Assistance from Soft Robotic Elbow Exoskeleton to Reduce Musculoskeletal Disorders
Abstract
1. Introduction
- A relationship between pressure, weight, and bending angle is established using experimental data from the soft pneumatic elbow exoskeleton.
- Various machine learning models are applied and evaluated based on their accuracy and computational efficiency.
- A novel hybrid machine learning model (KNN-Linear) is proposed, demonstrating superior performance compared to other evaluated models.
2. Soft Robotic Elbow Exoskeleton
3. Problem Statement
4. Machine Learning Models
4.1. Data Collection and Pre-Processing
4.2. Different Regression ML Models
4.2.1. Linear Regression with Regularization
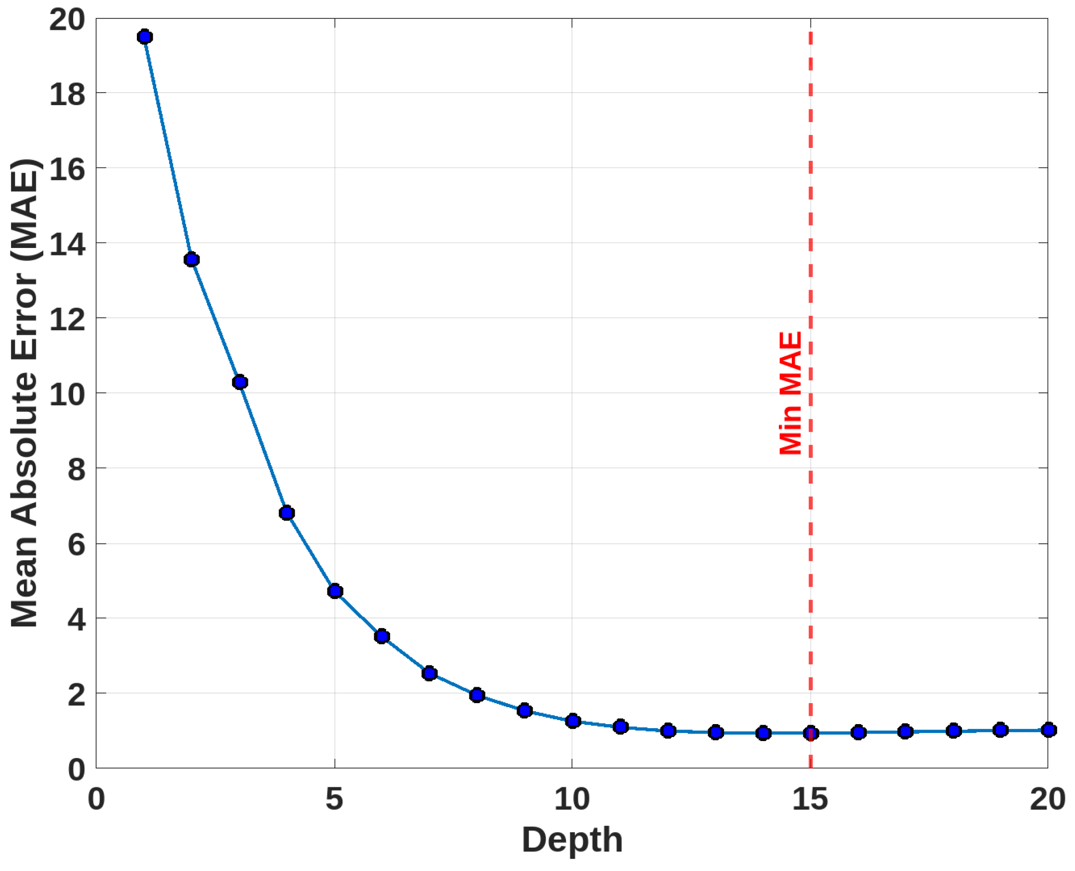
4.2.2. K-Nearest Neighbor
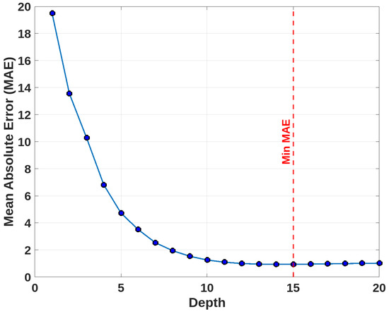
4.2.3. Decision Tree
4.2.4. Random Forest
4.2.5. Extra Trees
4.2.6. Multi-Layer Perceptron
4.2.7. Kolmogorov–Arnold Network
4.2.8. KNN-Linear Regression Hybrid
5. Results and Discussion
6. Conclusions
Author Contributions
Funding
Institutional Review Board Statement
Informed Consent Statement
Data Availability Statement
Acknowledgments
Conflicts of Interest
References
- Triwiyanto, T.; Yulianto, E.; Mak’ruf, M.R.; Titisari, D.; Rahmawati, T.; Luthfiyah, S.; Hamzah, T.; Syaifudin, S.; Wisana, I.D.G.H. A Review on Robotic Hand Exoskeleton Devices: State-of-the-Art Method. In Proceedings of the 1st International Conference on Electronics, Biomedical Engineering, and Health Informatics: ICEBEHI, Surabaya, Indonesia, 8–9 October 2020; Springer: Singapore, 2021; pp. 331–341. [Google Scholar]
- Chen, J.; Yu, Z.; Zuo, Z.; Yan, G.; Cheng, Y. Human Intention Recognition for Lower Limb Exoskeleton Robot. In Chinese Intelligent Systems Conference; Springer Nature: Singapore, 2023; pp. 353–368. [Google Scholar]
- Inoue, Y.; Kuroda, Y.; Yamanoi, Y.; Yabuki, Y.; Yokoi, H. Development of Wrist Separated Exoskeleton Socket of Myoelectric Prosthesis Hand for Symbrachydactyly. Cyborg Bionic Syst. 2024, 5, 0141. [Google Scholar] [CrossRef] [PubMed]
- Liang, F.; Mo, L.; Sun, Y.; Guo, C.; Gao, F.; Liao, W.H.; Cao, J.; Li, B.; Song, Z.; Wang, D.; et al. Interlimb and Intralimb Synergy Modeling for Lower Limb Assistive Devices: Modeling Methods and Feature Selection. Cyborg and Bionic Systems 2024, 5, 0122. [Google Scholar] [CrossRef]
- Yu, F.; Liu, Y.; Wu, Z.; Tan, M.; Yu, J. Adaptive gait training of a lower limb rehabilitation robot based on human–robot interaction force measurement. Cyborg Bionic Syst. 2024, 5, 0115. [Google Scholar] [CrossRef]
- Kim, D.; Kim, S.-H.; Kim, T.; Kang, B.B.; Lee, M.; Park, W.; Ku, S.; Kim, D.; Kwon, J.; Lee, H.; et al. Review of machine learning methods in soft robotics. PLoS ONE 2021, 16, e0246102. [Google Scholar] [CrossRef] [PubMed]
- Chin, K.; Hellebrekers, T.; Majidi, C. Machine learning for soft robotic sensing and control. Adv. Intell. Syst. 2020, 2, 1900171. [Google Scholar] [CrossRef]
