Differing Expression and Potential Immunological Role of C-Type Lectin Receptors of Two Different Chicken Breeds against Low Pathogenic H9N2 Avian Influenza Virus
Abstract
1. Introduction
2. Materials and Methods
2.1. Animal Experiment
2.2. Virus Shedding
2.3. Preparation of Fluorescent RNA Probe, Hybridization, and Analysis
2.4. Quantification of Chicken C-Type Lectin, OASL, and MX1 mRNA
2.5. Cloning and Expression of Chicken C-Type Lectin
2.6. Virus Infection and Titration In Vitro
2.7. Silencing of Chicken C-Type Lectin
2.8. Statistical Analysis
3. Results
3.1. Virus Shedding in LB and LW Chickens following Infection with Korean H9N2 LPAI Virus
3.2. C-Type Lectin-Associated mRNA Genes Are Differentially Transcribed in Spleen of LW and LB Breeds
3.3. Expression Levels of Splenic C-Type Lectin Receptors Are Downregulated in LW Breed but Unchanged in LB Breed upon H9N2 Infection
3.4. Differentially Expressed C-Type Lectin Was C-Type Lectin Receptors Derived from Chicken Major Histocompatibility Complex Y Region
3.5. pcDNA-CLR1 and pcDNA-CLR2 Are Transiently Expressed in DF-1 Cells
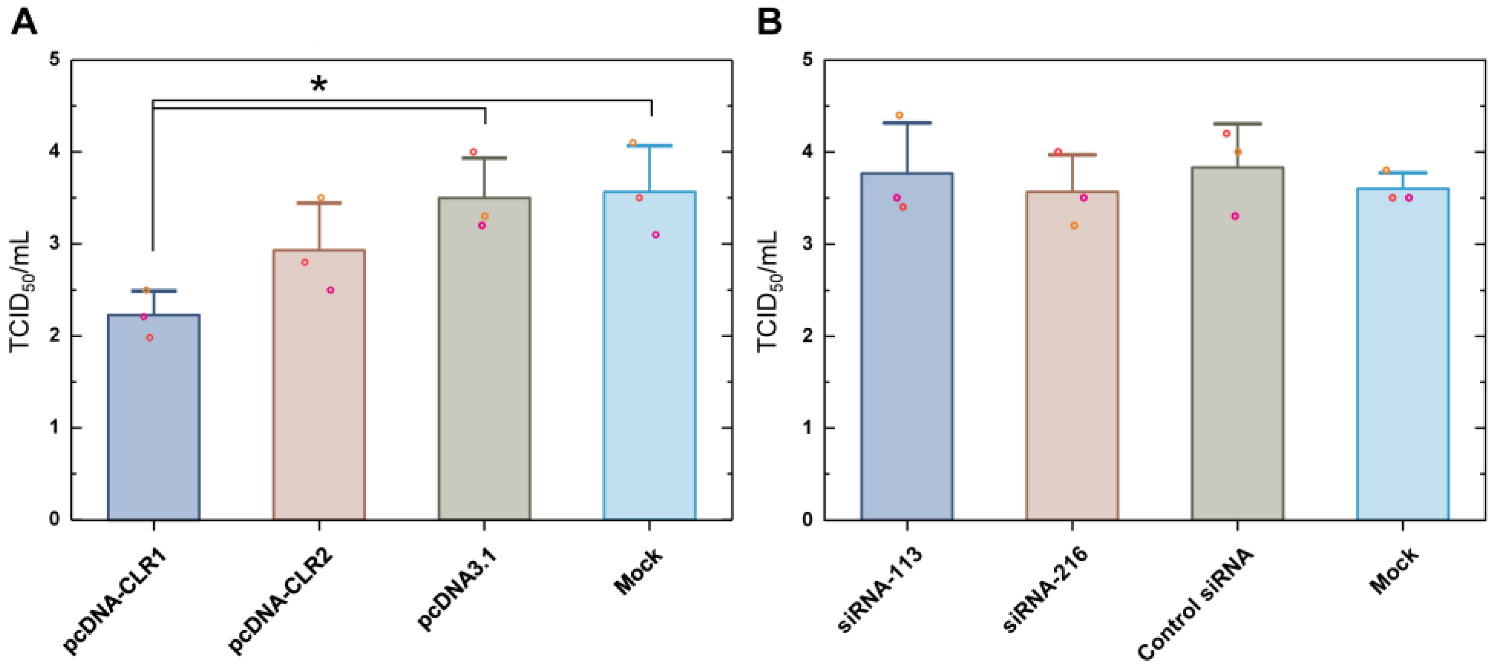
3.6. Early H9N2 Virus Growth Is Decreased in CLR-1-Expressing DF-1 Cells
4. Discussion
5. Conclusions
Supplementary Materials
Author Contributions
Funding
Institutional Review Board Statement
Data Availability Statement
Acknowledgments
Conflicts of Interest
References
- Carnaccini, S.; Perez, D.R. H9 Influenza Viruses: An Emerging Challenge. Cold Spring Harb. Perspect. Med. 2020, 10, a038588. [Google Scholar] [CrossRef] [PubMed]
- Kishida, N.; Sakoda, Y.; Eto, M.; Sunaga, Y.; Kida, H. Co-infection of Staphylococcus aureus or Haemophilus paragallinarum exacerbates H9N2 influenza A virus infection in chickens. Arch. Virol. 2004, 149, 2095–2104. [Google Scholar] [CrossRef] [PubMed]
- Hassan, K.E.; Ali, A.; Shany, S.A.S.; El-Kady, M.F. Experimental co-infection of infectious bronchitis and low pathogenic avian influenza H9N2 viruses in commercial broiler chickens. Res. Vet. Sci. 2017, 115, 356–362. [Google Scholar] [CrossRef] [PubMed]
- Haghighat-Jahromi, M.; Asasi, K.; Nili, H.; Dadras, H.; Shooshtari, A.H. Coinfection of avian influenza virus (H9N2 subtype) with infectious bronchitis live vaccine. Arch. Virol. 2008, 153, 651–655. [Google Scholar] [CrossRef] [PubMed]
- Peacock, T.H.P.; James, J.; Sealy, J.E.; Iqbal, M. A Global Perspective on H9N2 Avian Influenza Virus. Viruses 2019, 11, 620. [Google Scholar] [CrossRef] [PubMed]
- Liu, G.; Dunnington, E.A.; Siegel, P.B. Correlated responses to long-term divergent selection for eight-week body weight in chickens: Growth, sexual maturity, and egg production. Poult. Sci. 1995, 74, 1259–1268. [Google Scholar] [CrossRef]
- Miller, L.L.; Siegel, P.B.; Dunnington, E.A. Inheritance of antibody response to sheep erythrocytes in lines of chickens divergently selected for fifty-six-day body weight and their crosses. Poult. Sci. 1992, 71, 47–52. [Google Scholar] [CrossRef]
