Abstract
Ensuring the long-term performance of infrastructure in cold regions necessitates evaluating the frost durability of subgrade materials. This study comprehensively investigates the mechanical behavior of cement-stabilized silty clay, a common material for subgrade improvement, under freeze–thaw (F–T) cycles. A series of unconfined compressive strength (UCS) and resilient modulus (MR) tests were conducted to quantify the effects of cement content (3%, 6%, 9%), initial moisture content (OMC − 2% to OMC + 6%), and the number of F–T cycles (0 to 9). The results demonstrate that increasing the cement content significantly enhances the MR, with the most effective improvement observed up to 6%. Specifically, increasing cement from 3% to 6% boosted MR by 11.62% to 26.69%, while a further increase to 9% yielded a smaller gain of 4.59% to 12.60%, indicating an optimal content. Both UCS and MR peak at the optimum moisture content (OMC) and degrade markedly with F–T cycles, with the first cycle causing over 50% of the total MR loss in most cases. Properties tend to stabilize after approximately six cycles. The stabilized soil exhibits superior performance, with its MR being 2.29–2.43 times that of the original soil at OMC after nine F–T cycles. Furthermore, a logarithmic model (R2 = 0.87–0.94) effectively captures the attenuation of MR with F–T cycles, while a strong linear relationship (R2 = 0.90–0.96) exists between the initial moisture content and the degradation coefficient. An empirical predictive model for UCS, integrating cement content, moisture content, and F–T cycles, is proposed and shows excellent correlation with experimental data (R2 > 0.92). Microstructural analysis reveals that the enhancement mechanism is attributed to hydration, cation exchange, and flocculation, which collectively form a stable cementitious network. The findings and proposed models provide critical quantitative insights for optimizing the design of frost-resistant cement-stabilized subgrades, thereby contributing to the enhanced durability and performance of overlying structures in seasonal freeze–thaw environments.
1. Introduction
In seasonal frozen regions, the exposure of subgrade to low temperatures and repeated freeze–thaw (F–T) cycles poses significant challenges to the mechanical properties of soil, such as resilient modulus and unconfined compressive strength (UCS) [1,2]. Silty clay, as a common subgrade filling material in seasonal frozen regions, is prone to geotechnical problems such as frost heave and thaw settlement due to its strong capillary action and permeability that facilitate the migration and accumulation of water [3].
In order to reduce the engineering cost of transporting excellent fillers from other places, while ensuring the project quality, a commonly used method is to improve the soil on the original soil. Scholars add solidifying agents such as cement, sandstone, nanomaterials, and lime to soil to improve its engineering performance [4,5,6]. Fibers primarily enhance soil strength and stability through physical reinforcement and the formation of a three-dimensional network structure, whereas cement reinforces soil by undergoing chemical reactions such as hydrolysis, hydration, and carbonation, along with physical hardening processes, to form stable crystalline compounds [7,8].
Compared to the above techniques, cement-improved soil is a relatively effective method due to its ease of preparation, the wide availability of materials, its cost-effectiveness, and the creation of a high-performance geotechnical material [9]. The effectiveness of cement-based binders in enhancing material properties is well-established across civil engineering disciplines. Beyond ground improvement, cementitious composites play a crucial role in structural retrofit applications, such as using Fabric-Reinforced Cementitious Matrix (FRCM) to confine and strengthen reinforced concrete columns [10]. This broad utility underscores the fundamental value of understanding hydration, bonding, and durability in cement-enhanced systems. Focusing again on geotechnical applications, cement-stabilized soil has been widely used in civil engineering applications, such as subgrade construction [11], foundation engineering [12], landfill [13], and soil reinforcement [14,15]. Bahar R et al. studied the compressive strength of cement-stabilized sandy clay, and the experimental results showed that the addition of cement effectively improved the physical and mechanical properties [16]. Xiao et al. conducted an experimental investigation into the mechanisms governing the variation of UCS and tensile strength in cement-stabilized soil, finding that the incorporation of fibers into cement-stabilized soil significantly enhances compressive strength, thereby highlighting the efficacy of this reinforcement strategy at both the microscopic and macroscopic scales [17]. The cement content of cement-treated soil determines its solidification degree and physical compaction mechanical properties [18]. Macroscopic and microscopic experiments have shown that clay minerals, moisture content, and cement content control the strength development of cement-stabilized clay at specific solidification times [19]. The assessment of cement content and moisture content impact on cement-stabilized silty clay under freeze–thaw cycles is crucial for longevity and wider adoption in seasonal frozen regions.
Different soil properties, cement contents, and freeze–thaw cycles would change the mechanical properties of soil significantly. In this paper, the influence of the freeze–thaw process on the mechanical properties of the cement-stabilized silty clay was investigated. Different initial moisture contents, cement contents, and freeze–thaw cycles were considered, and the resilient modulus and UCS were tested and discussed. Moreover, the optimal cement content was determined to stabilize silty clay. A resilient modulus freeze–thaw decay coefficient was established, and the prediction model of the USC and resilient modulus was proposed.
2. Materials and Methods
2.1. Materials
The tested soil was sampled from subgrade near Ali River in Hulunbuir, China. Compaction tests were conducted to determine the maximum dry density and corresponding optimum moisture contents (OMCs). The mechanical and physical properties of the soil for experiments are summarized in Table 1. Ordinary Portland cement (P.O 32.5) and ordinary tap water were used in this paper.
