Structural Damage Identification with Machine Learning Based Bayesian Model Selection for High-Dimensional Systems
Abstract
1. Introduction
2. Theoretical Background
2.1. Bayesian Theory Model Updating
2.2. ML-Based Candidate Parameters Generation
2.3. Model Selection Based on WAIC
3. Flowchart
4. Numerical Model
5. Comparison with MCMC&ML Without Model Selection
6. Limitation and Future Direction
7. Conclusions
Author Contributions
Funding
Data Availability Statement
Conflicts of Interest
References
- Farrar, C.R.; Worden, K. Structural Health Monitoring: A Machine Learning Perspective; John Wiley & Sons: Hoboken, NJ, USA, 2012. [Google Scholar]
- Sohn, H.; Farrar, C.R.; Hemez, F.M.; Shunk, D.D.; Stinemates, D.W.; Nadler, B.R.; Czarnecki, J.J. A Review of Structural Health Monitoring Literature: 1996–2001; Los Alamos National Laboratory: Los Alamos, NM, USA, 2003; Volume 1, pp. 1–7.
- Zimmerman, D.C.; Yap, K.; Hasselman, T. Evolutionary Approach for Model Refinement. Mech. Syst. Signal Process. 1999, 13, 609–625. [Google Scholar] [CrossRef][Green Version]
- Deng, L.; Cai, C.S. Bridge model updating using response surface method and genetic algorithm. J. Bridge Eng. 2010, 15, 553–564. [Google Scholar] [CrossRef]
- Marwala, T. (Ed.) Finite-element-model Updating Using Particle-swarm Optimization. In Finite-Element-Model Updating Using Computional Intelligence Techniques: Applications to Structural Dynamics; Springer: London, UK, 2010; pp. 67–84. [Google Scholar] [CrossRef]
- Levin, R.I.; Lieven, N.A.J. Dynamic Finite Element Model Updating Using Simulated Annealing and Genetic Algorithms. Mech. Syst. Signal Process. 1998, 12, 91–120. [Google Scholar] [CrossRef]
- Beck, J.L.; Katafygiotis, L.S. Updating models and their uncertainties. I: Bayesian statistical framework. J. Eng. Mech. 1998, 124, 455–461. [Google Scholar] [CrossRef]
- Kouchmeshky, B.; Aquino, W.; Billek, A.E. Structural damage identification using co-evolution and frequency response functions. Struct. Control. Health Monit. 2008, 15, 162–182. [Google Scholar] [CrossRef]
- Zhang, E.L.; Feissel, P.; Antoni, J. A comprehensive Bayesian approach for model updating and quantification of modeling errors. Probabilistic Eng. Mech. 2011, 26, 550–560. [Google Scholar] [CrossRef]
- Yuan, C.; Druzdzel, M.J. Importance sampling algorithms for Bayesian networks: Principles and performance. Math. Comput. Model. 2006, 43, 1189–1207. [Google Scholar] [CrossRef]
- Ching, J.; Muto, M.; Beck, J.L. Structural Model Updating and Health Monitoring with Incomplete Modal Data Using Gibbs Sampler. Comput.-Aided Civ. Infrastruct. Eng. 2006, 21, 242–257. [Google Scholar] [CrossRef]
- Beck, J.L.; Au, S.-K. Bayesian Updating of Structural Models and Reliability using Markov Chain Monte Carlo Simulation. J. Eng. Mech. 2002, 128, 380–391. [Google Scholar] [CrossRef]
- Ching, J.; Chen, Y.-C. Transitional Markov Chain Monte Carlo Method for Bayesian Model Updating, Model Class Selection, and Model Averaging. J. Eng. Mech. 2007, 133, 816–832. [Google Scholar] [CrossRef]
