Abstract
Conventional building materials predominantly rely on non-renewable resources, while the exploration of high-performance and renewable alternatives exhibits the potential for sustainability. Bamboo offers excellent renewability, mechanical properties, and eco-friendliness; however, the susceptibility to cracking impedes its application, especially for long-term structural requirements. The cracking primarily occurs when tangential tensile stresses on inner/outer surfaces exceed the transverse tensile strength of bamboo. This study addresses the issue of transverse cracks in Moso bamboo (Phyllostachys edulis) by proposing and validating a tangential stress prediction model based on the theoretical model of transverse stress in standard circular rings. A correction factor K was determined through finite element analysis to account for the non-standard circular ring shape of bamboo and the presence of the bamboo culm base. Using Moso bamboo samples aged 1 to 7 years, experiments were conducted under varying temperatures (35 °C, 45 °C, and 55 °C) and humidity levels (30%, 50%, and 60%) to measure the initiation and propagation of cracks under tangential stress. Based on experimental data, a functional relationship was established between the internal and external surface strains of bamboo and factors such as bamboo age, geometric dimensions of the bamboo ring, temperature, and humidity. This model can calculate the tangential stress of bamboo based on bamboo age, geometric dimensions of the bamboo ring, temperature, humidity, tangential/radial elastic modulus ratio, and water loss time. It provides a theoretical foundation and engineering reference for predicting and preventing cracking in Moso bamboo.
1. Introduction
Moso bamboo (Phyllostachys edulis) is increasingly utilized in building engineering due to its exceptional renewability, mechanical performance, and environmental sustainability [,,,,]. The bamboo structure has attracted increasing attention due to its high degree of prefabrication and excellent structural performance [,,]. However, the susceptibility of bamboo to cracking impedes its large-scale application in construction. This defect primarily arises from moisture desorption-induced shrinkage deformation within the culm wall, generating greater tangential tensile stresses that exceed the transverse tensile strength on inner and outer surfaces. Usually, the moisture content (MC) of fresh bamboo ranges from 45% to 90%, and thus, immediate drying is required to prevent microbial degradation and fungal attack prior to utilization []. Once in service, bamboo would continuously absorb or desorb moisture in response to ambient equilibrium moisture content (EMC) fluctuations.
The anisotropic structure of culm walls in Moso bamboo contains abundant hygroscopic parenchyma cells, which initiate shrinkage above the fiber saturation point (FSP: 17–25%) []. Liese et al. [] confirmed that bamboo shrinkage commences above the FSP through studies of its biological and physical properties. Guo et al. [] investigated the evolution of functional groups and the color control mechanism in bamboo during thermal modification. Shao et al. [,,,,] investigated stress–strain relationships and micro-deformation characteristics under large compressive deformation, where the bamboo wall was a two-phase fiber-reinforced composite under radial and tangential compression. The energy absorption mechanism during transverse bending fracture was analyzed using micromechanics, involving parenchyma cracking and interface debonding. Studies on longitudinal interlaminar fracture revealed three modes: crack propagation along the axial direction with smooth fibers and intact matrix (Mode I); crack propagation accompanied by serrated shear deformation of the matrix (Mode II); and tearing of non-lignified short parenchyma cell walls or propagation along the middle lamella in lignified long parenchyma cells/fiber bundles (Mode III). Haque et al. [] identified drying stress as the direct cause of bamboo cracking and distortion, primarily driven by moisture gradients and inherent anatomical structure. Chen [] thought that the cracking in bamboo products could be mitigated through rational raw material selection, controlled drying, technical processing, quality control during manufacturing, internal stress modification, and moisture content. Zhong [] investigated crack propagation in 4-year-old Moso bamboo culms under constant temperature/humidity. Results showed that cracking severity increases with larger culm diameter, greater wall thickness, and shorter culm length (generating denser cracks). The severity correlates positively with decreasing green MC, increasing basic density, and higher air-dry shrinkage. Finally, empirical relationships were established between cracking severity and MC, basic density, and air-dry shrinkage. Liu et al. [] pointed out that natural weathering leads to a maximum decrease of 6.83% in compressive strength along the grain, and an average decrease of 8.19% in compressive strength perpendicular to the grain.
Analysis of internal/external surface stresses is critical for investigations on bamboo cracking; some deficiencies have been found in existing studies, for example, the systematic transverse stress model for Moso bamboo, the quantitative links between transverse stress and factors (bamboo age, ring geometry, temperature, and humidity), and the consideration of bamboo buttresses (root zone) and non-circular cross-section effects. Based on the theoretical model of transverse stress in standard thick-walled cylinders, this study proposed a transverse stress model for Moso bamboo culms, which considered the effects of buttress morphology and non-circular cross-sections. Furthermore, the functional relationships between core model parameters (internal/external strains) and influencing factors (culm age, ring geometry, temperature, and humidity) were also established through experimental investigation. Additionally, the adjustment coefficients for tangential stress influenced by buttress configurations and cross-sectional non-circularity were determined through finite element analysis. The outcomes of this study provide significant guidance for predicting and mitigating cracking in bamboo structures.
