Development of a Contact Force Model Suited for Spherical Contact Event
Abstract
1. Introduction
Structure of this Investigation
2. Pressure Distribution of Spherical Joint with Clearance
2.1. Hertz Contact Law
2.2. Steuermann’s Theory
2.3. A new Contact Stiffness Coefficient
2.4. Distribution of the Contact Force for Pure Elastic Impact
3. A New Contact Force Model
3.1. Elastic Strain Energy during Contact
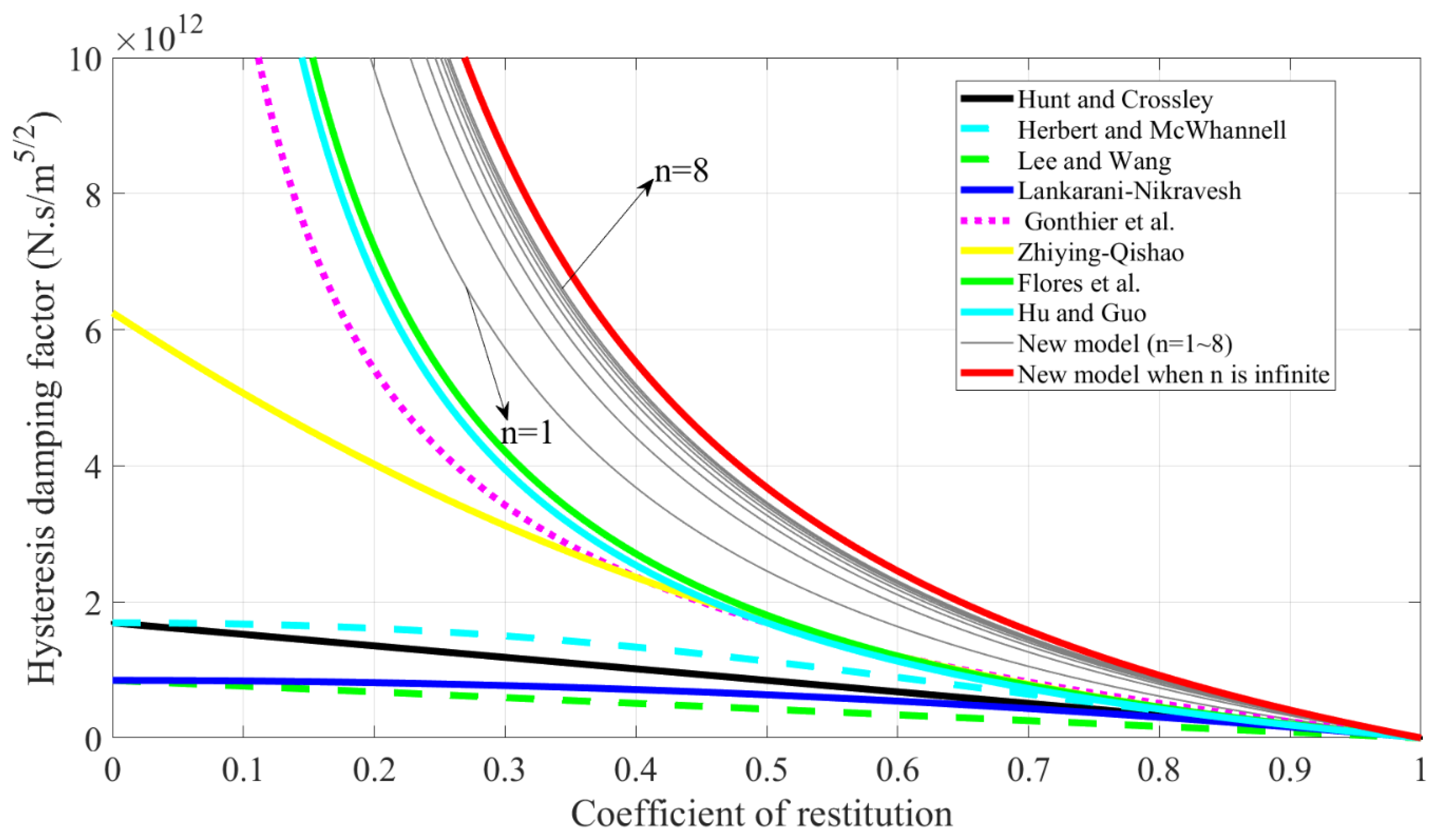
3.2. A New Hysteresis Damping Factor
4. The Dynamic Performance of the New Contact Force Model
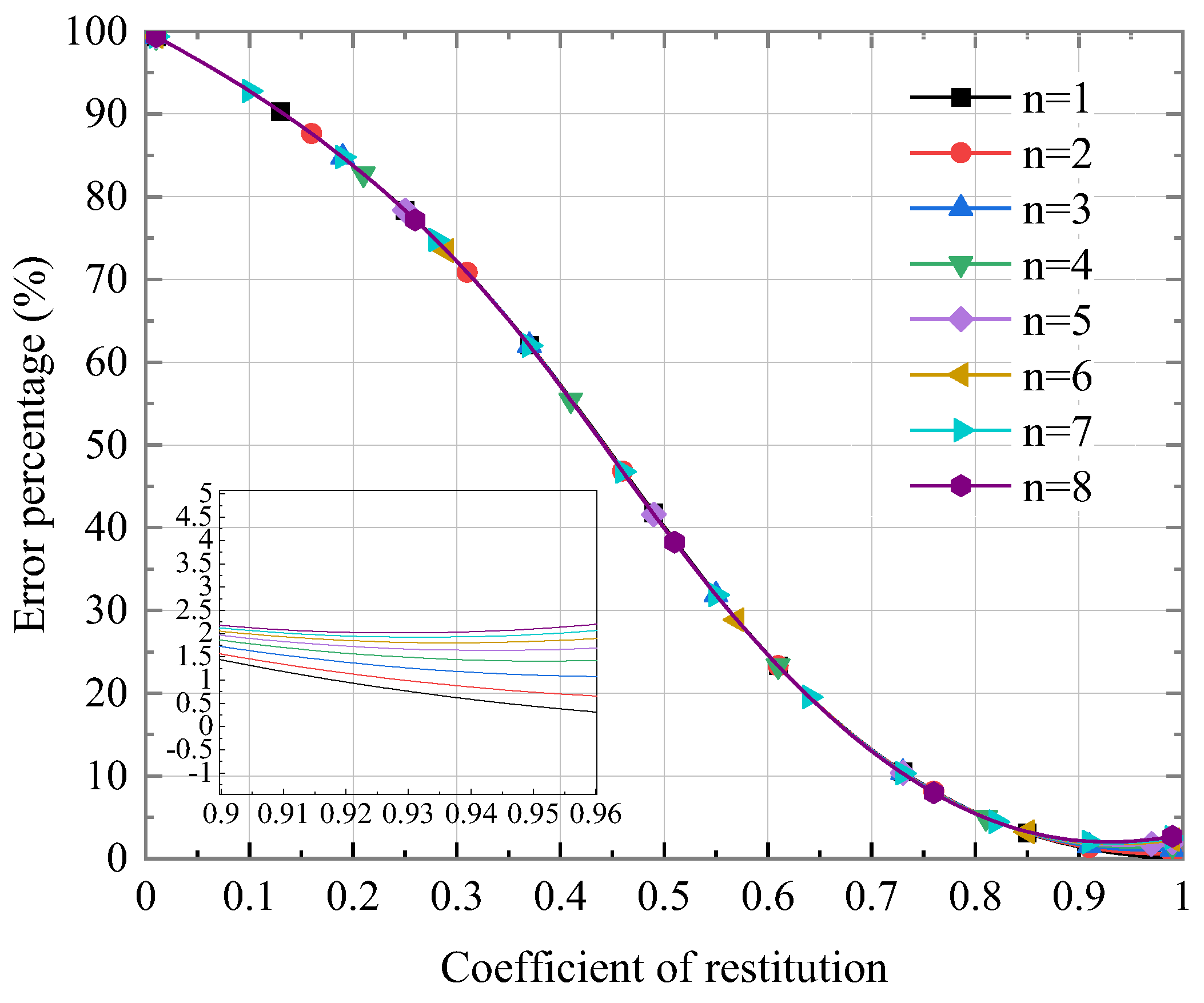
4.1. Determination of the Coefficient of Restitution
4.2. Dynamics Simulation
5. Conclusions
Author Contributions
Funding
Institutional Review Board Statement
Informed Consent Statement
Data Availability Statement
Conflicts of Interest
References
- Fang, X.; Zhang, C.; Chen, X.; Wang, Y.; Tan, Y. A new universal approximate model for conformal contact and non-conformal contact of spherical surfaces. Acta Mech. 2014, 226, 1657–1672. [Google Scholar] [CrossRef]
- Banerjee, A.; Chanda, A.; Das, R. Historical Origin and Recent Development on Normal Directional Impact Models for Rigid Body Contact Simulation: A Critical Review. Arch. Comput. Methods Eng. 2016, 24, 397–422. [Google Scholar] [CrossRef]
- Yigit, A.S.; Christoforou, A.P.; Majeed, M.A. A nonlinear visco-elastoplastic impact model and the coefficient of restitution. Nonlinear Dyn. 2011, 66, 509–521. [Google Scholar] [CrossRef]
- Flores, P.; Machado, M.; da Silva, M.T.; Martins, J. On the continuous contact force models for soft materials in multibody dynamics. Multibody Syst. Dyn. 2010, 25, 357–375. [Google Scholar] [CrossRef]
- Weir, G.; Tallon, S. The coefficient of restitution for normal incident, low velocity particle impacts. Chem. Eng. Sci. 2005, 60, 3637–3647. [Google Scholar] [CrossRef]
- Wang, G.; Liu, C. Further investigation on improved viscoelastic contact force model extended based on hertz’s law in multi-body system. Mech. Mach. Theory 2020, 153, 103986. [Google Scholar] [CrossRef]
- Wang, G.; Ma, D.; Liu, C.; Liu, Y. Development of a compliant dashpot model with nonlinear and linear behaviors for the contact of multibody systems. Mech. Syst. Signal Process. 2023, 185, 109785. [Google Scholar] [CrossRef]