- Cheung, S.H.; Beck, J.L. Bayesian Model Updating Using Hybrid Monte Carlo Simulation with Application to Structural Dynamic Models with Many Uncertain Parameters. J. Eng. Mech. 2009, 135, 243–255. [Google Scholar] [CrossRef]
- Boulkaibet, I.; Mthembu, L.; Marwala, T.; Friswell, M.I.; Adhikari, S. Finite element model updating using the shadow hybrid Monte Carlo technique. Mech. Syst. Signal Process. 2015, 52–53, 115–132. [Google Scholar] [CrossRef]
- Chen, T.; Fox, E.; Guestrin, C. Stochastic Gradient Hamiltonian Monte Carlo. In Proceedings of the 31st International Conference on Machine Learning, Beijing, China, 21–26 June 2014; pp. 1683–1691. [Google Scholar]
- Zeng, J.; Yan, W.-J. High-Dimensional Bayesian inference for model updating with neural likelihood approximator powered by dimensionality-reducing flow-based generative model. Mech. Syst. Signal Process. 2025, 231, 112688. [Google Scholar] [CrossRef]
- Capellari, G.; Chatzi, E.; Mariani, S. Structural Health Monitoring Sensor Network Optimization through Bayesian Experimental Design. ASCE-ASME J. Risk Uncertain. Eng. Syst. Part A Civ. Eng. 2018, 4, 04018016. [Google Scholar] [CrossRef]
- Torzoni, M.; Manzoni, A.; Mariani, S. Enhancing Bayesian model updating in structural health monitoring via learnable mappings. arXiv 2025, arXiv:2405.13648. [Google Scholar] [CrossRef]
- Skilling, J. Nested sampling for general Bayesian computation. Bayesian Anal. 2006, 1, 833–859. [Google Scholar] [CrossRef]
- Qian, F.; Zheng, W. An evolutionary nested sampling algorithm for Bayesian model updating and model selection using modal measurement. Eng. Struct. 2017, 140, 298–307. [Google Scholar] [CrossRef]
- Watanabe, S. A widely applicable Bayesian information criterion. J. Mach. Learn. Res. 2013, 14, 867–897. [Google Scholar]
- Sohn, H. Effects of environmental and operational variability on structural health monitoring. Philos. Trans. R. Soc. A 2007, 365, 539–560. [Google Scholar] [CrossRef]
- Indhu, R.; Sundar, G.R.; Parveen, H.S. A Review of Machine Learning Algorithms for vibration-based SHM and vision-based SHM. In Proceedings of the 2022 Second International Conference on Artificial Intelligence and Smart Energy (ICAIS), Coimbatore, India, 23–25 February 2022; pp. 418–422. [Google Scholar] [CrossRef]
- Figueiredo, E.; Park, G.; Farrar, C.R.; Worden, K.; Figueiras, J. Machine learning algorithms for damage detection under operational and environmental variability. Struct. Health Monit. 2011, 10, 559–572. [Google Scholar] [CrossRef]
- Worden, K.; Burrows, A.P. Optimal sensor placement for fault detection. Eng. Struct. 2001, 23, 885–901. [Google Scholar] [CrossRef]
- Ierimonti, L.; Cavalagli, N.; Venanzi, I.; Garcia-Macias, E.; Ubertini, F. A transfer Bayesian learning methodology for structural health monitoring of monumental structures. Eng. Struct. 2021, 247, 113089. [Google Scholar] [CrossRef]
- Chen, H.; Huang, B.; Zhang, H.; Xue, K.; Sun, M.; Wu, Z. An efficient Bayesian method with intrusive homotopy surrogate model for stochastic model updating. Comput.-Aided Civ. Infrastruct. Eng. 2024, 39, 2500–2516. [Google Scholar] [CrossRef]