Table 1.
Mechanical and physical properties of the test soil.
2.2. Specimen Preparation
The silty clay was naturally air-dried, sieved through 2 mm, and hydrated to the target moisture content. The moist soil was then sealed in a plastic bag for 24 h to attain moisture equilibrium. Subsequently, the cement was incorporated into the moist soil and mechanically blended to ensure uniform distribution. The resulting cement-stabilized soil was statically compacted in a φ 5 cm × 10 cm mold in five layers. The compacted specimen was sealed and cured at 20 °C with 95% relative humidity for 28 days.
Lower the freezing temperature led to more significant degradation of soil mechanical properties under the same number of freeze–thaw cycles [20,21]. In this study, a temperature-controlled freezer was utilized to set the freezing temperature at −15 °C, ensuring thorough freezing of the specimen. To optimize the freezing process, the duration was maintained for over 12 h. Then, the specimen was exposed to ambient conditions of 20 °C for 12 h, allowing for a gradual and uniform natural thawing process. This 24 h procedure constitutes one complete freeze–thaw cycle. The detailed test conditions are shown in Table 2.
Table 2.
Test conditions for cement-stabilized soil.
2.3. Tests Methods
2.3.1. Resilient Modulus Test
The cyclic triaxial tests followed the loading sequence recommended by AASHTO T307-99 for subgrade soil, as detailed in Table 3 [22]. A half-sine waveform was employed for loading, with a 0.2 s load duration and a 0.8 s rest period. Three parallel specimens were tested under each test condition, and the average resilient modulus of the three specimens was calculated for analysis. The Cyclic Triaxial System (CTX) was used to conduct the test, as shown in Figure 1. The resilient modulus test comprises preloading and testing phases. Initially, a cyclic half-sine pulse load with an axial stress of 27.6 kPa and confining pressure of 41.4 kPa is applied to the specimen for 1000 cycles. Subsequently, a similar half-pulse load approximating the target axial stress is applied 100 times, with a frequency of 1 Hz.
Table 3.
Dynamic modulus of resilience loading sequence.
Figure 1.
Dynamic triaxial test system.
2.3.2. Unconfined Compression Test
The unconfined compression test was carried out with a dynamic triaxial loading system at 20 °C. In order to reduce the friction between the specimen and the loading head, the top of the specimen was evenly coated with Vaseline (Unilever, Englewood Cliffs, NJ, USA). The specimen was loaded at a constant displacement rate of 2 mm/min until the specimen was destroyed. The specimens after the unconfined compression test are shown in Figure 2.
Figure 2.
Failure process of original soil and cement-stabilized soil.
After reaching their peak values, the UCSs of both cement-stabilized soil and original soil decline rapidly, exhibiting brittle failure characteristics with distinct shear failure planes. The failure process of cement-stabilized soil specimens can be divided into three stages, as illustrated in Figure 2. The first stage corresponds to the emergence of microcracks, shown in Figure 2a,b. Figure 2c captures the second stage, where these cracks propagate further in parallel or slightly inclined directions without forming an obvious shear plane. The third stage illustrated in Figure 2d occurs under critical stress, where microcracks interconnect to form large cracks, leading to the development of a shear slip plane and complete failure of the specimen. This phenomenon arises because the addition of cement to silty clay initiates a series of physicochemical reactions between the cement and soil, creating a spatial structure within the soil mass that enhances the strength of the cement-stabilized soil [23,24]. Once this structure is disrupted by external loads, the strength of the cement-stabilized soil decreases rapidly. Furthermore, a crucial distinction from original soil lies in the fact that once the internal structure of cement-stabilized soil is compromised, its strength becomes notably difficult to regain. This highlights the irreversible nature of the structural integrity and strength enhancement conferred by the cement stabilization process [25].
3. Results and Discussion
3.1. Resilient Modulus of Cement-Stabilized Silty Clay
3.1.1. Effect of Moisture Content on Resilient Modulus
As shown in Figure 3, the symbols σ3, σd, and n denote the confining pressure, deviator stress, and freeze–thaw cycles, respectively. Under identical stress conditions and F–T cycles, the resilient modulus attains its optimal value at OMC. Furthermore, significant variations are observed in the resilient modulus at moisture contents above and below the OMC. When the moisture content is below OMC, the resilient modulus changes relatively gradually, whereas a more rapid variation is observed when the moisture content exceeds OMC.
Figure 3.
Variation curves of resilient modulus and moisture content under different F–T cycles.
