Next Article in Journal
The Effect of Story Drifts in Determining the Earthquake Performance of High-Rise Buildings
Previous Article in Journal
Influence of Stress Level on the Determination of In Situ Stress by DRA Method
 
 
Font Type:
Arial Georgia Verdana
Font Size:
Aa Aa Aa
Line Spacing:
Column Width:
Background:
Article

Study on the Influence of Window Openings on Seismic Performance of Stone Walls of Tibetan and Qiang Dwellings

1
School of Civil Engineering, Sichuan Agricultural University, Chengdu 611830, China
2
Chongqing Building Science Research Institute Co., Ltd., Chongqing 400042, China
3
China Five Metallurgical Group Co., Ltd., Chengdu 610023, China
*
Author to whom correspondence should be addressed.
Buildings 2024, 14(12), 3829; https://doi.org/10.3390/buildings14123829
Submission received: 5 November 2024 / Revised: 22 November 2024 / Accepted: 26 November 2024 / Published: 29 November 2024
(This article belongs to the Section Building Structures)

Abstract

This study focuses on the effect of window openings on the seismic performance of the stone walls of Tibetan and Qiang dwellings. A typical stone wall of a Tibetan and Qiang dwelling constructed using irregular stone and yellow mud masonry in Li County, Sichuan Province, was chosen as a prototype, and two stone walls with different structural window openings were designed for proposed static tests and microscopic electron microscope scanning (SEM), which obtained the damage patterns and microscopic damage mechanisms of the walls and analyzed them in comparison with the test results of the stone walls without window openings. At the same time, a finite element model was established based on the test parameters to study the effects of opening size, shape, and aspect ratio on the seismic performance of the stone walls of Tibetan and Qiang dwellings. The findings indicate that “X”-shaped cracks at the corners of the window openings and extending to the surrounding areas are the primary damage characteristics. The unique microstructure of yellow clay and schist leads to the faster appearance of wall cracks. The peak load, stiffness, and energy dissipation of the windowed walls were less than those of the windowless walls. It was found through simulation that the seismic performance of the wall decreases with the increase in the opening size; as the wall’s openings take on different shapes, the ultimate bearing capacity steadily declines with the order of circular, square, triangular, trapezoidal, and rectangular; and under a range of aspect ratios, the wall’s seismic performance is best when the opening’s aspect ratio is 1:1. The research results of this paper are of reference value for the research, design, and construction of stone walls and other non-engineered masonry works of Tibetan and Qiang dwellings.

1. Introduction

In Sichuan, the Tibetan and Qiang peoples have traditionally lived in high mountains or canyons with few resources. In their struggle against nature, the Tibetan and Qiang people created a distinctive national style of stone and wood architecture [1], which is highly valuable for inheritance and preservation, by using natural resources like irregular, flaked stone blocks and yellow mud as the primary building materials. Figure 1 depicts traditional Tibetan and Qiang dwellings. Tibetan and Qiang dwellings show a unique architectural culture, but because it does not give full consideration to the seismic performance of the structures, which are located in an earthquake-prone area, this kind of ancient architectural culture is very vulnerable to damage. Window openings are one of the main vulnerable areas in these houses under the action of earthquakes, and they have a great impact on the seismic performance of the building, but the damage mechanism of window openings on the buildings is still unclear, and the relationship between the size, shape, and aspect ratio of the openings and the seismic capacity of the wall has yet to be researched.
Scholars at home and abroad have carried out relevant experimental studies and theoretical analyses on different types of walls with openings. Zhang et al. [2] investigated the seismic performance of multi-post-opening shear walls through experiments and numerical simulations and found that the holes redistributed the strains in the wall, that the largest strains occurred in the top and bottom corners of the holes, and that the vertical reinforcement close to the holes yielded first. Wang et al. [3] comparatively analyzed the seismic performance of TRC-reinforced windowless and windowed masonry walls and found that TCR-reinforced walls have better post-peak performance and higher seismic performance indexes such as peak load, ductility, stiffness, and energy dissipation, while windowed walls have smaller peak load, stiffness, and energy dissipation than windowless walls, but their ductility is better than that of windowless walls. Liu et al. [4] systematically investigated the effect of the dimensions and location of openings on the internal load-carrying capacity of the wall. The effect of opening size and location on the internal load-carrying capacity of the wall was determined, and the correlation between the opening size and location and the internal performance of the masonry wall face was determined. Kayırga et al. [5] investigated the seismic performance of unreinforced masonry buildings with different opening sizes and found that the shear cracks on the walls mainly spread from the openings’ corners to the building’s corners, and that the structure continues to dampen the energy by opening and closing the cracks as the structural load-carrying capacity’s strength decreases. Furtado et al. [6] investigated the effect of window openings on the seismic performance of a masonry infill wall, and the results showed that there was a reduction in the intrinsic frequency, initial stiffness, and maximum strength of the masonry infill wall after the openings were made. Hwang et al. [7] proposed a mathematical model for predicting the lateral load capacity within the face of unreinforced masonry (URM) walls, considering the potential damage modes and the presence of openings. Li et al. [8], on the other hand, proposed a new method for reinforcing masonry walls with openings and a formula for calculating the seismic load capacity of masonry walls with reinforced openings. Saeed et al. [9] carried out a study on a building with a reinforced concrete shear wall, with openings and without, and found that the openings had a significant effect on the seismic performance of the shear wall, but the type of openings (regular or staggered) had only a slight effect on the behavior of the shear wall. Yu et al. [10] found that small openings have little effect on the bending performance of slender shear walls when the locations of the wall openings are far away from the region of severe compressive damage. Anil et al. [11] found that the size of the openings has a significant effect on the strength and stiffness of the panels through an experimental study of timber-framed shear walls. Muthukumar et al. [12] showed that the mechanical properties of shear walls with openings located close to the boundaries were the worst. Lim et al. [13] designed and constructed three CM specimens for in-plane cyclic loading in order to investigate the effectiveness of toothed wall-column connections and the effect of window openings in masonry panels. Arabzadeh et al. [14] found that the size and location of window openings had no significant effect on composite steel shear wall performance and only reduced the strength of the wall to some extent.
In addition, scholars have made relevant contributions to the preservation of such historic and cultural masonry. Bayraktar et al. [15] investigated the effect of window openings on the static and seismic performance of a historic masonry mosque and determined the experimental dynamic characteristics of the building, such as frequencies, damping ratios, and modal vibration patterns. References [16,17,18,19], on the other hand, used advanced numerical methods to perform relevant simulations and analyses of masonry towers with cavities and bell towers. These studies provided useful insights for the seismic damage analysis of similar structures.
From the current state of research, scholars primarily focus on window openings in shear walls and brick masonry structures. However, there is a notable scarcity of research findings pertaining to Tibetan and Qiang dwellings.
To elucidate the impact of window openings on the seismic performance of Tibetan and Qiang dwellings’ stone walls, this study designed an open-hole yellow mud stone wall devoid of tectonic measures and additional reinforcement skeleton systems. The macroscopic and microscopic damage mechanisms of the stone wall were investigated through low circumferential reciprocating loading tests, pre-test data analysis, and scanning electron microscope (SEM) imaging. An evaluation was conducted on the hysteretic response, skeleton curves, stiffness variations, and energy dissipation capacity following the introduction of window openings. Building upon these experimental findings, a numerical model of the stone wall was developed using finite element software to validate the modeling technique’s reliability. Ultimately, this research examined how different opening sizes, shapes, and aspect ratios influence the seismic performance of Tibetan and Qiang dwelling stone walls while establishing a clear correlation between various opening configurations and their corresponding seismic responses. While respecting regional culture and traditional esthetics, this research provides theoretical support and design guidelines for incorporating window openings into traditional Tibetan and Qiang dwellings as well as similar masonry structures. Additionally, it contributes to enriching databases related to stone masonry buildings and enhances evaluations concerning the seismic performance of existing stone masonry constructions.