- Liu, X.; Chen, W.; Shi, H. Improvement of Contact Force Calculation Model Considering Influence of Yield Strength on Coeffi-cient of Restitution. Energies 2022, 15, 1041. [Google Scholar] [CrossRef]
- Brilliantov, N.V.; Pimenova, A.V.; Goldobin, D.S. A dissipative force between colliding viscoelastic bodies: Rigorous approach. EPL (Europhys. Lett.) 2015, 109, 14005. [Google Scholar] [CrossRef]
- Jian, B.; Hu, G.; Fang, Z.; Zhou, H.; Xia, R. A normal contact force approach for viscoelastic spheres of the same material. Powder Technol. 2019, 350, 51–61. [Google Scholar] [CrossRef]
- Hunt, K.; Crossley, F.R.E. Coefficient of Restitution Interpreted as Damping in Vibroimpact. J. Appl. Mech. 1975, 42, 440–445. [Google Scholar] [CrossRef]
- Gonthier, Y.; McPhee, J.; Lange, C.; Piedbœuf, J.-C. A Regularized Contact Model with Asymmetric Damping and Dwell-Time Dependent Friction. Multibody Syst. Dyn. 2004, 11, 209–233. [Google Scholar] [CrossRef]
- Marhefka, D.; Orin, D. A compliant contact model with nonlinear damping for simulation of robotic systems. IEEE Trans. Syst. Man Cybern. Part A Syst. Humans 1999, 29, 566–572. [Google Scholar] [CrossRef]
- Hertz, H. Ueber die Berührung fester elastischer Körper. Crll 1882, 1882, 156–171. [Google Scholar] [CrossRef]
- Griffin, K.H. Impact: The Theory and Physical Behaviour of Colliding Solids.W. Goldsmith. Arnold, London. 1960. 379 pp. Diagrams. 90s. J. R. Aeronaut. Soc. 1961, 65, 443. [Google Scholar] [CrossRef]
- Lankarani, H.M.; Nikravesh, P.E. Continuous contact force models for impact analysis in multibody systems. Nonlinear Dyn. 1994, 5, 193–207. [Google Scholar] [CrossRef]
- Liu, C.; Zhang, K.; Yang, L. Normal Force-Displacement Relationship of Spherical Joints with Clearances. J. Comput. Nonlinear Dyn. 2005, 1, 160–167. [Google Scholar] [CrossRef]
- Goodman, L.; Keer, L. The contact stress problem for an elastic sphere indenting an elastic cavity. Int. J. Solids Struct. 1965, 1, 407–415. [Google Scholar] [CrossRef]
- Sun, Z.; Hao, C. Conformal Contact Problems of Ball-socket and Ball. Phys. Procedia 2012, 25, 209–214. [Google Scholar] [CrossRef]
- Wang, G.; Liu, H. Research progress of joint effects model in multibody system dynamics. Chin. J. Theor. Appl. Mech. 2015, 47, 31–50. [Google Scholar] [CrossRef]
- Aibin, Z.; Shengli, H.; Chao, Z.; Wei, C. The Effect Analysis of Contact Stiffness on Wear of Clearance Joint. J. Tribol. 2016, 139, 031403. [Google Scholar] [CrossRef]