3.1.2. Effect of Cement Content on Resilient Modulus
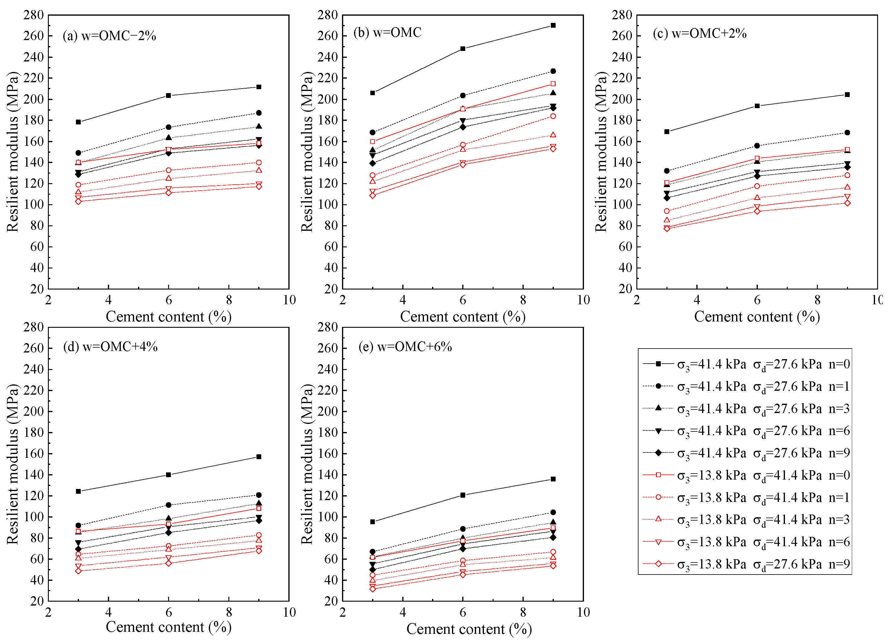
When investigating the influence of varying cement contents on the resilient modulus of cement-stabilized silty clay, due to the numerous loading sequences, two representative loading sequences were selected for analysis to assess the effect of cement content on the resilient modulus. These sequences are referenced from the Strategic Highway Research Program (SHRP) P-46 study [26], which proposed a 154.6 kPa volumetric stress and 13.0 kPa octahedral shear stress, and the National Cooperative Highway Research Program (NCHRP) 1-28A study [27], which specified an 83.0 kPa volumetric stress and 19.3 kPa octahedral shear stress. These correspond to loading sequences 2 and 13, respectively, in T307-99. The compaction degree was set at 95%, and the corresponding changes in the resilient modulus of cement-stabilized soil with varying cement contents, considering different initial moisture contents and F–T cycles, are illustrated in Figure 4.
Figure 4.
The relationship between resilient modulus and cement content of cement-stabilized soil.
The influence of cement content on the resilient modulus of cement-stabilized silty clay is significant. At a cement content of 3%, the resilient modulus of silty clay experiences a significant enhancement. As the cement content increases, the resilient modulus correspondingly rises. Taking a moisture content of OMC + 6% as an example, after nine F–T cycles, the resilient modulus loss rate for a 3% cement content is 48.21%, whereas for a 6% cement content, it reduces to 41.86%; it further decreases to 40.49% for a 9% cement content. Different cement contents also alter the degree of impact that F–T cycles have on cement-stabilized soil. With a higher cement content, the variation in resilient modulus under freeze–thaw cycling becomes less pronounced. As the cement content is increased from 3% to 6%, the resilient modulus exhibits a growth rate ranging from 11.62% to 26.69% across various moisture levels. Conversely, when the cement content further increases from 6% to 9%, the resilient modulus demonstrates a slower growth rate, varying between 4.59% and 12.60%. Furthermore, when the cement content exceeds 6%, the loss rate of resilient modulus tends to plateau, further indicating that the frost resistance of cement-stabilized soil is not linearly related to the cement content. Consequently, a reasonable cement content should be controlled within 6% to optimize performance.
3.1.3. Effect of Freeze–Thaw Cycles on Resilient Modulus
Figure 5 presents the variation curves of the resilient modulus of cement-stabilized soil with the number of F–T cycles at different initial moisture contents, with a fixed cement content of 6%. After undergoing F–T cycles, the resilient modulus of cement-stabilized soil experiences a significant decrease. The most significant decrease in resilient modulus occurs during the initial six F–T cycles, followed by a noticeable slowdown in the rate of decline from the sixth to the ninth cycle. By the ninth cycle, the change in resilient modulus becomes relatively stable. As the moisture content increases from OMC − 2% to OMC + 6%, the average loss rates of the resilient modulus after nine F–T cycles rise from 26.17% to 41.73% (26.17%, 28.82%, 34.29%, 39.10%, and 41.73%, respectively). This indicates that F–T cycles have a substantial impact on the resilient modulus of cement-stabilized soil, with the decay rate gradually increasing as the initial moisture content increases. Cement-stabilized soil specimens with higher initial moisture contents, OMC + 4% and OMC + 6%, demonstrate heightened sensitivity to F–T cycles, leading to a pronounced and rapid decrease in resilient modulus. Therefore, a higher initial moisture content leads to a more significant attenuation of resilient modulus under the same number of F–T cycles. Across all cement-stabilized soil samples, the decrease in resilient modulus after 0–3 F–T cycles is more pronounced than that after 3–9 cycles. At initial moisture contents ranging from OMC − 2% to OMC + 6%, the decline in resilient modulus after the first freeze–thaw cycle accounts for 53.09%, 61.64%, 55.25%, 53.77%, and 64.10% of the total decrease, respectively, demonstrating that the first freeze–thaw cycle has the most significant impact on the resilient modulus of cement-stabilized soil, with a decrease exceeding 50% of the total decline.
Figure 5.
The relationship between resilient modulus and F–T cycles at a 6% cement content.