2. Materials and Methods
2.1. Materials
2.1.1. Moso Bamboo
Moso bamboo was collected from bamboo forests in Liyang, Changzhou City in Jiangsu Province (east longitude = 119.43° and north latitude = 31.18°). The distance between the bamboo joints at 1.3 m height was 228.57 ± 21.81 mm, with an average outer diameter of 89.32 ± 9.19 mm, and the average wall thickness was 8.95 ± 0.74 mm.
According to the Chinese standard GB/T 15780 [], each group has 100 repeat specimens, where the average moisture content was 17.35 ± 5.17%, the volume shrinkage coefficient was 0.84 ± 0.46%, the air-dry density at 12% moisture content was 0.81 ± 0.07 g/cm3, and the total dry density was 0.76 ± 0.08 g/cm3.
To investigate cracking characteristics across maturation stages, representative Moso bamboo culms were selected from four culm age cohorts: 1-year, 3-year, 5-year, and 7-year specimens.
2.1.2. Specimen Preparation
Annular specimens were prepared by cross-cutting bamboo culms into 25 mm segments using precision sliding table saw (D-54518, PROXXON GmbH, Niersbach, Germany). The test specimens are illustrated in Figure 1.
Figure 1.
Test specimen.
End-sealing was performed using varnish, wherein transverse sections at both ends of bamboo annuli were coated with Nippon Odorless 120 water-based wood varnish mixed at a binder: thinner: hardener ratio of 3:2:1. The protocol comprised two primer coats abraded with 240-grit abrasive paper, followed by one topcoat finish abraded with 1000-grit abrasive paper.
Specimen end faces exhibited planar surfaces with parallel alignment [] and were free of anatomical defects. Each specimen was randomly labeled post-fabrication with a length tolerance of ±1.0 mm []. Prepared specimens underwent saturation via immersion in distilled water until achieving 80–90% moisture content for subsequent testing.
2.2. Transverse Stress Model for Moso Bamboo
The theoretical model assumes bamboo culms exhibit standard annular cross-sections with inner radius (a) and outer radius (b). Non-circular geometrical deviations (e.g., buttress morphology) will be accounted for in subsequent studies through stress adjustment coefficients. Variations in influencing factors would induce moisture content fluctuations, triggering inward shrinkage deformation of the culm wall. This generates tangential tensile stresses that ultimately cause bamboo cracking.
This model presumes external stresses (“q” at outer surface, “p” at inner surface) that arise from hygroscopically induced deformation stresses within the bamboo annulus. The stress schematic is presented in Figure 2, while the diagram of a Moso bamboo culm is illustrated in Figure 3.
Figure 2.
Stress schematic for a bamboo tube ring.
Figure 3.
Moso bamboo culm terminology.
Consider point D in the bamboo annulus with Cartesian coordinates (x, y) and polar coordinates (ρ, θ). Let radial distance be AD = , and the chordal angle be BD = . The normal and shear stress on the AD and BD plane are and , and , respectively.
Assuming the displacement is infinitesimal, the higher-order terms can be neglected. The normal stress on the AC and BC plane are () and (), and the shear stress on the AC and BC plane are () and ().
To express stress components in polar coordinates using stress function F, apply coordinate transformations:
Then,
As F is a function of both (x, y) and (ρ, θ), the following can be derived via chain rule:
Based on the chain rule for composite functions, the derivatives of stress function F are obtained as follows:
Repeat these operations as follows:
By rotating the x- and y-axes to align with the principal directions ρ and θ, is reduced to zero. Consequently, the stress components , , and have been transformed into the principal stresses , , and , respectively. Neglecting body forces, the stress equations can be simplified as follows:
For bamboo culms exhibiting annular cross-sections under chordally symmetric loading, the stress formulation follows cylindrical coordinate equations where stresses are -independent and solely -dependent []. Consequently, Equations (15)–(17) can be simplified as follows:
The general solution for the stress function F can be expressed as follows:
where k is the elastic modulus ratio:
Equation (18) is constrained by the following boundary conditions:
Substitute Equation (21) into Equations (18) and (19) while incorporating these boundary conditions:
where is the tangential stress at inner/outer surfaces (MPa); is the radial stress at inner/outer surfaces (MPa); p is the applied stress on inner surface (MPa); q is the applied stress on outer surface (MPa); ρ is the radial coordinate at any point (mm); b is the outer radius of cylinder (mm); a is the inner radius of cylinder (mm); c is the radius ratio (c = b/a); is the average tangential elastic modulus of bamboo layers (epidermis, parenchyma, and endodermis) (MPa); is the average radial elastic modulus of bamboo layers (epidermis, parenchyma, and endodermis) (MPa).
Radial stresses at the specimen’s inner and outer surfaces are calculated according to Equations (27) and (28):
where is the strain at the inner surface (); is the strain at outer surface (); is the variation in inner radius during moisture desorption (positive for increase) (mm); is the variation in outer radius during moisture desorption (positive for decrease) (mm); h is the thickness of the culm wall (mm).
During the shrinking process of bamboo culms, tangential tensile stresses develop. Cracking initiates when these stresses exceed the material’s tangential tensile strength.
Substituting Equations (27) and (28) into Equations (25) and (26), the transverse stress model for any point within the bamboo wall can be expressed as Equations (29) and (30):
Adjustment of Tangential Stress Model for Moso Bamboo
Tangential stress dominates the beginning of bamboo cracking. Based on the transverse stress model framework, in this section we conducted an investigation into the tangential stress model for Moso bamboo.