- Alves, J.; Peixinho, N.; da Silva, M.T.; Flores, P.; Lankarani, H.M. A comparative study of the viscoelastic constitutive models for frictionless contact interfaces in solids. Mech. Mach. Theory 2015, 85, 172–188. [Google Scholar] [CrossRef]
- Ascione, L.; Grimaldi, A. Unilateral contact between a plate and an elastic foundation. Meccanica 1984, 19, 223–233. [Google Scholar] [CrossRef]
- Ascione, L.; Olivito, R.S. Unbonded contact of a Mindlin plate on an elastic half-space. Meccanica 1985, 20, 49–58. [Google Scholar] [CrossRef]
- Persson, A. On the Stress Distribution of Cylindrical Elastic Bodies in Contact. Ph.D. Thesis, Chalmers University, Göteborg, Sweden, 1964. [Google Scholar]
- Noble, B.; Hussain, M. Exact solution of certain dual series for indentation and inclusion problems. Int. J. Eng. Sci. 1969, 7, 1149–1161. [Google Scholar] [CrossRef]
- Machado, M.; Moreira, P.; Flores, P.; Lankarani, H.M. Compliant contact force models in multibody dynamics: Evolution of the Hertz contact theory. Mech. Mach. Theory 2012, 53, 99–121. [Google Scholar] [CrossRef]
- Johnson, K.L. Contact Mechanics; Cambridge University Press: Cambridge, UK, 1985. [Google Scholar] [CrossRef]
- Bartel, D.L.; Burstein, A.H.; Toda, M.D.; Edwards, D.L. The Effect of Conformity and Plastic Thickness on Contact Stresses in Metal-Backed Plastic Implants. J. Biomech. Eng. 1985, 107, 193–199. [Google Scholar] [CrossRef]
- Heß, M.; Forsbach, F. An Analytical Model for Almost Conformal Spherical Contact Problems: Application to Total Hip Ar-throplasty with UHMWPE Liner. Appl. Sci. 2021, 11, 11170. [Google Scholar] [CrossRef]
- Askari, E.; Andersen, M.S. A closed-form formulation for the conformal articulation of metal-on-polyethylene hip prostheses: Contact mechanics and sliding distance. Proc. Inst. Mech. Eng. Part H J. Eng. Med. 2018, 232, 1196–1208. [Google Scholar] [CrossRef]
- Lankarani, H.M.; Nikravesh, P.E. A Contact Force Model with Hysteresis Damping for Impact Analysis of Multibody Systems. J. Mech. Des. 1990, 112, 369–376. [Google Scholar] [CrossRef]
- Hu, J.; Gao, F.; Liu, X.; Wei, Y. An elasto-plastic contact model for conformal contacts between cylinders. Proc. Inst. Mech. Eng. Part J J. Eng. Tribol. 2019, 234, 1837–1845. [Google Scholar] [CrossRef]
