Abstract
The luminous environment, shaped by daylight and electric light, significantly influences visual performance, physiological responses, and perceptual experiences. While these light sources are often perceived as distinct due to their differing effects on occupants’ cognition and well-being, the underlying mechanisms remain unclear. Nine lighting conditions were evaluated, combining three spectral types—daylight (DL), conventional LED (CLED), and daylight LED (DLED)—with three horizontal illuminance levels (300 lx, 500 lx, and 1000 lx). Twelve healthy subjects completed visual performance tasks (2-back working memory test), physiological measurements (heart rate variability and critical flicker frequency), and subjective evaluations. The results revealed that 500 lx consistently yielded the most favorable outcomes: 2-back task response speed improved by 6.2% over 300 lx and 1000 lx, and the critical flicker frequency difference was smallest, indicating reduced fatigue. DLED lighting achieved cognitive and physiological levels comparable to daylight. Heart rate variability analyzes further confirmed higher alertness levels under 500 lx DLED lighting (LF/HF = 3.31). Subjective ratings corroborated these findings, with perceived alertness and comfort highest under DLED and 500 lx conditions. These results demonstrate that DLED, which offers a balanced spectral composition and improved uniformity, may serve as an effective lighting configuration for supporting both visual and non-visual performance in indoor settings lacking daylight.
1. Introduction
1.1. Electric Light Visually Replaces Daylight
Daylight has long been considered the gold standard in architectural lighting due to its full-spectrum composition, dynamic intensity variations, and alignment with human circadian rhythms [1,2,3,4]. Exposure to daylight improves visual comfort, cognitive performance, mood, and sleep quality [5,6,7]. Furthermore, daylight supports the regulation of melatonin secretion and the entrainment of the human biological clock [8]. However, despite its benefits, daylight presents several limitations: its availability is unpredictable, varying with weather conditions and time of day; architectural constraints may limit its penetration into indoor spaces; and glare or excessive brightness variations can sometimes reduce visual comfort [9,10,11].
To overcome these limitations, electric lighting has emerged as a fundamental solution, providing a stable, controllable, and adaptable luminous environment that compensates for the inconsistencies and spatial constraints of daylight. Modern LED-based lighting systems ensure sufficient and uniform illumination regardless of time and weather conditions that can enhance visual performance [12,13,14,15]. As a result, electric lighting has become indispensable in workplaces and educational institutions, where maintaining optimal lighting conditions is crucial for productivity and learning efficiency [16,17]. Electric lighting—particularly LED-based solutions—has been extensively studied as a viable alternative to daylight in terms of illuminance levels and task performance [18]. Sufficient horizontal illuminance can enhance cognitive function, reduce visual fatigue, and improve workplace efficiency, effectively replacing daylight in environments where daylight is unavailable [16]. However, while illuminance level alone may be a necessary factor for visual performance, it may not be sufficient for replicating the full benefits of daylight.
While previous research has demonstrated that electric lighting can achieve illuminance levels comparable to daylight, its capacity to replicate the broader physiological, cognitive, and perceptual benefits of daylight is less well understood. Beyond illuminance, spectral composition, angular distribution, and spatial uniformity are critical factors influencing the effectiveness of light. These parameters collectively determine whether electric lighting can serve as a fully effective substitute for daylight in diverse indoor environments.
1.2. Differences Between Daylighting and Electric Lighting
The most immediate and prominent influence of lighting on humans is its effect on the visual system. Both the visual and the non-visual pathways are important channels that allow light to affect people. This pathway is primarily mediated by intrinsically photosensitive retinal ganglion cells (ipRGCs), which, unlike traditional photoreceptors responsible for vision, project directly to brain regions regulating circadian rhythms, hormonal balance, and autonomic nervous system activity [19,20]. Light exposure affects circadian rhythms, hormonal regulation, and autonomic nervous system activity, thereby impacting alertness, mood, and cognitive performance. As a result, exposure to different lighting conditions can modulate alertness, mood, cognitive performance, and sleep quality [21,22].
The effects of light depend on its spectral power distribution (SPD), intensity, timing, duration, and direction (spatial distribution) [23,24,25]. These factors collectively influence both visual and non-visual responses, including circadian regulation, cognitive performance, and physiological adaptation. Despite advances in electric lighting technologies, significant differences remain between daylight and electric light sources in these key aspects [26].
Daylight provides a continuous and balanced spectral distribution, covering the full range of visible wavelengths while also containing infrared and ultraviolet components that contribute to natural entrainment of biological rhythms [27]. In contrast, electric light sources, particularly conventional LEDs, often exhibit spectral gaps or spikes, with many lacking the short-wavelength (blue-enriched) component necessary for effective circadian stimulation [28]. Daylight typically provides higher illuminance levels, often exceeding 10,000 lx in outdoor settings, while indoor electric lighting is generally limited to 300–1000 lx [21]. The difference in intensity affects both visual clarity and non-visual physiological responses. Although electric lighting can be designed to achieve similar intensity levels, achieving the same dynamic range and adaptation benefits as daylight remains a challenge [29]. The natural temporal variation of daylight, from morning to evening, supports circadian rhythm alignment, whereas electric lighting often provides a static or unnatural light exposure profile [19]. Prolonged exposure to electric light, especially blue-enriched light at night, has been associated with circadian disruption, sleep disturbances, and metabolic dysregulation [30,31]. Daylight typically enters indoor spaces from multiple angles, creating gradual luminance transitions and reducing harsh contrasts [32]. This natural distribution enhances visual comfort and depth perception while minimizing glare and localized brightness imbalance. Electric lighting, particularly overhead sources, often lacks this variability, leading to unnatural shadowing, glare, or uneven light distribution, which may negatively impact visual performance and perceptual experience.
Among these factors, spectral composition is the most fundamental and readily adjustable characteristic, other than intensity. Spectral tuning is critical for optimizing both visual and non-visual effects, as different wavelengths interact with photoreceptors, circadian regulation, and physiological responses in distinct ways. Spectral composition significantly affects human physiological and cognitive functions. In particular, short-wavelength (blue) light has been shown to play a dominant role in circadian entrainment, alertness regulation, and hormonal secretion [33,34]. Blue-enriched light stimulates intrinsically photosensitive retinal ganglion cells (ipRGCs), which project to the suprachiasmatic nucleus (SCN), the central circadian pacemaker. This activation leads to melatonin suppression, increased cortisol secretion, and enhanced alertness, ultimately improving cognitive function, attention, and reaction speed [35,36,37].