- Yu, X.; Li, X.; Bai, Y. Evaluating maximum inter-story drift ratios of building structures using time-varying models and Bayesian filters. Soil Dyn. Earthq. Eng. 2022, 162, 107496. [Google Scholar] [CrossRef]
- Otero, J.; Sánchez, L. Induction of descriptive fuzzy classifiers with the Logitboost algorithm. Soft Comput. 2006, 10, 825–835. [Google Scholar] [CrossRef]
- Kim, K.; Seo, M.; Kang, H.; Cho, S.; Kim, H.; Seo, K.-S. Application of LogitBoost Classifier for Traceability Using SNP Chip Data. PLoS ONE 2015, 10, e0139685. [Google Scholar] [CrossRef]
- Cuneyitoglu Ozkul, M.; Saranli, A.; Yazicioglu, Y. Acoustic surface perception from naturally occurring step sounds of a dexterous hexapod robot. Mech. Syst. Signal Process. 2013, 40, 178–193. [Google Scholar] [CrossRef]
- Bernardo, J.M.; Smith, A.F.M. Bayesian Theory; John Wiley & Sons, Ltd.: Hoboken, NJ, USA, 1994; pp. 240–376. [Google Scholar] [CrossRef]
- Peeters, B.; De Roeck, G. Reference-Based Stochastic Subspace Identification for Output-Only Modal Analysis. Mech. Syst. Signal Process. 1999, 13, 855–878. [Google Scholar] [CrossRef]
- Xu, Y.L.; Chen, S.W.; Zhang, R.C. Modal identification of Di Wang Building under Typhoon York using the Hilbert–Huang transform method. Struct. Des. Tall Spec. Build. 2003, 12, 21–47. [Google Scholar] [CrossRef]
- Ibrahim, S.R.; Pappa, R.S. Large Modal Survey Testing Using the Ibrahim Time Domain Identification Technique. J. Spacecr. Rocket. 1982, 19, 459–465. [Google Scholar] [CrossRef]
- Christodoulou, K.; Ntotsios, E.; Papadimitriou, C.; Panetsos, P. Structural model updating and prediction variability using Pareto optimal models. Comput. Methods Appl. Mech. Eng. 2008, 198, 138–149. [Google Scholar] [CrossRef]
- Christodoulou, K.; Papadimitriou, C. Structural identification based on optimally weighted modal residuals. Mech. Syst. Signal Process. 2007, 21, 4–23. [Google Scholar] [CrossRef]
- Zhang, F.-L.; Wei, J.-Y.; Ni, Y.-C.; Lam, H.-F. Efficient Bayesian model updating with surrogate model of a high-rise building based on MCMC and ambient data. Eng. Struct. 2025, 339, 120656. [Google Scholar] [CrossRef]
- Johnson, V.E.; Rossell, D. Bayesian Model Selection in High-Dimensional Settings. J. Am. Stat. Assoc. 2012, 107, 649–660. [Google Scholar] [CrossRef] [PubMed]
- Cuong-Le, T.; Nghia-Nguyen, T.; Khatir, S.; Trong-Nguyen, P.; Mirjalili, S.; Nguyen, K.D. An efficient approach for damage identification based on improved machine learning using PSO-SVM. Eng. Comput. 2022, 38, 3069–3084. [Google Scholar] [CrossRef]
- Lee, Y.; Kim, H.; Min, S.; Yoon, H. Structural damage detection using deep learning and FE model updating techniques. Sci. Rep. 2023, 13, 18694. [Google Scholar] [CrossRef]
- Pei, X.-Y.; Hou, Y.; Huang, H.-B.; Zheng, J.-X. A Deep Learning-Based Structural Damage Identification Method Integrating CNN-BiLSTM-Attention for Multi-Order Frequency Data Analysis. Buildings 2025, 15, 763. [Google Scholar] [CrossRef]
- Friedman, J.; Hastie, T.; Tibshirani, R. Additive logistic regression: A statistical view of boosting (with discussion and a rejoinder by the authors). Ann. Stat. 2000, 28, 337–407. [Google Scholar] [CrossRef]
