Depth Control of Variable Buoyancy Systems: A Low Energy Approach Using a VSC with a Variable-Amplitude Law
Abstract
1. Introduction
- (i)
- (ii)
- a formal proof of stability for the new controller;
- (iii)
- the newly proposed formal stability proof differs from conventional approaches found in the literature on switched systems, which are typically based on the use of multiple Lyapunov functions [28];
- (iv)
- a procedure to estimate the order of magnitude of the depth error band that can be obtained with the new controller.
2. Underwater Device Closed Loop Model
3. Controller Description
4. Proof of Stability of the Closed-Loop System
4.1. Outline of the Proof of Stability
- For system (4): if is bounded, then are also bounded;
- For system (4) with control action (3) and the switching decision presented in Table 1: when the system (4) is in region 2a, and when the system is in region 2b, ;
- Using the control law presented in Section 3, and as long as condition 2 is satisfied: starting from an arbitrary state such that , , , where is an arbitrary maximum depth (typically the rated depth of the vehicle), the system performs a cyclical sequence S, traversing points of Figure 5, such that the following conditions are met:
- and ;
4.2. Proof of Stability Condition 1
4.3. Proof of Stability Condition 2
4.4. Proof of Stability Condition 3
4.4.1. System Trajectory Description
- (i)
- To demonstrate that ;
- (ii)
- To demonstrate that ;
4.4.2. Detailing of Condition 3a: Part i
4.4.3. Detailing of Condition 3a: Part ii
4.4.4. Detailing of Condition 3b
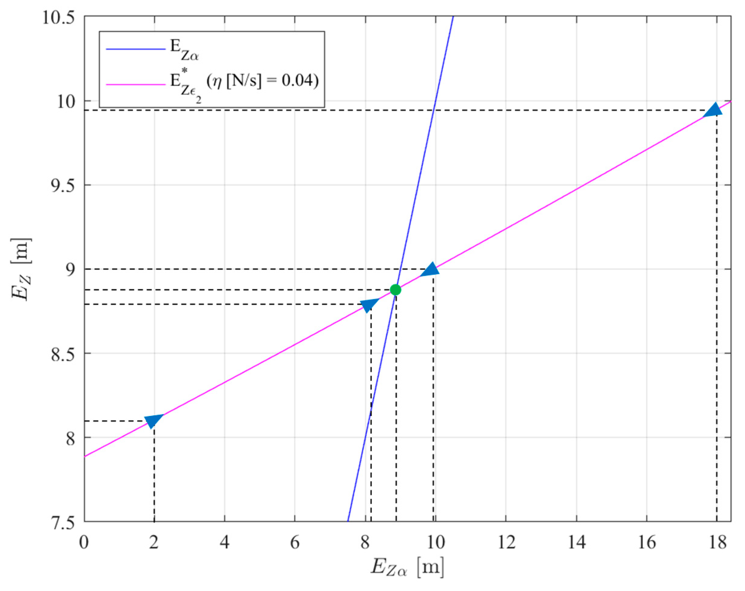
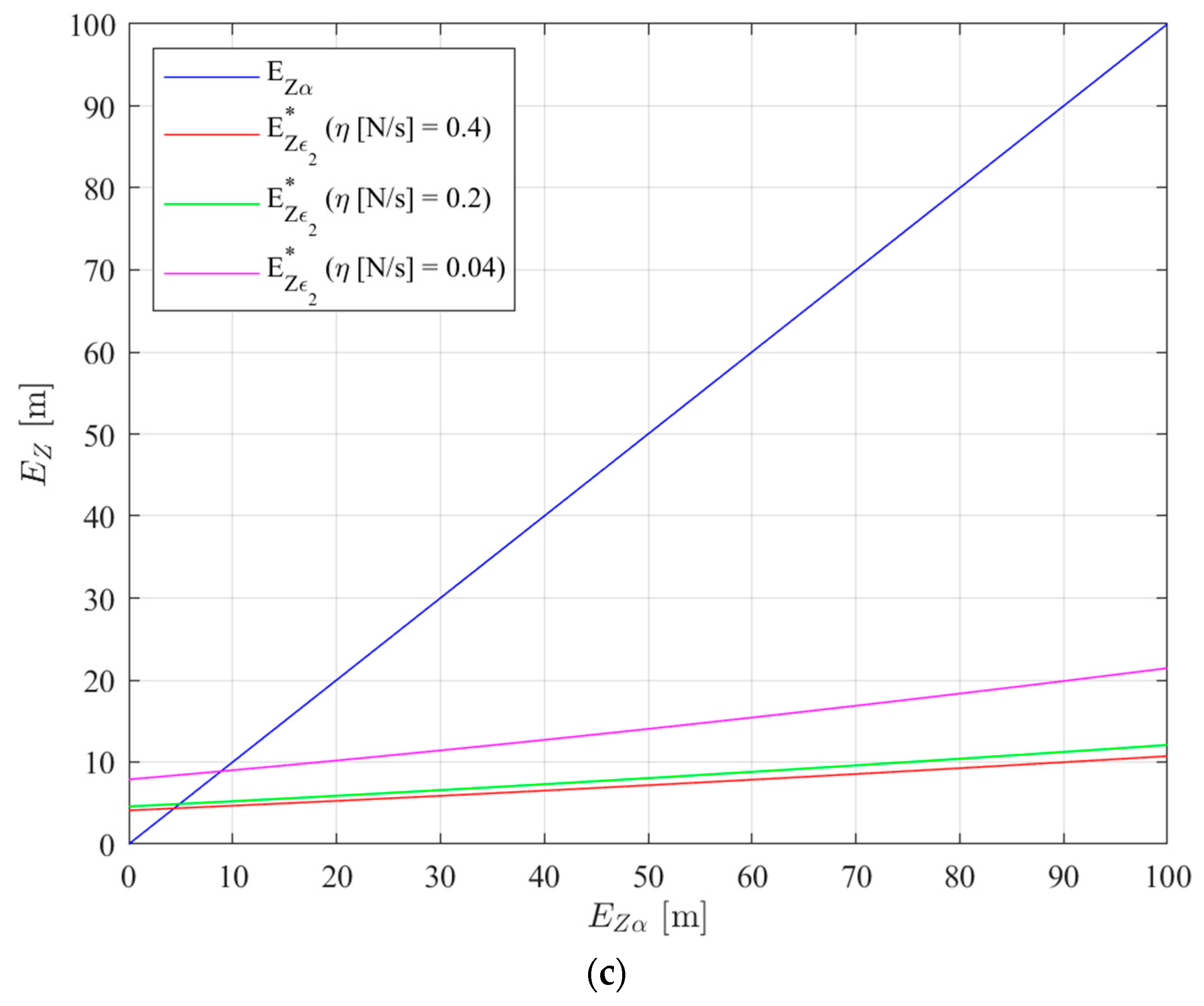
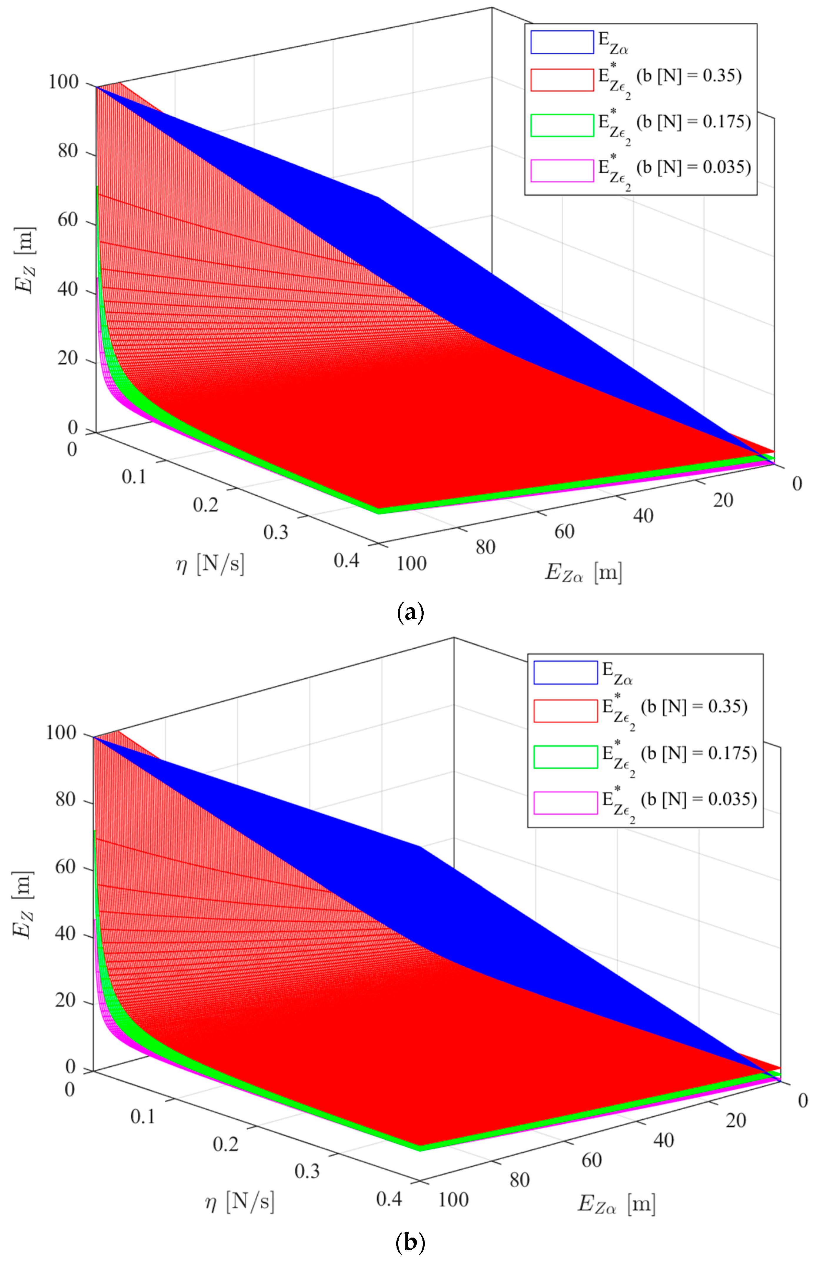
4.5. Quantifying the Stability Conditions
- From to , , for the purposes of estimating . Since is the maximum magnitude value takes between and , this will contribute to an overestimation of , leading to a conservative estimation of ;
- At , it will be considered the velocity is . Between and , increases from to . From assumption 1, is the steady-state velocity at . As such, from to , the velocity will decrease. Therefore, considering contributes to an overestimation of , leading to a conservative estimation of .
- From to , , for the purposes of estimating . Since is the maximum magnitude value takes between and , this will contribute to an overestimation of , leading to a conservative estimation of ;
- At , it will be considered the velocity is . Between and , decreases from to . From assumption 3, is the steady-state velocity at . As such, from to , the velocity magnitude will decrease. Therefore, considering contributes to an overestimation of , leading to a conservative estimation of .