- (1)
- Correction Factors for Aspect Ratio and Radial Material Heterogeneity
The cross-sections of bamboo typically exhibit geometrically irregular annuli where minor and major axes may be unequal, while bamboo culms with an ellipticity (quantified as a minor-to-major axis ratio > 0.9) can be selected as structural components in constructions []. Geometric non-circularity (minor axis ≠ major axis) perturbs the tangential stress distribution across the bamboo culm wall. Concurrently, radial heterogeneity in material properties among the epidermis (outer layer), parenchyma (middle layer), and endodermis (inner layer) induces variations in elastic moduli, further influencing stress distribution. To account for these effects, Equation (31) is augmented with a composite correction coefficient K1, where K1w and K1n are the adjustment factors for the epidermis and the endodermis. Consequently, Equation (31) is modified to incorporate these adjustments:
- (2)
- Adjustment Factor for Buttress Groove
During culm elongation, sheath scars and node rings develop at bamboo nodes. Culm buds emerge between these features and at specific upper positions, forming longitudinal bud grooves on the corresponding culm surface (see Figure 2). Through culm maturation and bamboo stand management, culm buds gradually abscise. This process generates permanent concave grooves at bud groove locations, namely buttress grooves.
Although bud grooves and buttress grooves diminish with increasing culm age, the pronounced concavity of buttress grooves significantly perturbs tangential stress distribution within the culm wall. To account for this mechanical influence, Equation (32) is augmented with a buttress adjustment coefficient K2, where K2w and K2n are the epidermis-specific adjustment factor and the endodermis-specific adjustment factor. Consequently, Equation (32) is modified to incorporate these adjustments:
Strain at bamboo culm surfaces arises from internal moisture redistribution, governed by the hydraulic conductivity. Assuming transverse stresses are primarily driven by moisture-induced permeation, we couple the tangential stress formulation at any point, Equation (32):
where m is the mass of desorbed moisture (kg); a is the (moisture desorption acceleration) MDA (m/s2); A is the moisture desorption area (mm2).
Equation (33) reveals that the external surface strain () and internal surface strain () of bamboo are governed by the internal MDA. This acceleration exhibits intrinsic relationships with parameters including culm age, annular geometry, temperature, and ambient humidity.
By employing MDA as the intermediate parameter, functional relationships between bamboo surface strains and critical ambient parameters, including culm age, annular geometry, temperature, and humidity, have been established, which provides operational utility for Moso bamboo using the transverse stress model.
Saturated specimens were exposed to controlled hygrothermal environments to investigate correlations between moisture desorption rate and ambient temperature/humidity, as well as specimen surface area-to-volume ratio. The relationship between moisture content and internal/external surface strains was experimentally established as Equation (34):
where T is the ambient temperature (℃); N is the culm age (years); RH is the ambient relative humidity (%).
The strain rate was calculated as shown in Equation (35):
where is the strain rates at internal/external surfaces [(12 h)−1]; is the time increment (12 h).
As shrinkage deformation progresses in the bamboo culm annulus, tangential tensile stresses develop. Substituting Equation (34) into Equation (33) can obtain tangential tensile stress.
The culm wall thickness (h) is calculated per Equation (36):
The deformation at the internal () and external () surface are quantified by Equations (37) and (38):
where an and bn are the internal and external radius at n-th measurement (mm); a0 and b0 are the initial internal and external radius (mm).
The moisture content of specimens was calculated as in Equation (39):
where is the moisture content (%, accuracy ±0.1%); is the mass at n-th measurement (g); is the oven-dry specimen mass (g).
Moisture desorption rate (, %/(12 h)) and acceleration (a, %/(12 h)2) are calculated as Equations (40) and (41):
2.3. Test Methods
2.3.1. Test Apparatus
This experiment was conducted within a custom-engineered hygrothermal testing assembly, comprising two functionally integrated modules: the environmental conditioning chamber and the automated control and data acquisition chamber.
The environmental conditioning chamber incorporates a high-stiffness test frame for specimen placement, featuring automated hygrothermal regulation. The control and data acquisition chamber houses a KingView SCADA-integrated industrial computer that continuously monitors chamber conditions via precision temperature/humidity transmitters. When deviations exceed preset tolerances, the SCADA system autonomously commands the PLC to activate ultrasonic humidifiers, halogen tube heaters, or high-efficiency air coolers, thereby maintaining specified hygrothermal parameters.
2.3.2. Test Protocol
Four culm age cohorts (1-, 3-, 5-, and 7-year) were employed to measure moisture content, radial strains, and tangential stress evolution under varying hygrothermal conditions. End-sealed specimens were saturated to 90% MC and then exposed to fixed temperature/humidity setpoints. Real-time monitoring tracked moisture dynamics and tangential stress, with internal/external diameters and wall thickness measured at 12 h intervals to compute radial strains. Testing terminated when MC was no more than 5%.
The experimental matrix employed two factors: temperature (35 °C, 45 °C, and 55 °C) and relative humidity (30%, 50%, and 60%). According to ISO 22156 [] (minimum n = 10) and Trujillo et al. [] (statistical robustness at n = 20), 20 replicate specimens under each condition were tested. The test matrix is detailed in Table 1.
Table 1.
Test conditions.