- Kwon, J.S.; Lee, H.J.; Lee, D.H.; Lee, Y.J.; Mo, I.P.; Nahm, S.S.; Kim, M.J.; Lee, J.B.; Park, S.Y.; Choi, I.S.; et al. Immune responses and pathogenesis in immunocompromised chickens in response to infection with the H9N2 low pathogenic avian influenza virus. Virus Res. 2008, 133, 187–194. [Google Scholar] [CrossRef]
- Lee, D.H.; Yuk, S.S.; Park, J.K.; Kwon, J.H.; Tseren-Ochir, E.O.; Noh, J.Y.; Yu, S.Y.; Hwang, S.Y.; Lee, S.W.; Song, C.S. Innate immune response gene expression profiles in specific pathogen-free chickens infected with avian influenza virus subtype H9N2. BioChip J. 2013, 7, 393–398. [Google Scholar] [CrossRef]
- Bermejo-Jambrina, M.; Eder, J.; Helgers, L.C.; Hertoghs, N.; Nijmeijer, B.M.; Stunnenberg, M.; Geijtenbeek, T.B.H. C-Type Lectin Receptors in Antiviral Immunity and Viral Escape. Front. Immunol. 2018, 9, 590. [Google Scholar] [CrossRef]
- Sano, H.; Kuroki, Y. The lung collectins, SP-A and SP-D, modulate pulmonary innate immunity. Mol. Immunol. 2005, 42, 279–287. [Google Scholar] [CrossRef] [PubMed]
- Hogenkamp, A.; Isohadouten, N.; Reemers, S.S.; Romijn, R.A.; Hemrika, W.; White, M.R.; Tefsen, B.; Vervelde, L.; van Eijk, M.; Veldhuizen, E.J.; et al. Chicken lung lectin is a functional C-type lectin and inhibits haemagglutination by influenza A virus. Vet. Microbiol. 2008, 130, 37–46. [Google Scholar] [CrossRef] [PubMed]
- Lee, D.H.; Fusaro, A.; Song, C.S.; Suarez, D.L.; Swayne, D.E. Poultry vaccination directed evolution of H9N2 low pathogenicity avian influenza viruses in Korea. Virology 2016, 488, 225–231. [Google Scholar] [CrossRef]
- Youk, S.S.; Lee, D.H.; Jeong, J.H.; Pantin-Jackwood, M.J.; Song, C.S.; Swayne, D.E. Live bird markets as evolutionary epicentres of H9N2 low pathogenicity avian influenza viruses in Korea. Emerg. Microbes Infect. 2020, 9, 616–627. [Google Scholar] [CrossRef]
- Lee, Y.N.; Lee, D.H.; Park, J.K.; Lim, T.H.; Youn, H.N.; Yuk, S.S.; Lee, Y.J.; Mo, I.P.; Sung, H.W.; Lee, J.B.; et al. Isolation and characterization of a novel H9N2 influenza virus in Korean native chicken farm. Avian Dis. 2011, 55, 724–727. [Google Scholar] [CrossRef] [PubMed]
- Spackman, E.; Senne, D.A.; Myers, T.J.; Bulaga, L.L.; Garber, L.P.; Perdue, M.L.; Lohman, K.; Daum, L.T.; Suarez, D.L. Development of a real-time reverse transcriptase PCR assay for type A influenza virus and the avian H5 and H7 hemagglutinin subtypes. J. Clin. Microbiol. 2002, 40, 3256–3260. [Google Scholar] [CrossRef] [PubMed]
- Livak, K.J.; Schmittgen, T.D. Analysis of relative gene expression data using real-time quantitative PCR and the 2(-Delta Delta C(T)) Method. Methods 2001, 25, 402–408. [Google Scholar] [CrossRef]
- Yuk, S.S.; Lee, D.H.; Park, J.K.; Tseren-Ochir, E.O.; Kwon, J.H.; Noh, J.Y.; Lee, J.B.; Park, S.Y.; Choi, I.S.; Song, C.S. Pre-immune state induced by chicken interferon gamma inhibits the replication of H1N1 human and H9N2 avian influenza viruses in chicken embryo fibroblasts. Virol. J. 2016, 13, 71. [Google Scholar] [CrossRef]