- Ben-Tzvi, P.; Danoff, J.; Ma, Z. The design evolution of a sensing and force-feedback exoskeleton robotic glove for hand rehabilitation application. J. Mech. Robot. 2016, 8, 051019. [Google Scholar] [CrossRef]
- Laksono, P.W.; Kitamura, T.; Muguro, J.; Matsushita, K.; Sasaki, M.; Amri bin Suhaimi, M.S. Minimum mapping from EMG signals at human elbow and shoulder movements into two DoF upper-limb robot with machine learning. Machines 2021, 9, 56. [Google Scholar] [CrossRef]
- Chen, X.; Gong, L.; Zheng, L.; Zou, Z. Soft exoskeleton glove for hand assistance based on human-machine interaction and machine learning. In Proceedings of the 2020 IEEE International Conference on Human-Machine Systems (ICHMS), Rome, Italy, 7–9 September 2020; IEEE: Piscataway, NJ, USA, 2020; pp. 1–6. [Google Scholar]
- Jung, J.Y.; Heo, W.; Yang, H.; Park, H. A neural network-based gait phase classification method using sensors equipped on lower limb exoskeleton robots. Sensors 2015, 15, 27738–27759. [Google Scholar] [CrossRef] [PubMed]
- Ng, Y.L.; Jiang, X.; Zhang, Y.; Shin, S.B.; Ning, R. Automated Activity Recognition with Gait Positions Using Machine Learning Algorithms. Eng. Technol. Appl. Sci. Res. 2019, 9, 4. [Google Scholar] [CrossRef]
- Thakur, N.; Han, C.Y. Exoskeleton-based multimodal action and movement recognition: Identifying and developing the optimal boosted learning approach. arXiv 2021, arXiv:2106.10331. [Google Scholar] [CrossRef]
- Zheng, Y.; Song, Q.; Liu, J.; Song, Q.; Yue, Q. Research on motion pattern recognition of exoskeleton robot based on multimodal machine learning model. Neural Comput. Appl. 2020, 32, 1869–1877. [Google Scholar] [CrossRef]
- Lee, T.; Kim, I.; Lee, S.H. Estimation of the continuous walking angle of knee and ankle (talocrural joint, subtalar joint) of a lower-limb exoskeleton robot using a neural network. Sensors 2021, 21, 2807. [Google Scholar] [CrossRef] [PubMed]
- Chen, Y.; Yang, Z.; Wen, Y. A soft exoskeleton glove for hand bilateral training via surface emg. Sensors 2021, 21, 578. [Google Scholar] [CrossRef]
- Xiao, Z.G.; Elnady, A.M.; Menon, C. Control an exoskeleton for forearm rotation using FMG. In Proceedings of the 5th IEEE RAS/EMBS International Conference on Biomedical Robotics and Biomechatronics, Sao Paulo, Brazil, 12–15 August 2014; IEEE: Piscataway, NJ, USA, 2014; pp. 591–596. [Google Scholar]
- Sierotowicz, M.; Lotti, N.; Nell, L.; Missiroli, F.; Alicea, R.; Zhang, X.; Xiloyannis, M.; Rupp, R.; Papp, E.; Krzywinski, J.; et al. EMG-driven machine learning control of a soft glove for grasping assistance and rehabilitation. IEEE Robot. Autom. Lett. 2022, 7, 1566–1573. [Google Scholar] [CrossRef]
- Erel, V.; Singh, I.; Lindsay, A.R.; Shi, W.Y.; Wijesundara, M.B. Development and Characterization of a Modular Soft Actuator Enabled Elbow Exoskeleton for Assistive Movements. In Proceedings of the International Design Engineering Technical Conferences and Computers and Information in Engineering Conference, Virtual, 17–20 August 2021; American Society of Mechanical Engineers: New York, NY, USA, 2021; Volume 85444, p. V08AT08A046. [Google Scholar]