Tangential strain in Moso bamboo was measured using electrical resistance strain gauges. Four strain gauges were bonded to the inner and outer surfaces as shown in Figure 4. Two perpendicular datum lines were marked on specimen end faces: one aligned with the major axis orientation and the other with the minor axis orientation. Internal diameters (an1, an2) and external diameters (bn1, bn2) were measured orthogonally using vernier calipers. The arithmetic mean of these measurements was recorded as the specimen’s effective internal diameter (an) and external diameter (bn).
Figure 4.
Diagram of the strain gauge sticking position.
3. Results and Discussion
3.1. Influence of Different Factors on MDA
3.1.1. Culm Age
The desorption acceleration–culm age curves were plotted for all nine hygrothermal regimes (Table 1), as illustrated in Figure 5. Across all nine hygrothermal regimes, 1-year-old specimens exhibited the highest MDA. The desorption acceleration values of 5- and 7-year culms showed negligible differences, with 5-year cohorts displaying the minimum acceleration. This confirmed a U-shaped relationship between culm age and desorption acceleration: acceleration initially decreased with maturation, reached its minimum at approximately five years, and subsequently increased.
Figure 5.
The relationship between MDA and culm age.
3.1.2. Annular Geometry
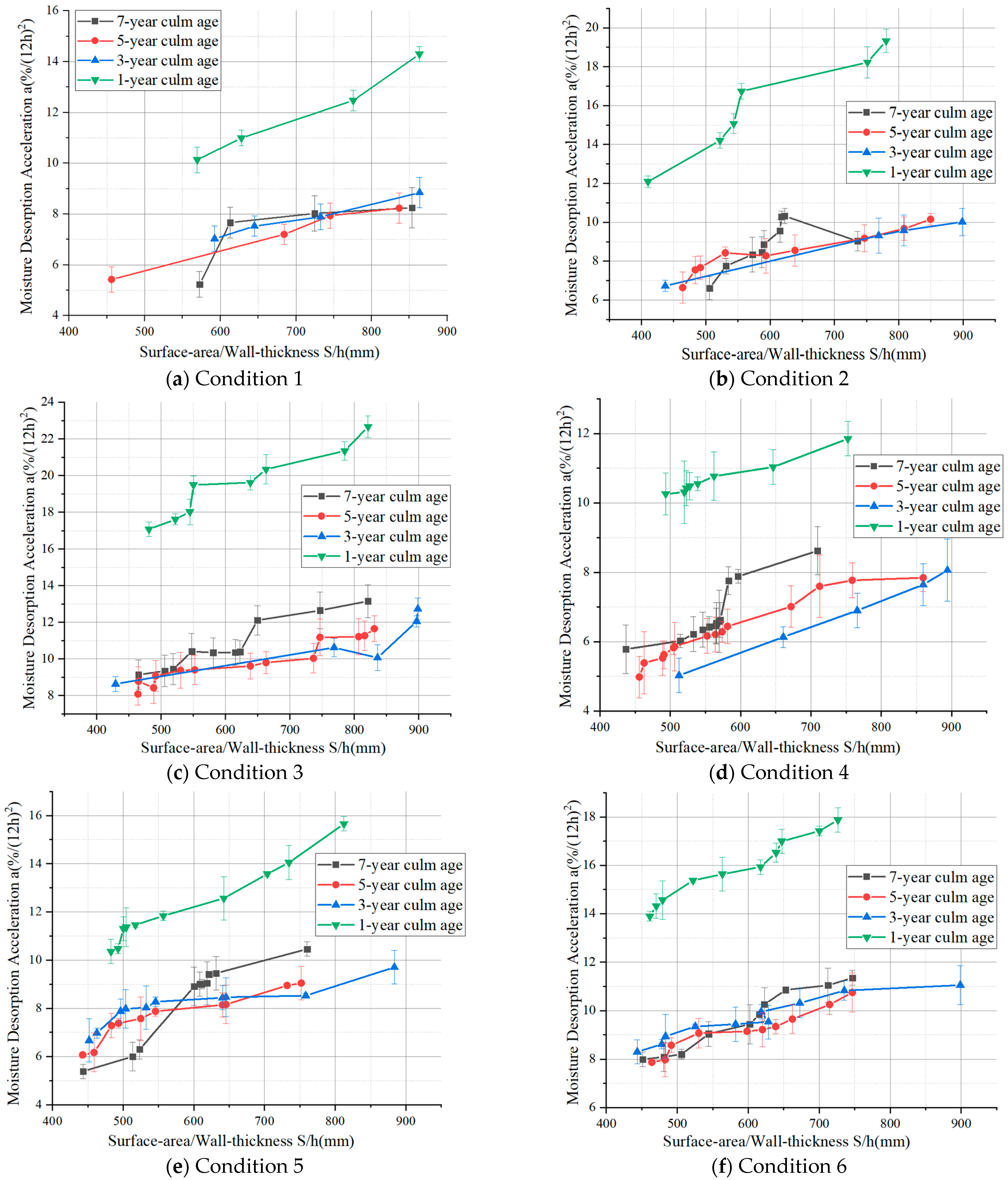
Moisture desorption in bamboo is governed by surface area exposure and wall thickness, with intrinsic correlations between these geometric parameters. Consequently, the surface-area/wall-thickness ratio (S/h) was adopted as the key parameter for quantifying desorption kinetics in Moso bamboo.