3.1.4. Effect of Stress State on Resilient Modulus
Given the stress-dependency of the resilient modulus of subgrade soil, it is imperative to conduct a further analysis on the influence of stress states on the resilient modulus of cement-stabilized soil [28,29]. In terms of the selection of stress states, referring to relevant studies, the primary focus should be on the shear effect dominated by octahedral shear stress and the lateral pressure effect predominantly influenced by volumetric stress.
Figure 6 and Figure 7 show the variations in the resilient modulus when the cement content was 6%, the degree of compaction was 95%, and the OMC was maintained. When the confining pressure is constant, the dynamic resilient modulus of cement-stabilized silty clay generally decreases gradually with the increase of octahedral stress, aligning with the same variation pattern observed in subgrade soil. Under the same deviatoric stress state, the resilient modulus of cement-stabilized silty clay linearly increases with an increase in volumetric stress, maintaining a proportional relationship that is in line with the observations reported by Muir Wood and Ng [30,31].
Figure 6.
The relationship between rebound modulus and octahedral stress.
Figure 7.
The relationship between rebound modulus and changes in bulk stress.
3.1.5. Comparison of Resilient Modulus Between Original Soil and Cement-Stabilized Soil
Based on the loading sequences, two representative stress states were selected for the resilient modulus test results analysis: the first with a confining pressure of 41.4 kPa and deviatoric stress of 27.6 kPa, and the second with a confining pressure of 13.8 kPa and deviatoric stress of 41.4 kPa. As depicted in Figure 8, the resilient modulus exhibits a pronounced decrease with an increase in the number of F–T cycles. The resilient modulus of cement-stabilized soil is significantly higher than that of the original soil under the same condition. After nine F–T cycles, at the OMC and OMC + 6%, the resilient modulus of cement-stabilized soil is approximately 2.29 to 2.43 times and 1.41 to 1.68 times higher, respectively, than the original soil.
Figure 8.
Comparison of resilient modulus between cement-stabilized soil and original soil.
3.2. Resilient Modulus Freeze–Thaw Decay Coefficient
Under the same confining pressure and deviatoric stress, the resilient modulus of cement-stabilized silty clay gradually decreases with the increase of F–T cycles and finally tends to be stable relatively. The resilient modulus value of the specimen after n F–T cycles is MRn, and the initial resilient modulus is MR0. Finally, the dynamic resilient modulus attenuation coefficient of cement-stabilized soil can be calculated by Equation (1).
Assuming a 6% cement content and under the same stress state and initial moisture content, the decay coefficient of the resilient modulus is solely dependent on the moisture content. Based on this premise, the correlation between the number of F–T cycles and the decay coefficient of the resilient modulus was analyzed. As evident from the experimental results and fitted outcomes presented in Figure 9, the decay coefficient of the resilient modulus approximately follows a logarithmic function trend. A relationship between the decay coefficient of the resilient modulus, the number of F–T cycles, and the moisture content were established, as expressed in Equation (2). It can be observed that the logarithmic function equation provides a good fit for the relationship between the number of F–T cycles and the decay coefficient of the resilient modulus, with R2 values ranging from 0.87 to 0.94.
where A and B are both experimental parameters, while n represents the number of F–T cycles.
Figure 9.
The relationship between resilient modulus decay coefficient and the number of F–T cycles at a 6% cement content.
Assuming a 6% cement content and under the same stress state and number of F–T cycles, the effects of different initial moisture contents and freeze–thaw cycling on the decay coefficient of the resilient modulus are considered independent; under certain conditions, the decay coefficient of the resilient modulus is solely dependent on the initial moisture content. The correlation between the initial moisture content and the decay coefficient of the resilient modulus was analyzed. The fitting parameters and results are illustrated in Figure 10. It can be observed that the relationship between the initial moisture content and the decay coefficient of the resilient modulus is well-fitted by a linear equation, with R2 values ranging from 0.90 to 0.96, as expressed in Equation (3), confirming a strong linear relationship between the initial moisture content and the decay coefficient of the resilient modulus.
where η represents the resilient modulus degradation coefficient, a and b are parameters related to the initial moisture content, and w denotes the initial moisture content.
Figure 10.
The relationship between resilient modulus decay coefficient and initial moisture content at a 6% cement content.
The fitting results of the attenuation coefficient and initial moisture content under different F–T cycles are summarized in Table 4.
Table 4.
Fitting parameters for the attenuation coefficient and initial moisture content.
It can be observed that there exists a certain relationship between the parameter b and the number of F–T cycles. As the number of F–T cycles increases, the slope of the line gradually increases, indicating that with the increase in F–T cycles, the rate of change in the resilient modulus degradation coefficient gradually accelerates with the increase in initial moisture content.
The attenuation coefficient of resilient modulus of cement-stabilized silty clay is mainly determined by the initial moisture content and the number of F–T cycles [32]. Assuming that these two influencing factors act on the resilient modulus simultaneously, an empirical model for estimating the attenuation coefficient of resilient modulus is proposed in Equation (4).
where η represents the modulus of resilience degradation coefficient, while wc and n denote the initial moisture content and the number of F–T cycles of the cement-stabilized soil, respectively. a is the regression coefficient related to the effect of F–T cycles, b is the regression coefficient associated with the influence of initial moisture content, and c serves as a comprehensive regression coefficient.
