Next Article in Journal
A Review of Robotic Applications in the Management of Structural Health Monitoring in the Saudi Arabian Construction Sector
Next Article in Special Issue
Optimizing User Distributions in Open-Plan Offices for Communication and Their Implications for Energy Demand and Light Doses: A Living Lab Case Study
Previous Article in Journal
Experimental Study on the Pullout Behavior of Helical Piles in Geogrid-Reinforced Dense Shahriyar Sand
Previous Article in Special Issue
Participatory Drawing Methodology for Light in Architecture: Drawing Experienced Space
 
 
Font Type:
Arial Georgia Verdana
Font Size:
Aa Aa Aa
Line Spacing:
Column Width:
Background:
Article

Effects of Colour Temperature in Classroom Lighting on Primary School Students’ Cognitive Outcomes: A Multidimensional Approach for Architectural and Environmental Design

1
School of Architecture and Urban Planning, Shenyang Jianzhu University, Shenyang 110168, China
2
Key Laboratory of Health and Environmental Performance Improvement, Shenyang Jianzhu University, Shenyang 110168, China
3
Institute for Sustainable Marine Architecture Research and Technological Innovation, The University of Kitakyushu, Kitakyushu 802-8577, Japan
4
ISMART (Innovation Institute for Sustainable Maritime Architecture Research and Technology), Qingdao 266520, China
*
Authors to whom correspondence should be addressed.
Buildings 2025, 15(16), 2964; https://doi.org/10.3390/buildings15162964
Submission received: 26 July 2025 / Revised: 13 August 2025 / Accepted: 19 August 2025 / Published: 21 August 2025
(This article belongs to the Special Issue Lighting Design for the Built Environment)

Abstract

Primary school students, as the main users of classrooms, are directly affected by the lighting environment, which not only affects their visual comfort but also their cognitive performance. This study investigated the effects of different correlated colour temperature (CCT) levels in classroom lighting on the cognitive performance of primary school students based on a multidimensional evaluation combining physiological signals (EEG and EDA) and subjective assessment. In this study, 53 subjects aged 10–13 years old from a primary school in Anshan City were used in a controlled experiment under five CCT conditions (3000 K, 4000 K, 5000 K, 6000 K, and 7000 K) at a constant illumination level of 500 lx. EEG and skin conductance (SC) signals were collected and subjective perceptions of visual comfort and fatigue were assessed while cognitive tasks were carried out. The results showed that students performed best cognitively at a colour temperature of 4000 K, with the lowest EEG absolute power (AP) (p < 0.01) and highest comfort (p < 0.05). Females were more sensitive to colour temperature changes and showed better cognitive performance in cooler colour temperature conditions, while male students performed better in warmer light conditions (p < 0.01). The above findings suggest that optimising the CCT of classroom lighting enhances students’ cognitive functioning and comfort, providing empirical support for lighting design guidelines in educational environments.

1. Introduction

In the design of contemporary educational spaces, researchers are increasingly focusing on classroom lighting environments as important physical elements that affect the learning efficiency and health of students. Primary school classrooms are the primary learning environments for students aged 7–12 years, a critical period for eye development and physiological changes that differ from those in other age groups. Statistics show that primary school students spend more than seven hours per day in classrooms, where more than 87% of the information relies on visual input [1]. Visual perception in these classrooms is largely influenced by the lighting environment, which involves the physiological and psychological effects of light in the environment. In recent years, researchers have increasingly focused on improving classroom light quality [2], such as classroom illuminance, colour temperature, illuminance uniformity, and glare. More research is needed to design and standardise the quality of classroom environments from the perspective of improving students’ cognitive performance [3]. In recent years, research on the relationship between indoor built environments and human cognitive performance has received increasing attention.
Several studies have revealed that the relevant colour temperature, as a key parameter characterising the colour-sensitive properties of light sources, is widely used to assess the comfort and functional suitability of indoor light environments. Numerous studies have noted that colour temperature not only affects human visual perception and spatial preference but also profoundly affects cognitive behaviour by modulating circadian rhythms and nonvisual physiological responses. Sun et al. [4] conducted various cognitive tests, including perception, memory, thinking, and executive functions, in an environment with a light intensity of 100–2500 lx and colour temperature value of 2700–6500 K. Zeng et al. [5] measured three types of productivity (namely, arithmetic, memory, and perception) based on CCT in environments with light intensities of 4000–10,000 K. Kruithof [6] examined perceptions of combinations of CCT and illuminance levels and found that people preferred combinations of high CCT with high illuminance levels, as well as combinations of low CCT and low illuminance levels. Several laboratory-controlled studies and field-intervention studies have shown that colour temperature modulation can significantly affect student performance in specific cognitive tasks [7]. In a field study conducted in Dutch primary schools, Sleegers et al. [8] found that students’ reading comprehension, mathematical problem solving, and classroom concentration significantly improved under dynamically adjustable colour temperature lighting (3500–6500 K). CCT has been shown to significantly affect individuals’ subjective comfort and light environment preferences [9]. The results of several experiments have revealed that differences exist in individual preferences for different combinations of CCT and illumination levels and that such preferences are not only affected by the light parameter but also closely related to the specific type of activity in which the subject is engaged [10,11]. For example, when performing tasks such as reading, writing, or cognitive processing, subjects show a stronger acceptance of higher CCT and higher illuminance combinations, whereas light environments with lower CCT and lower illuminance are preferred in resting or relaxation situations.
Owing to the development of techniques for measuring physiological metrics, which can provide researchers with the comfort level perceived by subjects in different light environments, previous studies have confirmed the relationship between light environment characteristics and physiological metrics [12,13,14,15,16,17]. Viola et al. [18] introduced illumination at an ultrahigh colour temperature of 17,000 K in a natural office and teaching space and found that by monitoring cortisol saliva samples, high CCT conditions enhanced morning cortisol responses and contributed to work motivation and cognitive mobilisation. With the deepening of research at the intersection of neuroscience and environmental psychology, the electroencephalogram (EEG), a noninvasive physiological monitoring technique, has been widely used in studies that assess the effects of indoor environments on the cognitive performance of individuals. Chellappa et al. [19] used multichannel EEGs to record students’ wakefulness and alpha-wave frequency activity under different CCT lighting conditions, and the results revealed that a high-colour-temperature light source significantly elevated cortical excitation levels, reflecting greater cognitive alertness. Zhang et al. [20] systematically reviewed the progress of research using EEG monitoring techniques to explore the relationship between lighting environments and cognitive activity and noted that EEG metrics are able to objectively record the brain’s electrical activity patterns under different light environment conditions, thus providing a physiological basis for the subjective evaluation of lighting quality. Walter et al. [21] used EEG waveform analysis to reveal the potential neural mechanisms of colour temperature in modulating attention, working memory, and learning efficiency, among others, and showed that environmental stimuli can modulate individual cognitive performance by influencing cortical electrical activity. Hu et al. [22] found that the higher the levels of comfort and satisfaction in a lighting environment, the lower the average power required for concussive brain activity. Eroğlu et al. [23] found that the illumination environment significantly affects the mean power in the occipital and parietal lobes. The EEG mean power has been shown to be an effective indicator for studying the effect of the illumination environment on brain activity, which is nonlinear and unstable [24]. EEG signals have been widely used in recent studies to assess the quality of the built environment. Table 1 lists relevant studies that used EEGs to investigate the built environment. Unlike previous studies, the present study used EEGLAB as an EEG analysis tool in conjunction with subjective ratings of fatigue and satisfaction of primary school students during cognitive testing. To effectively visualise brain activity, objective brainwave states and subjective cognitive evaluations were visualised during the measurement of students’ cognitive performance.
Cognitive performance, an important indicator of learning, thinking, and problem-solving ability, is only indirectly affected by physical environment parameters through individuals’ physiological and psychological responses as mediators. Choi et al. [25] showed that the cognitive effects of indoor environmental variables occur mainly through the modulation of emotional state, physiological arousal level, and mental load. This view reflects the complex physiological—psychological coupling system behind cognitive behaviours. Jung et al. [26] further demonstrated through task experiments the facilitating effect of lighting on working memory tasks, suggesting that lighting not only affects subjective experience but also objectively improves the learning and information processing process. In addition, an increasing number of studies have focused on the interactive effects of multiple elements of the environment, such as the combined effects of temperature [27,28], sound [29,30], air quality [31,32], and lighting [33] on cognition. However, some studies have noted that environmental variables do not significantly affect cognition [34,35,36,37], which may be related to individual differences in lighting preferences among subjects [38], suggesting an important moderating role of human factors in the effects of environmental interventions. Although the above studies provide important insights into the effects of lighting parameters on human psychophysiological and behavioural responses (refer to Table 1) [39,40,41,42,43,44,45,46,47,48,49], in actual teaching scenarios, the CCT and illuminance adjustment ranges of classroom lighting systems are typically small owing to their hardware limitations, resulting in the failure of existing studies to systematically explore the sustained effects of dynamic light environments on students’ long-term cognitive performance. In addition, there is a lack of unified understanding and systematic evaluation of the interaction mechanism of CCT and illuminance and their specific modulation effects on different types of cognitive tasks. Therefore, focusing on the classroom as a typical learning space, an in-depth study of the effects of CCT and illuminance on students’ cognitive performance and subjective comfort not only helps optimise the design of classroom light environments but also provides theoretical support and a practical basis for enhancing students’ cognitive ability and learning efficiency, which is of great practical significance and research value.
Table 1. Research on the building environment based on lighting parameters.
Table 1. Research on the building environment based on lighting parameters.
Ref.FactorParticipantsAgeTaskResults
RangeMeanSD
[39]Illuminance, CCTOffice worker20–45314.3This study investigates the impact of varying lighting conditions on work efficiency and visual comfort.Maintaining an average illuminance of 300 lx on the work surface has been found adequate to ensure visual comfort for occupants.
[40]IlluminanceOffice worker29–50416.6This study examines the effects of varying office illumination levels on EEG activity.Elevated illuminance levels are associated with prolonged N1 latencies during tasks requiring sustained attention.
[41]IlluminanceOffice worker25–46332.5This study investigates the impact of office illumination on workers’ EEG signals.Significant differences were observed in the amplitude power (AP) of δ and β waves in the parietal lobes under varying illumination levels.
[42]Illuminance, CCTOffice worker30–45426.5This study explores the effects of combined variations in colour temperature and illuminance on EEG responses across different office environments.The amplitude power of β waves exhibited a significant increase with rising illumination levels.
[43]IlluminanceOffice worker20–30263.5Study the effect of illumination on vigilance.Exposure to 40 and 160 lx reduced the AP of α compared to that in dim conditions.
[44]Illuminance, CCTCollege student19–21203.6This study investigates electroencephalographic (EEG) changes in students while studying under varying illumination levels and colour temperatures.Despite reported discomfort and dissatisfaction, individuals exposed to high illumination at 1000 lx demonstrate enhanced capacity for sustained attention.
[45]Illuminance, CCTCollege student20–25223.6This study investigates the influence of lighting environments on emotional responses and physiological indicators.The power spectral density (PSD) of the theta (θ) band is higher at 700 lx compared to both 300 lx and 400 lx illumination levels.
[46]IlluminanceSocial personnel30–50425.8This study examines electroencephalographic (EEG) changes in the parietal and occipital lobes under conditions of light and darkness.In the illuminated environment, the amplitude power (AP) of gamma (γ) waves showed a significant increase.
[47]Illuminance, CCTCollege student20–30264.9An examination was conducted to explore how different illumination intensities and CCT influence brain activity.Associations were identified between varying illumination intensities and CCT and distinct EEG band features within the frontal and parietal cortices.
[48]Illuminance, CCTCollege student18–25225.6Effects of light environment on cognitive performanceLow CCT and high illumination improve learning efficiency
[48]Illuminance, CCTOffice worker30–45384.7Study the effects of illumination on brain task performance.The illumination condition significantly alters the occipital N1 latencies.
Therefore, this study aimed to comprehensively analyse the relationship between the brain activity power and cognitive performance of primary school students during classroom learning and to experimentally verify the effects of CCT on brain activity and cognitive performance in different lighting environments. To achieve the research objectives, three research questions were proposed in this study: (1) to take primary school students as the main research object and investigate the association between the nonlinear time-domain signals of brain activity power and cognitive performance at the level of brain development in this age group; (2) to investigate the effects of CCT in primary school classrooms on the psychological and physiological responses and cognitive performance of primary school students and analyse the differences in and trends of the cognitive performance of primary school students of different genders; and (3) to build a correlation system between human brain signals and cognitive performance as a new cognitive performance assessment method to determine the range of CCT thresholds required for optimal primary school students’ cognitive performance states in elementary classrooms.