Given the impact of spectral composition, modern electric lighting technologies have focused on dynamic spectral tuning and human-centric lighting systems. Advanced daylight LED systems aim to replicate natural SPD by incorporating multi-chip LEDs, broad-spectrum phosphors, and adaptive control systems [38,39,40,41]. These developments enable lighting solutions to mimic the spectral dynamics of daylight, optimizing both visual and non-visual effects while supporting circadian alignment and cognitive performance.
However, although modern daylight LED technology has made significant advancements in mimicking the spectral characteristics of daylight, its ability to fully replicate the visual and non-visual effects of daylight remains uncertain. From a visual perspective, daylight provides high color fidelity, natural contrast rendering, and uniform illumination, contributing to optimal visual comfort, reduced glare, and enhanced depth perception [42]. While daylight LEDs are designed to mimic daylight’s color temperature and spectral balance, differences in angular distribution and temporal dynamics may result in perceptual discrepancies, affecting visual stability and user comfort in artificial environments.
Beyond visual effects, non-visual physiological and psychological responses to daylight are mediated by intrinsically photosensitive retinal ganglion cells (ipRGCs). Daylight-mimicking LEDs can deliver melanopically effective spectra and are engineered to promote psychological benefits, such as mood enhancement and stress reduction; however, their capacity to replicate the contextual richness, spatial variability, and dynamic temporal characteristics of natural daylight remains limited in many real-world environments [43,44,45]. Given these complexities [46], further research is required to evaluate whether daylight LEDs can serve as a complete substitute for daylight in both visual and non-visual domains.
1.3. The Purpose of This Study
In contemporary illuminating engineering, the evaluation of lighting environments involves not only traditional photometric parameters such as horizontal illuminance (lux), luminance (cd/m2), correlated color temperature (CCT), and spatial uniformity (U0), but also metrics capturing non-visual effects. The latter includes measures such as Equivalent Melanopic Lux (EML) and Circadian Stimulus (CS), which quantify circadian-effective lighting based on the spectral sensitivity of intrinsically photosensitive retinal ganglion cells (ipRGCs). These metrics are defined in international standards such as CIE S 026:2018 [47] and CIE TN 003:2015 [48]. For visual performance, lighting conditions are typically evaluated in accordance with guidelines from EN 12464-1 (Europe) [49], the IES Lighting Handbook (North America) [50], and WELL Building Standard v2 [51], which define recommended illuminance levels (e.g., ≥500 lx for offices), glare thresholds (UGR), and color rendering indices (CRI or TM-30). However, the adequacy of a luminous environment cannot be comprehensively assessed through physical or optical parameters alone. To capture the full spectrum of human responses, an increasing number of studies have incorporated physiological indicators—including heart rate variability (HRV), critical flicker frequency (CFF), electrodermal activity (EDA), and skin temperature—as objective proxies for neurophysiological arousal, visual fatigue, and autonomic regulation under different lighting conditions. By focusing on the relationship between indoor luminous environments and human responses, this study builds upon established evaluation frameworks and incorporates both photometric/radiometric (e.g., illuminance, spectral power distribution) and physiological indicators to assess visual and non-visual effects.
While electric lighting has made significant advances in supporting both visual and non-visual functions, and controlled studies have evaluated its effectiveness relative to daylight, most existing comparisons remain limited to isolated outcome measures or are conducted under heterogeneous conditions. Furthermore, daylight and electric lighting are typically assessed using distinct methodologies—such as dynamic daylight simulations versus static electric lighting calculations—which complicates direct and consistent comparisons. As a result, a systematic, multidimensional evaluation under unified spectral and photometric conditions remains insufficient. The present study aims to design a controlled comparative experiment using matched illuminance and spectral conditions, applying consistent experimental protocols and evaluation metrics. It seeks to investigate the differential impacts of daylight and electric lighting on visual performance, physiological responses, and subjective perception, and to assess the extent to which electric lighting can functionally substitute for daylight. The laboratory-based approach is intended to provide evidence-based reference points for future standards in electric lighting environments, particularly for spaces lacking access to daylight.
2. Methods
2.1. Experiment Conditions
The experiment was conducted in a laboratory situated within a university in Beijing, featuring a room measuring 5.4 m in length and 3.3 m in width. Six independent workstations are set up in the room to simulate an office environment, each equipped with a grey table and six black chairs. To minimize the impact of external views through the window during the lighting experiments, motorized upper and lower folio shading devices were used, which can simultaneously shade both above and below the window, and the experimental setup and location distribution are shown in Figure 1.
Figure 1.
Experimental setup.
As shown in Figure 1, the experiment was set up with a total of three light sources: daylight, conventional LED, and daylight LED. Therefore, three horizontal illuminance levels (1000 lx vs. 500 lx vs. 300 lx) by three light spectrums (conventional LED vs. daylight vs. daylight LED) were used in a mixed model design as nine working conditions. A total of eight LEDCubes (0.3 m × 0.3 m) with 11 channels were used as daylight LED, with adjustable illuminance and color temperature. To ensure the integrity of the daylight condition, window-mounted electric shading devices were used above and below the visual field of view to regulate the intensity of incident daylight on the work surface while minimizing glare. Furthermore, all three spectral conditions were maintained at a consistent correlated color temperature of approximately 5000 K throughout the experiment.
2.2. Experimental Scheme
Each subject came to the laboratory for nine consecutive days, each working condition lasted for one day, and two visual performance tests and physiological and subjective tests were performed in the morning and afternoon, as shown in Figure 2. Meanwhile, all parameters of the lighting environment were measured and recorded as the subjects performed the experiments. As the subjects were divided into two separate groups, the experimental sessions were carried out over a span of 18 days in total.
Figure 2.
Test process.
The experiment began at 8:45 am with a round of physiological tests and completion of the questionnaire. The visual performance task began at 9:00. The task used a 2-back task to assess working memory capacity, followed by physiological tests and completion of the questionnaire. The second round of the morning session took place at 10:00, repeating the previous round, and the session officially ended at around 11:00. In the afternoon, two rounds of the same tests as in the morning began at 13:00, completing the experiment in one working condition. In each condition, the subjects completed four assessments of visual performance, five measurements of physiological parameters and questionnaire. In addition, one subject in each group had an electrocardiogram (ECG) recording for the entire duration of the study. Each subject was required to participate for nine days, for a total of nine trials.