2. Overview of the Experiment

2.1. Design of Experimental Dimensions

According to the actual survey, the wall of a typical residence in Li County was selected as the prototype. The wall was made of masonry with woolen stone and yellow mud, and the dimensions of the wall were 4000 mm (long) × 2800 mm (high) × 600 mm (thick). Considering that the adhesive property of the yellow mud was not good, and given the irregularity of the woolen stone and the difficulty of masonry construction, a reduced-scale model of “reduced scale of the wall length and the full scale of the blocks” [20] was adopted for the indoor experimental study. The test stone wall designed in this paper adopts 1/2 of the actual wall size, i.e., the length × height × thickness is 2000 mm × 1400 mm × 300 mm, and the test window opening is rectangular in shape, located in the center of the wall, with a size of 200 mm × 450 mm. The masonry materials are yellow mud, slate, rebar, and cement mortar. The test materials used in this paper are all from Li County of Aba Tibetan and Qiang Autonomous Prefecture, where the Tibetan and Qiang dwellings were originally concentrated, and the test walls were completed by the same group of workers.
In order to enrich the variety of test walls, we designed two walls with identical opening sizes: one is an ordinary stone wall, and the other is a stone wall implanted with a steel reinforcement skeleton system. The construction practices for these walls refer to the literature [21,22,23], which are consistent with the methods used in Xu’s tests [24]. The walls are designated as Y-1 and Y-2, as shown in Figure 2, and their specific parameters are detailed in Table 1.
The horizontal reinforcing mesh was composed of 3 HRB400 steel bars with 10 mm diameter and 100 mm spacing used for the through-length reinforcement; HPB300 steel bars with 6 mm diameter and 300 mm spacing were used for the transverse short reinforcement; the horizontal reinforcing steel mesh consisted of 2 layers, with a spacing of 120 mm between layers; the wall within the range of the upper and lower 200 mm was made of cement mortar masonry of M10. The vertical reinforcement skeleton measured 200 mm × 200 mm; the longitudinal through-length reinforcement adopted 4 HRB400 steel bars with a diameter of 12 mm; the hoop bars were HPB300 steel bars with a diameter of 6 mm and spacing of 300 mm; the 200 mm wall around the vertical reinforcement skeleton adopted the cement mortar masonry of M10. Two horizontal tie bars of 6 mm in diameter were set in the middle of the wall, each side of which extended 500 mm into the wall; 6 mm in diameter transverse short bars were tied on the tie bars with a spacing of 300 mm.
The dimensions of the two walls are shown in Figure 3.

2.2. Mechanical Properties of Materials

According to the Chinese standard [25,26,27], the group conducted material property tests in the preliminary stage to obtain the axial compressive strength of slate stone as 67.92 MPa, the compressive strength of slate masonry as 0.598 MPa, the modulus of elasticity as 46.24 MPa, Poisson’s ratio as 0.2, the compressive strength of yellow mud mortar as 2.376 MPa, and the value of the compressive strength of cement mortar as 18.702 MPa. The nominal HRB400 rebars with diameters of 10 mm and 12 mm were subjected to rebar tensile tests, the average yield strengths of 459.5 MPa and 440.5 MPa were measured, and their ultimate strengths were 623 MPa and 610 MPa.

2.3. Wall Construction Production

The stone selected for the test wall was hard, with no cracks or weathering; the yellow mud was sieved before mixing; the moisture content was controlled between 30% and 40% during mixing; and the wall was constructed in strict accordance with the masonry requirements of the stone masonry project in the Chinese “Code for construction of masonry structures engineering” [28]. We ensured that the yellow mud between the upper and lower adjacent stones was dense and the thickness of the mortar joints did not exceed 12 mm. The larger gaps between the stones were filled with mud after filling the small stones, and the stones and mud were tapped tightly with a small hammer. The height of masonry was not more than 1.2 m per day. The process of Y-1 wall masonry is shown in Figure 4.
The construction process for the Y-2 wall involved pouring reinforced concrete bottom beams, constructing a masonry stone wall after locating a vertical reinforcement steel skeleton, and then constructing a masonry stone wall near the top of the wall after tying the horizontal reinforcement steel mesh. The Y-2 wall was embedded in a reinforcing steel skeleton system for restraint. Figure 5 depicts the wall masonry procedure.