2. Materials and Methods

2.1. Experimental Sites

In this study, a primary school in Anshan city, Liaoning Province, China, which is in a Type III light climate zone, was selected for fieldwork (refer to Figure 1). The region has relatively short daylight hours in winter and stable natural light irradiation, which is typical of northern low-light daylight, providing an ideal background for studying the potential effects of extreme light environments on classroom lighting and students’ cognitive behaviours. To enhance the representativeness of the data and rigour of the experimental design, the measurements were conducted around the winter solstice, which is the time of the year with the lowest solar altitude angle and the shortest duration of sunlight, to simulate the most unfavourable natural lighting conditions throughout the year [50].
The classroom was divided into zones based on the measurement points, with each zone corresponding to a unique numerical number. Depending on the seating arrangement of the classroom, the length and width of the classroom plane were divided into six and three equal parts, respectively, yielding a total of 18 zones, with the centre of each zone designated the measurement point (refer to Figure 2). The measured illuminance and colour temperature data were plotted as line graphs, and the data presented in the line graphs (refer to Figure 3) revealed significant differences in the distributions of illuminance and colour temperature between the different measurement points in the classroom. The highest levels of illuminance and colour temperature were found at the measurement points close to the window side. The illuminance and colour temperature of the desktop area at positions 15 and 16 were significantly higher than those of the other areas in the classroom. Comparatively, several measurement points away from the windows and adjacent to the front and rear ends of the classroom had lower illuminance levels, particularly at positions 1, 6, 7, 12, 13, and 18, where the measured illuminance value was only 280 lux, which failed to meet the minimum illuminance requirements recommended by national or international classroom lighting standards [51].
The lighting environment in the classroom was systematically measured before the experiment to ensure that each light environment parameter satisfied the requirements of the relevant standards to provide good visual basic conditions for the experimental study. The average value of the colour rendering index (CRI) of the light source measured using professional spectral testing equipment before the experiment was 92, which was significantly higher than the recommended value in the standard (CRI ≥ 80), indicating that the classroom lighting has excellent colour reproduction ability, which can help ensure that the students perform their learning and cognitive activities in a natural and realistic colour environment. To further assess the visual comfort, DIALux professional lighting simulation software was used in combination with the on-site luminaire arrangement parameters to calculate the indoor uniform glare value (UGR), and the simulation result was UGR = 17.5, which is lower than the classroom limit value specified in the standard (UGR ≤ 19), indicating that the indoor lighting does not have any obvious uncomfortable glare and provides good visual comfort. (refer to Table 2). In accordance with actual classroom lighting conditions observed during the field investigation—where artificial lighting remains activated during daytime hours to supplement natural light—a mixed lighting strategy was adopted. The classroom was equipped with adjustable blackout curtains, which were partially or fully drawn to regulate daylight entry. Simultaneously, a high-CRI LED lighting system provided artificial illumination.

2.2. Subjects of the Study

The experimental subjects of this study were school students at Fu’an Primary School in Anshan city, Liaoning Province, and 60 primary school students aged 10–13 years with normal visual acuity and no history of eye diseases were recruited. After initial screening and data quality control, a valid sample of 53 participants, including 26 males and 27 females (refer to Table 3), was finally included, and all participants took part in the subsequent EEG measurement experiments. The sample size was set based on the established literature in the related field, in which most empirical studies generally use small sample sizes, with a common sample size of no more than 30 participants [1,52,53,54,55,56,57,58], owing to the difficulty of recruiting research participants. However, considering the high degree of inter-individual variability in cognitive and physiological responses and to improve the representativeness and external validity of the findings, the present study enlarged the sample size in the field experiment and used the G*Power 3.1 Sample Efficacy Analysis tool to conduct statistical efficacy tests. The results revealed that a sample size of 53 achieved a statistical efficacy of 0.826 (power = 0.826), which satisfies the generally accepted efficacy thresholds in social science research and ensures the stability and explanatory power of the findings.
Twenty-four hours before the experiment, all the participants received a unified experimental instruction and operation training, which included the experimental procedure, measurement method, and data usage range, to enhance the experimental cooperation and data validity. To reduce the interference of external variables on physiological signals, the research team asked all participants to avoid ingesting substances that may affect their nervous system, such as alcohol, nicotine, or other psychoactive drugs, for 24 h before the experiment. In addition, all the participants and their guardians signed an informed consent form and were clearly informed that the physiological data and image information they provided would be used only for the purpose of this study and would be handled confidentially in strict accordance with ethical norms. This study was approved by the Ethics Review Committee of the School of Architecture and Planning, Shenyang Architecture University (Ethics Project No. 2025SJZU-A008). After measuring the classroom space and communicating with the students, the daily activities of the students were summarised (refer to Table 4), and the time of the experiment was determined; the experiment was performed every day at 8:00–10:00 and 13:00–17:00 because this is the time when students read and study on a daily basis.

2.3. Experimental Design

2.3.1. Selection of Experimental Indicators

To choose the appropriate colour temperature value for the experiment, we referred to previous studies [59,60,61,62], and the colour temperature range was 3000–8000 K, which was too low for the natural lighting condition to be achieved and too high for the students to learn normally. In addition, in the pre-experiment conducted to select the increment of colour temperature, when the increment of colour temperature was 500 K, the subjects did not experience sensory or visual changes in response to changes in colour temperature; therefore, the increment of colour temperature was set at 1000 K. Combined with the above research and measurement of the classroom, the experimental gradient values of the colour temperature of this experiment for the experiment were 3000, 4000, 5000, 6000, and 7000 K, and the colour temperature was set at 3000, 4000, 5000, 6000, and 7000 K (refer to Figure 4). Based on the literature review, an illuminance of 500 lx was considered a more comfortable value of colour temperature and was maintained throughout the study. To achieve the target horizontal illuminance of 500 lx on the desktop, the combination of curtain position and artificial lighting intensity was adjusted before each test session. A professional illuminance meter was used to confirm that the measured illuminance matched the experimental preset value. This process ensured that the lighting environment across all CCT conditions was consistent and met visual comfort standards, reflecting a realistic but well-controlled classroom setting.

2.3.2. Experimental Flow

The experimental process of this study was divided into four stages. In the first stage, the subjects were introduced to the experimental process and informed accordingly while wearing physiological signal acquisition equipment to ensure the accuracy and stability of data acquisition (refer to Table 5). In the second stage, before starting the task, the subjects were first adjusted to the resting state, and their basic physiological indexes were then recorded. The reading task was performed at a colour temperature of 3000 K, which was controlled by an adjustable light source and fine-tuned according to the height, size, and gender of the individual to ensure consistency of the light experience. In the third stage, the participants completed a series of standardised cognitive tasks covering attention maintenance, reaction speed, and short-term memory under the same light conditions, and physiological response data were collected. In the fourth stage, the participants were asked to complete a subjective perception questionnaire at the end of the tasks to assess their satisfaction and visual comfort with the current light situation. Each participant underwent a full cycle of testing under all five CCT conditions (3000 K–7000 K). For each lighting condition, the total exposure time was approximately 25–30 min, including a 5-min adaptation period, 15–20 min of cognitive task execution during which EEG and EDA signals were recorded, and a short subjective assessment. A 10-min rest period was provided between lighting conditions to reduce fatigue and physiological carry-over effects; the colour temperature level was randomly changed, and the above process was repeated (refer to Figure 5).
To account for inter-individual differences in student height, seating position, and gaze direction, vertical illuminance (Ev) at eye level was measured at each participant’s desk prior to the start of each test. The average eye level for participants aged 10–13 years was approximated at 1.2 m, and illuminance measurements were taken accordingly using the HA350S illuminance meter. Furthermore, adaptive adjustments to artificial lighting intensity and curtain positioning were performed before each session to maintain vertical illuminance at approximately 500 lx (±5%). This calibration was performed immediately before each session to compensate for potential variations in daylight CCT caused by time-of-day or weather changes, ensuring stable and accurate light conditions across all experimental trials.
In the present study, the cognitive performance assessment comprised three cognitive performance tasks, which assessed the subjects’ performance in terms of attention, reaction, and memory skills (refer to Figure 6) [63,64].
  • Attention task: A random sequence of 25 numbers arranged in a 5 × 5 matrix was presented. The participants were asked to identify and click on all the numbers from 1 to 25 in sequence. The level of sustained attention was assessed by recording the time taken to complete the task.
  • Reactivity: A combination of two coloured Chinese characters was dynamically presented on a tablet device, where the meanings of the words and the colour of the font may coincide or conflict. The participants were required to select the word items that agreed with the task requirements according to the stem instructions. The system automatically recorded the correctness of the participants’ choices as a means of assessing their information processing speed and interference suppression ability.
  • Working memory task: The participants were provided with a sheet of paper with ten lines of letter and number combinations and were asked to copy them line by line and then to recall and completely mime what they had seen when the sheet was turned over. The participants’ short-term memory and information retention abilities were measured by recording the completion time and accuracy of the task.

