Analysis of Circumferential and Longitudinal Non-Uniformity of Steel Corrosion in Concrete Subjected to Mechanical Load
Abstract
1. Introduction
2. Materials and Methods
2.1. Materials and Specimen Fabrication
2.2. Accelerated Non-Uniform Corrosion
2.3. Preparation of Samples for the Investigation of Circumferential Non-Uniformity
2.4. Preparation of Samples for the Investigation of Longitudinal Non-Uniformity
3. Results and Discussion
3.1. Circumferential Non-Uniformity of Steel Corrosion in Concrete Subjected to Mechanical Load
3.2. Effects of Load-Induced Transverse Cracks on the Longitudinal Non-Uniformity of Steel Corrosion
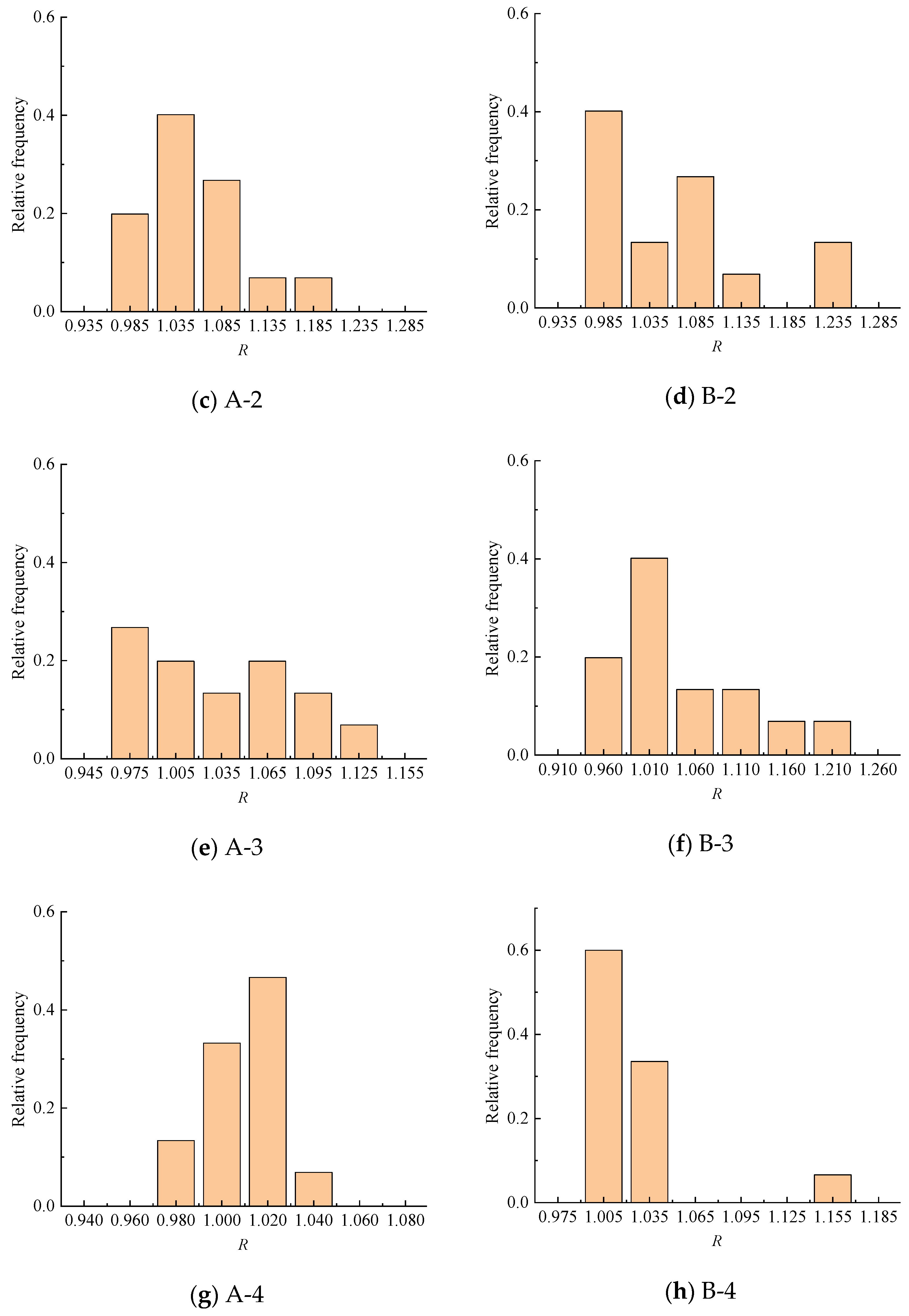
3.3. Effects of Stress Condition on the Longitudinal Non-Uniformity of Steel Corrosion
3.3.1. Non-Uniform Parameter Analysis of Corroded Steel Bars in Non-Stressed Section
3.3.2. Non-Uniform Parameter Analysis of Corroded Steel Bars in Pure Bending Section
4. Conclusions
- (1)
- In the cases of concrete subjected to mechanical load, the distribution of rust layer thickness around the perimeter of the steel bar fits well with a Gaussian distribution. As the corrosion rate gradually increases, the non-uniform coefficient (a) is directly proportional to the maximum thickness of the rust layer, while the uniform coefficient (c) is linearly proportional to the minimum thickness of the rust layer.