For each test condition, the desorption acceleration and surface-area/wall-thickness ratio curves were plotted in Figure 6, which revealed two invariant patterns across all hygrothermal regimes: (1) MDA exhibits a monotonic positive correlation with increasing surface-area/wall-thickness ratio; (2) 1-year-old Moso bamboo demonstrates significantly elevated desorption acceleration compared to mature cohorts (3–7 years).

Figure 6.
Relationship between MDA and geometric size under different conditions.
Specifically, under Condition 1 (35 °C/30%RH, Figure 6a), MDA exhibited a positive correlation with increasing surface-area/wall-thickness ratio. Notably, 1-year-old culms displayed significantly higher desorption acceleration than 3-, 5-, and 7-year cohorts. Figure 6b demonstrated that under Condition 2 (45 °C/30%RH), MDA increased with higher surface-area/wall-thickness ratios, while 3-, 5-, and 7-year cohorts exhibited statistically insignificant differences in acceleration values. Under Condition 3 (55 °C/30%RH, (Figure 6c), desorption acceleration generally increased with elevated surface-area/wall-thickness ratios despite minor localized fluctuations, where the 1-year culms displayed significantly higher acceleration than mature cohorts (3-, 5-, and 7-year). In Figure 6d, it showed that under Condition 4 (35 °C/50%RH), the MDA exhibited a positive correlation with increasing surface area-to-wall thickness ratio, with 1-year culms displaying the highest acceleration values. Under Condition 5 (45 °C/50%RH) to Condition 8 (45 °C/60%RH), desorption acceleration similarly increased with elevated surface area-to-wall thickness ratios. While 1-year cohorts maintain maximum acceleration, 3-, 5-, and 7-year culms showed statistically insignificant differences in their response. Under Condition 9 (55 °C/60%RH, (Figure 6i), desorption acceleration similarly increased with elevated surface area-to-wall thickness ratios, with no significant distinction among 3-, 5-, and 7-year culms.
3.1.3. Temperature
The relationship between desorption acceleration and temperature under constant humidity levels (30%, 50%, and 60%RH) is plotted in Figure 7. It can be seen that there is a universal positive correlation between temperature and MDA across all investigated hygrothermal regimes.
Figure 7.
Relationship between MDA and temperature under different humidities.
Specifically, from Figure 7a, it can be found that at 30% RH, MDA in Moso bamboo exhibits a near-linear progression with increasing temperature across all culm ages. While at 50% RH (Figure 7b), MDA increased with elevated temperature, with 3-, 5-, and 7-year cohorts displaying essentially linear trends. Similarly, desorption acceleration rose with temperature at 60% RH (Figure 7c), though the growth magnitude was less pronounced than at 30% or 50% RH under equivalent thermal increments.
3.1.4. Relative Humidity
The parametric relationship between relative humidity (RH) and desorption acceleration under constant temperature regimes (35 °C, 45 °C, and 55 °C) was plotted in Figure 8, where a universal inverse correlation between relative humidity and MDA across all investigated thermal regimes can be observed.
Figure 8.
Relationship between MDA and humidity at different temperatures.
For example, when the specimens were under 35 °C (Figure 8a), the MDA in Moso bamboo progressively decreased with increasing relative humidity, while the rate of decrease gradually diminished. Figure 8b revealed that under 45 °C isothermal conditions, desorption acceleration exhibited a monotonic reduction with elevated humidity. Like the tendency found in Figure 8b, the desorption acceleration of specimens under 55 °C declined with increasing humidity.
3.2. Functional Relationship Between Desorption Acceleration and Influence Factors
MDA (a) was modeled as the dependent variable against independent variables: culm age (N, years), surface-area/wall-thickness ratio (S/h, mm), temperature (T, °C), and relative humidity (RH, %). Statistical analysis was performed using SPSS (Version 29) software, with regression outcomes for the dependent variable detailed in Table 2.
Table 2.
Statistical analysis of dependent variable loss of water acceleration.
The predictive equation for bamboo MDA (a) is given in Formula (42):
3.3. Functional Formulation for External and Internal Surface Strain
The external surface strain rate () was modeled as the dependent variable against MDA (a) and culm age (N, years). Statistical analysis was conducted via SPSS software, with regression outcomes detailed in Table 3.
Table 3.
Statistical analysis of external strain rate.
The predictive equation for bamboo’s external surface strain rate (, (12 h)−1) is given by Formula (43):
Integrating Formula (44) with initial conditions (t = 0, ) can obtain the external surface strain () formulation:
Substituting Formula (42) into (44) could establish the composite functional relationship between external surface strain and governing parameters, as shown in Formula (45):
The internal surface strain rate () was modeled as the dependent variable against MDA (a) and culm age (N, years). Statistical analysis was performed using SPSS software, with regression outcomes detailed in Table 4.
Table 4.
Statistical analysis of internal strain rate.
The predictive equation for bamboo’s internal surface strain rate (, (12 h)−1) is given by Formula (46):
Integrating Formula (46) with initial conditions (t = 0, ) can obtain the internal surface strain () formulation:
Substituting Formula (42) into (47) establishes the composite functional relationship (Formula (48)) between internal surface strain and governing parameters:
3.4. Influence of Non-Circular Cross-Sections and Buttress Grooves on Tangential Stress
Moso bamboo is a kind of pronounced orthotropic material with non-idealized elliptical cross-sections; therefore, it is a challenge to quantify the stress distribution depending on aspect ratios. Meanwhile, the stress perturbations induced by buttress grooves resist empirical measurement. Consequently, finite element analysis (FEA) was employed for mechanistic investigation.