2.4. Visual Comfort Identification

In this experiment, wireless physiological sensors were used to synchronise the collection of skin conductance data from the participants under different lighting conditions and to store and subsequently analyse the data in real time via the ErgoLAB human–computer interaction platform [65,66]. During the reading task, the subjects wore EDA electrode pads attached to the palm position. These pads were used to record their electrical signal changes and related physiological responses at each colour temperature level (refer to Figure 7 and Figure 8). At the end of the experiment, the researchers organised the participants to complete a subjective questionnaire to assess their subjective perception of and cognitive performance within the light environment. The final results of the study were based on a comprehensive analysis of objective physiological indicators and subjective evaluations.
To further explore the effects of illumination changes on brain functions, EEG signals were collected simultaneously and showed clear nonstationary characteristics, and their channel settings were divided based on the principles of functional and anatomical partitioning of brain regions. The cerebral cortex can be divided into four main regions: frontal, parietal, occipital, and temporal lobes, of which the frontal region is mainly responsible for thinking and emotion regulation; the parietal and occipital lobes are involved in perceptual, attentional, and linguistic functions; the occipital lobe dominates visual processing; and the temporal lobe reflects auditory perception and synthesises sensory information [67,68] (refer to Figure 9). Experiments were conducted using 32 partitioned channels connected to the EEG instrument, and five common frequency bands (δ, θ, α, β, and γ) were extracted to characterise the EEG activity (refer to Table 6). These frequency bands reflect different cognitive states and brain energy consumption patterns. When an individual is engaged in a cognitive task or processing of external stimuli, the nervous system is activated with a subsequent increase in energy expenditure; in contrast, in a state of low cognitive load and subjective comfort, the level of energy consumption is relatively low [69,70,71].
EEG data were preprocessed using the EEGLAB toolbox in ErgoLAB. Raw EEG signals were first band-pass filtered (0.5–45 Hz) to remove baseline drift and high-frequency noise. Then, independent component analysis (ICA) was applied to identify and remove components associated with ocular (e.g., eye blinks, saccades) and muscle artefacts. Noisy channels were identified through visual inspection and statistical thresholds, and were interpolated where necessary. Cleaned EEG data were then segmented and used for subsequent spectral and absolute power analyses.
To quantify the EEG activity in each frequency band, this study used the short-time Fourier transform with a 1-s nonoverlapping time window to extract the power spectral density features of the five frequency bands, using Equations (1)–(3), and combined it with the wavelet transform method to calculate the absolute power. The total power was obtained by accumulating the AP values of the five frequency bands, and the relative power, which represents the ratio of the AP to the total power of each frequency band, was used to reflect the distribution characteristics of the EEG energy [72]. The effects of lighting conditions on students’ cognitive states and brain energy levels were comprehensively analysed using the above methods.
      A P k = n = i j F F T n 2
A P 1 = log 10 A P k
R P = A P f r e q T o t a l A P
In addition to these objective physiological metrics, the participants’ perceptions under different lighting conditions were subjectively assessed by light comfort voting (LCV) and light fatigue voting (LFV) [73]. Finally, the participants rated their overall satisfaction with the lighting environment using a 5-point Likert scale at the end of the experiment (refer to Table 7).

2.5. Non-Visual Lighting Metrics

In addition to the standardised photometric control of horizontal illuminance at 500 lx, the study incorporated non-visual lighting metrics to characterise the circadian-effective properties of each lighting condition. These metrics included corneal illuminance (Ev) at eye level, spectral power distribution (SPD), circadian stimulus (CS), and melanopic equivalent daylight illuminance (mEDI).
Eye-level corneal illuminance (Ev) was determined based on the geometric relationship between the lighting fixtures and the seated viewing position of participants, applying standard spatial correction from desktop measurements. SPD data for each correlated colour temperature (CCT) level—ranging from 3000 K to 7000 K—were derived from manufacturer-certified photometric specifications for the high-CRI (Ra = 92) LED luminaires used in the experiment. Although horizontal desktop illuminance was kept constant at 500 lx (±5%) across all CCT levels, the estimated corneal illuminance (Ev) at eye level varied slightly (430–490 lx). This variation was caused by differences in the spectral power distribution and luminous efficacy of the LED fixtures at each CCT setting, as well as minor changes in beam geometry when viewed from the seated eye position. Such differences fall within acceptable engineering tolerances for mixed-spectrum lighting systems and represent realistic classroom lighting conditions.
Based on the SPD profiles and Ev values, the circadian stimulus (CS) for each condition was calculated following the model of circadian phototransduction proposed by Rea et al. [74]. (2012), which quantifies the effectiveness of light in stimulating the human circadian system. In parallel, melanopic equivalent daylight illuminance (mEDI) was computed using the guidelines provided in CIE S 026/E:2018 [75], which standardises metrology for ipRGC-mediated responses to light. These physiological metrics provide a comprehensive description of both visual and non-visual light exposure during the experiment (refer to Table 8).

3. Experimental Results and Analysis

3.1. Changes in Physiological Indices and Analysis

3.1.1. Picoelectric Results and Analyses

In this experiment, the physiological baseline values of the subjects were largely influenced by individual characteristics, including height, weight, gender, and personality traits. Individual personality has been shown to significantly affect electrodermal activity: introverts and individuals with lower emotional stability and weaker psychological tolerance usually have higher baseline electrodermal levels, whereas extroverts and individuals with higher psychological adaptability have lower baseline electrodermal values.
During the experiment, to further analyse the effect of colour temperature change on the skin electrical response, a scatter plot of the SC time-domain mean values was plotted for each participant under different colour temperature conditions (refer to Figure 10). The figure reveals significant differences in the mean SC values between subjects, indicating a potential modulation of the galvanic skin response by the individual baseline level. To explore this modulation mechanism, the present study used analysis of covariance (refer to Table 9), in which the subjects’ SC baseline mean values (hereafter referred to as “baseline values”) were set as the covariates, the colour temperature level was set as the independent variable, and the SC time-domain mean values (hereafter referred to as ‘SC mean values’) set as the SC time domain mean (hereinafter referred to as the “SC mean”) were the dependent variable. The results of the analyses are shown in Table 8. The significance level of the covariates is p = 0.000 (p < 0.01), indicating a significant interaction between the baseline value and SC mean.
This result suggests that the changes in skin conductance exhibited by students during the reading task in different colour temperature environments were significantly influenced by their individual baseline status. The study also analysed the data grouped by gender and found that the female participants at the primary school level exhibited significantly higher skin conductance indices than males under the same colour temperature conditions and that these indices were above the overall average (refer to Figure 11). This suggests that gender differences may also play a moderating role in the relationship between the visual environment and physiological responses.
By analysing the effect of the covariates on the experimental results and eliminating their interference, the p-value (significance) from the analysis was found to be 0.006 < 0.05 (refer to Table 10). This indicates that the visual distance of the independent variable still has a significant effect on the mean SC value of the dependent variable.
To control the interference of individual skin electrical baseline values on the experimental results, a standardisation method was introduced in the data processing stage of this study. The corresponding baseline values were subtracted from the mean time-domain values of skin conductance obtained from each subject under the experimental conditions, and the difference was subsequently divided by the baseline value to calculate the relative rate of change Δk, which was used to measure the physiological arousal levels of individuals under different colour temperature conditions. By analysing and summarising the Δk values under different colour temperature conditions, the arousal trends under different colour temperature levels can be understood (refer to Figure 12). The highest arousal level was reached under the colour temperature condition of 4000 K; when the colour temperature level exceeded 4000 K, the arousal level decreased significantly (refer to Table 11).