- (2)
- With respect to the longitudinal non-uniformity of reinforcement corrosion. It is observed that load-induced transverse cracks have a significant impact on the longitudinal distribution of reinforcement corrosion, leading to rust peaks near the locations of transverse cracks. In the vicinity of each rust peak, the corrosion rate of the steel bar follows a Gaussian distribution. In addition, the corrosion of steel bars tends to be more uniform with an increasing corrosion rate, and the longitudinal non-uniformity of steel bars is significant when the corrosion rate is low.
- (3)
- In the case of non-stressed conditions, the cross-sectional area spatial heterogeneity factor (R) follows a Gumbel distribution. The position parameters (μ) and scale parameters (σ) are linearly related to the average corrosion rate of the reinforcement.
- (4)
- In the case of the pure bending condition, the value of R follows a Gumbel distribution. Nevertheless, the relationship between corrosion rate and the non-uniform parameters (μ and σ) can hardly be applicable. This is mainly due to the development of transverse cracks in the pure bending sections under the influence of mechanical loads. Two crack influence coefficients (α and β) are introduced to describe the impact of mean transverse crack width on the frequency distribution parameters of R-values.
Author Contributions
Funding
Data Availability Statement
Conflicts of Interest
References
- Dong, Z.; Fu, C.; Lu, C.; Nóvoa, X.R.; Ye, H. Effect of stress on the critical chloride content of steel bar in simulated concrete pore solution. J. Mater. Civ. Eng. 2023, 35, 04023350. [Google Scholar] [CrossRef]
- Fu, C.; Huang, J.; Dong, Z.; Song, C.; Zhang, Y. Shear behavior of reinforced concrete beams subjected to accelerated non-uniform corrosion. Eng. Struct. 2023, 286, 116081. [Google Scholar] [CrossRef]
- Zhao, Y.; Zhang, X.; Ding, H.; Jin, W. Non-uniform distribution of a corrosion layer at a steel/concrete interface described by a Gaussian model. Corros. Sci. 2016, 112, 1–12. [Google Scholar] [CrossRef]
- Ahmad, S.; Al-Huri, M.A.; Al-Osta, M.A.; Maslehuddin, M.; Al-Gadhib, A.H. An experimental approach to evaluate the effect of reinforcement corrosion on flexural performance of RC beams. Buildings 2022, 12, 2222. [Google Scholar] [CrossRef]
- Zhu, W.; François, R.; Zhang, C.; Zhang, D. Propagation of corrosion-induced cracks of the RC beam exposed to marine environment under sustained load for a period of 26 years. Cem. Concr. Res. 2018, 103, 66–76. [Google Scholar] [CrossRef]
- Jiang, C.; Ding, H.; Gu, X.L.; Zhang, W.P. Failure mode-based calculation method for bending bearing capacities of normal cross-sections of corroded reinforced concrete beams. Eng. Struct. 2022, 258, 114113. [Google Scholar] [CrossRef]
- Chen, S.; Duffield, C.; Miramini, S.; Nasim Khan Raja, B.; Zhang, L. Life-cycle modelling of concrete cracking and reinforcement corrosion in concrete bridges: A case study. Eng. Struct. 2021, 237, 112143. [Google Scholar] [CrossRef]