2.2.1. Visual Performance Indicators
Visual performance was assessed using a computerized 2-back task administered on a standard display screen. The task employed a random generation process to create a set of 120 characters, which were then used to create approximately 20 test items. A three-second preparation period preceded the commencement of the actual task, during which the word “Ready” appeared at the center of the screen. At the commencement of the task, letters from the alphabet were displayed at the center of the screen at two-second intervals. When a matching item appeared, participants promptly pressed the space bar to indicate their response. In this task, participants were required to press the space bar if the current letter matched the one presented two positions earlier in the sequence. After all test characters had been presented, the performance data were automatically displayed on the screen. At the end, accuracy and response duration were recorded as the primary indicators for evaluating working memory capacity. Figure 3 presents the structure of the experimental tasks.
Figure 3.
Experimental tasks.
2.2.2. Physiological Indicators
- Critical flicker frequency (CFF)
With the popularity of LED lamps, staff requirements for lighting systems are no longer limited to visual performance; they are also beginning to focus on non-visual perceptions, such as visual fatigue. Critical flicker frequency (CFF) was used to characterize visual fatigue in this experiment. CFF is defined as the lowest frequency at which a flash produces the most stable visual effect for the observer. CFF is a periodic intermittent light consisting of bright and dark phases; when the frequency is low, the observer sees a series of flashes, and as the frequency increases, it becomes a coarse flash, a fine flash, and then as the flash increases to a certain frequency, the human eye no longer sees flashes, but a continuous fixed light, and the frequency of the position is the flash fusion frequency. Decreases in CFF are generally affected by retinal degeneration or optic nerve activity, so it can be used as a measure of visual fatigue.
CFF was measured using a fusion flicker apparatus operated via a rotary knob for frequency adjustment. The measured values typically fell within the range of 25–45 Hz. Participants first adjusted the flicker frequency upward, starting from 20 Hz, until the flickering light appeared continuous; this was recorded as Threshold 1 (ascending fusion point). Next, the frequency was decreased from 45 Hz downward until the participant could perceive flicker again; this was recorded as Threshold 2 (descending flicker point). The final CFF value was calculated as the average of the two thresholds.
- 2.
- Electrocardiogram (ECG)
Electrocardiograms (ECG) were recorded by the Somté PSG via electrode pads. ECG is analyzed using heart rate variability (HRV). HRV refers to the fluctuations in time intervals between consecutive heartbeats, which reflects the activity of the autonomic nervous system, typically calculated as R-R intervals from electrocardiogram. The autonomic nervous system consists of sympathetic and parasympathetic nerves, which are antagonistic to each other and jointly regulate cardiac activity, and the magnitude of HRV is essentially a reflection of the regulation of the sinus node by neurohumoral factors, that is, a reflection of the relationship between sympathetic and parasympathetic activity in the autonomic nervous system and their balance and co-ordination.
2.2.3. Psychological Indicators
Subjective questionnaires were administered to evaluate subjects’ psychological indicators. A 5-point Likert scale was used to rate responses. The questionnaire assessed participants’ experiences of the luminous environment, psychological state, and perceived alertness. The psychological state section included subjective ratings of work efficiency, attentional focus, and pleasantness, providing a comprehensive overview of participants’ internal responses under each lighting condition. The luminous environment experience section aimed to determine the perceived visual impact of lighting, covering aspects such as illuminance, uniformity, spatial brightness, and correlated color temperature (CCT). The alertness perception section incorporated the Karolinska Sleepiness Scale (KSS)—a 9-point subjective scale designed to measure momentary sleepiness and alertness levels—which served as an indirect indicator of cognitive readiness and task engagement.
2.3. Participants
A total of 12 healthy subjects (6 females, 6 males, mean age 23.1 years, standard deviation 1.9 years) participated in the experiment. The subjects were randomly assigned to two groups of 6 individuals each. All subjects were screened for any visual impairment other than myopia or hyperopia, which were corrected by wearing spectacles. Additionally, none of the subjects exhibited any signs of color blindness. To prevent the potential confounding effects of sleep disturbances on the experimental outcomes, the subjects were excluded if they reported poor sleep quality or if their Pittsburgh Sleep Quality Index (PSQI) scores exceeded 5.20. This study was approved by the Science and Technology Ethics Committee of Beijing University of Technology (BJUT-JGXY-07). All subjects signed a written informed consent form and adhered strictly to the full experimental protocol.
2.4. Data Analysis
Statistical evaluations in this study were conducted using SPSS 25.0. To determine the distribution characteristics of continuous variables, the Shapiro–Wilk test was initially applied. For datasets exhibiting normal distribution, repeated measures ANOVA was utilized to analyze variations. In contrast, datasets that did not conform to normality were examined using the Kruskal–Wallis H test, a non-parametric approach was designed to evaluate whether significant differences exist among the medians of three or more independent groups. A threshold of p < 0.05 was adopted to determine statistical significance.
3. Results
3.1. Visual Performance
The results of the 2-back task from subjects in different positions in daylight (DL) were analyzed for statistical significance using the Kruskal–Wallis H test. The findings indicate that reaction speed varied significantly (p < 0.05) across the three tested illuminance levels, while accuracy remained statistically unaffected. Figure 4 presents the experimental outcomes under the DL condition for the three illumination settings. Each subfigure includes both box plots and corresponding data distribution curves. The presence of black dots marks individual data points, offering a clear visualization of both data spread and underlying distribution patterns.
Figure 4.
The overall performance of 2-back task under DL conditions: (a) response speed; (b) accuracy.
As illustrated in Figure 4, participants exhibited the highest response speed under the 500 lx illuminance condition. Notably, working memory function was most enhanced in the DL setting at 500 lx. Furthermore, subjects demonstrated superior cognitive performance at 1000 lx compared to 300 lx, indicating that higher illuminance levels may positively influence working memory to a certain extent.
Under identical illuminance conditions (1000 lx), participants completed 2-back tasks under three different spectral settings: daylight (DL), conventional LED (CLED), and daylight LED (DLED). Performance data from all 12 subjects were aggregated for comparative analysis. The Kruskal–Wallis H tests revealed significant differences (p < 0.05) in both response duration and accuracy across the three spectral lighting conditions, suggesting that spectral composition notably influences cognitive task outcomes even when brightness levels remain constant. The results of the 12 subjects under the 1000 lx lighting condition are presented in Figure 5.
Figure 5.
The overall performance in 2-back task under 1000 lx: (a) response speed; (b) accuracy.
As illustrated in Figure 5, both the DL and DLED spectral conditions resulted in significantly better performance on the 2-back tasks compared to the CLED spectrum. The extended response times and reduced accuracy observed under the CLED lighting may be attributed to its spectral profile. As shown in Figure 1, the spectral distribution and color rendering properties of CLED appear to be less optimal than those of DL, which could negatively impact visual perception and cognitive task execution.