2.4. Loading Regime and Measurement Point Arrangement

2.4.1. Load Determination

In this test, the horizontal and vertical loads of the two wall specimens were loaded in the same manner as in the group’s previous test conducted by Xu [24]. The vertical load was determined by choosing the Aga soil without a main roof, yellow mud floor, and other pertinent details based on the actual circumstances of the chosen building. The 1:2 scaled-down model of the vertical load of a single wall is 23.226 kN. The calculation chose an Aga soil capacity of 15 kN/m3, a rough soil capacity of 15 kN/m3, a wall capacity of 22 kN/m3, and a no-main-roof live load of 0.5 kN/m2. The test’s vertical load was achieved by stacking the counterweight block and steel beams to satisfy the specifications.
Horizontal loading is shown in Figure 6; the low weekly repeated loading scheme is adopted and the horizontal load is applied by displacement control. The displacement amplitude is determined by projecting the interlayer displacement angle. According to the calculation, the loading displacement amplitude is 1.4 mm, 1.75 mm, 2.8 mm, 5.6 mm, 7.0 mm, 9.3 mm, 14.0 mm, 20.0 mm, 28.0 mm, 35.0 mm, and 46.7 mm, and the displacement loading at all levels is cyclic twice; each level of load is applied and held for 1 min, and the loading rate is kept at 0.2 kN/s. When the strength of the wall decreased significantly or the wall displacement was large, the loading was stopped.

2.4.2. Loading Device

The horizontal push-pull force of this test is applied by a 50 T electro-hydraulic servo actuator with a stroke of ±200 mm and a maximum thrust of 500 kN. One end of the actuator is fixed on the counterforce wall through a steel girder, and the other end is fixed on the wall through a steel beam and steel plate. Vertical loads were applied by stacking the steel beams and counterweights to reach the calculated vertical loads. Ground anchor bolts were employed on both sides of the wall’s base to secure the foundation steel beams, thereby providing horizontal restraint to mitigate sliding damage. The loading system and wall tests are shown in Figure 7.

3. Test Results and Analysis

3.1. Damage Process of the Wall

3.1.1. Y-1 Wall

For the Y-1 wall, at a displacement load of 1.75 mm, stress concentration at the window corner led to the appearance of fine cracks in that corner. During the initial two stages of displacement loading, the wall force increased linearly, indicating an elastic stress state in the specimen. As the displacement loading progressed from 2.8 mm to 5.6 mm, the wall began to exhibit diagonal cracks. These cracks initially formed on both sides of the wall at the force application points and expanded towards the wall’s center of gravity at angles between 45° and 60° with increasing displacement. At this stage, the wall’s forward force reached 14.314 kN. From 7 mm to 9.3 mm of displacement loading, the cracks rapidly developed towards the window and wall corners, with pronounced ‘X’-shaped cracks evident on both sides of the wall opening. The expansion and extension of these cracks accelerated, though the wall’s force changes remained subtle. As displacement gradually increased to 14 mm, the wall’s diagonal cracks intensified, sometimes accompanied by mortar detachment. The wall’s deformation became more pronounced, and the through-seam cracks became more significant, with the maximum forward force reaching 15.83 kN. Upon reaching a displacement of 20 mm, the window corner experienced severe shear deformation, the width of the wall’s inclined cracks increased further, and there was extensive mortar and putty detachment. The maximum forward force at this point was 15.05 kN, showing a significant decline from the previous stage, indicating that the wall had reached its limit state. Upon failure, the wall developed distinct shear diagonal cracks on both sides of the window. The damage progression of the Y-1 wall is depicted in Figure 8.

3.1.2. Y-2 Wall

The Y-2 wall’s damage progression closely mirrors that of the Y-1 wall. During the 1.4 mm to 2.8 mm displacement loading phase, the wall’s force increases linearly without significant cracking, yet the load value of the Y-2 wall specimen is markedly higher compared to the Y-1 wall. At the 2.8 mm loading stage, the wall’s forward force is 2.8 times that of the Y-1 wall, with no evident damage to the specimen, indicating that the wall remains in the elastic stress phase. When the displacement reaches 5.6 mm, the wall’s cracks begin to extend diagonally along the mortar joints in a stepped pattern, with a relatively small post-loading residual displacement. From the 7 mm to 14 mm loading stage, the wall’s cracks continue to extend, with the degree of crack development being subtle, but there is a notable tendency for the load value to increase significantly. At a 20 mm displacement, pronounced cracks emerge on both sides of the wall opening constructed with yellow mud masonry. As the displacement reaches 28 mm, signs of mutual extrusion between the stones become apparent, with large pieces of mortar beginning to fall off and cracks starting to spread to the surroundings. When the displacement is loaded to 35 mm, the wall’s extrusion phenomenon intensifies; stone blocks start to fall off, significant cracks appear on both sides of the opening, the wall’s bearing capacity drops markedly, and, ultimately, the wall is completely destroyed. The damage development process of the Y-2 wall is depicted in Figure 9.