- Bossio, A.; Imperatore, S.; Kioumarsi, M. Ultimate flexural capacity of reinforced concrete elements damaged by corrosion. Buildings 2019, 9, 160. [Google Scholar] [CrossRef]
- Zhang, B.; Wang, J.; Wu, B.; Guo, X.W.; Wang, Y.J.; Chen, D.; Zhang, Y.C.; Du, K.; Oguzie, E.E.; Ma, X.L. Unmasking chloride attack on the passive film of metals. Nature 2018, 9, 2559. [Google Scholar] [CrossRef]
- Zhang, W.P.; Zhou, B.B.; Gu, X.L.; Dai, H.C. Probability distribution model for cross-sectional area of corroded reinforcing steel bars. J. Mater. Civ. Eng. 2014, 26, 822–832. [Google Scholar] [CrossRef]
- Wang, X.; Song, X.; Zhang, M.; Du, X. Experimental comparison of corrosion unevenness and expansive cracking between accelerated corrosion methods used in laboratory research. Constr. Build. Mater. 2017, 153, 36–43. [Google Scholar] [CrossRef]
- Zeng, B.; Wang, Y.; Gong, F.; Maekawa, K. Corrosion-induced cracking pattern analysis of RC beam under sustained load considering the poromechanical characteristics of corrosion products. Buildings 2022, 12, 2256. [Google Scholar] [CrossRef]
- Shi, J.; Ming, J. Accelerated corrosion behavior of steel in concrete subjected to sustained flexural loading using electrochemical methods and X-ray computed tomography. J. Mater. Civ. Eng. 2018, 30, 1–12. [Google Scholar] [CrossRef]
- Zhu, W.; Dai, J.; Poon, C. Prediction of the bond strength between non-uniformly corroded steel reinforcement and deteriorated concrete. Constr. Build. Mater. 2018, 187, 1267–1276. [Google Scholar] [CrossRef]
- Wang, X.; Zhang, W.; Gu, X.; Dai, H. Determination of residual cross-sectional areas of corroded bars in reinforced concrete structures using easy-to-measure variables. Constr. Build. Mater. 2013, 38, 846–853. [Google Scholar] [CrossRef]
- Fu, C.; Jin, N.; Ye, H.; Liu, J.; Jin, X. Non-uniform corrosion of steel in mortar induced by impressed current method: An experimental and numerical investigation. Constr. Build. Mater. 2018, 183, 429–438. [Google Scholar] [CrossRef]
- Zhao, Y.; Xu, X.; Wang, Y.; Dong, J. Characteristics of pitting corrosion in an existing reinforced concrete beam exposed to marine environment. Constr. Build. Mater. 2020, 234, 117392. [Google Scholar] [CrossRef]
- GB 50010-2010; Code for Design of Concrete Structures. China Planning Press: Beijing, China, 2015. (In Chinese)
- Zhang, W.; Chen, J.; Luo, X. Effects of impressed current density on corrosion induced cracking of concrete cover. Constr. Build. Mater. 2019, 204, 213–223. [Google Scholar] [CrossRef]
- Dang, V.; François, R. Influence of long-term corrosion in chloride environment on mechanical behaviour of RC beam. Eng. Struct. 2013, 48, 558–568. [Google Scholar] [CrossRef]
- Zhang, W.; François, R.; Wang, R.; Cai, Y.; Yu, L. Corrosion behavior of stirrups in corroded concrete beams exposed to chloride environment under sustained loading. Constr. Build. Mater. 2021, 274, 121987. [Google Scholar] [CrossRef]
- ASTM G1-03; Standard Practice for Preparing, Cleaning, and Evaluating Corrosion Test. ASTM: West Conshohocken, PA, USA, 2003.