3.1.2. EEG Results and Analyses

In this study, EEG signals obtained from 53 participants under different light conditions were averaged and analysed [76]. The results showed that the EEG waveforms of the subjects were dominated by negative waveforms in the colour temperature range of 3000–4000 K, whereas positive waveforms dominated in the colour temperature range of 4000–6000 K, reflecting the significant modulation of brain neural activity by colour temperature. Further analyses revealed that the most significant brain electrical activity was recorded in the FP1 and FP2 channels in the frontal region (refer to Figure 13), which is closely related to the cognitive processing and information processing functions of individuals [77,78]. A comprehensive comparison of the EEG data at the five colour temperature levels revealed that different colour temperature conditions induced enhancement or suppression of the brain wave amplitude, indirectly reflecting the effect of the light environment on the degree of activation of the nervous system [79]. The above findings further support that appropriate colour temperature environments can optimise cognitive performance, whereas colour temperatures that are too cold or too warm may interfere with the information processing efficiency of the brain.
In this study, the effects of different colour temperature intensities on the EEG activities of primary school students and their energy consumption were investigated through a comprehensive analysis of EEG spectral density maps and absolute power (AP) indexes. The results showed that at a colour temperature of 4000 K (refer to Figure 14), the low-frequency dark areas in the EEG were significantly reduced, indicating more stable and orderly brain activity, whereas under the other colour temperatures (3000, 5000, 6000, and 7000 K), the distribution of the dark areas was significantly increased, reflecting a more intense neural stimulation and brain wave fluctuation. Further AP calculations showed that the average AP values under the five colour temperature conditions were lower than the baseline level, with the lowest AP value being recorded at 4000 K, suggesting that this colour temperature can help reduce brain energy consumption and optimise the state of neural activity, which may enhance cognitive efficiency and learning performance.
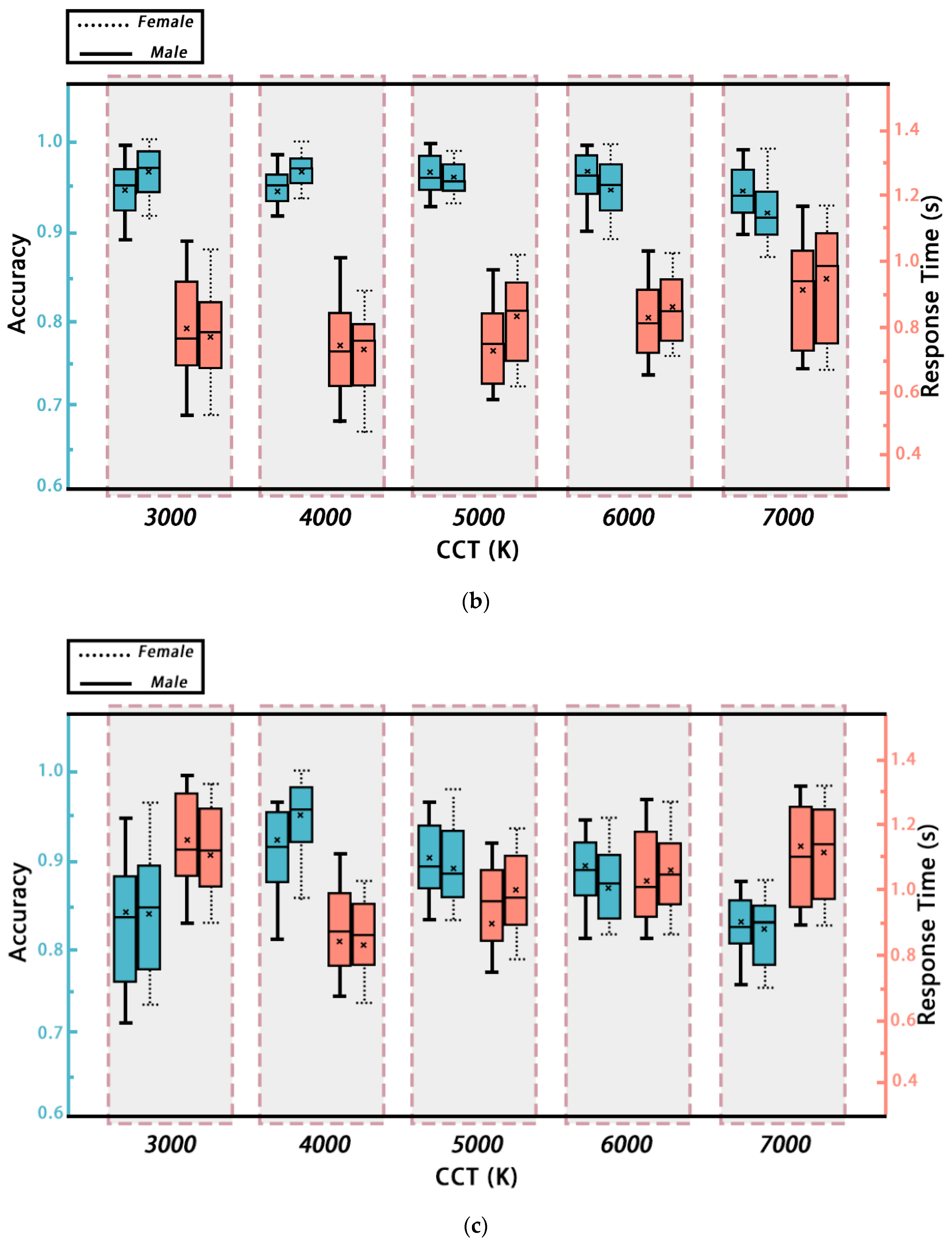
Statistical analyses of simulations under the same light conditions revealed significant differences between genders in terms of absolute power at different colour temperatures: males reached their lowest AP values in the 4000–5000 K range, whereas females showed optimal adaptation at 3000–4000 K (refer to Figure 15). The AP boxplots of each brain region further revealed that during the incremental increase in colour temperature from 3000 to 7000 K, the parietal and occipital regions showed the largest fluctuations in the 3000 and 7000 K conditions, reflecting the higher visual perception sensitivity of these two regions to extreme colour temperature levels. The overall brain AP value was smallest at a colour temperature of 4000 K, indicating that the brain was in a state of minimum energy consumption and optimal cognitive efficiency, particularly in terms of concentration and memory enhancement. In terms of gender differences, females had lower AP values than males at this light level, and their cognitive performance was more prominent. The results of the three cognitive tasks revealed that females performed better than males in the colour temperature range of 4000–7000 K (refer to Figure 16), whereas males performed better in the 3000–4000 K range. These results further suggest that females are more sensitive to changes in colour temperature environments and thus show greater cognitive responsiveness under specific colour temperature conditions.
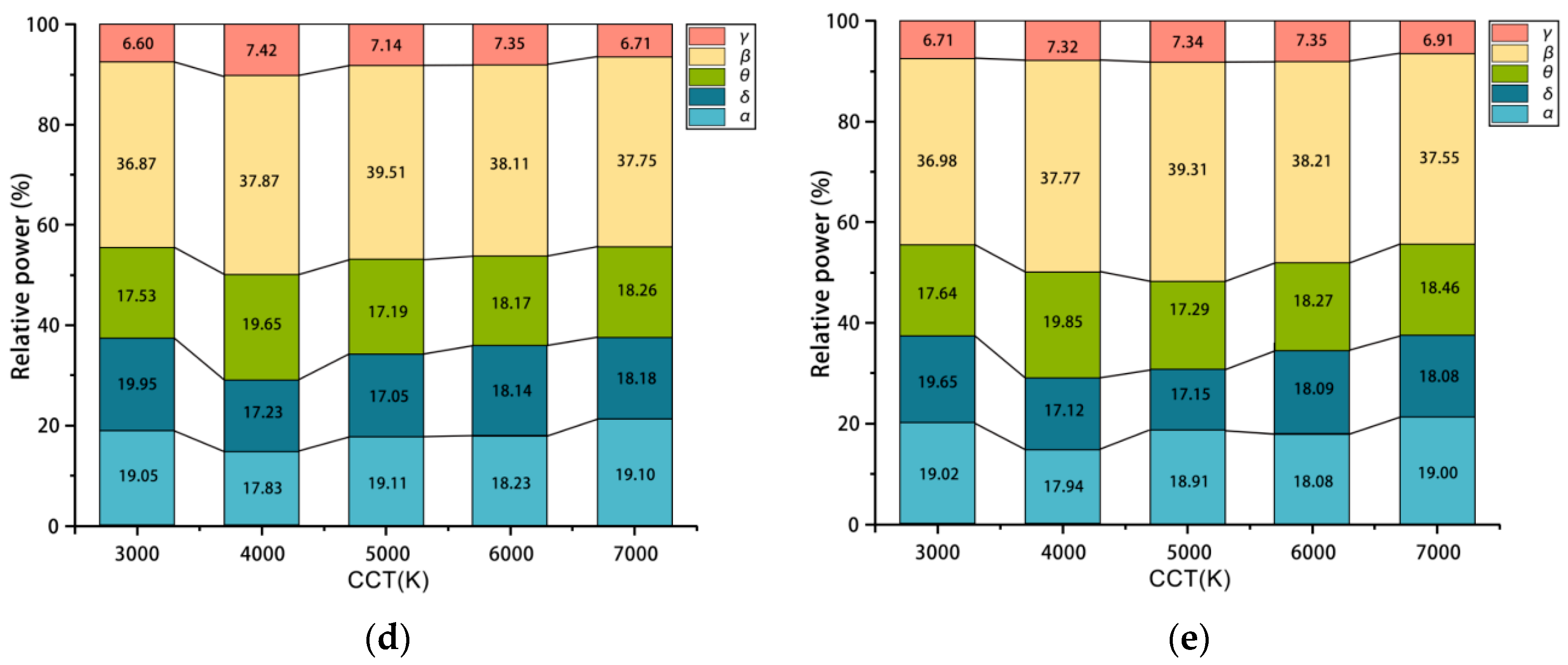
In this study, brain waves were divided into two categories, low-frequency waves (δ, θ, and α waves) and high-frequency waves (β and γ waves), to explore the characteristics of their responses at different colour temperatures. Low-frequency waves are associated mainly with relaxation and the resting state, in which δ waves (0.5–4 Hz) are often observed in deep sleep, θ waves (4–8 Hz) are active in the relaxation state, and α waves (8–12 Hz) are associated with wakefulness and quietness; in contrast, high-frequency waves reflect the level of tension and cognitive activity, in which β waves (13–30 Hz) and γ waves are active in the relaxation state. Among these, β waves (13–30 Hz) are enhanced in the alert and tense states, and γ waves (>30 Hz) are closely related to high attention and thinking activities. The experimental results revealed that the relative power of low-frequency δ, θ, and α waves gradually decreased with increasing colour temperature (refer to Figure 17), whereas the RP of β and γ waves increased. At a colour temperature of 4000 K, the low-frequency RP was lowest, and the high-frequency RP was highest, indicating that this level of colour temperature was most conducive to maintaining alertness and an efficient cognitive state in the brain. Further analyses revealed that the five EEG waves showed similar trends in different brain regions, with β waves being most active in the occipital and parietal regions. The results of the ∆RP analysis revealed that at a colour temperature of 4000 K (refer to Table 12) (refer to Figure 18), the RPs of all the frequency bands except the δ waves were higher than the baseline level; in particular, the ∆RP of the θ waves was significantly lower than those at 3000 and 7000 K, suggesting that it was negatively correlated with subjective comfort. In summary, under different colour temperature conditions, the EEG features at a colour temperature of 4000 K best support the best cognitive performance and neuroefficacy.