3.2. Analysis of Microscopic Damage Mechanism

The macroscopic physical and mechanical properties of soil and stone and their specific engineering properties are mostly determined by their microstructures in addition to their mineral composition factors; therefore, it is of great scientific significance to explore the microstructure of yellow mud and schist for assessing the stone walls of Tibetan and Qiang dwellings. The scanning electron microscope (SEM) is one of the most common and important research tools in the study of observing the microstructure of an object [29], and it is able to directly reflect the surface properties and three-dimensional morphology of particles as well as the details of the microstructure. The microscopic scanning images of each specimen (all at 5000×) are shown in Figure 10.
Figure 10a displays the microscopic image of the yellow mud mortar prior to loading. The image reveals a more intact microstructure of the yellow mud mortar before loading, characterized by an irregular and rough soil body surface with particles of varying sizes and uneven distribution. Pores are abundant and predominantly found within the flocculent structure composed of these particles, creating a honeycomb-like distribution. Additionally, there are intermittent fine strips of pores scattered throughout. Overall, the soil exhibits a honeycomb microstructure, with soil particles primarily forming aggregate granular or flocculent structures in face-to-face or point-to-face contact, with contact points that are relatively loose. This microstructure suggests that the yellow mud mortar is susceptible to dislocation and movement under the influence of external forces. Figure 10b presents the microscopic image of the yellow mud mortar after loading. In comparison to the pre-loading state, the pores are more pronounced, larger, and more widely distributed post-loading. The original larger flake particle structure has been transformed into a smaller flake structure as a result of damage, and the particle arrangement has become disordered. Under the influence of horizontal low circumferential reciprocating action and stress, particles are repeatedly compressed, leading to a weakening of the cohesion between them. Consequently, distinct shear damage cracks emerge on the soil body’s surface. These microscopic cracks gradually evolve into macroscopic cracks, which diminish the overall performance strength of the yellow mud mortar and, in turn, impact the seismic performance of the entire structure.
Figure 10c displays the scanning electron microscope (SEM) image of the schist, revealing a smoother and flatter surface compared to the yellow mud mortar. The schist exhibits a more uniform and compact arrangement, characterized by a lamellar stacking structure with fewer pores within its microstructure. Figure 10d presents the microscopic image of the yellow clay-gneiss bonding surface, where it can be observed that the yellow mud adheres to the surface of the schist. The inter-particle pores are larger, indicating a granular structure, and the particles are predominantly in point contact, resulting in a looser overall structure. The yellow mud mortar bonding surface is less prevalent due to this unique microstructure. Consequently, the bond between the yellow mud mortar and the schist is not robust, leading to a faster emergence and development of cracks within the overall structure under shear action.

3.3. Analysis of Test Data

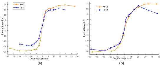
Before this test was carried out, the group carried out the proposed static test for the stone wall without window opening and the stone wall without window opening with additional steel reinforcement skeleton, and the corresponding test data were obtained. In order to further investigate the effect of window openings on the bearing capacity of Tibetan and Qiang stone walls, the test data of “stone wall without window openings” and “stone wall with steel reinforcement skeleton without window openings” used in this paper were obtained from the tests conducted by Xu [24]. These two walls are hereafter referred to as the W-1 and W-2 walls.

3.3.1. Hysteresis Curves

The hysteresis curves of the specimens obtained from the tests are shown in Figure 11, from which the following can be obtained:
  • At the beginning of loading, the horizontal load is small, the specimen has not yet cracked, the hysteresis loop of each wall is basically coincident, the residual deformation after cyclic loading is negligible, the wall is in the elastic working stage, the load and displacement are basically linear, and the specimen consumes less energy;
  • With the increase in load, cracks begin to appear and gradually develop, the residual deformation increases, the slope of the curve decreases, the stiffness of the wall is gradually degraded, the area of the hysteresis loop gradually increases, the specimen enters the elastic-plastic working stage, and the difference in force between the wall of the open window and the wall of the unopened window is gradually enlarged under the same displacement and loading level; due to the low adhesive capacity of the yellow mud mortar, the specimen is subjected to a certain degree of slippage, and there is a phenomenon of pinch shrinkage, which is a very important factor for the development of elasticity. The pinch shrinkage phenomenon is more obvious after adding the reinforcement skeleton system;
  • In the late loading period, the hysteresis curve of the wall without additional window openings is relatively smooth, while the windowed wall has an obvious descending section after reaching the maximum bearing capacity of the wall. After reaching their ultimate bearing capacity, the strength of the specimens degraded significantly. Overall, the ultimate load-carrying capacity and initial stiffness of the wall after the window’s opening are lower, and the wall’s plastic deformation capacity is also reduced.

3.3.2. Skeleton Curve

The peak point of each level of the cycle of hysteresis curve displacement loading is connected to the outer envelope to draw the skeleton curve, as shown in Figure 12. The main characteristic points of the skeleton curve are shown in Table 2, which can be analyzed from the graph:
  • The skeleton curves of each specimen show an inverse S-shape, indicating that the specimens have experienced three typical stress stages in the loading process: the elastic deformation stage, the crack initiation and development stage, and the destruction stage, which is consistent with the test phenomenon.
  • The ultimate bearing capacity of the Y-1 wall after the window opening is 15.83 kN, which is 18.78% lower than that of the W-1 wall, whose bearing capacity is 19.49 kN, the damage displacement value of 20 cm is 28.57% lower than that of the W-1 wall, which is 28 cm, and the ductility of the specimen is also lowered. The ultimate bearing capacity of the Y-2 wall is 7.54% lower than that of the W-2 wall. The ultimate bearing capacity of the wall decreased significantly after the window opening.

3.3.3. Stiffness Degradation

Defined as the ratio of the peak load of a cycle on the skeleton curve to its corresponding displacement is the cutline stiffness, Ki, which is expressed as:
K i = + F i + F i + X i + X i
where Ki is the cut-line stiffness of the load–displacement curve at the ith level of cyclic loading; +Fi, −Fi are the load values at the positive and negative peak points of the first cyclic loading; +Xi, −Xi are the displacement values at the positive and negative peak points of the first cyclic loading. The relationship between the cut line stiffness and displacement of each specimen from Equation (1) is shown in Figure 13. By comparing and analyzing Figure 13, it can be obtained that:
  • The stiffness degradation law of each specimen is roughly the same; the stiffness degradation is faster at the beginning of loading, and it is relatively slower at the later stage. When the specimen is loaded, the stiffness decreases with the increase in displacement, which is due to the increasing deformation of the specimen caused by the loading of displacement, the development of wall cracks, and the accumulation of damages, leading to the continuous withdrawal of yellow mud mortar and schist from the project. Due to the presence of window openings, the windowed wall partially resisted deformation, while the windowless wall resisted deformation as a whole, so the cracks in the windowed wall developed faster, significantly reducing the specimen’s stiffness.
  • At the beginning of loading, specimen W-1’s stiffness degradation speed was faster, while specimen Y-1’s stiffness degradation was relatively slower. Due to the low strength of the stone wall itself, with the gradual increase in displacement, a large number of cracks were produced in both walls during the loading process, and the lateral stiffness decreased rapidly. The cutline stiffness of wall W-1 under all loading stages was higher than that of wall Y-1, and the initial stiffness of specimen Y-1 was reduced by 0.43 times compared with that of specimen W-1, indicating that the addition of the hole reduced the lateral stiffness of the stone wall.
  • The initial stiffness of the Y-2 wall was recorded at 12.24 kN/mm, surpassing that of the W-2 wall, which was 8.56 kN/mm. This discrepancy can be attributed to the presence of the opening in the Y-2 wall, which triggers the reinforcing skeleton to engage earlier in the loading process. In contrast, the W-2 wall relies predominantly on the schist during the initial loading phase. As displacement increases, the reinforcing skeleton system in the W-2 wall becomes increasingly active. Consequently, the stiffness of the Y-2 wall diminishes rapidly, eventually falling below that of the W-2 wall. This trend suggests that the incorporation of an opening results in a reduction in the wall’s ultimate lateral stiffness.