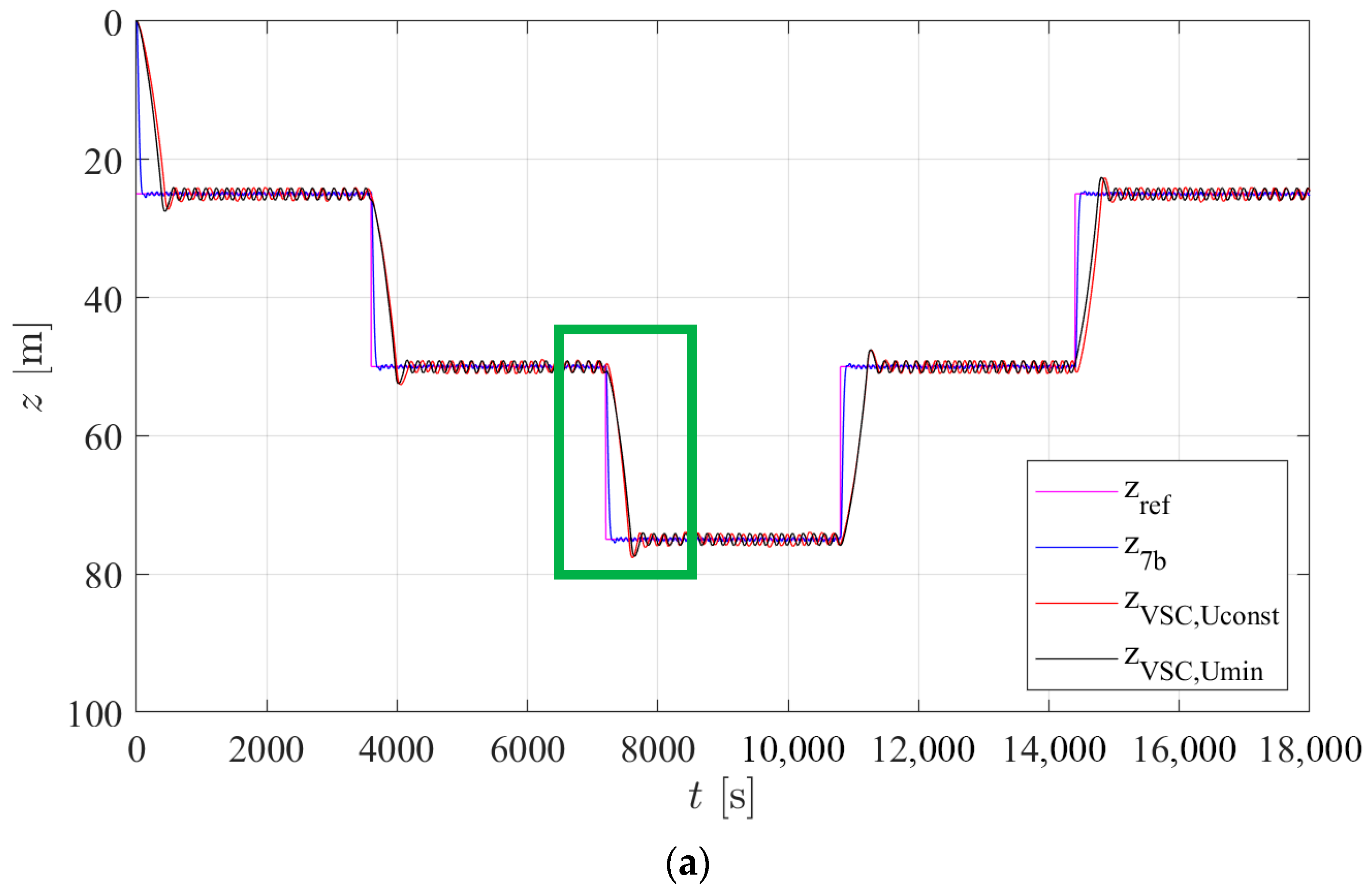
5. Controller Stability: Case Study
5.1. Stability Regions
5.2. Simulation Trial
- Controller : a cascaded I-PD/PI control scheme, with the I-PD depth controller in the outer loop and the PI volume controller with a deadband in the inner loop;
- Controller : a variable structure controller with a constant-amplitude control action ;
- Controller : the variable structure controller presented in this work, with a constant net force time rate
6. Conclusions
Author Contributions
Funding
Data Availability Statement
Conflicts of Interest
Nomenclature
| Depth deadband [m] | |
| rea of the piston in contact with sea water [m2] | |
| band [N] | |
| Depth controller | |
| Volume controller | |
| Volume dead band parameter for [m3] | |
| Energy spent by [J] | |
| Energy spent by [J] | |
| Depth control error [m] | |
| Depth control error at state [m] | |
| Overestimation of | |
| System model state functions | |
| Total disturbance forces [N] | |
| External disturbance forces [N] | |
| Internal disturbance forces [N] | |
| Difference between and [N] | |
| at state i [N] | |
| Variable buoyancy module force [N] | |
| Acceleration of gravity [ms−2] | |
| Variable buoyancy module linear model steady-state gain [ms−1V−1] | |
| Vertical motion linear model steady-state gain [ms−1m−3] | |
| Integral gain of [V/(m3s)] | |
| Proportional gain of [V/m3] | |
| Derivative gain of [m3/(ms−1)] | |
| Integral gain of [m3/(ms)] | |
| Proportional gain of [m3/m] | |
| Disturbance observer proportional gain [Nm−1] | |
| Disturbance observer derivative gain [Nsm−1] | |
| Parameter relating the depth and the equivalent depth voltage [Vm−1] | |
| p | Water pressure [Pa] |
| System state boundaries in the Lyapunov sense | |
| Switching sequence | |
| Time [s] | |
| Switching time instant for subsystem j [s] | |
| Switching time instant when subsystem i is switched on for the kth time [s] | |
| Switching time instant when subsystem i is switched off for the kth time [s] | |
| Variable buoyancy module linear model time constant [s] | |
| Vertical motion linear model time constant [s] | |
| Control action [V] | |
| Variable-amplitude control action [V] | |
| Variable structure controller control action [V] | |
| Equivalent depth voltage [V] | |
| Depth velocity [ms−1] | |
| Depth velocity at state i [ms−1] | |
| Constant-amplitude variable structure controller | |
| Variable-amplitude variable structure controller | |
| System state vector | |
| Piston position [m] | |
| Vehicle depth [m] | |
| Vehicle depth at state i [m] | |
| Maximum vehicle [m] | |
| Depth reference [m] | |
| α, β, γ1, γ2, δ, ε1, ε2, ζ, ξ | System states |
| Change in depth error between states i and j | |
| Change in depth error between and | |