3.1.3. Subjective Evaluation Results and Analyses

The results of the subjects’ subjective evaluations under different colour temperature conditions revealed that the colour temperature significantly affected the subjects’ perceptual experience. With 3000 K as the control group, the comfort ratings of the learning environment under the other lighting conditions increased by 0.39 (4000 K), 0.28 (5000 K), 0.21 (6000 K), and 0.08 (7000 K), with the highest LCV scores recorded under the 4000 K condition, where 78.6% of the participants reported “very comfortable” or “comfortable”, which indicates a statistically significant difference (p = 0.036). Conversely, the learning fatigue values showed a decreasing and then increasing trend, with the lowest LFV scores recorded at a colour temperature of 4000 K and exhibiting a significant difference from those at the other colour temperatures (p = 0.039), indicating that the participants experienced the least amount of fatigue at this colour temperature. Notably, the LFV scores increased by 0.18 at colder colour temperatures (5000 K), suggesting that a cold colour temperature bar is more likely to trigger visual fatigue. Combining the results of the LCV and LFV ratings, 4000 K was generally considered by the participants to be the most suitable colour temperature for learning (refer to Figure 19).

4. Discussions and Limitations

In this study, a framework for assessing classroom lighting quality based on a physiological–psychological multidimensional perspective was constructed by combining physiological signals such as electrodermal responses (EDA) and EEGs with subjective questionnaires to explore in depth the comprehensive effects of different colour temperature levels on the cognitive performance and visual comfort of primary school students. Compared with the previous research model, which relies mainly on subjective reports, this study achieved a more quantitative and precise analysis of the impact of the classroom lighting environment by combining objective physiological data with subjective perceptions.
The experimental results revealed that under the same colour temperature conditions, female students were more sensitive to the physiological response to colour temperature changes, showed higher levels of galvanic skin activity and cognitive test scores, and had higher levels of arousal and cognitive engagement than males under light stimulation. Moreover, EEG analysis revealed that the power of high-frequency EEG waves increased and that the power of low-frequency waves decreased at 4000 K, indicating that the brain was in a higher state of attention and work under this colour temperature condition. The trends of the EDA and EEG indexes were in line with the subjective comfort scores, which further verified that 4000 K was the optimal colour temperature level. At this colour temperature, 78.6% of the participants perceived higher subjective visual comfort, and the corresponding cognitive performance scores were significantly better than those at other colour temperatures.
The study also revealed that the occipital and parietal regions showed the most significant changes in light adaptation time at extreme colour temperatures (3000 K vs. 7000 K), suggesting that these regions are more sensitive to visual information processing. By comparing the boxplot distributions of cognitive performance at different colour temperatures, the cognitive dominance of females at 4000 K and above was further confirmed, whereas males performed more prominently at lower colour temperatures, reflecting potential gender differences in adaptation to light environments.
The results of this study suggest that 4000 K lighting conditions positively influence cognitive performance and visual comfort, a finding that aligns with previous research on the effects of colour temperature on cognitive and perceptual outcomes in educational settings. For instance, studies by Smith et al. [80] have demonstrated that cooler white light (around 4000 K) enhances focus, cognitive efficiency, and student comfort in classroom environments. This supports the notion that optimal lighting, as shown in our study, can foster a conducive learning environment. However, the gender differences observed in our study, where females demonstrated a greater cognitive benefit under 4000 K lighting, add a new dimension to existing findings. While Song F, et al. [81] (2024) have noted gender differences in the physiological response to environmental factors like lighting, the interaction between lighting conditions and gender in cognitive performance warrants further investigation. Future studies should explore the underlying neurophysiological mechanisms to better understand why these differences occur and how they can be utilised in designing effective learning spaces.
Although this study improved the level of knowledge about the effects of the classroom light environment through the integration of multidimensional indicators, several limitations still exist. For example, the sample size was relatively limited owing to the need for repeated measurements in the experiment, and the length of the experiment was compressed into a short time period to control for the effects of fatigue and negative emotions, which may affect the broad applicability of the results. Therefore, future studies should expand the sample size, extend the experimental period, and cover more age groups of students to further enhance the extrapolation and application value of the findings. The study included key non-visual lighting metrics such as Ev, CS, and mEDI to enhance the physiological relevance of the lighting conditions; these parameters were derived through standardised estimation methods rather than direct in-situ measurement. As such, they may not fully capture individual variations in light exposure or spectral distribution within the actual experimental environment. Additionally, the short-term nature of the study limits insights into potential long-term circadian or hormonal effects, suggesting the need for future research with extended observation periods and direct physiological assessments.
This study has several limitations. Although conducted near the winter solstice to minimise daylight variation, time-of-day effects were not statistically controlled and may have influenced results. The sample was restricted to 10–13-year-old students from a single school in northern China during winter, which may limit generalisability to other populations or seasons. In addition, repeated cognitive tasks within the same day may have introduced fatigue or learning effects, despite randomising condition order and providing rest breaks.
Although EEG and EDA provided robust physiological data, this study did not include pupil diameter, a key marker of non-image-forming (NIF) activation and cognitive workload, which limits the multidimensional assessment of visual-cognitive responses. Additionally, while the experiment followed typical school hours (8:00–10:00 and 13:00–17:00), chronotype and time-of-day effects were not explicitly controlled. A within-subjects design and randomised lighting sequences were used to reduce such variability, but future studies should incorporate pupillometry and more precise circadian controls to enhance experimental rigour.

5. Conclusions

In this study, five classroom lighting environments with different colour temperature levels were designed to comprehensively investigate the effects of colour temperature on the cognitive performance of primary school students by combining physiological indicators such as galvanic skin response and brain waves, as well as subjective evaluations. The test results on 53 elementary school students showed that:
  • The subjective visual comfort and state arousal levels of primary school students are highest in the 4000 K colour temperature lighting environment, which is the optimal colour temperature lighting condition for cognitive performance.
  • Through the analysis of EEG signals, there are differences in the AP of each brain region among primary school students of different genders, and females are more sensitive to changes in the colour temperature environment.
  • The cognitive performance of males was higher than that of females in the warm colour temperature lighting environment, while females had higher cognitive performance than that of males as the colour temperature increased and the colour temperature environment became cooler.
This study shows that changes in colour temperature environment can significantly change the mood, comfort, and cognitive performance (attention, reaction, memory) of primary school students. In the lighting design of primary school classrooms, when conditions permit, it is recommended that the lighting environment change the lighting colour temperature according to the purpose of the classroom to optimise the learning environment. The results of this study can inform the future design of primary school classrooms. Future research could further explore the effects of the combined effects of colour temperature and illuminance on students’ cognitive performance, particularly with the aim of enhancing the level of processing of brain signals for cognitive performance.

Author Contributions

Conceptualisation, B.G. and Y.F.; methodology, B.G.; statistical data analysis, B.G.; investigation, B.G. and Y.F.; writing—original draft preparation, B.G.; writing—review and editing, Y.F. and W.G.; visualisation, J.G.; supervision, W.G. All authors have read and agreed to the published version of the manuscript.

Funding

This research was funded by the Shenyang Key Laboratory for Enhancing Healthy Living Environment, the National Natural Science Foundation of China [grant number 52278031]. Outstanding Doctoral Candidates for the 2024 Basic Research Project of Higher Education Institutions [grant number Z2224002] and Innovation Team for Low-Carbon, Green and Healthy Human Settlements in Cold Regions (Interdisciplinary Team) [grant number LJ222410153076].

Institutional Review Board Statement

The Institutional Review Committee declares: This study was conducted in accordance with the Declaration of Helsinki. By the Ethics Review Committee of the School of Architecture and Planning Shenyang Architecture University (Ethics Project No. 2025SJZU-A008), involving human research.

Informed Consent Statement

Informed consent was obtained from all subjects involved in the study.

Data Availability Statement

The data that support the findings of this study are available from the corresponding authors upon reasonable request.

Conflicts of Interest

The authors declare no conflicts of interest.