3.3.4. Analysis of Energy Dissipation Capacity

Energy dissipation capacity is an important index to measure the resistance of a structure or member to seismic action. According to the “Specification for seismic test of buildings” [30], the energy dissipation capacity of the test specimen in this test is expressed according to the area contained in the hysteresis curve obtained from the wall in the test; the larger the area of the hysteresis loop in the hysteresis curve, the more seismic energy absorbed and dissipated by the structure or member, and the stronger its ability to resist seismic action. Figure 14 shows the cumulative energy dissipation curve of each specimen. From Figure 14, it can be obtained that:
  • During the loading process of each specimen, with the increase in loading displacement, the plastic deformation develops continuously and the energy dissipation capacity of the specimen increases. For small displacements, the cumulative energy dissipation curves of each specimen basically overlap because the early energy dissipation is mainly caused by the rupture of the yellow mud mortar and crack friction.
  • The cumulative energy dissipation of the Y-1 walls is lower than that of the W-1 walls. By comparing the cumulative energy dissipation of the Y-1 walls at final damage (1571.93 J) with that of the W-1 walls (2926.17 J), it can be seen that the cumulative energy dissipation of the Y-1 walls decreased by 46.28%, which indicates that the addition of holes reduces the energy dissipation capacity of ordinary stone walls.
  • The cumulative energy dissipation of the Y-2 wall is higher than that of the W-2 wall, except for the last stage, which is due to the fact that more energy needs to be consumed to allow the wall to reach the corresponding displacement after the reinforcement skeleton enters the work quickly. In the last two loading stages, the Y-2 wall has been completely destroyed and the rate of energy dissipation starts to decrease, while the W-2 wall is still in the destruction stage and the energy dissipation rises rapidly, resulting in the final cumulative energy dissipation of the W-2 wall (11,929.32 J) being slightly higher than that of the Y-2 wall (11,825.72 J).

4. Finite Element Analysis

4.1. Model Building and Verification

4.1.1. Model Establishment

Taking the Y-1 wall as the object of analysis, the finite element model was established by using the finite element software Abaqus according to the size of the test wall. Since the masonry materials used in the Tibetan and Qiang stone walls are mainly from local natural stone with high irregularity, a holistic modeling method was adopted. The stone wall was modeled using C3D8R units, the wall was modeled using the modified concrete tensile principal relationship, and the compressive principal relationship of masonry proposed by Yang [31] was used for the compressive principal model. The model is divided into three parts: upper, middle, and lower, which are connected by binding. The middle part of the model is a stone wall, which is used to bear the load; a steel beam is rested on the top surface of the wall, which is used to apply the vertical load; and the lower part of the wall is a concrete base, which is used to fix the bottom displacement. The irregular parts are firstly divided during meshing to minimize the negative effect of irregular meshing. In order to improve computational efficiency and reduce the computational cost while guaranteeing the accuracy of the model, the mesh size was set to 80, and the loading method and boundary condition constraints were consistent with the test for the horizontal displacement control of the upper part of the wall, and, at the same time, all the degrees of freedom of the bottom surface of the wall were constrained, as well as the degrees of freedom of the loading out-of-plane direction. The number of steps in the model calculation were set to be 2 for the static universal analysis step; the vertical load was applied in step 1, and the load in step 1 was transferred in step 2. The boundary conditions were set to constrain the degrees of freedom at the bottom of the model, the specified displacement constraints were set in step 2, and the displacement changes were consistent with those in the test.

4.1.2. Intrinsic Relationship and Calculation Parameters

The masonry compression intrinsic model is adopted as the Equation (2) intrinsic model, and its stress–strain relationship is as follows [31]:
σ f m = η 1 + η 1 ε / ε m η / η 1 ε ε m
where η is the ratio of the initial tangent modulus to the peak tangent modulus; fm is the average value of the masonry compressive strength; σ and ε are the masonry stress and strain; εm is the strain corresponding to the average value of the masonry under compression.
The tensile damage form of masonry material is similar to that of concrete, so the modified tensile constitutive model of concrete was adopted, and its expression is as follows [31]:
σ f t m = ε ε t m , ε ε t m 1 σ f t m = ε / ε t m 2 ε ε t m 1 1.7 + ε / ε t m , ε ε t m > 1
where ftm is the peak tensile stress of masonry; σ and ε are the stress and strain of masonry; ε and εtm are the tensile strain of masonry and the corresponding strain of ftm.
The yellow mud mortar masonry wall is characterized by material properties that include a density of 2.49 g/cm3, a Young’s modulus of 46.24 MPa, and a Poisson’s ratio of 0.2. For the model material, a plastic damage model (CDP) is utilized, defining parameters such as the expansion angle ψ, eccentricity e, the ratio of biaxial to uniaxial ultimate compressive strength (fb0/fc0), the yield function shape coefficient Kc, and the viscosity coefficient μ. In this study, these parameters are set to 38°, 0.1, 0.6667, 1.16, and 0.005, respectively.