| Parameter that expresses the occurrence of switching at state [0, 1] | |
| Parameter that expresses the occurrence of switching at state [0, 1] | |
| controller parameter [] | |
| Hull loss of volume per meter depth [m3m−1] | |
| Water volumetric mass [kgm−3] | |
| Set of time intervals during which subsystem is active | |
| Time derivative of | |
| Maximum value of | |
| Absolute value of | |
| Norm of vector |
References
- Choi, M.-I.; Kang, B.; Lee, S.; Park, S.; Seon Beck, J.; Hyeon Lee, S.; Park, S. Empirical study on optimization methods of building energy operation for the sustainability of buildings with integrated renewable energy. Energy Build. 2024, 305, 113908. [Google Scholar] [CrossRef]
- Sonsale, A.N.; Yashpal; Purohit, J.K.; Pohekar, S.D. Renewable & alternative energy sources for strategic energy management in recycled paper & pulp industry. Bioresour. Technol. Rep. 2021, 16, 100857. [Google Scholar] [CrossRef]
- Chudy-Laskowska, K.; Chudy, M.; Pisula, J.; Pisula, T. Taxonomical Analysis of Alternative Energy Sources Application in Road Transport in the European Union Countries. Energies 2025, 18, 4228. [Google Scholar] [CrossRef]
- Viadero-Monasterio, F.; Meléndez-Useros, M.; Zhang, H.; Boada, B.L.; Boada, M.J.L. Signalized Traffic Management Optimizing Energy Efficiency Under Driver Preferences for Vehicles With Heterogeneous Powertrains. IEEE Trans. Consum. Electron. 2025, 71, 3454–3464. [Google Scholar] [CrossRef]
- Paulraj, T.; Obulesu, Y.P. Machine learning-based approach for reduction of energy consumption in hybrid energy storage electric vehicle. Sci. Rep. 2025, 15, 29303. [Google Scholar] [CrossRef]
- Ioshchikhes, B.; Frank, M.; Weigold, M. A Systematic Review of Expert Systems for Improving Energy Efficiency in the Manufacturing Industry. Energies 2024, 17, 4780. [Google Scholar] [CrossRef]
- Craig, R.K. Marine Biodiversity, Climate Change, and Governance of the Oceans. Diversity 2012, 4, 224–238. [Google Scholar] [CrossRef]
- Morato, T.; González-Irusta, J.-M.; Dominguez-Carrió, C.; Wei, C.-L.; Davies, A.; Sweetman, A.K.; Taranto, G.H.; Beazley, L.; García-Alegre, A.; Grehan, A.; et al. Climate-induced changes in the suitable habitat of cold-water corals and commercially important deep-sea fishes in the North Atlantic. Glob. Change Biol. 2020, 26, 2181–2202. [Google Scholar] [CrossRef]
- Levin, L.A.; Bett, B.J.; Gates, A.R.; Heimbach, P.; Howe, B.M.; Janssen, F.; McCurdy, A.; Ruhl, H.A.; Snelgrove, P.; Stocks, K.I.; et al. Global Observing Needs in the Deep Ocean. Front. Mar. Sci. 2019, 6, 241. [Google Scholar] [CrossRef]
- Borthwick, A.G.L. Marine Renewable Energy Seascape. Engineering 2016, 2, 69–78. [Google Scholar] [CrossRef]