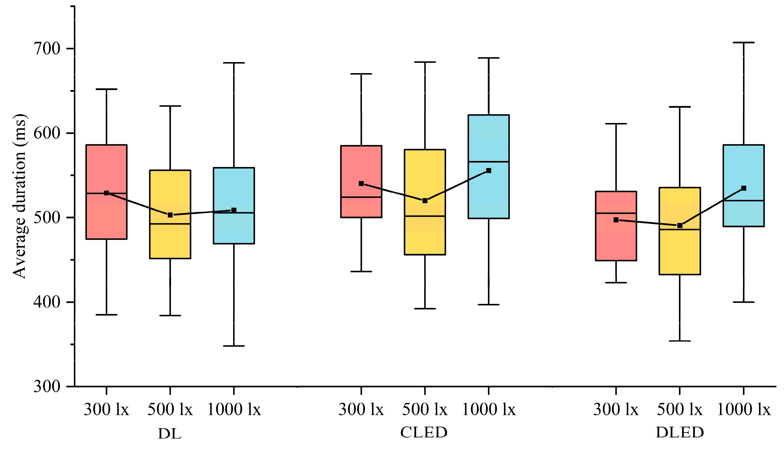
Moreover, significance testing revealed that the p values for both reaction speed and accuracy exceeded 0.05 under the 500 lx condition, indicating no statistically significant differences among the three spectral types at this illuminance level. This suggests that working memory performance remained relatively consistent regardless of spectral composition at 500 lx. The average speed results for the 9 groups of working conditions are shown in Figure 6.
Figure 6.
Average response speed in the 2-back task under varying illuminance levels and spectral conditions.
As depicted in Figure 6, the 2-back task revealed significant performance differences across illuminance levels. At 500 lx, the average response speed under all three spectral conditions surpassed those at other levels, indicating enhanced working memory performance at this illuminance. The line graph provides a clearer visualization, demonstrating that cognitive efficiency peaked at 500 lx, with faster reaction times reflecting better memory function. When comparing spectral types, DLED consistently showed superior overall performance. Notably, at 300 lx, the DLED environment outperformed both DL and CLED, likely due to its higher illuminance uniformity, which may have contributed to improved visual and cognitive support.
3.2. Physiological Responses
3.2.1. CFF Results
A total of three horizontal illumination levels (300, 500, and 1000 lx) were used to perform the CFF task (characterizing the state of physiological fatigue) in DL environment. The subjects were studied and analyzed separately at different positions.
Figure 7 shows that the initial values of the CFF were different for the three lighting conditions, so the CFF difference is used as the analysis indicator in this study; the greater the CFF difference, the more likely the current luminous environment is to induce fatigue. The overall conditions of the 12 subjects under the lighting conditions are shown in Figure 8.
Figure 7.
CFF task performance under DL conditions at various positions: (a) P1; (b) P2; (c) P3; (d) P4.
Figure 8.
CFF task performance under DL conditions: (a) Radargram; (b) Bar chart.
The results of the Kruskal–Wallis H test show that there was a significant difference (p < 0.05) in the CFF difference indicator among subjects with different illuminance levels in DL environment, and the mean difference is obvious. As can be seen in Figure 8, the lowest value of the change in the CFF difference value at 500 lx characterizes the least volatility of the CFF value and the least change in the level of fatigue. In contrast, the highest mean difference in CFF was observed at 1000 lx, with the greatest variation in the degree of fatigue. After a certain level of illuminance, its enhancement increased the degree of fluctuation of fatigue values. This conclusion is basically consistent with the visual performance, and the personnel are in a better working condition overall at a horizontal illuminance of 500 lx.
The CFF task was also performed under a uniform illuminance level of 1000 lx across all three spectral conditions (DL, CLED, and DLED). The overall condition of the 12 subjects under 1000 lx condition is shown in Figure 9.
Figure 9.
CFF task performance under 1000 lx: (a) Radargram; (b) Bar chart.
As can be seen from the figure above, the highest CFF difference is found in the CLED at 1000 lx, suggesting that fatigue is more likely to be induced in this spectrum. Differential analysis of the overall task performance of the 12 subjects showed that there was a significant difference (p < 0.05) in the CFF difference between the three spectrums at 300 and 1000 lx conditions, and that the CFF difference was highest at CLED spectrums, indicating that both DL and DLED conditions led to significantly better performance compared to CLED. Therefore, when the choice of light source is flexible, it is advisable to adopt a DL or DLED lighting environment during periods requiring optimal task performance.
3.2.2. HRV Results
HRV was analyzed using a frequency domain analysis of practical evaluation metrics, including the normalized value of the low-frequency power (LF power(nu)), the normalized value of the high-frequency power (HF power(nu)) and the ratio of LF to HF (LF/HF). HF power reflects parasympathetic activity, while LF power reflects the combined action of sympathetic and parasympathetic nerves, with the former predominating. The LF/HF reflects the sympathetic–parasympathetic balance. For cardiac activity, sympathetic nerves have an excitatory effect, while parasympathetic nerves have an inhibitory effect. In each of the two groups of subjects, one subject’s HRV was measured, and the results are shown below. The comparison results for the three illuminance levels are shown in Figure 10.
Figure 10.
HRV performance at different spectrums: (a) DL; (b) CLED; (c) DLED.
As shown in Figure 10, the 500 lx environment personnel had the lowest LF power, the highest HF power, and the highest LF/HF ratio at each spectrum, indicating that the sympathetic nerve-parasympathetic nerve balance shifted to the sympathetic nerve dominance more quickly, and subjects were more refreshed. The comparison results for the three spectrums are shown in Figure 11.
Figure 11.
HRV performance at different illuminance: (a) 300 lx; (b) 500 lx; (c) 1000 lx.
When the light source was DL or DLED, the LF power and the LF/HF ratio increased, while the HF energy decreased. This suggested that exposure to such a luminous environment accelerated the shift of the sympathetic–parasympathetic balance towards sympathetic dominance, resulting in the subjects being in a more alert state. In contrast, CELD exhibited the opposite results, indicating that the subjects had the lowest level of mental alertness. The HRV results were consistent with the results of the visual performance task.
3.3. Questionnaire Evaluation
The subjects’ alertness was assessed using the KSS scale, which is a 7-point rating system, with a score of 1 indicating extreme drowsiness and a score of 7 indicating high alertness. Figure 12 presents the KSS evaluation results for subjects under different lighting conditions.