This study used ANSYS (Version 2021 R2) to simulate tangential stress distributions in Moso bamboo under uniform internal/external loading. By inputting geometric topology, orthotropic material properties, boundary conditions, and load cases, the model analyzed nonlinear material responses [], specifically evaluating how cross-sectional ellipticity and buttress grooves affected tangential stress fields.
3.4.1. Finite Element Model Establishment
The 8-node hexahedral element (SOLID 185) was employed for 3D continuum modeling. Mixed u-P formulation for near-incompressible elastoplastic/fully incompressible hyperelastic materials. All bamboo components were discretized using SOLID185 elements and modeled as orthotropic material within a cylindrical coordinate system.
The fiber volume fraction varies nonlinearly across the bamboo wall thickness. To simulate this gradation, a laminated composite approach was implemented, dividing the culm wall into three equivalently thick layers. Transverse elastic moduli for each layer were assigned according to Shu et al. [], while other orthotropic properties were referenced in Askarinejad et al. []. The parenchyma ground tissue properties were averaged from epidermal and endodermal values.
Two finite element models were established in ANSYS APDL. Model I comprised an elliptical annulus with a longitudinal length of 20 mm, a major outer axis of 90 mm, and a uniform wall thickness of 10 mm. Six ellipticity configurations were modeled with minor-to-major axis ratios of 0.70, 0.80, 0.85, 0.90, 0.95, and 1.00 (circular reference). Based on experimentally calibrated stress–strain relationships, normal compressive pressures of 1.356 MPa and 1.044 MPa were applied to the outer and inner surfaces, respectively, with positive directionality indicating inward loading. The geometric configuration and mesh generation for the 0.70 minor-to-major axis ratio are illustrated in Figure 9a.
Figure 9.
Two FE models were established in ANSYS.
Model II consisted of a circular annulus with a longitudinal length of 20 mm, an outer diameter of 90 mm, and an inner diameter of 70 mm. Cylindrical tool bodies with radii of 0, h/5, h/4, h/3, and h/2 (h = wall thickness) were generated for Boolean operations. Through subtractive operations with the annulus as the target body, varying penetration depths were applied to simulate anatomical buttress grooves on the external surface. Concurrently, intersective Boolean operations created corresponding protrusions on the internal surface. Normal compressive pressures of 1.356 MPa (external) and 1.044 MPa (internal) were applied based on experimental stress–strain calibrations, with positive directionality indicating inward loading. The geometric configuration and mesh generation for the h/3 groove depth are illustrated in Figure 9b.
3.4.2. Results of FE Simulation
For the effect of cross-section diameters, the stress field within the elliptical annulus (minor-to-major axis ratio = 0.70) post-simulation is illustrated in Figure 10a. Finite element analysis quantified tangential stress distributions across varying ellipticity ratios, as summarized in Table 5.
Figure 10.
Simulation results of two models.
Table 5.
Results of finite element analysis.
From Table 5, the increase in the deviation between the major and minor axes, along with the inhomogeneity of radial material properties, amplified the non-uniformity of stress distribution. When computing tangential stress in bamboo, the combined effects of the ellipticity ratio (minor-to-major axis ratio) and radial material heterogeneity must be incorporated. The epidermis influence of coefficient K1w was quantified as 1.11 at a minor/major axis ratio of 1.00, increasing to 1.23 at 0.95 and 1.35 at 0.90. Conversely, the endodermis coefficient K1n was measured as 0.83 at 1.00, 0.94 at 0.95, and 1.07 at 0.90. Intermediate values were determined through linear interpolation.
In terms of the influence of the buttress groove, Figure 10b presents the stress distribution within the circular annulus, featuring a buttress groove depth of h/3 post-simulation. Finite element analysis quantified tangential stress distributions across varying groove dimensions, as summarized in Table 5.
Results demonstrated that stress non-uniformity escalated with increasing groove size. Table 5 confirms that buttress grooves exerted a greater influence on tangential stress distribution than cross-sectional ellipticity. To ensure material quality, groove depth shall not exceed h/4 (25% wall thickness). Tangential stress calculations must incorporate groove-induced effects through adjustment coefficients; that is, the epidermis coefficient K2w was 1.00 for groove-free specimens, increasing to 1.47 at h/5 depth and 1.83 at h/4 depth. Correspondingly, the endodermis coefficient K2n was measured as 1.00 (no groove), 1.16 (h/5), and 1.39 (h/4). Intermediate values were computed via linear interpolation.
4. Conclusions
This study conducted theoretical investigations on the transverse stress model of Moso bamboo and performed experimental analyses of its influencing factors. By introducing the concept of MDA, functional relationships were established between bamboo surface strains (internal/external) and parameters, including culm age, annular geometry, temperature, and humidity. Finite element analysis quantified adjustment coefficients for tangential stress perturbations caused by cross-sectional non-circularity and buttress grooves. The following conclusions can be drawn:
(1) The tangential stress at any point within the bamboo wall can be calculated as follows:
(2) MDA in Moso bamboo exhibited a U-shaped relationship with culm age, which reached its minimum at approximately five years. It increased with higher surface area-to-wall thickness ratios and elevated temperatures, while decreasing progressively with increasing humidity.