- Garzon, F.; Seymour, Z.; Monteiro, Z.; Graham, R. Spatial ecology of a newly described oceanic manta ray population in the Atlantic Ocean. Mar. Biol. 2023, 170, 68. [Google Scholar] [CrossRef]
- Camus, L.; Andrade, H.; Aniceto, A.S.; Aune, M.; Bandara, K.; Basedow, S.L.; Christensen, K.H.; Cook, J.; Daase, M.; Dunlop, K.; et al. Autonomous Surface and Underwater Vehicles as Effective Ecosystem Monitoring and Research Platforms in the Arctic—The Glider Project. Sensors 2021, 21, 6752. [Google Scholar] [CrossRef]
- Riser, S.C.; Freeland, H.J.; Roemmich, D.; Wijffels, S.; Troisi, A.; Belbéoch, M.; Gilbert, D.; Xu, J.; Pouliquen, S.; Thresher, A.; et al. Fifteen years of ocean observations with the global Argo array. Nat. Clim. Change 2016, 6, 145–153. [Google Scholar] [CrossRef]
- Glaviano, F.; Esposito, R.; Cosmo, A.D.; Esposito, F.; Gerevini, L.; Ria, A.; Molinara, M.; Bruschi, P.; Costantini, M.; Zupo, V. Management and Sustainable Exploitation of Marine Environments through Smart Monitoring and Automation. J. Mar. Sci. Eng. 2022, 10, 297. [Google Scholar] [CrossRef]
- Moore, S.K.; Mickett, J.B.; Doucette, G.J.; Adams, N.G.; Mikulski, C.M.; Birch, J.M.; Roman, B.; Michel-Hart, N.; Newton, J.A. An Autonomous Platform for Near Real-Time Surveillance of Harmful Algae and Their Toxins in Dynamic Coastal Shelf Environments. J. Mar. Sci. Eng. 2021, 9, 336. [Google Scholar] [CrossRef]
- Qi, Y.; Wu, X.; Zhang, G.; Sun, Y. Energy-Saving Depth Control of an Autonomous Underwater Vehicle Using an Event-Triggered Sliding Mode Controller. J. Mar. Sci. Eng. 2022, 10, 1888. [Google Scholar] [CrossRef]
- Su, B.; Wang, H.-b.; Wang, Y. Dynamic event-triggered formation control for AUVs with fixed-time integral sliding mode disturbance observer. Ocean Eng. 2021, 240, 109893. [Google Scholar] [CrossRef]
- Bi, A.; Zhao, F.; Zhang, X.; Ge, T. Combined Depth Control Strategy for Low-Speed and Long-Range Autonomous Underwater Vehicles. J. Mar. Sci. Eng. 2020, 8, 181. [Google Scholar] [CrossRef]
- Cao, J.; Lin, R.; Liu, C.; Feng, H.; Yu, C.; Yao, B.; Lian, L. Energy optimal depth control for multimodal underwater vehicles with a high accuracy buoyancy actuated system. Ocean Eng. 2023, 286, 115516. [Google Scholar] [CrossRef]
- Yao, F.; Yang, C.; Zhang, M.; Wang, Y. Optimization of the Energy Consumption of Depth Tracking Control Based on Model Predictive Control for Autonomous Underwater Vehicles. Sensors 2019, 19, 162. [Google Scholar] [CrossRef]
- Medvedev, A.V.; Kostenko, V.V.; Tolstonogov, A.Y. Depth control methods of variable buoyancy AUV. In Proceedings of the 2017 IEEE Underwater Technology (UT), Busan, Republic of Korea, 21–24 February 2017; pp. 1–5. [Google Scholar]
- Sarkar, M.; Nandy, S.; Shome, S.N. Energy Efficient Trajectory Tracking Controller for Underwater Applications: ARobust Approach. Aquat. Procedia 2015, 4, 571–578. [Google Scholar] [CrossRef]