Figure 12.
Questionnaire evaluation of KSS.
As shown in the figure above, the average values of all indicators for the subjects under the three different illuminance conditions were above 3.5, indicating that the overall situation was favorable. A comparative analysis of different conditions revealed that the scores under the DL and DLED conditions were higher than those under the CLED condition across all illuminance levels. Specifically, within the DL condition, a significant difference (p < 0.05) was observed between the 500 lx (highest score) and 300 lx (lowest score) conditions. This suggests that the 300 lx condition, characterized by dim and uneven lighting, may have contributed to the lower score. Additionally, under all spectrums, the KSS score was higher at 500 lx, which is consistent with the results of the visual performance task and physiological task experiments.
The work efficiency and attention evaluations were conducted using a 5-point Likert scale, where higher scores indicate better performance on each indicator. For example, in the work efficiency evaluation, a score of 1 represents very low work efficiency, while a score of 5 represents very high work efficiency. Figure 13 presents the evaluation results for work efficiency and reaction attention of subjects under different luminous environment conditions.
Figure 13.
Subjective evaluation: (a) work efficiency; (b) attention score.
As shown in Figure 13a, the average work efficiency scores for the subjects under the three different illuminance conditions were generally above 3, indicating favorable overall results. A comparative analysis of different conditions revealed that the scores under the DL and DLED conditions were higher than those under the CLED condition across all illuminance levels. Specifically, within the DL condition, a significant difference (p < 0.05) was observed between the 500 lx (highest score) and 300 lx (lowest score) conditions, which is consistent with the KSS score results. A comparative analysis of different conditions in Figure 13b revealed that the reaction attention scores under the DL and DLED conditions at 1000 lx and 500 lx were higher than those under the CLED condition. In the 300 lx environment, the subjects generally had lower attention scores, which showed a significant difference (p < 0.05) compared to the other illuminance levels.
Additionally, the DLED condition received good scores, and the whole scores were higher at 500 lx under all spectrums, aligning with the results from the visual performance task and physiological task experiments.
The pleasantness evaluation was conducted using a 5-point Likert scale, where a score of 1 represents “extremely unpleasant” and a score of 5 represents “extremely pleasant.”. Figure 14 presents the evaluation results for pleasantness from subjects under different luminous environment conditions.
Figure 14.
Subjective evaluation of pleasantness under different conditions.
A comparative analysis of the different conditions shown in the figure reveals that the scores under the DL and DLED conditions at 1000 lx and 500 lx were higher than those under the CLED condition. In the 300 lx environment, the subjects generally had lower pleasantness scores, showing a significant difference (p < 0.05) compared to the other illuminance levels. Additionally, the DLED condition received the highest overall scores among the three spectrums. The spectral results are consistent with the findings from the visual performance task and physiological task experiments.
3.4. Relations Among Different Tasks
In the previous sections, the effects of daylighting and electric lighting on the human body were independently analyzed from three aspects: visual performance, physiological tasks, and subjective testing. To further understand the interrelationships between these factors, this section presents a correlation analysis to reveal the deeper mechanisms of influence. Data coding was performed using SPSS 25, and Spearman’s rank correlation coefficient was used to analyze the relationships between visual performance, physiological fatigue, and subjective evaluation indicators. The results are shown in Table 1.
Table 1.
Correlation coefficients of the tasks.
The Spearman correlation analysis revealed a significant correlation between subjective ratings and both visual performance task ability and physiological outcomes (p < 0.05). Specifically, the 2-back task, which represents working memory capacity, showed a significant correlation with the current alertness level (−0.365 **), current room lighting perception (−0.386 **), and work efficiency (−0.388 **). Additionally, the results indicated that discomfort from glare (−0.303 **) and uniformity (−0.407 **) in the 2-back task were key factors to which the subjects were sensitive. In other words, the less glare perceived and the more uniform the illuminance, the higher the alertness (as indicated by the level of wakefulness), work efficiency, and reaction speed, leading to stronger working memory capacity.
The physiological results indicated that the difference in CFF had a stronger correlation with subjective ratings. The CFF difference was distinctly correlated with lighting perception (−0.614 **) and eye fatigue (−0.455 **), among other indicators. Therefore, when it is difficult to directly test CFF in a luminous environment, subjective ratings can be used as an auxiliary analysis tool.
4. Discussion
4.1. The Consistency Between Visual Effects and Non-Visual Effects
The alignment among visual performance, physiological indicators (e.g., HRV, CFF), and subjective evaluations underscores a robust interrelationship between visual and non-visual effects. This convergence supports prior findings that lighting not only facilitates visual task performance, but also modulates neurophysiological states and subjective well-being. The superior outcomes under DLED and DL conditions reinforce the importance of spectral composition, particularly melanopic content, in achieving both visual efficiency and biological support, as discussed by Lucas et al. [8] and Souman et al. [28] Moreover, the optimal performance observed at 500 lx aligns with the recommended illuminance thresholds for office and cognitive tasks as stipulated by standards such as EN 12464-1 and the WELL Building Standard v2.
The impact of light on humans can be categorized into three aspects: visual, physiological, and psychological. This experiment covers all three aspects, validating the synergy between the objective and subjective effects of light on individuals. Cajochen et al. [52] also investigated the effects of light from these three aspects, includes visual comfort, melatonin secretion, mood, waking performance, and sleep. Their findings indicated that while melatonin levels did not differ significantly, consistent patterns emerged in visual comfort, daytime alertness, mood, and sleep quality. The consistency suggests that perceptual and biological mechanisms are not independent, but rather, operate as complementary pathways influencing decision-making and task performance.
Collectively, these findings emphasize that effective lighting design should account for both visual task requirements and non-visual, advocating for integrative approaches in future lighting standardization and application.
4.2. The Influence of Other Factors on HRV
In this study, HRV exhibited patterns that were largely consistent with other task performance indicators, suggesting a plausible link between autonomic regulation and lighting-related cognitive responses. However, due to the complexity of the measurement process and the limited availability of synchronized physiological monitoring equipment, HRV data were collected from only two participants. Although HRV is widely recognized as an objective physiological marker of autonomic nervous system activity [53], it remains susceptible to a range of confounding factors—including cognitive workload, emotional state, and prior exposure to light stimuli [54].
The observed alignment between HRV trends and task performance reinforces the hypothesis that autonomic nervous system responses are modulated not only by lighting parameters but also by task-related visual and cognitive demands [55]. Nevertheless, the small HRV sample size introduces inter-individual variability, limiting the statistical power and generalizability of our conclusions. Future studies are encouraged to include larger HRV samples under controlled conditions to substantiate and extend the current findings.