- Jackson, R.L.; Green, I.; Marghitu, D.B. Predicting the coefficient of restitution of impacting elastic-perfectly plastic spheres. Nonlinear Dyn. 2009, 60, 217–229. [Google Scholar] [CrossRef]
- Coaplen, J.; Stronge, W.; Ravani, B. Work equivalent composite coefficient of restitution. Int. J. Impact Eng. 2004, 30, 581–591. [Google Scholar] [CrossRef]
Disclaimer/Publisher’s Note: The statements, opinions and data contained in all publications are solely those of the individual au-thor(s) and contributor(s) and not of MDPI and/or the editor(s). MDPI and/or the editor(s) disclaim responsibility for any injury to people or property resulting from any ideas, methods, instructions or products referred to in the content. |










| Elements | Young’s Modulus (Pa) | Poisson Ratio | Mass (kg) | Radius |
|---|---|---|---|---|
| Socket | 2.068 × 1011 | 0.29 | —— | 5.01 × 10−2, 5.03 × 10−2, 5.05 × 10−2, 5.07 × 10−2, 5.09 × 10−2, 5.10 × 10−2 |
| Ball | 2.068 × 1011 | 0.29 | 0.02 | 5 × 10−2 |
| Parameters | Parameter Values |
|---|---|
| Integrator | Ode45 |
| Relative error | 1 × 10−9 |
| Absolute error | 1 × 10−9 |
| Initial time step | 1 × 10−6 |
| Time span | 1 × 10−4 |
Disclaimer/Publisher’s Note: The statements, opinions and data contained in all publications are solely those of the individual author(s) and contributor(s) and not of MDPI and/or the editor(s). MDPI and/or the editor(s) disclaim responsibility for any injury to people or property resulting from any ideas, methods, instructions or products referred to in the content. |
© 2023 by the authors. Licensee MDPI, Basel, Switzerland. This article is an open access article distributed under the terms and conditions of the Creative Commons Attribution (CC BY) license (https://creativecommons.org/licenses/by/4.0/).
Share and Cite
Wang, S.; Gao, P. Development of a Contact Force Model Suited for Spherical Contact Event. Actuators 2023, 12, 89. https://doi.org/10.3390/act12020089
Wang S, Gao P. Development of a Contact Force Model Suited for Spherical Contact Event. Actuators. 2023; 12(2):89. https://doi.org/10.3390/act12020089
Chicago/Turabian StyleWang, Siyuan, and Peng Gao. 2023. "Development of a Contact Force Model Suited for Spherical Contact Event" Actuators 12, no. 2: 89. https://doi.org/10.3390/act12020089
APA StyleWang, S., & Gao, P. (2023). Development of a Contact Force Model Suited for Spherical Contact Event. Actuators, 12(2), 89. https://doi.org/10.3390/act12020089