- Falcão Carneiro, J.; Bravo Pinto, J.; Gomes de Almeida, F.; Cruz, N.A. Variable Structure Controller for Energy Savings in an Underwater Sensor Platform. Sensors 2024, 24, 5771. [Google Scholar] [CrossRef] [PubMed]
- Bravo Pinto, J.; Falcão Carneiro, J.; Gomes de Almeida, F.; Cruz, N.A. Variable structure depth controller for energy savings in an underwater device: Proof of stability. Actuators 2025, 14, 340. [Google Scholar] [CrossRef]
- Gong, P.; Yan, Z.; Zhang, W.; Tang, J. Lyapunov-based model predictive control trajectory tracking for an autonomous underwater vehicle with external disturbances. Ocean Eng. 2021, 232, 109010. [Google Scholar] [CrossRef]
- Yan, Z.; Zhang, M.; Zhou, J.; Yue, L. Distributed Lyapunov-Based Model Predictive Control for AUV Formation Systems with Multiple Constraints. J. Mar. Sci. Eng. 2024, 12, 363. [Google Scholar] [CrossRef]
- Liu, H.; Meng, B.; Tian, X. Finite-Time Prescribed Performance Trajectory Tracking Control for Underactuated Autonomous Underwater Vehicles Based on a Tan-Type Barrier Lyapunov Function. IEEE Access 2022, 10, 53664–53675. [Google Scholar] [CrossRef]
- Lu, J.; Brown, L.J. A multiple Lyapunov functions approach for stability of switched systems. In Proceedings of the 2010 American Control Conference, Baltimore, MD, USA, 30 June–2 July 2010; pp. 3253–3256. [Google Scholar]
- Branicky, M.S. Multiple Lyapunov functions and other analysis tools for switched and hybrid systems. IEEE Trans. Autom. Control 1998, 43, 475–482. [Google Scholar] [CrossRef]
- Filipovic, V. Global exponential stability of switched systems. Appl. Math. Mech. 2011, 32, 1197–1206. [Google Scholar] [CrossRef]
- Falcão Carneiro, J.; Bravo Pinto, J.; Gomes de Almeida, F.; Cruz, N.A. Electrohydraulic and Electromechanical Buoyancy Change Device Unified Vertical Motion Model. Actuators 2023, 12, 380. [Google Scholar] [CrossRef]
- Falcão Carneiro, J.; Bravo Pinto, J.; Gomes de Almeida, F.; Cruz, N.A. Model Identification and Control of a Buoyancy Change Device. Actuators 2023, 12, 180. [Google Scholar] [CrossRef]
- Falcão Carneiro, J.; Bravo Pinto, J.; Gomes Almeida, F.; Cruz, N. Depth control of an underwater sensor platform: Comparison between variable buoyancy and propeller actuated devices. Sensors 2024, 24, 3050. [Google Scholar] [CrossRef] [PubMed]
- Slotine, J.J.E.; Li, W. Applied Nonlinear Control; Prentice-Hall: Englewood Cliffs, NJ, USA, 1991. [Google Scholar]















| Regions | Decision | i | |||
|---|---|---|---|---|---|
| OFF | 1 | ||||
| ON | 2 | ||||
| OFF | 1 | ||||
| OFF | 1 | ||||
| ON | 2 |
| Parameter | Value | Unit |
|---|---|---|
| 7.7 × 10−3 | [m2] | |
| 9.81 | [ms−2] | |
| 4.44 × 10−4 | [ms−1V−1] | |
| 7.9355 × 103 | [ms−1m−3] | |
| 3.31 × 10−2 | [Vm−1] | |
| 36.3 | [s] | |