4.3. Limitations and Prospects
Although this study investigated immediate physiological and psychological responses to lighting conditions, it did not examine potential long-term detrimental effects of LED and DLED exposure outside daylight hours, such as disruption of circadian rhythms and sleep quality. Additionally, the sample size (n = 12), constrained by room capacity, limits the generalizability of the findings. As participants were exclusively healthy young adults, future research should include broader demographics to assess differential sensitivity to lighting exposure.
5. Conclusions
Regarding the unclear question of whether electric lighting can replace daylighting in terms of visual performance, physiological effects, and subjective evaluations, this study experimentally investigated the impact of three different spectrums—DL, CLED, and DLED—as well as three different illuminance levels on subject performance. The main conclusions are as follows:
- DLED can achieve the same effect as DL in this experiment. Under DLED lighting, subjects showed better visual performance, physiological measurement results, and higher subjective evaluation scores, indicating that subjects were in a better overall working state. In contrast, subjects performed the worst under CLED lighting. The analysis of the reasons shows that DLED has good lighting uniformity and the full spectrum.
- The lighting effect does not improve with an increase in horizontal illuminance on the work surface. A horizontal illuminance level of 500 lx showed the best performance across visual performance, physiological effects, and subjective evaluation. If artificial indoor luminous environments are created, 500 lx of horizontal illuminance is the optimal choice.
- There is a significant correlation between visual performance, physiological effects, and subjective evaluations, with a certain degree of synergy observed between visual and non-visual effects in the experimental results. In particular, the correlation between CFF difference and lighting preference reached –0.614 **. When testing visual performance and physiological indicators is not feasible, subjective evaluations can provide an effective analysis of the lighting environment.
The results indicate that significant differences exist between daylighting and electric lighting in terms of visual performance, physiological effects, and subjective evaluations, with DLED being able to replace DL in these aspects. The findings of this study provide a data foundation for guiding lighting design and improving work performance. Future research could further explore the impact of different lighting conditions on long-term circadian rhythms, aiming to create healthier indoor lighting environments.
Author Contributions
Conceptualization, Y.D., G.W. and P.X.; data curation, Y.D. and Q.L.; formal analysis, G.W., J.S. and Q.L.; funding acquisition, G.W., Z.C. and P.X.; investigation, G.W.; methodology, Y.D. and Q.L.; project administration, G.W., Z.C. and P.X.; software, Y.D. and J.S.; supervision, G.W. and Z.C.; validation, Y.D.; writing—original draft, J.S. and Q.L.; writing—review and editing, Y.D., J.S. and P.X. All authors have read and agreed to the published version of the manuscript.
Funding
This research was funded by Chongqing Natural Science Foundation (CSTB2022NSCQ-MSX0937), Science and Technology Projects of Xizang Autonomous Region, China (CSTB2022NSCQ-MSX1139), National Natural Science Foundation of China (72301019), and it is also a part research activities of International Commission on Illumination (CIE) Technical Committee 3-59 (The integration of daylight and electric lighting).
Data Availability Statement
The data presented in this study are available from the corresponding author upon reasonable request. The data are not publicly available due to ethical restrictions concerning participant confidentiality and because they are not hosted in a publicly accessible repository.
Conflicts of Interest
Author Guiyi Wu was employed by the company Real Estate Development Co., Ltd., China Railway 22nd Bureau Group. The remaining authors declare that the research was conducted in the absence of any commercial or financial relationships that could be construed as a potential conflict of interest.
References
- de Kort, Y.A.W. Tutorial: Theoretical Considerations When Planning Research on Human Factors in Lighting. LEUKOS 2019, 15, 85–96. [Google Scholar] [CrossRef]
- Rastegari, E.; Adamsson, M.; Aries, M. Daylight potential of Swedish residential environments: Visual and beyond-vision effects and the relationship with well-being assessment. Light. Res. Technol. 2024, 57, 14771535241268606. [Google Scholar] [CrossRef]
- Besenecker, U.C.; Krueger, T. Luminous Color in Architecture: Exploring Methodologies for Design-Relevant Research. Enq. ARCC J. Archit. Res. 2015, 12, 35–46. [Google Scholar] [CrossRef]
- Zielinska-Dabkowska, K.M.; Hartmann, J.; Sigillo, C. LED light sources and their complex set-up for visually and biologically effective illumination for ornamental indoor plants. Sustainability 2019, 11, 2642. [Google Scholar] [CrossRef]
- Smolders, K.; De Kort, Y.A.W.; Cluitmans, P.J.M. A higher illuminance induces alertness even during office hours: Findings on subjective measures, task performance and heart rate measures. Physiol. Behav. 2012, 107, 7–16. [Google Scholar] [CrossRef]
- Shishegar, N.; Boubekri, M. Natural Light and Productivity: Analyzing the Impacts of Daylighting on Students’ and Workers’ Health and Alertness. In Proceedings of the International Conference on “Health, Biological and Life Science”(HBLS-16), Istanbul, Turkey, 14–15 April 2016; pp. 18–19. [Google Scholar]