References

  1. Yang, G.X. Interior visual environment design. J. Tongji Univ. 1978, 68–77. [Google Scholar]
  2. Dong, D.; Wang, J.; Mu, T.; Lu, W.K. A new paradigm for comprehensive design strategy for university campus renewal. City Built Environ. 2023, 1, 17. [Google Scholar] [CrossRef]
  3. Cruz-Garza, J.G.; Darfler, M.; Rounds, J.D.; Gao, E.; Kalantari, S. EEG-based investigation of the impact of classroom design on cognitive performance of students. arXiv 2021, arXiv:2102.03629. [Google Scholar] [CrossRef]
  4. Sun, C.; Lian, Z.; Lan, L. Work performance in relation to lighting environment in office buildings. Indoor Built Environ. 2019, 28, 1064–1082. [Google Scholar] [CrossRef]
  5. Zeng, Y.; Sun, H.; Yu, J.; Lin, B. Effects of correlated color temperature of office light on subjective perception, mood and task performance. Build. Environ. 2022, 224, 109508. [Google Scholar] [CrossRef]
  6. Kruithof, A.A. Tubular luminescence lamps for general illumination. Philips Tech. Rev. 1941, 3, 65–96. [Google Scholar]
  7. Jung, D.; Jung, S.; An, J.; Hong, T. Bio-signals based occupant-centric lighting control for cognitive performance, visual fatigue and energy consumption. Build. Environ. 2025, 269, 112424. [Google Scholar] [CrossRef]
  8. Sleegers, P.J.C.; Moolenaar, N.M.; Galetzka, M.; Pruyn, A.; Sarroukh, B.E.; Zande, B. Lighting affects students’ concentration positively: Findings from three Dutch studies. Light. Res. Technol. 2013, 45, 159–175. [Google Scholar] [CrossRef]
  9. Wang, Q.; Xu, H.; Zhang, F.; Wang, Z.H. Influence of color temperature on comfort and preference for LED indoor lighting. Optik 2017, 129, 21–29. [Google Scholar] [CrossRef]
  10. Nakamura, H.; Karasawa, Y. Relationship between illuminance/color temperature and preference of atmosphere. J. Light Vis. Environ. 1999, 23, 1_29–1_38. [Google Scholar] [CrossRef]
  11. Park, B.C.; Chang, J.H.; Kim, Y.S.; Jeong, J.W.; Choi, A.S. A study on the subjective response for corrected colour temperature conditions in a specific space. Indoor Built Environ. 2010, 19, 623–637. [Google Scholar] [CrossRef]
  12. Hamedani, Z.; Solgi, E.; Hine, T.; Skates, H. Revealing the relationships between luminous environment characteristics and physiological, ocular and performance measures: An experimental study. Build. Environ. 2020, 172, 106702. [Google Scholar] [CrossRef]
  13. Tyukhova, Y.; Waters, C.E. Subjective and pupil responses to discomfort glare from small, high-luminance light sources. Light. Res. Technol. 2019, 51, 592–611. [Google Scholar] [CrossRef]
  14. Hamedani, Z.; Solgi, E.; Skates, H.; Hine, T.; Fernando, R.; Lyons, J.; Dupre, K. Visual discomfort and glare assessment in office environments: A review of light-induced physiological and perceptual responses. Build. Environ. 2019, 153, 267–280. [Google Scholar] [CrossRef]
  15. Yamín Garretón, J.A.; Rodriguez, R.G.; Pattini, A.E. Glare indicators: An analysis of ocular behaviour in an office equipped with venetian blinds. Indoor Built Environ. 2016, 25, 69–80. [Google Scholar] [CrossRef]
  16. Lin, Y.; Fotios, S.; Wei, M.; Liu, Y.; Guo, W.; Sun, Y. Eye movement and pupil size constriction under discomfort glare. Investig. Ophthalmol. Vis. Sci. 2015, 56, 1649–1656. [Google Scholar] [CrossRef] [PubMed]
  17. Doughty, M.J. Spontaneous eyeblink activity under different conditions of gaze (eye position) and visual glare. Graefe’s Arch. Clin. Exp. Ophthalmol. 2014, 252, 1147–1153. [Google Scholar] [CrossRef]
  18. Laudenslager, M.L.; Noonan, C.; Jacobsen, C.; Goldberg, J.; Buchwald, D.; Douglas Bremner, J.; Vaccarino, V.; Manson, S.M. Salivary cortisol among American Indians with and without posttraumatic stress disorder (PTSD): Gender and alcohol influences. Brain Behav. Immun. 2009, 23, 658–662. [Google Scholar] [CrossRef][Green Version]
  19. Chellappa, S.L.; Steiner, R.; Blattner, P.; Oelhafen, P.; Gotz, T.; Cajochen, C. Non-visual effects of light on melatonin, alertness and cognitive performance: Can blue-enriched light keep us alert? PLoS ONE 2011, 6, e16429. [Google Scholar] [CrossRef]
  20. Zhang, N.; Liu, C.; Li, J.; Hou, K.; Gao, W.J. A comprehensive review of research on indoor cognitive performance using electroencephalogram technology. Build. Environ. 2024, 257, 111555. [Google Scholar] [CrossRef]
  21. Walter, C.; Rosenstiel, W.; Bogdan, M.; Gerjets, P.; Spüler, M. Online EEG-based workload adaptation of an arithmetic learning environment. Front. Hum. Neurosci. 2017, 11, 286. [Google Scholar] [CrossRef]
  22. Hu, S.; Lu, M.; He, M.; Wang, G.; Liang, P.; Tong, L.; Liu, G. Research on the light comfort characterization method based on visual evoked potential energy. Build. Environ. 2021, 197, 107831. [Google Scholar] [CrossRef]
  23. Eroğlu, K.; Kayıkçıoğlu, T.; Osman, O. Effect of brightness of visual stimuli on EEG signals. Behav. Brain Res. 2020, 382, 112486. [Google Scholar] [CrossRef]
  24. Di Santo, S.; Villegas, P.; Burioni, R.; Muñoz, M.A. Landau–Ginzburg theory of cortex dynamics: Scale-free avalanches emerge at the edge of synchronization. Proc. Natl. Acad. Sci. USA 2018, 115, E1356–E1365. [Google Scholar] [CrossRef] [PubMed]
  25. Choi, Y.; Kim, M.; Chun, C. Effect of temperature on attention ability based on electroencephalogram measurements. Build. Environ. 2019, 147, 299–304. [Google Scholar] [CrossRef]
  26. Jung, H.C.; Kim, J.H.; Lee, C.W. The effect of the illuminance of light emitting diode (LED) lamps on long-term memory. Displays 2017, 49, 1–5. [Google Scholar] [CrossRef]
  27. Lu, M.; Hu, S.; Liu, R.; Liang, P.; Hu, M.; Feng, H.; Xu, Z.; Hou, K. Comprehensive satisfaction assessment of thermal and light environment in a primary school classroom in Qingdao: A field study. J. Build. Eng. 2023, 72, 106654. [Google Scholar] [CrossRef]
  28. Lan, H.; Hou, H.C.; Gou, Z. A machine learning led investigation to understand individual difference and the human-environment interactive effect on classroom thermal comfort. Build. Environ. 2023, 236, 110259. [Google Scholar] [CrossRef]
  29. Wang, S.; Chen, B.; Suo, J.; Zhao, J.R. Impact of building morphology and outdoor environment on light and thermal environment in campus buildings in cold region during winter. Build. Environ. 2021, 204, 108074. [Google Scholar] [CrossRef]
  30. Vettori, G.; Di Leonardo, L.; Secchi, S.; Astolfi, A.; Bigozzi, L. Primary school children’s verbal working memory performances in classrooms with different acoustic conditions. Cogn. Dev. 2022, 64, 101256. [Google Scholar] [CrossRef]
  31. Ma, X.; Liu, H.; Zhang, Z.; Li, Y. How does indoor physical environment differentially affect learning performance in various classroom types? Build. Environ. 2023, 234, 110189. [Google Scholar] [CrossRef]
  32. Cabovská, B.; Bekö, G.; Teli, D.; Ekberg, L.; Dalenbäck, J.O.; Wargocki, P.; Psomas, P.; Langer, S. Ventilation strategies and indoor air quality in Swedish primary school classrooms. Build. Environ. 2022, 226, 109744. [Google Scholar] [CrossRef]
  33. Tikul, N.; Hokpunna, A.; Chawana, P. Improving indoor air quality in primary school buildings through optimized apertures and classroom furniture layouts. J. Build. Eng. 2022, 62, 105324. [Google Scholar] [CrossRef]
  34. Huiberts, L.M.; Smolders, K.C.H.J.; de Kort, Y.A.W. Non-image forming effects of illuminance level: Exploring parallel effects on physiological arousal and task performance. Physiol. Behav. 2016, 164, 129–139. [Google Scholar] [CrossRef]
  35. Santhi, N.; Groeger, J.A.; Archer, S.N.; Gimenez, M.; Schlangen, L.J.M.; Dijk, D.J. Morning sleep inertia in alertness and performance: Effect of cognitive domain and white light conditions. PLoS ONE 2013, 8, e79688. [Google Scholar] [CrossRef]
  36. Lok, R.; Woelders, T.; Gordijn, M.C.M.; Hut, R.A.; Beersma, D.G.M. White light during daytime does not improve alertness in well-rested individuals. J. Biol. Rhythm. 2018, 33, 637–648. [Google Scholar] [CrossRef]
  37. Smolders, K.C.H.J.; Peeters, S.T.; Vogels, I.M.L.C.; de Kort, Y.A.W. Investigation of dose-response relationships for effects of white light exposure on correlates of alertness and executive control during regular daytime working hours. J. Biol. Rhythm. 2018, 33, 649–661. [Google Scholar] [CrossRef]
  38. Deng, M.; Wang, X.; Menassa, C.C. Measurement and prediction of work engagement under different indoor lighting conditions using physiological sensing. Build. Environ. 2021, 203, 108098. [Google Scholar] [CrossRef]
  39. Lu, M.; Hu, S.; Mao, Z.; Liang, P.; Xin, S.; Guan, H. Research on work efficiency and light comfort based on EEG evaluation method. Build. Environ. 2020, 183, 107122. [Google Scholar] [CrossRef]
  40. Min, B.K.; Jung, Y.C.; Kim, E.; Park, J.Y. Bright illumination reduces parietal EEG alpha activity during a sustained attention task. Brain Res. 2013, 1538, 83–92. [Google Scholar] [CrossRef] [PubMed]
  41. Tong, L.; Liu, N.; Hu, S.; Lu, M.; Zheng, Y.; Ma, X. Research on the preferred illuminance in office environments based on EEG. Buildings 2023, 13, 467. [Google Scholar] [CrossRef]
  42. Shin, J.Y.; Chun, S.Y.; Lee, C.S. Analysis of the effect on attention and relaxation level by correlated color temperature and illuminance of LED lighting using EEG signal. J. Korean Inst. Illum. Electr. Install. Eng. 2013, 27, 9–17. [Google Scholar] [CrossRef]
  43. Lin, J.; Westland, S.; Cheung, V. Effect of intensity of short-wavelength light on electroencephalogram and subjective alertness. Light. Res. Technol. 2020, 52, 413–422. [Google Scholar] [CrossRef]
  44. Zhang, R.; Yang, Y.; Fang, Q.; Liu, Y.; Zhu, X.; Wang, M.; Su, L. Effect of indoors artificial lighting conditions on computer-based learning performance. Int. J. Environ. Res. Public Health 2020, 17, 2537. [Google Scholar] [CrossRef]
  45. Shin, Y.B.; Woo, S.H.; Kim, D.H.; Kim, J.; Kim, J.J.; Park, J.Y. The effect on emotions and brain activity by the direct/indirect lighting in the residential environment. Neurosci. Lett. 2015, 584, 28–32. [Google Scholar] [CrossRef]
  46. Forgacs, P.B.; Von Gizycki, H.; Selesnick, I.; Syed, N.A.; Ebrahim, K.; Avitable, M.; Amassian, V.; Lyttonl, W.; Bodis-Wollner, I. Perisaccadic parietal and occipital gamma power in light and in complete darkness. Perception 2008, 37, 419–432. [Google Scholar] [CrossRef] [PubMed]
  47. Mostafavi, A.; Cruz-Garza, J.G.; Kalantari, S. Enhancing lighting design through the investigation of illuminance and correlated CCT’s effects on brain activity: An EEG-VR approach. J. Build. Eng. 2023, 75, 106776. [Google Scholar] [CrossRef]
  48. Nie, J.X.; Zou, Q.H.; Chen, L.Y.; Chen, Z.Z.; Hu, Q.Z.; Jiao, F.; Pan, Z.J.; Deng, C.H.; Zhang, H.D.; Dong, B.Y.; et al. The lower correlated color temperature with higher illuminance nocturnal light environment improves cognitive performance and sleep quality. Build. Environ. 2024, 251, 111221. [Google Scholar] [CrossRef]
  49. Park, J.I.N.Y.; Min, B.K.; Jung, Y.C.; Pak, H.; Jeong, Y.H.; Kim, E. Illumination influences working memory: An EEG study. Neuroscience 2013, 247, 386–394. [Google Scholar] [CrossRef]
  50. Juan, Y.K.; Chen, Y. The influence of indoor environmental factors on learning: An experiment combining physiological and psychological measurements. Build. Environ. 2022, 221, 109299. [Google Scholar] [CrossRef]
  51. Pratiwi, S.N.; Kridarso, E.R.; Triwibowo, D. Quality Evaluation of Natural Lighting and Visual Comfort in the Classroom. In Proceedings of the International Webinar on Digital Architecture 2021 (IWEDA 2021), Yogyakarta, Indonesia, 13–14 December 2021; Atlantis Press: Dordrecht, The Netherlands, 2022; pp. 192–195. [Google Scholar]
  52. Sahin, L.; Wood, B.M.; Plitnick, B.; Figueiro, M.G. Daytime light exposure: Effects on biomarkers, measures of alertness, and performance. Behav. Brain Res. 2014, 274, 176–185. [Google Scholar] [CrossRef] [PubMed]
  53. Campbell, S.S.; Dawson, D. Enhancement of nighttime alertness and performance with bright ambient light. Physiol. Behav. 1990, 48, 317–320. [Google Scholar] [CrossRef]
  54. Smolders, K.; De Kort, Y.A.W.; Cluitmans, P.J.M. A higher illuminance induces alertness even during office hours: Findings on subjective measures, task performance and heart rate measures. Physiol. Behav. 2012, 107, 7–16. [Google Scholar] [CrossRef]
  55. Badia, P.; Myers, B.; Boecker, M.; Culpepper, J.; Harsh, J.R. Bright light effects on body temperature, alertness, EEG and behavior. Physiol. Behav. 1991, 50, 583–588. [Google Scholar] [CrossRef] [PubMed]
  56. Vandewalle, G.; Balteau, E.; Phillips, C.; Degueldre, C.; Moreau, V.; Sterpenich, V.; Albouy, G.; Darsaud, A.; Desseilles, M.; Dang-Vu, T.T.; et al. Daytime light exposure dynamically enhances brain responses. Curr. Biol. 2006, 16, 1616–1621. [Google Scholar] [CrossRef] [PubMed]
  57. Myers, B.L.; Badia, P. Immediate effects of different light intensities on body temperature and alertness. Physiol. Behav. 1993, 54, 199–202. [Google Scholar] [CrossRef]
  58. Lockley, S.W.; Evans, E.E.; Scheer, F.A.J.L.; Brainard, G.C.; Czeisler, C.A.; Aeschbach, D. Short-wavelength sensitivity for the direct effects of light on alertness, vigilance, and the waking electroencephalogram in humans. Sleep 2006, 29, 161–168. [Google Scholar] [CrossRef]