Using Equation (4) for analysis and fitting, all regression coefficients and correlation coefficients of the empirical model were obtained, as shown in Table 5. Figure 11 presents a comparison of the predicted and measured resilience modulus degradation coefficients. As illustrated in Figure 11, all experimental results are represented as bar charts, while the predicted resilience modulus degradation coefficients using Equation (4) are depicted as surface meshes. Figure 11 specifically contrasts the predicted results with the test outcomes. The comparative analysis between the experimental and predicted results demonstrates that the model’s predictions of resilience modulus degradation coefficients exhibit good agreement with the experimental data.
Table 5.
The regression and correlation coefficients for the attenuation coefficient of resilient modulus.
Figure 11.
The comparison of measured and predicted results for the resilient modulus decay coefficient.
3.3. UCS of Cement-Stabilized Silty Clay
3.3.1. Effect of Moisture Content on UCS
To comprehensively evaluate the impact of varying F–T cycles on the UCS of cement- stabilized silty clay, the UCS after different F–T cycles was analyzed through strength degradation calculations. As depicted in Figure 12, with the increase in F–T cycles, the UCS of cement-stabilized soil exhibits a clear downward trend, and the degree of degradation varies significantly after each cycle. Notably, the first freeze–thaw cycle results in the most significant UCS degradation, with the steepest curve slope and a strength loss accounting for approximately 41.25% to 79.37% of the total loss. Following six F–T cycles, the rate of UCS degradation slows down and gradually stabilizes, exhibiting a trend that aligns well with an exponential function. This indicates that after a certain number of F–T cycles, the UCS degradation rate of cement-stabilized soil decelerates and the influence of further F–T cycles on its UCS gradually plateaus.
Figure 12.
The correlation between UCS and F–T cycles.
3.3.2. Effect of Cement Content on UCS
By selecting the OMC and OMC + 6% as the initial moisture conditions, the relationship between the UCS of cement-stabilized silty clay after F–T cycles and the cement content was analyzed, as illustrated in Figure 13. The impact of cement content on the UCS of cement-stabilized silty clay under freeze–thaw conditions was pronounced. Under the same number of F–T cycles, the UCS degradation rate of cement-stabilized soil with a 9% cement content is consistently lower than that with a 3% cement content, indicating that an increase in cement content enhances the frost resistance of the soil. Specifically, after nine F–T cycles, the UCS of cement-stabilized silty clay with a 3% cement content declines from 2.32 MPa and 0.66 MPa to 1.52 MPa and 0.18 MPa, respectively, with strength loss rates of 34.48% and 72.73%, respectively, marking a significant reduction. For a 6% cement content, the UCS loss rates after nine cycles are 30.11% and 59.05%, respectively. Furthermore, at a 9% cement content, the UCS loss rates decrease to 29.41% and 51.22%, respectively. As the cement content increases, the UCS loss rate gradually decreases, albeit at a slower pace, aligning with a logarithmic growth trend. Balancing material performance and economic considerations, the optimal cement content should be controlled within 6%.
Figure 13.
The relationship between UCS and cement content.
3.3.3. Effect of Freeze–Thaw Cycles on UCS
As the number of F–T cycles increases, the UCS of cement-stabilized soil experiences a significant downward trend, with varying degrees of degradation after each cycle. During the first freeze–thaw cycle, the UCS degradation is most significant, exhibiting the steepest slope in the curve, and the strength loss accounts for approximately 41.25% to 79.37% of the total loss, as shown in Figure 14. After six F–T cycles, the rate of UCS degradation slows down and gradually stabilizes, following a trend that closely resembles an exponential function. This indicates that after a certain number of F–T cycles, the rate of UCS degradation in cement-stabilized soil decelerates, and the impact of further F–T cycles on its UCS gradually plateaus.
Figure 14.
The relationship between UCS and F–T cycles.
3.3.4. Comparison of UCS Between Cement-Stabilized Soil and Original Soil
Under the moisture content of OMC and OMC + 6%, the relationship between the UCS of original soil and cement-stabilized soil and the number of F–T cycles is shown in Figure 15.
Figure 15.
Comparison of UCS between cement-stabilized soil and original soil.
The UCS of both the cement-stabilized soil and original soil gradually decreases as the number of F–T cycles increases. Under the same initial conditions, the UCS of cement-stabilized soil is significantly higher than that of original soil; after nine F–T cycles, at OMC and OMC + 6%, the UCS of cement-stabilized soil is 3.11 times and 1.95 times that of original soil, respectively.
3.4. UCS Prediction Model of Cement-Stabilized Silty Clay
The UCS of cement-stabilized silty clay depends on the cement content, initial moisture content, and F–T cycles. Assuming that these three influencing factors jointly affect UCS, an estimated empirical model was proposed in Equation (5).
where UCS represents the unconfined compressive strength of cement-stabilized soil and w and n denote the initial moisture content and the number of F–T cycles, respectively. The coefficients a and b are regression coefficients related to the impact of initial moisture content, c represents the regression coefficient associated with the effect of F–T cycles, and d serves as a comprehensive regression coefficient.