| 1 × 103 | [kgm−3] | |
| 3.4 × 10−7 | [m3m−1] | |
| 100 | [m] |
| 7.5 × 10−5 | −2 × 10−6 | 1.1 × 10−3 | 1 × 105 | 1 × 105 | 3.5 × 10−5 | |||
| Controller | ||||||
|---|---|---|---|---|---|---|
| 0.5 | 0.035 | 12 | variable | 5 | 100 | |
| 0.5 | 0.035 | variable | 0.28 | 5 | 100 |
[N/s] | [m] | [N] | [kJ] | [kJ] | Energy Savings [%] | Off-Time [%] | Off-Time [%] |
|---|---|---|---|---|---|---|---|
| 0.28 | 0.1 | 0.0175 | 33.92 | 38.07 | 10.9 | 67.2 | 55.5 |
| 0.035 | 37.77 | 43.65 | 13.5 | 15.1 | 18 | ||
| 0.07 | 41.46 | 49.37 | 16.0 | 11.7 | 11.6 | ||
| 0.5 | 0.0175 | 31.37 | 34.87 | 10.0 | 99 | 95.4 | |
| 0.035 | 33.77 | 36.69 | 8.0 | 98.7 | 99.3 | ||
| 0.07 | 36.09 | 40.48 | 10.8 | 98.1 | 81.1 | ||
| 1 | 0.0175 | 30.58 | 32.77 | 6.7 | 99.6 | 99.4 | |
| 0.035 | 32.45 | 34.99 | 7.3 | 99.2 | 98.4 | ||
| 0.07 | 34.31 | 38.04 | 9.8 | 98.1 | 98.4 | ||
| 10 | 0.0175 | 29.85 | 30.34 | 1.6 | 99.8 | 99.7 | |
| 0.035 | 30.19 | 31.10 | 2.9 | 99.8 | 99 | ||
| 0.07 | 31.05 | 32.28 | 3.8 | 99.1 | 98.9 |
[m] | [N] | [N/s] | [kJ] |
|---|---|---|---|
| 0.5 | 0.035 | 0.04 | 31.08 |
| 0.2 | 31.93 | ||
| 0.28 | 33.77 | ||
| 0.4 | 36.92 |
Disclaimer/Publisher’s Note: The statements, opinions and data contained in all publications are solely those of the individual author(s) and contributor(s) and not of MDPI and/or the editor(s). MDPI and/or the editor(s) disclaim responsibility for any injury to people or property resulting from any ideas, methods, instructions or products referred to in the content. |
© 2025 by the authors. Licensee MDPI, Basel, Switzerland. This article is an open access article distributed under the terms and conditions of the Creative Commons Attribution (CC BY) license (https://creativecommons.org/licenses/by/4.0/).
Share and Cite
Bravo Pinto, J.; Falcão Carneiro, J.; Gomes de Almeida, F.; Cruz, N.A. Depth Control of Variable Buoyancy Systems: A Low Energy Approach Using a VSC with a Variable-Amplitude Law. Actuators 2025, 14, 491. https://doi.org/10.3390/act14100491
Bravo Pinto J, Falcão Carneiro J, Gomes de Almeida F, Cruz NA. Depth Control of Variable Buoyancy Systems: A Low Energy Approach Using a VSC with a Variable-Amplitude Law. Actuators. 2025; 14(10):491. https://doi.org/10.3390/act14100491
Chicago/Turabian StyleBravo Pinto, João, João Falcão Carneiro, Fernando Gomes de Almeida, and Nuno A. Cruz. 2025. "Depth Control of Variable Buoyancy Systems: A Low Energy Approach Using a VSC with a Variable-Amplitude Law" Actuators 14, no. 10: 491. https://doi.org/10.3390/act14100491
APA StyleBravo Pinto, J., Falcão Carneiro, J., Gomes de Almeida, F., & Cruz, N. A. (2025). Depth Control of Variable Buoyancy Systems: A Low Energy Approach Using a VSC with a Variable-Amplitude Law. Actuators, 14(10), 491. https://doi.org/10.3390/act14100491