  59. Grocoff, P.N. Effects of Correlated Color Temperature on Perceived Visual Comfort. Ph.D. Thesis, University of Michigan, Ann Arbor, MI, USA, 1996. [Google Scholar]
  60. Luo, W.; Kramer, R.; Kompier, M.; Smolders, K.; de Kort, Y.; Marken Lichtenbelt, W. Effects of correlated color temperature of light on thermal comfort, thermophysiology and cognitive performance. Build. Environ. 2023, 231, 109944. [Google Scholar] [CrossRef]
  61. Yang, W.; Jeon, J.Y. Effects of correlated colour temperature of LED light on visual sensation, perception, and cognitive performance in a classroom lighting environment. Sustainability 2020, 12, 4051. [Google Scholar] [CrossRef]
  62. Shamsul, B.M.T.; Sia, C.C.; Ng, Y.G.; Karmegan, K. Effects of light’s colour temperatures on visual comfort level, task performances, and alertness among students. Am. J. Public Health Res. 2013, 1, 159–165. [Google Scholar] [CrossRef]
  63. Jung, D.; An, J.; Hong, T. Exploring the relationship between office lighting, cognitive performance, and psychophysiological responses: A multidimensional approach. Build. Environ. 2024, 263, 111863. [Google Scholar] [CrossRef]
  64. Gao, B.; Fu, Y.; Gao, J.; Gao, W.J. Effects of the Light Environment in Elementary School Classrooms on Students’ Cognitive Performance and Galvanic Skin Indicators. Indoor Air 2025, 2025, 3122870. [Google Scholar] [CrossRef]
  65. Mansi, S.A.; Barone, G.; Forzano, C.; Pigliautile, I.; Ferrara, M.; Pisello, A.L.; Arnesano, M. Measuring human physiological indices for thermal comfort assessment through wearable devices: A review. Measurement 2021, 183, 109872. [Google Scholar] [CrossRef]
  66. Seshadri, D.R.; Li, R.T.; Voos, J.E.; Rowbottom, J.R.; Alfes, C.M.; Zorman, C.A.; Drummond, C.K. Wearable sensors for monitoring the physiological and biochemical profile of the athlete. npj Digit. Med. 2019, 2, 72. [Google Scholar] [CrossRef]
  67. Halder, B.; Anjum, T.; Bhuiyan, M.I.H. An attention-based multi-resolution deep learning model for automatic A-phase detection of cyclic alternating pattern in sleep using single-channel EEG. Biomed. Signal Process. Control. 2023, 83, 104730. [Google Scholar] [CrossRef]
  68. Javidan, M.; Yazdchi, M.; Baharlouei, Z.; Mahnam, A. Feature and channel selection for designing a regression-based continuous-variable emotion recognition system with two EEG channels. Biomed. Signal Process. Control. 2021, 70, 102979. [Google Scholar] [CrossRef]
  69. Dura, A.; Wosiak, A. EEG channel selection strategy for deep learning in emotion recognition. Procedia Comput. Sci. 2021, 192, 2789–2796. [Google Scholar] [CrossRef]
  70. Zhang, F.; Haddad, S.; Nakisa, B.; Rastgoo, M.N.; Candido, C.; Tjondronegoro, D.; de Dear, R. The effects of higher temperature setpoints during summer on office workers’ cognitive load and thermal comfort. Build. Environ. 2017, 123, 176–188. [Google Scholar] [CrossRef]
  71. Sun, R.; Xu, S.; Han, Y.; Zhuang, D.; Yan, B.; Sun, C. Exploring impacts of thermal and lighting conditions on office workers’ subjective evaluations, cognitive performance and EEG features in multi-person offices. J. Build. Eng. 2024, 95, 110170. [Google Scholar] [CrossRef]
  72. Liu, C.; Zhang, N.; Wang, Z.; Pan, X.; Ren, Y.; Gao, W.J. Correlation between Brain Activity and Comfort at Different Illuminances Based on Electroencephalogram Signals during Reading. Build. Environ. 2024, 261, 111694. [Google Scholar] [CrossRef]
  73. Moran, D.S.; Shitzer, A.; Pandolf, K.B. A physiological strain index to evaluate heat stress. Am. J. Physiol.-Regul. Integr. Comp. Physiol. 1998, 275, R129–R134. [Google Scholar] [CrossRef]
  74. Rea, M.S.; Figueiro, M.G.; Bullough, J.D.; Bierman, A. A model of phototransduction by the human circadian system. Brain Res. Rev. 2005, 50, 213–228. [Google Scholar] [CrossRef]
  75. CIE S026/E; CIE System for Metrology of Optical Radiation for ipRGC-Influenced Responses to Light. Commission Internationale de l’Eclairage: Vienna, Austria, 2018.
  76. Shan, X.; Yang, E.H.; Zhou, J.; Chang, V.W.C. Human-building interaction under various indoor temperatures through neural-signal electroencephalogram (EEG) methods. Build. Environ. 2018, 129, 46–53. [Google Scholar] [CrossRef]
  77. Li, J.; Jin, Y.; Lu, S.; Wu, W.; Wang, P. Building environment information and human perceptual feedback collected through a combined virtual reality (VR) and electroencephalogram (EEG) method. Energy Build. 2020, 224, 110259. [Google Scholar] [CrossRef]
  78. Li, J.; Wu, W.; Jin, Y.; Zhao, R.; Bian, W. Research on environmental comfort and cognitive performance based on EEG+ VR+ LEC evaluation method in underground space. Build. Environ. 2021, 198, 107886. [Google Scholar] [CrossRef]
  79. Wang, X.; Li, D.; Menassa, C.C.; Kamat, V.R. Investigating the effect of indoor thermal environment on occupants’ mental workload and task performance using electroencephalogram. Build. Environ. 2019, 158, 120–132. [Google Scholar] [CrossRef]
  80. Tabrizian, P.; Baran, P.K.; Smith, W.R.; Meentemeyer, R.K. Exploring perceived restoration potential of urban green enclosure through immersive virtual environments. J. Environ. Psychol. 2018, 55, 99–109. [Google Scholar] [CrossRef]
  81. Li, Y.; Wang, Y.; Song, F.; Liu, Y. Assessing gender perception differences in color combinations in digital visual interfaces using eye tracking–the case of HUD. Int. J. Hum. Comput. Interact. 2024, 40, 6591–6607. [Google Scholar] [CrossRef]
Figure 1. Five climate zones in China and the geographical location of Anshan City.
Figure 1. Five climate zones in China and the geographical location of Anshan City.
Buildings 15 02964 g001
Figure 2. Classroom measurement point division.
Figure 2. Classroom measurement point division.
Buildings 15 02964 g002
Figure 3. Classroom point illuminance and CCT line chart: (a) line chart of illuminance at different positions; (b) line chart of illumination at different times; (c) line chart of CCT at different positions; (d) line chart of CCT at different times.
Figure 3. Classroom point illuminance and CCT line chart: (a) line chart of illuminance at different positions; (b) line chart of illumination at different times; (c) line chart of CCT at different positions; (d) line chart of CCT at different times.
Buildings 15 02964 g003
Figure 4. Selection of experimental materials.
Figure 4. Selection of experimental materials.
Buildings 15 02964 g004
Figure 5. Experimental process.
Figure 5. Experimental process.
Buildings 15 02964 g005
Figure 6. Thesis research framework.
Figure 6. Thesis research framework.
Buildings 15 02964 g006
Figure 7. Physiological index collection experiment.
Figure 7. Physiological index collection experiment.
Buildings 15 02964 g007
Figure 8. Experimental instrument.
Figure 8. Experimental instrument.
Buildings 15 02964 g008
Figure 9. EEG channel information.
Figure 9. EEG channel information.
Buildings 15 02964 g009
Figure 10. SC changes under different CCT levels.
Figure 10. SC changes under different CCT levels.
Buildings 15 02964 g010
Figure 11. Male and female dermatoelectricity indexes.
Figure 11. Male and female dermatoelectricity indexes.
Buildings 15 02964 g011
Figure 12. Male and female Δk.
Figure 12. Male and female Δk.
Buildings 15 02964 g012
Figure 13. Amplitude of each channel of the EEG signals.
Figure 13. Amplitude of each channel of the EEG signals.
Buildings 15 02964 g013
Figure 14. EEG density map.
Figure 14. EEG density map.
Buildings 15 02964 g014
Figure 15. Average absolute power of brain waves in males and females at different CCT levels.
Figure 15. Average absolute power of brain waves in males and females at different CCT levels.
Buildings 15 02964 g015
Figure 16. Comparison of male and female cognitive performance under different CCT: (a) attention test results; (b) reactivity test results; (c) memory test results.
Figure 16. Comparison of male and female cognitive performance under different CCT: (a) attention test results; (b) reactivity test results; (c) memory test results.
Buildings 15 02964 g016aBuildings 15 02964 g016b
Figure 17. Changes in RP in the (a) overall brain, (b) frontal lobe, (c) parietal lobe, (d) occipital lobe, and (e) temporal lobe at different CCT levels.
Figure 17. Changes in RP in the (a) overall brain, (b) frontal lobe, (c) parietal lobe, (d) occipital lobe, and (e) temporal lobe at different CCT levels.
Buildings 15 02964 g017aBuildings 15 02964 g017b
Figure 18. Changes in the RPs of (a) α, (b) β, (c) γ, and (d) θ waves.
Figure 18. Changes in the RPs of (a) α, (b) β, (c) γ, and (d) θ waves.
Buildings 15 02964 g018
Figure 19. Changes in LCV (a) and LFV (b) under different CCT levels.
Figure 19. Changes in LCV (a) and LFV (b) under different CCT levels.
Buildings 15 02964 g019
Table 2. Classroom light environment parameters.
Table 2. Classroom light environment parameters.
ParametersMeasured ValueStandard Recommended Value (Refer to GB/T36876-2018)
Illumination Uniformity (U)0.74≥0.70
Glare Index (UGR)18.2<19
Colour Rendering Index (CRI)92≥80
Table 3. Basic information about the subjects.
Table 3. Basic information about the subjects.
MaleFemaleAll
Age (years)11.75 (±1.26)12.15 (±2.15)11.95 (±2.12)
Height (m)1.68 (±0.05)1.56 (±0.05)1.64 (±0.05)
Weight (kg)58.2 (±8.15)50.1 (±7.15)53.8 (±8.55)
Table 4. Student schedule.
Table 4. Student schedule.
Timetable8:00–9:009:00–10:0010:00–11:0011:00–12:0012:00–13:0013:00–14:0014:00–15:0015:00–16:0016:00–17:00
ClassroomACDACDEFGABCDABDBDBD
CorridorDDD DDDD
Playground E
Canteen F
Art room H
Music room I
Gymnasium J
Note: Corresponding behaviour: A. Reading. B. Doing problems. C. Watching blackboard. Taking breaks. E. Exercising during class. F. Eating. G. Napping. H. Drawing. I. Reading music. J. Exercising.
Table 5. Experimental equipment and parameters.
Table 5. Experimental equipment and parameters.
Device Graphics and Accuracy Range
IlluminometerBuildings 15 02964 i001Room illuminationHA350S0–200 Lux ± 5% (X0.1)
200–2000 Lux ± 5% (X1)
2000–20,000 Lux ± 5% (X10)
20,000–200,000 Lux ± 5% (X100)
LED light sourceBuildings 15 02964 i002Controlled illuminationLED-3600–10,000 lx
0–100,000 k
HygrographBuildings 15 02964 i003Room temperature YET-640L
Wireless human factor physiology recorderBuildings 15 02964 i004Skin electrical signalEDA0–30 μS
EEG recordBuildings 15 02964 i005ElectroencephalogramErgoLAB EEG 32 channel16 bit; 1024 Hz
Table 6. Frequencies and states of brain waves.
Table 6. Frequencies and states of brain waves.
Frequency (Hz)EEG PatternNeural Functional Behaviour
0.5–4Delta (δ)Deep sleep
4–8Theta (θ)Relaxed state
8–12Alpha (α)Wakefulness
13–30Beta (β)Strain, awakening
>30Gamma (γ)High concentration
Table 7. Satisfaction and performance evaluation form.
Table 7. Satisfaction and performance evaluation form.
Comfort and Fatigue Evaluation Form
QiestionScale
LCVVery uncomfortable (−2)Uncomfortable (−1)Normal (0)Comfortable (1)Very uncomfortable (2)
LFVVery relaxed (−2)Relaxed (−1)Normal (0)Fatigued (1)Very fatigued (2)
Test1Concentration testAccuracy rate Reaction time
Test2Attention testAccuracy rate Reaction time
Test3Memory testAccuracy rate Reaction time
Table 8. Non-visual lighting metrics.
Table 8. Non-visual lighting metrics.
CCT (K)CRI (Ra)Estimated Ev (lx)SPD ReferenceCircadian Stimulus (CS)mEDI (lx)
300092430Manufacturer SPD–3000 K0.22180
400092460Manufacturer SPD–4000 K0.34250
500092470Manufacturer SPD–5000 K0.42320
600092480Manufacturer SPD–6000 K0.5390
700092490Manufacturer SPD–7000 K0.57440
Table 9. Results of the covariance analysis.
Table 9. Results of the covariance analysis.
Dependent Variable: SC Time Domain Mean
SourceType III Sum of SquaresdfMean SquareFp (Sig.)
Intercept 6.21517.01229.2250.001
Baseline810.2251758.263256.870.001
Illuminance382570.5682.0250.006
Error35.121650.114NullNull
Total1152.35184NullNullNull
Total after correction758.62174NullNullNull
Table 10. Univariate test.
Table 10. Univariate test.
Dependent Variable: SC Time-Domain Mean Values
Sum of SquaresDegrees of FreedomMean SquareFp (Sig.)
Contrast3.12850.4151.8420.006
Error41.2561780.162
Table 11. Cumulative average Δk values.
Table 11. Cumulative average Δk values.
Index3000 K4000 K5000 K6000 K7000 K
SexMFAllMFAllMFAllMFAllMFAll
AverageΔk0.0810.1010.0850.1040.1110.1120.0910.1050.0890.0850.0910.0880.0810.0860.084
Table 12. △RP entropy method weight results.
Table 12. △RP entropy method weight results.
Lobe△RPα△RPβ△RPγ△RPθ△RPδ
FpFpFpFpFp
Frontal15.1130.001 **101.2560.001 **25.6320.001 **79.5620.001 **62.3680.001 **
Parietal30.1620.001 **112.3650.001 **69.5650.001 **123.6580.001 **70.6520.001 **
Occipital6.9650.002 **25.3650.001 **21.3650.001 **66.3250.001 **136.9820.001 **
Temporal2.1120.2151.5250.016 *1.1230.0676.1450.003 **0.7450.421
(**: p < 0.01, *: p < 0.05).
Disclaimer/Publisher’s Note: The statements, opinions and data contained in all publications are solely those of the individual author(s) and contributor(s) and not of MDPI and/or the editor(s). MDPI and/or the editor(s) disclaim responsibility for any injury to people or property resulting from any ideas, methods, instructions or products referred to in the content.