- Subasi, A. Practical Machine Learning for Data Analysis Using Python; Academic Press: Cambridge, MA, USA, 2020. [Google Scholar]
- Owen, L. Hyperparameter Tuning with Python: Boost your Machine Learning Model’s Performance via Hyperparameter Tuning; Packt Publishing Ltd.: Birmingham, UK, 2022. [Google Scholar]
- Muthukrishnan, R.; Rohini, R. LASSO: A feature selection technique in predictive modeling for machine learning. In Proceedings of the 2016 IEEE International Conference on Advances in Computer Applications (ICACA), Coimbatore, India, 24 October 2016; IEEE: Piscataway, NJ, USA, 2016; pp. 18–20. [Google Scholar]
- Hackeling, G. Mastering Machine Learning with Scikit-Learn; Packt Publishing Ltd.: Birmingham, UK, 2017. [Google Scholar]
- James, G.; Witten, D.; Hastie, T.; Tibshirani, R.; Taylor, J. Tree-based methods. In An Introduction to Statistical Learning: With Applications in Python; Springer International Publishing: Cham, Switzerland, 2023; pp. 331–366. [Google Scholar]
- Salam, M.A.; Azar, A.T.; Elgendy, M.S.; Fouad, K.M. The effect of different dimensionality reduction techniques on machine learning overfitting problem. Int. J. Adv. Comput. Sci. Appl. 2021, 12, 641–655. [Google Scholar] [CrossRef]
- Altman, N.; Krzywinski, M. Ensemble methods: Bagging and random forests. Nat. Methods 2017, 14, 933–935. [Google Scholar] [CrossRef]
- Geurts, P.; Ernst, D.; Wehenkel, L. Extremely randomized trees. Mach. Learn. 2006, 63, 3–42. [Google Scholar] [CrossRef]
- Dongare, A.D.; Kharde, R.R.; Kachare, A.D. Introduction to artificial neural network. Int. J. Eng. Innov. Technol. (IJEIT) 2012, 2, 189–194. [Google Scholar]
- Chen, S.A.B.S.; Billings, S.A. Neural networks for nonlinear dynamic system modelling and identification. Int. J. Control. 1992, 56, 319–346. [Google Scholar] [CrossRef]
- Kingma, D.P. Adam: A method for stochastic optimization. arXiv 2014, arXiv:1412.6980. [Google Scholar]
- Liu, Z.; Wang, Y.; Vaidya, S.; Ruehle, F.; Halverson, J.; Soljačić, M.; Hou, T.Y.; Tegmark, M. Kan: Kolmogorov–Arnold networks. arXiv 2024, arXiv:2404.19756. [Google Scholar]
- Peng, Y.; He, M.; Hu, F.; Mao, Z.; Huang, X.; Ding, J. Predictive Modeling of Flexible EHD Pumps using Kolmogorov–Arnold Networks. arXiv 2024, arXiv:2405.07488. [Google Scholar] [CrossRef]









| Model | MAE | MSE | Accuracy (%) | Training Computation Time (s) |
|---|---|---|---|---|
| Linear | 2.2177 | 8.7314 | 99.44 | 14 |
| KNN | 0.8493 | 2.0976 | 99.92 | 11 |
| Decision Tree | 0.9496 | 2.3065 | 99.85 | 11 |
| Random Forest | 0.9121 | 2.9392 | 99.82 | 28 |
| Extra Trees | 0.8842 | 2.8250 | 99.81 | 16 |
| MLP | 2.0971 | 5.3270 | 99.35 | 60 |
| KAN | 32.1900 | 38.9000 | 88.50 | 300 |