4.1.3. Analysis of Simulation Results

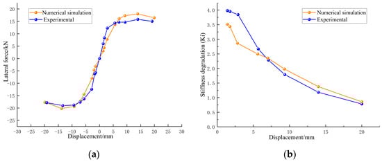
The Mises stress cloud and numerical simulation damage results of the Y-1 wall are shown in Figure 15, and the comparison of the skeleton curves between simulation and test results is shown in Figure 16.
  • From the stress diagrams, it is evident that the wall is subjected to vertical loads and horizontal reciprocating forces, resulting in diagonal stresses that extend at approximately a 45° angle from the window opening’s diagonal corners to the top left and bottom right, and from the top-right and bottom-left corners of the window opening. The concentration of stress at the diagonals of the specimen indicates a dense distribution of cracks and severe damage, which is consistent with the observed “X”-shaped crack pattern on either side of the window opening in the experimental wall. Figure 15c,d depict the final tensile and compressive damage outcomes for the modeled walls, with damage values scaled from 0 to 1, where 0 represents undamaged and 1 signifies fully damaged. The figures clearly demonstrate that the tensile damage in the wall is characterized by the formation of a prominent “X”-shaped crack pattern, emanating from the corners of the wall and centered around the opening. In contrast, the compressive damage is primarily concentrated at the base of the wall.
  • The skeletal curves obtained from both finite element simulation and experimental testing of the walls exhibit an S-shape, with the trend of stiffness degradation being close. Under the action of horizontal reciprocating loads, the initial stiffness of the walls derived from the test and simulation are 3.98 kN/mm and 3.51 kN/mm, respectively, with a relative error of 13.4%. The ultimate load of the wall is 15.83 kN, while the ultimate load value from the finite element simulation is 18.02 kN, with a relative error of 12.15%. The simulation results are slightly greater than the test results. This is due to the inevitable imperfections in the manual masonry of the test wall and the subtle differences in material properties, etc., between the simulated and test walls, which led to some errors between the test and simulated values.
  • By observing the falling section, it is found that the falling section of the skeleton curve in the finite element simulation is more obvious, while the falling load of the wall in the actual test is a little bit smooth, which is due to the self-repairing property of the yellow mud after being damaged. The ultimate displacement of the test wall and the finite element result are both 14 mm, and the high degree of agreement between the two shows the reasonableness of the finite element simulation, to a certain extent. There are slight differences in the coincidence of the curves at each stage, but the overall trend is close; the simulation results are similar to the test results, and the finite element model used is reasonable.

4.2. Stone Wall Model Design

In order to further study the influence of window openings on the seismic performance of the stone walls of Tibetan and Qiang dwellings, on the basis of the test, three different factors, namely, the size and shape of the opening size, as well as the height-to-width ratio, were selected and modeled by the finite element software for low-circumference reciprocating load analysis in order to determine the optimal opening situation.
The wall profile size, material, and load is consistent with the Y-1 wall specimen in this paper, and the information of the finite element wall model size is shown in Table 3.

4.3. Effect of Opening Size on Seismic Performance of Stone Walls

The finite element model was established by scaling up and down the size of window openings according to the field study in Aba. Figure 17 shows the skeleton curves and stiffness degradation curves of each wall under low circumferential reciprocating loads with different opening sizes. From Figure 17, it can be seen that, with the increase in the opening rate, the damage displacement and damage load of the wall show a different degree of decreasing trend. When the opening size is 200 mm, the bearing capacity of the wall is the largest and the ductility is the highest; after the opening size reaches 500 mm, the stress situation of the wall changes obviously, and the bearing capacity of the wall decreases rapidly and tends to be close to 0 after it enters the destructive stage; the maximum bearing capacity of the wall with an opening size of 200 mm is increased by 19.09% compared to that with an opening size of 500 mm. The degradation pattern of the degradation curves is more or less the same; with the increase in displacement, the wall stiffness decreases continuously. Overall, the impact of opening smaller holes on the seismic performance of the wall is small; the size of the hole should not be too large, and the seismic performance of the wall will be greatly reduced when the opening area of the hole reaches 8.93% of the stone wall (500 mm hole).

4.4. Influence of Hole Shape on Seismic Performance of Stone Wall

To examine the impact of various opening shapes on the seismic performance of stone walls in Tibetan and Qiang dwellings, we designed five types of openings, including square ones, each with an area of 200 mm by 200 mm, for analysis under static force conditions. Figure 18 presents the skeleton curves and stiffness degradation curves for each wall configuration with different opening shapes. Observations from Figure 18 indicate that the maximum bearing capacity for walls with different opening shapes is achieved at the same displacement, with the circular opening exhibiting the highest ultimate load value. The trend in the cut-line stiffness of the five curves is largely similar, with the most significant differences occurring at the initial and final stages. At the outset, the circular opening has the greatest cut-line stiffness, while the rectangular opening has the least; as displacement increases, these differences diminish, culminating in the trapezoidal shape having the smallest cut-line stiffness. Overall, the circular opening performs best among the five opening types. However, considering the construction challenges associated with circular openings, square openings are more practical for implementation in actual projects.

4.5. Influence of Opening Height-to-Width Ratio on Seismic Performance of Stone Walls

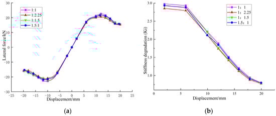
To investigate the impact of the height-to-width ratio of window openings on the seismic performance of stone walls, we designed four distinct openings with ratios of 1:1, 1:1.5, 1.5:1, and 1:2.25, all based on a 300 mm by 300 mm template. Subsequently, finite element models were constructed for each to facilitate analysis. Figure 19 illustrates the skeleton curves and stiffness degradation curves for each wall configuration under the specified static forces. Observations from Figure 19 reveal that the trend in the skeleton curve and stiffness degradation curve is largely consistent across all wall types. The opening with a height-to-width ratio of 1:1 demonstrated the optimal bearing capacity and stiffness, whereas the 1:2.25 ratio performed the poorest. However, the performance difference between the best and worst ratios was not significantly large. Consequently, the opening with a height-to-width ratio of 1:1 emerged as the most favorable design among the varying ratios. Collectively, the height-to-width ratio of the openings exerted a relatively minor influence on the seismic performance of the stone walls.