Share and Cite

MDPI and ACS Style

Gao, B.; Fu, Y.; Gao, J.; Gao, W. Effects of Colour Temperature in Classroom Lighting on Primary School Students’ Cognitive Outcomes: A Multidimensional Approach for Architectural and Environmental Design. Buildings 2025, 15, 2964. https://doi.org/10.3390/buildings15162964

AMA Style

Gao B, Fu Y, Gao J, Gao W. Effects of Colour Temperature in Classroom Lighting on Primary School Students’ Cognitive Outcomes: A Multidimensional Approach for Architectural and Environmental Design. Buildings. 2025; 15(16):2964. https://doi.org/10.3390/buildings15162964

Chicago/Turabian Style

Gao, Bo, Yao Fu, Jian Gao, and Weijun Gao. 2025. "Effects of Colour Temperature in Classroom Lighting on Primary School Students’ Cognitive Outcomes: A Multidimensional Approach for Architectural and Environmental Design" Buildings 15, no. 16: 2964. https://doi.org/10.3390/buildings15162964

APA Style

Gao, B., Fu, Y., Gao, J., & Gao, W. (2025). Effects of Colour Temperature in Classroom Lighting on Primary School Students’ Cognitive Outcomes: A Multidimensional Approach for Architectural and Environmental Design. Buildings, 15(16), 2964. https://doi.org/10.3390/buildings15162964

Note that from the first issue of 2016, this journal uses article numbers instead of page numbers. See further details here.

Article Metrics

Back to TopTop