- Hiemer, F.; Jakob, D.; Keßler, S.; Gehlen, C. Chloride induced reinforcement corrosion in cracked and coated concrete: From experimental studies to time-dependent numerical modeling. Mater. Corros. 2018, 69, 1526–1538. [Google Scholar] [CrossRef]
- Dong, Z.; Gu, X.-L.; Jin, Z.-H.; Poursaee, A.; Ye, H. Experimental and numerical investigations on the rate-limiting step for macrocell corrosion of reinforcing steel in concrete. J. Mater. Civ. Eng. 2022, 34, 04021407. [Google Scholar] [CrossRef]
- Wang, K. Study on the Non-Uniform Corrosion Distribution of Steel Bars and Corrosion-Induced Cracking of Reinforced Concrete Structures. Master’s Thesis, Zhejiang University, Hangzhou, China, 2018. [Google Scholar]
- Liu, X.; Zhang, W.; Gu, X.; Ye, Z. Probability distribution model of stress impact factor for corrosion pits of high-strength prestressing wires. Eng. Struct. 2021, 230, 111686. [Google Scholar] [CrossRef]
- Chen, J.; Zhang, W.; Gu, X. Modeling time-dependent circumferential non-uniform corrosion of steel bars in concrete considering corrosion-induced cracking effects. Eng. Struct. 2019, 201, 109766. [Google Scholar] [CrossRef]
- Fang, X.; Pan, Z.; Chen, A. Phase field modeling of concrete cracking for non-uniform corrosion of rebar. Theor. Appl. Fract. Mech. 2022, 121, 103517. [Google Scholar] [CrossRef]
- Wang, L.; Liang, Y.; Ueda, T. Numerical simulation of corrosion-induced cracking of concrete considering rust penetration into cracks. J. Mater. Civ. Eng. 2021, 33, 04021183. [Google Scholar] [CrossRef]
- Van Steen, C.; Van Beirendonck, T.; Vrijdaghs, R.; Hendriks, M.A.N.; Verstrynge, E. A two-phased modelling approach for corrosion-induced concrete cracking and bond deterioration in reinforced concrete. Eng. Struct. 2023, 294, 116624. [Google Scholar] [CrossRef]
- He, Z.; He, C.; Ma, G.; Yang, W.; Kang, X. Performance assessment of partially corrosion-damaged RC segment incorporating the spatial variability of steel corrosion. Constr. Build. Mater. 2023, 371, 130789. [Google Scholar] [CrossRef]























| Water Binder Ratio | Cement (kg/m3) | Water (kg/m3) | Coarse Aggregate (kg/m3) | Fine Aggregate (kg/m3) |
|---|---|---|---|---|
| 0.53 | 375 | 200 | 1125 | 750 |
| Notation of Longitudinal Rebar | U.S. Size of Rebar (#) | Crack Width (mm) | z | al | bl | cl | R2 |
|---|---|---|---|---|---|---|---|
| A-1 | #4 | 0.12 | 35 | 1.99 | 7.03 | 0.77 | 0.94 |
| 0.15 | 101 | 1.36 | 12.26 | 1.03 | 0.84 | ||
| 0.20 | 140 | 7.85 | 14.78 | 1.10 | 0.89 | ||
| 0.15 | 205 | 2.19 | 6.82 | 0.85 | 0.80 | ||
| 0.10 | 260 | 1.06 | 6.66 | 1.07 | 0.92 | ||
| B-1 | #4 | 0.06 | 23 | 1.54 | 7.65 | 0.99 | 0.84 |
| 0.15 | 71 | 6.68 | 15.06 | 0.85 | 0.78 | ||
| 0.16 | 150 | 2.99 | 12.87 | 1.40 | 0.96 | ||
| 0.15 | 202 | 7.64 | 15.48 | 1.32 | 0.88 | ||
| 0.08 | 265 | 2.43 | 5.61 | 2.15 | 0.91 | ||
| A-2 | #4 | 0.14 | 20 | 8.49 | 8.79 | 2.07 | 0.93 |
| 0.13 | 59 | 5.92 | 11.72 | 1.51 | 0.87 | ||
| 0.09 | 113 | 2.13 | 4.49 | 2.36 | 0.84 | ||
| 0.05 | 168 | 0.74 | 1.8 | 2.26 | 0.90 | ||
| 0.06 | 225 | 0.99 | 3.13 | 1.91 | 0.88 | ||
| B-2 | #4 | 0.08 | 33 | 2.13 | 4.03 | 2.85 | 0.92 |