5. Conclusions

In this study, cyclic loading tests were carried out on the stone walls of Tibetan and Qiang dwellings with window openings, combined with SEM images and finite element simulations, to analyze the macroscopic damage characteristics and microscopic damage mechanisms of the walls, and discuss the effects of open windows on the hysteresis curves, skeleton curves, stiffness properties, energy dissipation performance, and other seismic performances of the stone walls of Tibetan and Qiang dwellings. The main conclusions obtained from this research are summarized as follows:
  • The damage form of the stone wall was changed after the addition of a window opening. Unlike the diagonal cross-cracks in the ordinary stone W-1 wall without window opening, the Y-1 wall after window opening mainly showed two “X”-type shear damage cracks on both sides of the opening, which changed the weak position of the stone wall; after the addition of the reinforcing steel frame system, the Y-2 wall with window opening showed more obvious penetration cracks than that of the W-2 wall without a window opening.
  • The microstructure of the wall material was obtained by SEM, and the analysis showed that the yellow mud particles are mostly connected by face-to-face contact and point-to-face contact, and the overall contact is relatively loose; the yellow mud and the schist are mostly connected by point-to-point contact, and the microscopic voids are larger. This unique microstructure determines the earlier appearance of microscopic cracks in the stone wall made of yellow mud and schist masonry under shear, which leads to the faster sprouting and development of macroscopic cracks.
  • The ultimate bearing capacity, energy dissipation performance, and other seismic performance of the wall were reduced after opening the hole. Among them, the ultimate bearing capacity of the ordinary yellow mud wall decreased by 18.78%, the cumulative energy dissipation decreased by 46.28%, and the damage displacement value decreased by 28.57%; the wall with an additional steel reinforcement skeleton system decreased its ultimate bearing capacity by 7.54%, and its cumulative energy dissipation decreased by 0.89% after opening the window.
  • Finite element simulation results show that reasonable window opening design can optimize the performance of the wall under seismic action. The seismic performance of the stone wall decreases gradually with the increase in the opening size; the comparison of different opening shapes reveals that the best ultimate bearing capacity and initial stiffness are found in the circular opening, followed by the square one; under different height-to-width ratios, the best seismic performance of the stone wall is found when the opening height-to-width ratio is 1:1.
It is important to note that the scope of this study is limited to investigating the impact of window openings on the seismic performance of stone walls in Tibetan and Qiang dwellings. There remain numerous aspects that warrant further exploration. One such aspect is the relatively low strength of the yellow mud mortar utilized in these walls, which poses a significant limitation. Enhancing the material properties of the yellow mud mortar while maintaining the cultural integrity of the dwellings, or developing innovative strengthening strategies, presents a valuable avenue for future research. Additionally, a comprehensive analysis of the time-history response of entire Tibetan and Qiang dwellings to seismic events is essential, offering another area for in-depth study.

Author Contributions

Conceptualization, Y.M. and P.G.; methodology, Y.M.; software, P.G., J.L. and B.Y.; investigation, P.G., J.L., Z.W., B.Y., Z.J., F.C. and W.J.; resources, Y.M. and F.C.; data curation, Y.M.; writing—original draft preparation, Y.M.; writing—review and editing, Y.M.; project administration, Y.M. All authors have read and agreed to the published version of the manuscript.

Funding

This research was funded by the Science and Technology Department of Sichuan Province Project Chinese-Tibetan Bilingual Interpretation of Tibetan and Qiang Stone and Wooden Structure House Construction Process (2023JDKP0078).

Data Availability Statement

The data presented in this study are available on request from the corresponding author. The data are not publicly available due to privacy.

Conflicts of Interest

Author Zhijun Jiang was employed by the Chongqing Building Science Research Institute Co., Ltd., Author Feiyang Chen was employed by the China Five Metallurgical Group Co., Ltd. The remaining authors declare that the research was conducted in the absence of any commercial or financial relationships that could be construed as a potential conflict of interest.