The UCS of cement-stabilized soil comprises three components: a quadratic function primarily influenced by the initial moisture content, a logarithmic function dominated by the F–T cycle effect, and a final term that can be regarded as a correction factor. By applying a multivariate nonlinear regression analysis to fit Equation (5), all regression coefficients and correlation coefficients of the empirical model were obtained, as presented in Table 6. Figure 16 illustrates the comparison between the predicted and measured UCS results, with Figure 16b,c displaying the UCS values for all tests represented as bar charts and the UCS predicted using Equation X depicted as surface meshes. Figure 16 specifically contrasts the predicted results with the test outcomes. The comparison between the experimental data and model predictions indicates that the UCS predicted by the empirical model aligns well with the test results.
Table 6.
The regression and correlation coefficients of the UCS empirical model.
Figure 16.
Comparison of fitting results for UCS under different cement contents. All predictions are made within the defined applicability limits of the model.
This empirical model is applicable for predicting the UCS of cement-stabilized silty clay (properties in Table 1) within the experimental ranges of this study: cement content of 3–9%, initial moisture content of OMC − 2% to OMC + 6%, and 0–9 freeze–thaw cycles under the specified curing and testing protocols.
3.5. Reinforcement Mechanism of the Cement-Stabilized Silty Clay
Figure 17 illustrates the reinforcement mechanism in cement-stabilized silty clay. The mixing of cement, water, and silty clay triggers hydration reactions, producing C–S–H gel and Ca(OH)2. These hydration products subsequently interact with the clay soil matrix: the C–S–H gel and Ca(OH)2 encapsulate soil particles and fill the pores, forming a cohesive matrix. Simultaneously, Ca2+ ions released into the pore solution undergo cation exchange with ions on clay particle surfaces, promoting flocculation and a more aggregated fabric [33,34]. The combined effect of network formation and hydration product adhesion enhances the strength of the cement-stabilized soil.
Figure 17.
Cation exchange of the cement-stabilized silty clay.
After cation exchange, the inter-particle distance decreases. The cation exchange leads to flocculation of clay particles, causing regularly oriented particles to become randomly oriented and form aggregates, as shown in Figure 18. Within these aggregates, the primary bonding is provided by the precipitation and intergrowth of nanoscale calcium silicate hydrate (C–S–H) gel from cement hydration. This cementitious matrix physically encapsulates and chemically bonds the soil particles, filling the pores within the flocculated structure. Compared to the original dispersed fabric of the untreated soil, this process (cation exchange and flocculation) transforms the microstructure into a more aggregated, open fabric, which is subsequently cemented by hydration products [35].
Figure 18.
Mechanism schematic diagram of the cement-stabilized silty clay.
4. Conclusions
This study systematically evaluated the frost resistance of cement-stabilized silty clay, a key material for subgrade improvement, through comprehensive laboratory testing. The effects of initial moisture content, cement content, and freeze–thaw (F–T) cycles on the unconfined compressive strength (UCS) and resilient modulus (MR) were quantified. The performance of the stabilized soil was benchmarked against the original soil, and predictive models for property degradation were developed. The main findings, which provide direct implications for foundation treatment in cold regions, are summarized as follows:
- Cement content critically influences the mechanical properties and economic efficiency. The resilient modulus increases with cement content, but the rate of improvement diminishes significantly beyond 6%. Increasing the cement content from 3% to 6% enhanced the MR by 11.62% to 26.69%, whereas a further increase to 9% only yielded an additional 4.59% to 12.60% gain. Therefore, a cement content of approximately 6% is identified as the cost-effective optimum for balancing performance enhancement and material economy in frost-prone environments.
- Freeze–thaw cycling induces significant but quantifiable degradation. While cement stabilization markedly improves properties—resulting in an MR 1.41 to 2.43 times higher than the original soil after nine F–T cycles—both UCS and MR decrease with F–T cycles. The first F–T cycle is the most detrimental, causing over 50% of the total MR loss in most cases, highlighting the importance of initial frost protection during construction. The degradation rate slows substantially after approximately six cycles, indicating a trend towards long-term stability.
- Initial moisture content at compaction is a pivotal control factor. Mechanical properties are optimal at the optimum moisture content (OMC). For instance, the average MR loss after nine cycles increased from 26.17% at OMC − 2% to 41.73% at OMC + 6%. This underscores the necessity of strict moisture control during field compaction to ensure durable subgrade performance.
- The enhanced frost resistance is microstructurally attributed to cementitious bonding and fabric modification. The improvement stems from the synergistic effects of hydration, cation exchange, and flocculation. Hydration products (C–S–H gel, Ca(OH)2) bind soil particles and refine pores, while cation exchange promotes particle aggregation into a stable, cohesive fabric. This reinforced microstructure is fundamental to the material’s retained strength and stiffness after F–T exposure.
Author Contributions
Conceptualization, Y.Z., L.L. and B.H.; methodology, Y.Z.; validation, Y.Z. and B.H.; formal analysis, L.L. and B.H.; data curation, Y.Z.; writing—original draft preparation, L.L.; writing—review and editing, Y.Z. and B.H.; visualization, Y.Z. and L.L.; supervision, L.L.; project administration, B.H.; funding acquisition, Y.Z. All authors have read and agreed to the published version of the manuscript.
Funding
This research was funded by Zhejiang Institute of Communications, grant number 2025rcxm25.
Data Availability Statement
The original contributions presented in this study are included in the article. Further inquiries can be directed to the corresponding author.