- Gelman, A.; Hwang, J.; Vehtari, A. Understanding predictive information criteria for Bayesian models. Stat. Comput. 2014, 24, 997–1016. [Google Scholar] [CrossRef]
- Messina, A.; Williams, E.J.; Contursi, T. Structural Damage Detection by a Sensitivity and Statistical-Based Method. J. Sound Vib. 1998, 216, 791–808. [Google Scholar] [CrossRef]
- Seyedpoor, S.M. A two stage method for structural damage detection using a modal strain energy based index and particle swarm optimization. Int. J. Non-Linear Mech. 2012, 47, 1–8. [Google Scholar] [CrossRef]
- Nobahari, M.; Seyedpoor, S. An efficient method for structural damage localization based on the concepts of flexibility matrix and strain energy of a structure. Struct. Eng. Mech. 2013, 46, 231–244. [Google Scholar] [CrossRef]
- Morris, K.A. What is Hysteresis? Appl. Mech. Rev. 2012, 64, 050801. [Google Scholar] [CrossRef]
- Sze, V.; Chen, Y.-H.; Yang, T.-J.; Emer, J.S. Efficient Processing of Deep Neural Networks: A Tutorial and Survey. Proc. IEEE 2017, 105, 2295–2329. [Google Scholar] [CrossRef]
- Mossavar-Rahmani, F.; Larson-Daugherty, C. Supporting the Hybrid Learning Model: A New Proposition. MERLOT J. Online Learn. Teach. 2007, 3, 67–78. [Google Scholar]







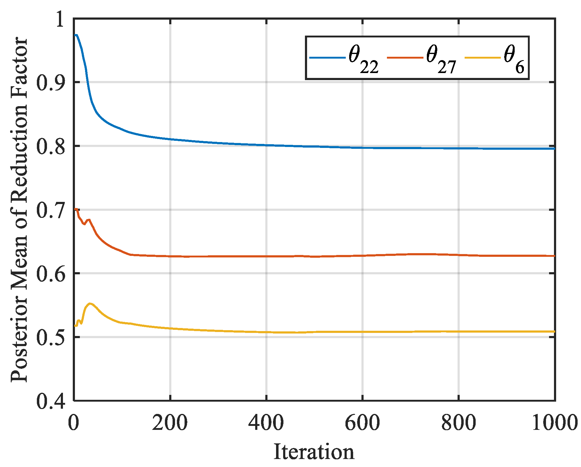
| Bar No. | |||||||
|---|---|---|---|---|---|---|---|
| Mean | Error | Mean | Error | Mean | Error | ||
| 6 | 0.500 | 0.510 | 2.00% | 0.516 | 3.21% | 0.543 | 8.60% |
| 22 | 0.800 | 0.798 | 0.25% | 0.805 | 0.63% | 0.803 | 0.38% |
| 27 | 0.600 | 0.618 | 3.00% | 0.624 | 4.00% | 0.554 | 9.00% |
| WAIC | 192.4 | 93.22 | 134.36 | ||||
Disclaimer/Publisher’s Note: The statements, opinions and data contained in all publications are solely those of the individual author(s) and contributor(s) and not of MDPI and/or the editor(s). MDPI and/or the editor(s) disclaim responsibility for any injury to people or property resulting from any ideas, methods, instructions or products referred to in the content. |
© 2025 by the authors. Licensee MDPI, Basel, Switzerland. This article is an open access article distributed under the terms and conditions of the Creative Commons Attribution (CC BY) license (https://creativecommons.org/licenses/by/4.0/).
Share and Cite
Wang, K.; Kajita, Y. Structural Damage Identification with Machine Learning Based Bayesian Model Selection for High-Dimensional Systems. Buildings 2025, 15, 4456. https://doi.org/10.3390/buildings15244456
Wang K, Kajita Y. Structural Damage Identification with Machine Learning Based Bayesian Model Selection for High-Dimensional Systems. Buildings. 2025; 15(24):4456. https://doi.org/10.3390/buildings15244456
Chicago/Turabian StyleWang, Kunyang, and Yukihide Kajita. 2025. "Structural Damage Identification with Machine Learning Based Bayesian Model Selection for High-Dimensional Systems" Buildings 15, no. 24: 4456. https://doi.org/10.3390/buildings15244456
APA StyleWang, K., & Kajita, Y. (2025). Structural Damage Identification with Machine Learning Based Bayesian Model Selection for High-Dimensional Systems. Buildings, 15(24), 4456. https://doi.org/10.3390/buildings15244456