- Miller, M.M.; Goto, R.; Bernot, A.; Zoorob, R.; Auffray, C.; Bumstead, N.; Briles, W.E. Two Mhc class I and two Mhc class II genes map to the chicken Rfp-Y system outside the B complex. Proc. Natl. Acad. Sci. USA 1994, 91, 4397–4401. [Google Scholar] [CrossRef]
- Delany, M.E.; Robinson, C.M.; Goto, R.M.; Miller, M.M. Architecture and organization of chicken microchromosome 16: Order of the NOR, MHC-Y, and MHC-B subregions. J. Hered. 2009, 100, 507–514. [Google Scholar] [CrossRef]
- Lu, S.; Wang, J.; Chitsaz, F.; Derbyshire, M.K.; Geer, R.C.; Gonzales, N.R.; Gwadz, M.; Hurwitz, D.I.; Marchler, G.H.; Song, J.S.; et al. CDD/SPARCLE: The conserved domain database in 2020. Nucleic Acids Res. 2020, 48, D265–D268. [Google Scholar] [CrossRef] [PubMed]
- Wigley, P. Genetic resistance to Salmonella infection in domestic animals. Res. Vet. Sci. 2004, 76, 165–169. [Google Scholar] [CrossRef] [PubMed]
- Bumstead, N.; Barrow, P. Resistance to Salmonella gallinarum, S. pullorum, and S. enteritidis in inbred lines of chickens. Avian Dis. 1993, 37, 189–193. [Google Scholar] [CrossRef] [PubMed]
- Xu, L.; He, Y.; Ding, Y.; Liu, G.E.; Zhang, H.; Cheng, H.H.; Taylor, R.L., Jr.; Song, J. Genetic assessment of inbred chicken lines indicates genomic signatures of resistance to Marek’s disease. J. Anim. Sci. Biotechnol. 2018, 9, 65. [Google Scholar] [CrossRef] [PubMed]
- Blohm, U.; Weigend, S.; Preisinger, R.; Beer, M.; Hoffmann, D. Immunological Competence of Different Domestic Chicken Breeds Against Avian Influenza Infection. Avian Dis. 2016, 60, 262–268. [Google Scholar] [CrossRef]
- Lee, Y.J.; Shin, J.Y.; Song, M.S.; Lee, Y.M.; Choi, J.G.; Lee, E.K.; Jeong, O.M.; Sung, H.W.; Kim, J.H.; Kwon, Y.K.; et al. Continuing evolution of H9 influenza viruses in Korean poultry. Virology 2007, 359, 313–323. [Google Scholar] [CrossRef] [PubMed]
- Nielsen, O.L.; Jensenius, J.C.; Jorgensen, P.H.; Laursen, S.B. Serum levels of chicken mannan-binding lectin (MBL) during virus infections; indication that chicken MBL is an acute phase reactant. Vet. Immunol. Immunopathol. 1999, 70, 309–316. [Google Scholar] [CrossRef]
- Reemers, S.S.; Veldhuizen, E.J.; Fleming, C.; van Haarlem, D.A.; Haagsman, H.; Vervelde, L. Transcriptional expression levels of chicken collectins are affected by avian influenza A virus inoculation. Vet. Microbiol. 2010, 141, 379–384. [Google Scholar] [CrossRef]
- Iizuka, K.; Naidenko, O.V.; Plougastel, B.F.; Fremont, D.H.; Yokoyama, W.M. Genetically linked C-type lectin-related ligands for the NKRP1 family of natural killer cell receptors. Nat. Immunol. 2003, 4, 801–807. [Google Scholar] [CrossRef]
- Viertlboeck, B.C.; Wortmann, A.; Schmitt, R.; Plachy, J.; Gobel, T.W. Chicken C-type lectin-like receptor B-NK, expressed on NK and T cell subsets, binds to a ligand on activated splenocytes. Mol. Immunol. 2008, 45, 1398–1404. [Google Scholar] [CrossRef]
- Taylor, R.L., Jr. Major histocompatibility (B) complex control of responses against Rous sarcomas. Poult. Sci. 2004, 83, 638–649. [Google Scholar] [CrossRef] [PubMed]