Conflicts of Interest
Author Lingjie Li was employed by the company Hangzhou Xiaoshan International Airport Co., Ltd. The remaining authors declare that the research was conducted in the absence of any commercial or financial relationships that could be construed as a potential conflict of interest.
References
- Tao, Z.; Zhang, Y.; Chen, X.; Gu, X. Effects of freeze-thaw cycles on the mechanical properties of cement-fiber composite treated silty clay. Constr. Build. Mater. 2022, 316, 125867. [Google Scholar] [CrossRef]
- Wu, D.; Wang, C.; Liu, H.; Liu, X. Effect of freeze-thaw cycles on mechanical properties of compacted volcanic ash. Constr. Build. Mater. 2023, 369, 130637. [Google Scholar] [CrossRef]
- Song, L.; Chen, S.; Wang, C.; Wen, P.; Chen, H. Engineering properties on salt rock as subgrade filler in dry salt lake: Water retention characteristics and water migration patterns. Constr. Build. Mater. 2023, 406, 133414. [Google Scholar] [CrossRef]
- Quang, T.; Tomoaki, S.; Hiroshi, T. Effect of Waste Cornsilk Fiber Reinforcement on Mechanical Properties of Soft Soils. Transp. Geotech. 2018, 16, 76–84. [Google Scholar] [CrossRef]
- Karimiazar, J.; Teshnizi, E.S.; O’Kelly, B.C.; Sadeghi, S.; Karimizad, N.; Yazdi, A.; Arjmandzadeh, R. Effect of nano-silica on engineering properties of lime-treated marl soil. Transp. Geotech. 2023, 43, 101123. [Google Scholar] [CrossRef]
- Tran, K.Q.; Satomi, T.; Takahashi, H. Improvement of mechanical behavior of cemented soil reinforced with waste cornsilk fibers. Constr. Build. Mater. 2018, 178, 204–210. [Google Scholar] [CrossRef]
- Chen, M.; Shen, S.-L.; Arulrajah, A.; Wu, H.-N.; Hou, D.-W.; Xu, Y.-S. Laboratory evaluation on the effectiveness of polypropylene fibers on the strength of fiber-reinforced and cement-stabilized Shanghai soft clay. Geotext. Geomembr. 2015, 43, 515–523. [Google Scholar] [CrossRef]
- Bu, F.; Liu, J.; Mei, H.; Song, Z.; Wang, Z.; Dai, C.; Qian, W. Cracking behavior of sisal fiber-reinforced clayey soil under wetting-drying cycles. Soil Tillage Res. 2023, 227, 105596. [Google Scholar] [CrossRef]
- Lu, J.; Tan, L.; Pei, W.; Gao, J.; Deng, F.; Zhou, X.; Zhang, Z. Shear behavior of cement-stabilized silty clay exposed to low-temperature curing. Cold Reg. Sci. Technol. 2024, 223, 104215. [Google Scholar] [CrossRef]
- Cascardi, A.; Verre, S.; Ombres, L.; Aiello, M.A. Carbon fabric reinforced cementitious mortar confinement of concrete cylinders: The matrix effect for multi-ply wrapping. Compos. Struct. 2024, 332, 117919. [Google Scholar] [CrossRef]
- Wang, T.-L.; Song, H.-F.; Yue, Z.-R.; Hu, T.-F.; Sun, T.-C.; Zhang, H.-B. Freeze–thaw durability of cement-stabilized macadam subgrade and its compaction quality index. Cold Reg. Sci. Technol. 2019, 160, 13–20. [Google Scholar] [CrossRef]
- Bian, X.; Peng, W.; Qiu, C.; Xu, G.; Yao, Y. Model test on bearing capacity of cemented slurry reinforced pile composite foundation. Case Stud. Constr. Mater. 2023, 19, e02482. [Google Scholar] [CrossRef]
- Devarangadi, M.; Shankar, M.U. Effect on engineering properties of ground granulated blast furnace slag admixed with laterite soil, cement and bentonite mixtures as a liner in landfill. J. Clean. Prod. 2021, 329, 129757. [Google Scholar] [CrossRef]
- Zhang, T.; Zhang, J.; Zhang, Q.; Wan, S. Compressive strength of cemented soil in pre-bored grouted planted piles under negative temperature environment. Transp. Geotech. 2022, 35, 100793. [Google Scholar] [CrossRef]
- Lu, J.; Tan, L.; Yang, H.; Wan, X.; Wang, Y.; Yan, Z. Experimental study on the hydro-thermal-deformation characteristics of cement-stabilized soil exposed to freeze-thaw cycles. Front. Earth Sci. 2023, 10, 1041249. [Google Scholar] [CrossRef]
- Bahar, R.; Benazzoug, M.; Kenai, S. Performance of compacted cement-stabilised soil. Cem. Concr. Compos. 2004, 26, 811–820. [Google Scholar] [CrossRef]
- Xiao, Y.; Tong, L.; Che, H.; Guo, Q.; Pan, H. Experimental studies on compressive and tensile strength of cement-stabilized soil reinforced with rice husks and polypropylene fibers. Constr. Build. Mater. 2022, 344, 128242. [Google Scholar] [CrossRef]
- Wu, Y.; Liu, X.; Yang, J.; Liu, Q. Influence of the wide range cement content on the properties of cement–treated marine soft soil and bound method of semi–solidified soil. Case Stud. Constr. Mater. 2024, 20, e03180. [Google Scholar] [CrossRef]
- Sukmak, G.; Sukmark, P.; Horpibulsuk, S.; Arulrajah, A.; Horpibulsuk, J. Generalized strength prediction equation for cement stabilized clayey soils. Appl. Clay Sci. 2023, 231, 106761. [Google Scholar] [CrossRef]
- Yang, A.; Yang, S.; Zhong, X.; Zhang, X. Mechanical Properties and Structural Evolution of Sludge-cured Lightweight Soils Subjected to Freeze-thaw Cycles. KSCE J. Civ. Eng. 2022, 26, 4478–4488. [Google Scholar] [CrossRef]
- Liu, Q.; Huang, J.; Zhang, Z.; Liu, G.; Jiang, Q.; Liu, L.; Khan, I. Effect of Freeze-Thaw Cycles on the Shear Strength of Root-Soil Composite. Materials 2024, 17, 285. [Google Scholar] [CrossRef]
- AASHTO T307-99; Standard Method of Test for Resilient Modulus of Subgrade Soils and Untreated Base/Subbase Materials. American Association of State Highway and Transportation Officials: Washington, DC, USA, 1999.