(3) Under hygrothermal exposure, predictive equations for the strain on external and internal surfaces across different culm ages are as follows:
(4) Stress distribution non-uniformity intensified with greater deviations in annular diameters and larger buttress grooves. Radial material heterogeneity caused epidermal stresses to exceed theoretical values, while endodermal stresses fell below theoretical values. The groove depth should, preferably, not exceed h/4 (25% wall thickness), as a provisional recommendation based on a 10–15% safety margin derived from finite element analysis.
(5) Tangential stress calculations in bamboo must incorporate adjustment coefficients for three influencing factors: ellipticity ratio, radial material heterogeneity, and buttress groove morphology. The ellipticity/material coefficients (K1w and K1n) were quantified as follows: K1w = 1.11 and K1n = 0.83 for a minor-to-major axis ratio equal to 1.0; K1w = 1.23 and K1n = 0.94 for the ratio equal to 0.95; K1w = 1.35 and K1n = 1.07 for the ratio equal to 0.90. For buttress groove effects (K2w and K2n), the following: K2w = 1.00 and K2n = 1.00 for groove-free specimens; K2w = 1.47 and K2n = 1.16 at h/5 depth; K2w = 1.83 and K2n = 1.39 at h/4 depth. Intermediate values are computed via linear interpolation.
(6) The transverse stress model and FEM-derived adjustment coefficients can guide engineers and architects in predicting cracking and designing Moso bamboo structures under various environmental and geometric conditions, which is conducive to the long-term construction and sustainable utilization of bamboo structural applications.
Author Contributions
Conceptualization, B.S.; methodology, B.S. and J.Y.; software, B.S. and T.Y.; formal analysis, B.S.; investigation, B.S., J.Y., C.L., J.S. and Z.J.; writing—original draft, B.S.; project administration, B.S.; funding acquisition, B.S., J.Y. and C.L.; writing—review and editing, T.Y. and Z.W.; supervision, Z.W.; visualization, T.Y. All authors have read and agreed to the published version of the manuscript.
Funding
This research was funded by the Sixth “333 High level Talent Training Project” of Jiangsu Province, Jiangsu Province Higher Education Basic Science (Natural Science) Research Major Project (24KJA220004), Jiangsu Province Higher Education Basic Science (Natural Science) Research General Project (23KJB220010), Jiangsu Province Housing and Construction System Technology Project (2024ZD054, 2023ZD046), and the Yangzhou Housing and Construction System Technology Project (2023JH04).
Data Availability Statement
The original contributions presented in this study are included in the article. Further inquiries can be directed to the corresponding author.
Conflicts of Interest
The authors declare no conflicts of interest.
References
- Shu, B.; Ren, Q.; He, Q.; Ju, Z.; Zhan, T.; Chen, Z.; Lu, X. Study on Mixed Biomass Binderless Composite Based on Simulated Wood. Wood Res. 2019, 64, 1023–1034. [Google Scholar]
- Li, H.; Wang, P.; Zhao, Q.; Ou, J.; Liu, J.; Wang, Z.; Qiu, H.; Zuo, T. Experimental and numerical study on timber-to-bamboo scrimber connection with self-tapping screws. Constr. Build. Mater. 2024, 411, 134225. [Google Scholar] [CrossRef]
- Shu, B.; Xiao, Z.; Hong, L.; Zhang, S.; Li, C.; Fu, N.; Lu, X. Review on the application of bamboo-based materials in construction engineering. J. Renew. Mater. 2020, 8, 1215–1242. [Google Scholar] [CrossRef]
- Wang, X.; Chen, X.; Shang, L.; Chen, L.; Huang, B.; Ma, X.; Fei, B.; Liu, H.; Fang, C. A straightforward and efficient gradient pressure method for bamboo flattening: Strain and multi-scale deformation. Compos. Part B Eng. 2024, 272, 111232. [Google Scholar] [CrossRef]
- Shu, B.; Ren, Q.; Hong, L.; Xiao, Z.; Lu, X.; Wang, W.; Yu, J.; Fu, N.; Gu, Y.; Zheng, J. Effect of steam explosion technology main parameters on Moso bamboo and poplar fiber. J. Renew. Mater. 2021, 9, 585–597. [Google Scholar] [CrossRef]
- Zhang, Y.; Zhang, J.; Gu, Y.; Zhang, J.; Zheng, K. Seismic demand prediction in laminated bamboo frame structures: A comparative study of intensity measures for performance-based design. Buildings 2024, 15, 2039. [Google Scholar] [CrossRef]
- Muhammad, N.A.G.; Orejudos, J.N.; Aniñon, M.J.C. A compendium of research, tools, structural analysis, and design for bamboo structures. Buildings 2024, 14, 2419. [Google Scholar] [CrossRef]
- Aniñon, M.J.C.; Garciano, L.E.O. Advances in connection techniques for raw bamboo structures-A review. Buildings 2024, 14, 1126. [Google Scholar] [CrossRef]