- Bacon, L.D.; Crittenden, L.B.; Witter, R.L.; Fadly, A.; Motta, J. B5 and B15 associated with progressive Marek’s disease, Rous sarcoma, and avian leukosis virus-induced tumors in inbred 15I4 chickens. Poult. Sci. 1983, 62, 573–578. [Google Scholar] [CrossRef] [PubMed]
- Briles, W.E.; Briles, R.W.; Pollock, D.L.; Pattison, M. Marek’s disease resistance of B (MHC) heterozygotes in a cross of purebred Leghorn lines. Poult. Sci. 1982, 61, 205–211. [Google Scholar] [CrossRef] [PubMed]
- Wakenell, P.S.; Miller, M.M.; Goto, R.M.; Gauderman, W.J.; Briles, W.E. Association between the Rfp-Y haplotype and the incidence of Marek’s disease in chickens. Immunogenetics 1996, 44, 242–245. [Google Scholar] [CrossRef]
- Silva, A.P.D.; Gallardo, R.A. The Chicken MHC: Insights into Genetic Resistance, Immunity, and Inflammation Following Infectious Bronchitis Virus Infections. Vaccines 2020, 8, 637. [Google Scholar] [CrossRef]






| Chicken Breed | Swab Route 1 | Number of Virus Shedding Positive/Total (Mean Virus Titer) 2 | Number of Seroconverted/Total | |||
|---|---|---|---|---|---|---|
| 3 dpi | 5 dpi | 7 dpi | Total | |||
| LB | OP | 8/10 (3.6) | 10/10 (6.1) | 8/10 (3.5) | 10/10 | 10/10 |
| CL | 3/10 (2.6) | 6/10 (3.7) | 5/10 (3.0) | 6/10 * | ||
| LW | OP | 7/10 (4.1) | 10/10 (6.0) | 7/10 (3.3) | 10/10 | 10/10 |
| CL | 2/10 (2.3) | 10/10 (7.0) | 8/10 (4.7) | 10/10 | ||
Disclaimer/Publisher’s Note: The statements, opinions and data contained in all publications are solely those of the individual author(s) and contributor(s) and not of MDPI and/or the editor(s). MDPI and/or the editor(s) disclaim responsibility for any injury to people or property resulting from any ideas, methods, instructions or products referred to in the content. |
© 2024 by the authors. Licensee MDPI, Basel, Switzerland. This article is an open access article distributed under the terms and conditions of the Creative Commons Attribution (CC BY) license (https://creativecommons.org/licenses/by/4.0/).
Share and Cite
Youk, S.; Lee, D.-H.; Song, C.-S. Differing Expression and Potential Immunological Role of C-Type Lectin Receptors of Two Different Chicken Breeds against Low Pathogenic H9N2 Avian Influenza Virus. Pathogens 2024, 13, 95. https://doi.org/10.3390/pathogens13010095
Youk S, Lee D-H, Song C-S. Differing Expression and Potential Immunological Role of C-Type Lectin Receptors of Two Different Chicken Breeds against Low Pathogenic H9N2 Avian Influenza Virus. Pathogens. 2024; 13(1):95. https://doi.org/10.3390/pathogens13010095
Chicago/Turabian StyleYouk, Sungsu, Dong-Hun Lee, and Chang-Seon Song. 2024. "Differing Expression and Potential Immunological Role of C-Type Lectin Receptors of Two Different Chicken Breeds against Low Pathogenic H9N2 Avian Influenza Virus" Pathogens 13, no. 1: 95. https://doi.org/10.3390/pathogens13010095
APA StyleYouk, S., Lee, D.-H., & Song, C.-S. (2024). Differing Expression and Potential Immunological Role of C-Type Lectin Receptors of Two Different Chicken Breeds against Low Pathogenic H9N2 Avian Influenza Virus. Pathogens, 13(1), 95. https://doi.org/10.3390/pathogens13010095