| KNN-Linear | 0.8434 | 1.6950 | 99.89 | 21 |
| Actual Pressure (kPa) | Linear Regression Prediction (kPa) | KNN Prediction (kPa) | Decision Tree Prediction (kPa) | Random Forest Prediction (kPa) | Extra Trees Prediction (kPa) | MLP Prediction (kPa) | KAN Prediction (kPa) | KNN-Linear Prediction (kPa) |
|---|---|---|---|---|---|---|---|---|
| 77.08 | 74.51 | 77.28 | 77.41 | 77.50 | 77.27 | 79.80 | 81.36 | 77.18 |
| 113.25 | 111.21 | 112.85 | 112.69 | 112.80 | 112.86 | 113.99 | 96.22 | 112.84 |
| 122.04 | 123.59 | 121.69 | 122.04 | 121.81 | 121.79 | 122.94 | 95.09 | 121.73 |
| 135.24 | 137.10 | 135.73 | 135.73 | 135.81 | 135.69 | 133.99 | 144.95 | 135.79 |
| 136.71 | 136.17 | 136.64 | 136.08 | 136.82 | 136.79 | 137.26 | 131.89 | 136.53 |
| 141.59 | 142.74 | 141.94 | 142.57 | 142.41 | 142.28 | 141.70 | 169.33 | 142.35 |
| 143.55 | 142.92 | 142.86 | 142.82 | 142.76 | 142.57 | 142.46 | 174.10 | 142.95 |
| 147.95 | 146.75 | 147.54 | 148.44 | 148.28 | 148.25 | 143.90 | 151.29 | 147.78 |
| 148.92 | 147.74 | 148.93 | 148.92 | 148.76 | 148.75 | 149.42 | 142.47 | 148.85 |
| 149.41 | 148.22 | 149.06 | 148.92 | 148.92 | 148.96 | 151.53 | 153.9 | 149.26 |
| Machine Learning Model | Average Absolute Error |
|---|---|
| Linear Regression | 1.391 |
| KNN | 0.332 |
| Decision Tree | 0.470 |
| Random Forest | 0.437 |
| Extra Trees | 0.395 |
| MLP | 1.403 |
| KAN | 13.536 |
| KNN-Linear | 0.330 |
Disclaimer/Publisher’s Note: The statements, opinions and data contained in all publications are solely those of the individual author(s) and contributor(s) and not of MDPI and/or the editor(s). MDPI and/or the editor(s) disclaim responsibility for any injury to people or property resulting from any ideas, methods, instructions or products referred to in the content. |
© 2025 by the authors. Licensee MDPI, Basel, Switzerland. This article is an open access article distributed under the terms and conditions of the Creative Commons Attribution (CC BY) license (https://creativecommons.org/licenses/by/4.0/).
Share and Cite
Suresh, S.; Singh, I.; Wijesundara, M.B.J. Machine Learning Models for Assistance from Soft Robotic Elbow Exoskeleton to Reduce Musculoskeletal Disorders. Actuators 2025, 14, 44. https://doi.org/10.3390/act14020044
Suresh S, Singh I, Wijesundara MBJ. Machine Learning Models for Assistance from Soft Robotic Elbow Exoskeleton to Reduce Musculoskeletal Disorders. Actuators. 2025; 14(2):44. https://doi.org/10.3390/act14020044
Chicago/Turabian StyleSuresh, Sanjana, Inderjeet Singh, and Muthu B. J. Wijesundara. 2025. "Machine Learning Models for Assistance from Soft Robotic Elbow Exoskeleton to Reduce Musculoskeletal Disorders" Actuators 14, no. 2: 44. https://doi.org/10.3390/act14020044
APA StyleSuresh, S., Singh, I., & Wijesundara, M. B. J. (2025). Machine Learning Models for Assistance from Soft Robotic Elbow Exoskeleton to Reduce Musculoskeletal Disorders. Actuators, 14(2), 44. https://doi.org/10.3390/act14020044