- Izuo, H.; Nakarai, K.; Kulik, D.A. Twenty-two-year investigation of strength development and surface deterioration of cement-treated clay in an in-situ field test. Cem. Concr. Compos. 2022, 134, 104783. [Google Scholar] [CrossRef]
- Mengue, E.; Mroueh, H.; Lancelot, L.; Eko, R.M. Physicochemical and consolidation properties of compacted lateritic soil treated with cement. Soils Found. 2017, 57, 60–79. [Google Scholar] [CrossRef]
- Chang, J.-S.; Cho, Y.-C.; Lin, Y.-P. Regeneration of heavy metal contaminated soils for cement production by cement kiln co-processing. Resour. Conserv. Recycl. 2022, 176, 105909. [Google Scholar] [CrossRef]
- Bohra, N.C.; Altschaeffl, A.G.; Drumm, E.C.; Reeves, J.S.; Madgett, M.R.; Trolinger, W.D. Subgrade Resilient Modulus Correction for Saturation Effects. J. Geotech. Geoenviron. Eng. 1999, 125, 233–235. [Google Scholar] [CrossRef]
- Gupta, S.; Ranaivoson, A.; Edil, T.; Benson, C.; Sawangsuriya, A. Pavement Design Using Unsaturated Soil Technology; No. MN/RC-2007-11; Minnesota Department of Transportation: St. Paul, MN, USA, 2007. [Google Scholar]
- Ahmed, M.U.; Hasan, M.M.; Tarefder, R.A. Investigating Stress Dependency of Unbound Layers Using Falling-Weight Deflectometer and Resilient Modulus Tests. Geotech. Test. J. 2016, 39, 954–964. [Google Scholar] [CrossRef]
- Park, H.-S.; Kim, B.-S.; Kato, S.; Park, S.-W. Suction stress effects on stress-dependent resilient modulus of subgrade soils. Road Mater. Pavement Des. 2024, 25, 1229–1248. [Google Scholar] [CrossRef]
- Wood, D.M. Soil Behaviour and Critical State Soil Mechanics; Cambridge University Press: Cambridge, UK, 1991. [Google Scholar]
- Ng, C.W.W.; Zhou, C.; Yuan, Q.; Xu, J. Resilient modulus of unsaturated subgrade soil: Experimental and theoretical investigations. Can. Geotech. J. 2013, 50, 223–232. [Google Scholar] [CrossRef]
- Liu, H.; Qian, J.; Chen, J.; Jin, C.; Qian, X. Investigation of mechanical performance and voids structure of cement-stabilised macadam under freeze-thaw actions. Int. J. Pavement Eng. 2023, 24, 2225120. [Google Scholar] [CrossRef]
- Horpibulsuk, S.; Rachan, R.; Chinkulkijniwat, A.; Raksachon, Y.; Suddeepong, A. Analysis of strength development in cement-stabilized silty clay from microstructural considerations. Constr. Build. Mater. 2010, 24, 2011–2021. [Google Scholar] [CrossRef]
- Yu, H.; Huang, X.; Ning, J.; Zhu, B.; Cheng, Y. Effect of cation exchange capacity of soil on stabilized soil strength. Soils Found. 2014, 54, 1236–1240. [Google Scholar] [CrossRef]
- Cui, Y.-L.; Pan, F.-R.; Zhang, B.-B.; Wang, X.-Q.; Diao, H.-G. Laboratory test of waste mud treated by the flocculation-vacuum-curing integrated method. Constr. Build. Mater. 2022, 328, 127086. [Google Scholar] [CrossRef]
Disclaimer/Publisher’s Note: The statements, opinions and data contained in all publications are solely those of the individual author(s) and contributor(s) and not of MDPI and/or the editor(s). MDPI and/or the editor(s) disclaim responsibility for any injury to people or property resulting from any ideas, methods, instructions or products referred to in the content. |
© 2026 by the authors. Licensee MDPI, Basel, Switzerland. This article is an open access article distributed under the terms and conditions of the Creative Commons Attribution (CC BY) license.

