- Huang, P.; Chew, Y.; Chang, W.; Ansell, M.P.; Lawrence, M.; Latif, E.; Shea, A.; Ormondroyd, G.; Du, H. Heat and moisture transfer behaviour in Phyllostachys edulis (Moso bamboo) based panels. Constr. Build. Mater. 2018, 166, 35–49. [Google Scholar] [CrossRef]
- Lv, H.; Chen, X.; Liu, X.; Fang, C.; Liu, H.; Zhang, B.; Fei, B. The vacuum-assisted microwave drying of round bamboos: Drying kinetics, color and mechanical property. Mater. Lett. 2018, 223, 159–162. [Google Scholar] [CrossRef]
- Liese, W. Protection of bamboo in service. J. Bamboo Ratt. 2003, 1, 29–33. [Google Scholar]
- Zhao, W.; Zhang, J.; Zhang, W.; Yuan, S.; Chen, H.; Wu, A. Effect of bamboo unit morphology on the preparation of bamboo fibers by steam explosion. Ind. Crop. Prod. 2023, 202, 117066. [Google Scholar] [CrossRef]
- Shao, Z. Mechanical behavior of bamboo with large deformation I: The relationship between stress and strain. China Wood Ind. 2003, 17, 12–14, 32. [Google Scholar]
- Shao, Z. Mechanical behavior of bamboo with large deformation II: The characteristics of microcosmic deformation. China Wood Ind. 2008, 18, 27–29. [Google Scholar]
- Shao, Z. Interlaminar facture properties of biomaterials bamboo. Sci. Silvae Sin. 2008, 44, 122–127. [Google Scholar]
- Li, Q.; Wang, F.; Shao, Z. Fracture toughness on bamboo III mode interlaminar. J. Northeast For. Univ. 2017, 45, 70–74. [Google Scholar]
- Shao, Z.; Wu, Y.; Wang, F. Physical model and energy absorption mechanism of bamboo transverse fracture: The cracking of parenchyma tissue and layering of interface. Sci. Silvae Sin. 2012, 48, 108–113. [Google Scholar]
- Haque, M.N.; Langrish, T.; Keep, L.B.; Keey, R.B. Model fitting for visco-elastic creep of Pinus radiata during kiln drying. Wood Sci. Technol. 2000, 34, 447–457. [Google Scholar] [CrossRef]
- Yan, Y.; Fei, B.; Liu, S. The relationship between moisture content and shrinkage strain in the process of bamboo air seasoning and cracking. Dry Technol. 2020, 40, 571–580. [Google Scholar] [CrossRef]
- Zhong, S. Preliminary Study on Principle and Protection of Moso Bamboo Tubes’ Splitting. Master’s Thesis, Beijing Forestry University, Beijing, China, 2011. [Google Scholar]
- Liu, Y.; Li, H.; Dauletbek, A. Effects of natural weathering on the mechanical properties of Moso bamboo internodes and nodes. Constr. Build. Mater. 2024, 417, 135313. [Google Scholar] [CrossRef]
- GB/T 15780; Testing Methods for Physical and Mechanical Properties of Bamboos. State Bureau of Technical Supervision: Beijing, China, 1995.
- ISO 1101; Geometrical Product Specifications (GPS)-Geometrical Tolerancing-Tolerances of Form, Orientation, Location and Run-Out. International organization for standardization: Geneva, Switzerland, 2017.
- ASTM D1030; Standard Test Method for Fiber Analysis of Paper and Paperboard. American Society for Testing and Materials: West Conshohocken, PA, USA, 1995.
- Lekhnitskii, S.G. Anisotropic Plates; Science Press: Beijing, China, 1963; Volume 88. [Google Scholar]
- BS ISO 19624; Bamboo Structures-Grading of Bamboo Culms-Basic Principles and Procedures. International organization for standardization: Geneva, Switzerland, 2018.
- ISO 22156; Bamboo Structures-Bamboo Culms-Structural Design. International organization for standardization: Geneva, Switzerland, 2021.
- Trujillo, D.J.A.; Jangra, S. Grading of Bamboo; International Network for Bamboo and Rattan: Beijing, China, 2016. [Google Scholar]
- Zhang, S.; Xu, S.; Fang, Z. Wind load assembly type close packed column from light wood frame structure finite element analysis. Archit. Technol. 2016, 47, 1115–1117. [Google Scholar]
- Shu, B.; Hong, L.; Li, S.; Tao, Y.; Cui, J.; Fu, N.; Yu, J.; Li, C.; Lu, X. Study on the tangential tensile mechanical properties of Moso bamboo. J. Renew. Mater. 2022, 10, 2203–2216. [Google Scholar] [CrossRef]
- Askarinejad, S.; Kotowski, P.; Shalchy, F.; Rahbar, N. Effects of humidity on shear behavior of bamboo. Theor. Appl. Mech. Lett. 2015, 5, 236–243. [Google Scholar] [CrossRef]
Disclaimer/Publisher’s Note: The statements, opinions and data contained in all publications are solely those of the individual author(s) and contributor(s) and not of MDPI and/or the editor(s). MDPI and/or the editor(s) disclaim responsibility for any injury to people or property resulting from any ideas, methods, instructions or products referred to in the content. |
© 2025 by the authors. Licensee MDPI, Basel, Switzerland. This article is an open access article distributed under the terms and conditions of the Creative Commons Attribution (CC BY) license (https://creativecommons.org/licenses/by/4.0/).