| 0.14 | 72 | 3.43 | 8.85 | 2.93 | 0.91 | ||
| 0.13 | 124 | 3.48 | 9.66 | 3.65 | 0.88 | ||
| 0.08 | 183 | 0.86 | 3.18 | 3.76 | 0.85 | ||
| 0.10 | 249 | 2.24 | 2.78 | 4.19 | 0.67 | ||
| A-3 | #4 | 0.21 | 44 | 26.14 | 17.89 | 4.40 | 0.91 |
| 0.11 | 93 | 0.31 | 5.8 | 5.68 | 0.76 | ||
| 0.18 | 143 | 22.05 | 9.56 | 5.89 | 0.89 | ||
| 0.20 | 191 | 26.19 | 17.34 | 5.64 | 0.88 | ||
| 0.05 | 260 | 1.26 | 2.71 | 5.88 | 0.81 | ||
| B-3 | #4 | 0.16 | 35 | 5.76 | 8.93 | 5.19 | 0.91 |
| 0.08 | 112 | 3.06 | 5.5 | 5.04 | 0.84 | ||
| 0.12 | 165 | 4.79 | 7.68 | 6.69 | 0.83 | ||
| 0.17 | 223 | 17.66 | 15.88 | 5.69 | 0.84 | ||
| 0.07 | 277 | 3.63 | 3.63 | 7.31 | 0.57 | ||
| A-4 | #4 | 0.21 | 44 | 26.14 | 17.89 | 4.40 | 0.91 |
| 0.11 | 93 | 0.31 | 5.8 | 5.68 | 0.76 | ||
| 0.18 | 143 | 22.05 | 9.56 | 5.89 | 0.89 | ||
| 0.20 | 191 | 26.19 | 17.34 | 5.64 | 0.88 | ||
| 0.07 | 246 | 3.14 | 4.42 | 6.04 | 0.75 | ||
| B-4 | #4 | 0.23 | 51 | 45.74 | 14.6 | 7.65 | 0.95 |
| 0.17 | 105 | 32.76 | 15.75 | 7.48 | 0.97 | ||
| 0.21 | 180 | 64.66 | 21.98 | 8.29 | 0.63 | ||
| 0.08 | 208 | 2.21 | 7.75 | 8.08 | 0.84 | ||
| 0.07 | 263 | 1.31 | 5.09 | 8.30 | 0.93 |
| Corrosion Rate (%) | Position Parameter μ | Scale Parameter σ |
|---|---|---|
| 1.49 | 1.0086 | 0.0101 |
| 2.39 | 1.0138 | 0.0162 |
| 4.10 | 1.0224 | 0.0234 |
| 5.51 | 1.0307 | 0.0354 |
| 6.62 | 1.0398 | 0.0535 |
| 7.12 | 1.0412 | 0.0474 |
| 8.36 | 1.0512 | 0.0664 |
| 8.61 | 1.0536 | 0.0774 |
Disclaimer/Publisher’s Note: The statements, opinions and data contained in all publications are solely those of the individual author(s) and contributor(s) and not of MDPI and/or the editor(s). MDPI and/or the editor(s) disclaim responsibility for any injury to people or property resulting from any ideas, methods, instructions or products referred to in the content. |
© 2024 by the authors. Licensee MDPI, Basel, Switzerland. This article is an open access article distributed under the terms and conditions of the Creative Commons Attribution (CC BY) license (https://creativecommons.org/licenses/by/4.0/).
Share and Cite
Wu, B.; Xu, K.; Yang, M.; Dong, Z.; Shao, J.; Fu, C.; Ni, W. Analysis of Circumferential and Longitudinal Non-Uniformity of Steel Corrosion in Concrete Subjected to Mechanical Load. Buildings 2024, 14, 509. https://doi.org/10.3390/buildings14020509
Wu B, Xu K, Yang M, Dong Z, Shao J, Fu C, Ni W. Analysis of Circumferential and Longitudinal Non-Uniformity of Steel Corrosion in Concrete Subjected to Mechanical Load. Buildings. 2024; 14(2):509. https://doi.org/10.3390/buildings14020509
Chicago/Turabian StyleWu, Bingliu, Ke Xu, Mingchang Yang, Zheng Dong, Jianwen Shao, Chuanqing Fu, and Wenhao Ni. 2024. "Analysis of Circumferential and Longitudinal Non-Uniformity of Steel Corrosion in Concrete Subjected to Mechanical Load" Buildings 14, no. 2: 509. https://doi.org/10.3390/buildings14020509
APA StyleWu, B., Xu, K., Yang, M., Dong, Z., Shao, J., Fu, C., & Ni, W. (2024). Analysis of Circumferential and Longitudinal Non-Uniformity of Steel Corrosion in Concrete Subjected to Mechanical Load. Buildings, 14(2), 509. https://doi.org/10.3390/buildings14020509