- Jamrozik, A.; Clements, N.; Hasan, S.S.; Zhao, J.; Zhang, R.; Campanella, C.; Loftness, V.; Porter, P.; Ly, S.; Wang, S. Access to daylight and view in an office improves cognitive performance and satisfaction and reduces eyestrain: A controlled crossover study. Build. Environ. 2019, 165, 106379. [Google Scholar] [CrossRef]
- Lucas, R.J.; Peirson, S.N.; Berson, D.M.; Brown, T.M.; Cooper, H.M.; Czeisler, C.A.; Figueiro, M.G.; Gamlin, P.D.; Lockley, S.W.; O’Hagan, J.B. Measuring and using light in the melanopsin age. Trends Neurosci. 2014, 37, 1–9. [Google Scholar] [CrossRef]
- Knoop, M.; Stefani, O.; Bueno, B.; Matusiak, B.; Hobday, R.; Wirz-Justice, A.; Martiny, K.; Kantermann, T.; Aarts, M.; Zemmouri, N.; et al. Daylight: What makes the difference? Light. Res. Technol. 2020, 52, 423–442. [Google Scholar] [CrossRef]
- Rockcastle, S.; Andersen, M. Measuring the dynamics of contrast & daylight variability in architecture: A proof-of-concept methodology. Build. Environ. 2014, 81, 320–333. [Google Scholar]
- Tabadkani, A.; Roetzel, A.; Li, H.X.; Tsangrassoulis, A. Daylight in buildings and visual comfort evaluation: The advantages and limitations. J. Daylight. 2021, 8, 181–203. [Google Scholar] [CrossRef]
- Shi, J.; Liang, Q.; Jin, L.; Luo, T.; Yang, B.; Pan, Q.; Zhang, S.; Xue, P. Different human physical responses of visual performance within daylighting and artificial lighting. J. Build. Eng. 2025, 101, 111886. [Google Scholar] [CrossRef]
- Linhart, F.; Scartezzini, J.-L. Evening office lighting–visual comfort vs. energy efficiency vs. performance? Build. Environ. 2011, 46, 981–989. [Google Scholar] [CrossRef]
- Dai, C.; Li, N.; Shah, A.H.; Lin, Y. Human Perception and Preferences of Evening Office Lighting in Terms of the LED Spectrum. In Proceedings of the 2021 18th China International Forum on Solid State Lighting & 2021 7th International Forum on Wide Bandgap Semiconductors (SSLChina: IFWS), Shenzhen, China, 26–28 October 2021; pp. 194–197. [Google Scholar]
- Jiang, Z.; Zhu, Y.; Wang, Y.; Wei, Y. Research on Indoor Health Lighting Design Based on Silicon Substrate Golden Light LED Technology. Buildings 2025, 15, 932. [Google Scholar] [CrossRef]
- Figueiro, M.G.; Steverson, B.; Heerwagen, J.; Kampschroer, K.; Hunter, C.M.; Gonzales, K.; Plitnick, B.; Rea, M.S. The impact of daytime light exposures on sleep and mood in office workers. Sleep Health 2017, 3, 204–215. [Google Scholar] [CrossRef]
- Liang, Q.; Jin, L.; Luo, T.; Shi, J.; Xue, P.; Liu, J.; Wang, B.; Jin, X. Status of Typical Artificial Lighting Environments in Different Public Buildings in China, and Requirements for Their Improvement. Buildings 2023, 13, 2283. [Google Scholar] [CrossRef]
- Konstantzos, I.; Sadeghi, S.A.; Kim, M.; Xiong, J.; Tzempelikos, A. The effect of lighting environment on task performance in buildings—A review. Energy Build. 2020, 226, 110394. [Google Scholar] [CrossRef]
- Rizvi, S.I.; Majumdar, G. Introduction to Circadian Rhythms. In Circadian Clock and Aging; Springer Nature: Singapore, 2024; pp. 1–29. ISBN 978-981-9766-94-9. [Google Scholar]
- Brainard, G.C.; Hanifin, J.P.; Greeson, J.M.; Byrne, B.; Glickman, G.; Gerner, E.; Rollag, M.D. Action Spectrum for Melatonin Regulation in Humans: Evidence for a Novel Circadian Photoreceptor. J. Neurosci. 2001, 21, 6405–6412. [Google Scholar] [CrossRef]
- Cajochen, C.; Zeitzer, J.M.; Czeisler, C.A.; Dijk, D.-J. Dose-response relationship for light intensity and ocular and electroencephalographic correlates of human alertness. Behav. Brain Res. 2000, 115, 75–83. [Google Scholar] [CrossRef]
- Smolders, K.C.H.J.; de Kort, Y.A.W. Bright light and mental fatigue: Effects on alertness, vitality, performance and physiological arousal. J. Environ. Psychol. 2014, 39, 77–91. [Google Scholar] [CrossRef]
- Noor, M.C.; Saradj, F.M.; Yazdanfar, S.-A. Analytical evolution of measurement methods for light’s non-visual effects. Results Eng. 2023, 17, 100922. [Google Scholar] [CrossRef]
- Lockley, S.W.; Brainard, G.C.; Czeisler, C.A. High Sensitivity of the Human Circadian Melatonin Rhythm to Resetting by Short Wavelength Light. J. Clin. Endocrinol. Metab. 2003, 88, 4502–4505. [Google Scholar] [CrossRef] [PubMed]
- Khademagha, P.; Aries, M.B.C.; Rosemann, A.L.P.; van Loenen, E.J. Implementing non-image-forming effects of light in the built environment: A review on what we need. Build. Environ. 2016, 108, 263–272. [Google Scholar] [CrossRef]
- Jin, L.; Xue, P.; Zhang, L.; Wang, J.; Shi, J.; Liang, Q.; Cao, X.; Xu, N.; Liao, J. Visual and non-visual effects of integrated lighting based on spectral information. Build. Environ. 2023, 242, 110617. [Google Scholar] [CrossRef]
- Milner, T.E.; Anvari, B.; Smolensky, M.H. Editorial: ChronoBiophotonics. Front. Photonics 2024, 5, 1529091. [Google Scholar] [CrossRef]
- Souman, J.L.; Borra, T.; De Goijer, I.; Schlangen, L.J.M.; Vlaskamp, B.N.S.; Lucassen, M.P. Spectral Tuning of White Light Allows for Strong Reduction in Melatonin Suppression without Changing Illumination Level or Color Temperature. J. Biol. Rhythm. 2018, 33, 420–431. [Google Scholar] [CrossRef]
- Castilla, N.; Blanca-Giménez, V.; Pérez-Carramiñana, C.; Llinares, C. Differences between Daylighting and Electric Lighting in Affective Response. Buildings 2024, 14, 770. [Google Scholar] [CrossRef]
- Wahl, S.; Engelhardt, M.; Schaupp, P.; Lappe, C.; Ivanov, I.V. The inner clock—Blue light sets the human rhythm. J. Biophotonics 2019, 12, e201900102. [Google Scholar] [CrossRef]
- Aguado-Delgado, J.; de-Pablos-Heredero, C.; Otón, S. Evaluation and Improvement of Lighting Efficiency in Working Spaces. Sustain. Light. Light. Sustain. 2021, 12, 1110. [Google Scholar]
- Vetter, C.; Pattison, P.M.; Houser, K.; Herf, M.; Phillips, A.J.K.; Wright, K.P.; Skene, D.J.; Brainard, G.C.; Boivin, D.B.; Glickman, G. A Review of Human Physiological Responses to Light: Implications for the Development of Integrative Lighting Solutions. LEUKOS 2022, 18, 387–414. [Google Scholar] [CrossRef]
- Münch, M.; Kobialka, S.; Steiner, R.; Oelhafen, P.; Wirz-Justice, A.; Cajochen, C. Wavelength-dependent effects of evening light exposure on sleep architecture and sleep EEG power density in men. Am. J. Physiol.-Regul. Integr. Comp. Physiol. 2006, 290, R1421–R1428. [Google Scholar] [CrossRef]
- Potočnik, J.; Košir, M. The necessity for multi-spectral simulations of the indoor non-visual luminous environment: A simplified annual approach. Buildings 2023, 13, 1357. [Google Scholar] [CrossRef]
- Chellappa, S.L.; Steiner, R.; Blattner, P.; Oelhafen, P.; Götz, T.; Cajochen, C. Non-visual effects of light on melatonin, alertness and cognitive performance: Can blue-enriched light keep us alert? PLoS ONE 2011, 6, e16429. [Google Scholar] [CrossRef] [PubMed]
- Gagné, V.; Turgeon, R.; Jomphe, V.; Demers, C.M.; Hébert, M. Evaluation of the effects of blue-enriched white light on cognitive performance, arousal, and overall appreciation of lighting. Front. Public Health 2024, 12, 1390614. [Google Scholar] [CrossRef] [PubMed]
- Motamedzadeh, M.; Golmohammadi, R.; Kazemi, R.; Heidarimoghadam, R. The effect of blue-enriched white light on cognitive performances and sleepiness of night-shift workers: A field study. Physiol. Behav. 2017, 177, 208–214. [Google Scholar] [CrossRef]
- Veitch, J.A.; Stokkermans, M.G.M.; Newsham, G.R. Linking Lighting Appraisals to Work Behaviors. Environ. Behav. 2013, 45, 198–214. [Google Scholar] [CrossRef]
- Goudjil, A.; Pigeon, E.; Pouliquen, M.; Girard, S.; Menard, T.; Gehan, O.; Dufay, B.; Maugars, P.; Paris, J.-M. Optimized closed-loop algorithm for color control of multichannel LED lighting systems using multispectral sensor. Opt. Eng. 2020, 59, 053104. [Google Scholar] [CrossRef]
- Van Bommel, W. Human-Centric Lighting. In Encyclopedia of Color Science and Technology; Shamey, R., Ed.; Springer International Publishing: Cham, Switzerland, 2023; pp. 907–910. ISBN 978-3-030-89861-8. [Google Scholar]
- Hertog, W. The Design and Implementation of a Spectrally Tuneable LED-Based Light Sourde: Towards a New Era of Intelligent Illumination; Universitat Politècnica de Catalunya: Barcelona, Spain, 2017. [Google Scholar]
- Cauwerts, C. Influence of Presentation Modes on Visual Perceptions of Daylit Spaces; Université catholique de Louvain (UCL): Louvain-la-Neuve, Belgium, 2013. [Google Scholar]
- Alhammadi, H.; Amer, S.T. Work Productivity and Human Wellbeing in Offices Using Natural Light Vs Artificial Light. In Proceedings of the 5th European International Conference on Industrial Engineering and Operations Management, Rome, Italy, 26–28 July 2022. [Google Scholar]
- Mahmoud, N.S.A.; El Samanoudy, G.; Jung, C. Simulating the natural lighting for a physical and mental Well-being in residential building in Dubai, UAE. Ain Shams Eng. J. 2023, 14, 101810. [Google Scholar] [CrossRef]
- Morales-Bravo, J.; Navarrete-Hernandez, P. Enlightening wellbeing in the home: The impact of natural light design on perceived happiness and sadness in residential spaces. Build. Environ. 2022, 223, 109317. [Google Scholar] [CrossRef]
- Collier, J.M.; Wilkerson, A.; Durmus, D.; Rodriguez-Feo Bermudez, E. Studying Response to Light in Offices: A Literature Review and Pilot Study. Buildings 2023, 13, 471. [Google Scholar] [CrossRef]
- CIE S 026:2018; CIE System for Metrology of Optical Radiation for ipRGC-Influenced Responses to Light. Commission Internationale de l’Éclairage: Vienna, Austria, 2018.
- CIE TN 003:2015; Report on the First International Workshop on Circadian and Neurophysiological Photometry. Commission Internationale de l’Éclairage: Vienna, Austria, 2015.
- UNE EN 12464-1:2022; Light and Lighting—Lighting of Work Places—Part 1: Indoor Work Places. European Committee for Standardization: Brussels, Belgium, 2022.
- The Lighting Handbook, 11th ed.; Illuminating Engineering Society of North America: New York, NY, USA, 2022.
- WELL Building Standard v2; International WELL Building Institute: New York, NY, USA, 2020.
- Cajochen, C.; Freyburger, M.; Basishvili, T.; Garbazza, C.; Rudzik, F.; Renz, C.; Kobayashi, K.; Shirakawa, Y.; Stefani, O.; Weibel, J. Effect of daylight LED on visual comfort, melatonin, mood, waking performance and sleep. Light. Res. Technol. 2019, 51, 1044–1062. [Google Scholar] [CrossRef]
- Shaffer, F.; Ginsberg, J.P. An overview of heart rate variability metrics and norms. Front. Public Health 2017, 5, 258. [Google Scholar] [CrossRef]
- Taelman, J.; Vandeput, S.; Spaepen, A.; Van Huffel, S. Influence of Mental Stress on Heart Rate and Heart Rate Variability. In Proceedings of the 4th European Conference of the International Federation for Medical and Biological Engineering, Antwerp, Belgium, 23–27 November 2008; Vander Sloten, J., Verdonck, P., Nyssen, M., Haueisen, J., Eds.; IFMBE Proceedings. Springer: Berlin/Heidelberg, Germany, 2009; Volume 22, pp. 1366–1369, ISBN 978-3-540-89207-6. [Google Scholar]
- Jiang, A.; Yao, X.; Westland, S.; Hemingray, C.; Foing, B.; Lin, J. The effect of correlated colour temperature on physiological, emotional and subjective satisfaction in the hygiene area of a space station. Int. J. Environ. Res. Public Health 2022, 19, 9090. [Google Scholar] [CrossRef] [PubMed]
Disclaimer/Publisher’s Note: The statements, opinions and data contained in all publications are solely those of the individual author(s) and contributor(s) and not of MDPI and/or the editor(s). MDPI and/or the editor(s) disclaim responsibility for any injury to people or property resulting from any ideas, methods, instructions or products referred to in the content. |
© 2025 by the authors. Licensee MDPI, Basel, Switzerland. This article is an open access article distributed under the terms and conditions of the Creative Commons Attribution (CC BY) license (https://creativecommons.org/licenses/by/4.0/).