References

  1. Xie, K.; Xiong, R.; Bai, Y.; Zhang, M.; Zhang, Y.; Han, W. Traditional Architectural Heritage Conservation and Green Renovation with Eco Materials: Design Strategy and Field Practice in Cultural Tibetan Town. Sustainability 2024, 16, 6834. [Google Scholar] [CrossRef]
  2. Zhang, Y.; Yuan, G.; Shu, Q.; Zhu, M.; Lu, L. Investigation on seismic behavior of RC shear walls with multiple post-construction openings based on experiment and simulation. J. Build. Eng. 2022, 46, 103707. [Google Scholar] [CrossRef]
  3. Wang, B.; Yin, S.; Qu, F.; Wang, F. Comparison and analysis of the seismic performance of windowless and windowed confined masonry walls reinforced with TRC. Structures 2024, 61, 106146. [Google Scholar] [CrossRef]
  4. Liu, Z.; Crewe, A. Effects of size and position of openings on in-plane capacity of unreinforced masonry walls. Bull. Earthq. Eng. 2020, 18, 4783–4812. [Google Scholar] [CrossRef]
  5. Kayırga, O.M.; Altun, F. Investigation of earthquake behavior of unreinforced masonry buildings having different opening sizes: Experimental studies and numerical simulation. J. Build. Eng. 2021, 40, 102666. [Google Scholar] [CrossRef]
  6. Furtado, A.; Rodrigues, H.; Arêde, A. Effect of the Openings on the Seismic Response of an Infilled Reinforced Concrete Structure. Buildings 2022, 12, 2020. [Google Scholar] [CrossRef]
  7. Hwang, S.H.; Kim, S.; Yang, K.H. In-plane lateral load transfer capacity of unreinforced masonry walls considering presence of openings. J. Build. Eng. 2022, 47, 103868. [Google Scholar] [CrossRef]
  8. Li, M.; Zhu, E.; Wang, B.; Zhu, C.; Liu, L.; Yang, W. Study on the seismic performance of rural houses masonry walls with different geometries of open-hole area reduction. Structures 2022, 41, 525–540. [Google Scholar] [CrossRef]
  9. Saeed, A.; Najm, H.M.; Hassan, A.; Qaidi, S.; Sabri, M.M.S.; Mashaan, N.S. A comprehensive study on the effect of regular and staggered openings on the seismic performance of shear walls. Buildings 2022, 12, 1293. [Google Scholar] [CrossRef]
  10. Yu, H.J.; Kang, S.M.; Park, H.G.; Chung, L. Cyclic loading test of structural walls with small openings. Int. J. Concr. Struct. Mater. 2019, 13, 40. [Google Scholar] [CrossRef]
  11. Anil, Ö.; Togay, A.; Işleyen, Ü.K.; Söğütlü, C.; Döngel, N. Hysteretic behavior of timber framed shear wall with openings. Constr. Build. Mater. 2016, 116, 203–215. [Google Scholar] [CrossRef]
  12. Muthukumar, G.; Kumar, M. Influence of openings on the structural response of shear wall. In Advances in Structural Engineering: Materials; Springer: New Delhi, India, 2015; Volume 3, pp. 2209–2239. [Google Scholar]
  13. Lim, N.S.; Chun En, A.T.; Kang Hai, T. Effects of toothed edges and window openings on seismic behaviour of confined masonry walls. Mag. Concrete. Res. 2022, 74, 109–122. [Google Scholar] [CrossRef]
  14. Arabzadeh, A.; Kazemi Nia Korrani, H.R. Numerical and experimental investigation of composite steel shear wall with opening. Int. J. Steel. Struct. 2017, 17, 1379–1389. [Google Scholar] [CrossRef]
  15. Bayraktar, A.; Hökelekli, E.; Türker, T.; Çalik, İ.; Ashour, A.; Mosallam, A. Window opening effects on structural behavior of historical masonry Fatih Mosque. Int. J. Archit. Herit. 2018, 13, 585–599. [Google Scholar] [CrossRef]
  16. Valente, M. Earthquake response and damage patterns assessment of two historical masonry churches with bell tower. Eng. Fail. Anal. 2023, 151, 107418. [Google Scholar] [CrossRef]
  17. Shehu, R. Static and Seismic Safety of the Inclined Tower of Portogruaro: A Preliminary Numerical Approach. Buildings 2024, 14, 2611. [Google Scholar] [CrossRef]
  18. Valente, M. Seismic vulnerability assessment and earthquake response of slender historical masonry bell towers in South-East Lombardia. Eng. Fail. Anal. 2021, 129, 105656. [Google Scholar] [CrossRef]
  19. Pouraminian, M. Multi-hazard reliability assessment of historical brick minarets. J. Build. Pathol. Rehabil. 2022, 7, 10. [Google Scholar] [CrossRef]
  20. Xu, M.; Shi, D.; Zhao, N.; Chen, Z. Effects of scale method on seismic behavior of stone masonry walls. J. Southeast Univ. (Nat. Sci. Ed.) 2013, 43, 1288–1292. [Google Scholar]
  21. Paultre, P.; Légeron, F. Confinement reinforcement design for reinforced concrete columns. J. Struct. Eng. 2008, 134, 738–749. [Google Scholar] [CrossRef]
  22. Turanli, L.; Saritas, A. Strengthening the structural behavior of adobe walls through the use of plaster reinforcement mesh. Constr. Build. Mater. 2011, 25, 1747–1752. [Google Scholar] [CrossRef]
  23. Maio, R.; Estêvão, J.M.; Ferreira, T.M.; Vicente, R. The seismic performance of stone masonry buildings in Faial island and the relevance of implementing effective seismic strengthening policies. Eng. Struct. 2017, 141, 41–58. [Google Scholar] [CrossRef]
  24. Xu, Y. Experimental Study on Seismic Performance of Tibetan and Qiang Residential Stone Walls Constrained by Reinforced Framework System. Master’s Thesis, Sichuan Agricultural University, Chengdu, China, 2021. [Google Scholar]
  25. JGJ70-2009; Standard for Test Method of Basic Properties of Construction Mortar. China Architecture & Building Press: Beijing, China, 2009.
  26. GB/T50129-2011; Ministry of Housing and Urban-Rural Construction of the People’s Republic of China. Standard for Test Method of Basic Mechanics Properties of Masonry. China Architecture & Building Press: Beijing, China, 2011.
  27. GB/T228.1-2021; Metallic Materials—Tensile Testing-Part 1: Method of Test at Room Temperature. National Standardization Administration: Beijing, China, 2021.
  28. GB50924-2014; Ministry of Housing and Urban-Rural Construction of the People’s Republic of China. Code for Construction of Masonry Structures Engineering. China Architecture & Building Press: Beijing, China, 2014.
  29. Fan, Y.; Chen, J.; Shirkey, G.; John, R.; Wu, S.R.; Park, H.; Shao, C. Applications of structural equation modeling (SEM) in ecological studies: An updated review. Ecol. Process. 2016, 5, 19. [Google Scholar] [CrossRef]
  30. JGJ/T101—2015; Ministry of Housing and Urban-Rural Construction of the People’s Republic of China. Specification for Seismic Test of Buildings. China Architecture & Building Press: Beijing, China, 2015.
  31. Yang, W. Constitutive relationship model for masonry materials in compression. Build. Struct. 2008, 10, 80–82. [Google Scholar]
Figure 1. (a) Traditional Tibetan and Qiang dwellings in Li County; (b) Traditional Tibetan and Qiang dwellings in Danba County.
Figure 1. (a) Traditional Tibetan and Qiang dwellings in Li County; (b) Traditional Tibetan and Qiang dwellings in Danba County.
Buildings 14 03829 g001
Figure 2. (a) Schematic diagram of Y-1 wall structure; (b) schematic diagram of Y-2 wall structure.
Figure 2. (a) Schematic diagram of Y-1 wall structure; (b) schematic diagram of Y-2 wall structure.
Buildings 14 03829 g002
Figure 3. (a) Front view of wall; (b) side view of wall. (dimensions in mm).
Figure 3. (a) Front view of wall; (b) side view of wall. (dimensions in mm).
Buildings 14 03829 g003
Figure 4. Y-1 wall masonry process: (a) block placement; (b) crushed stone caulking; (c) yellow mud paving; (d) masonry completed.
Figure 4. Y-1 wall masonry process: (a) block placement; (b) crushed stone caulking; (c) yellow mud paving; (d) masonry completed.
Buildings 14 03829 g004
Figure 5. Y-2 wall masonry process: (a) pouring the bottom beam; (b) wall masonry; (c) window opening design; (d) masonry completed.
Figure 5. Y-2 wall masonry process: (a) pouring the bottom beam; (b) wall masonry; (c) window opening design; (d) masonry completed.
Buildings 14 03829 g005
Figure 6. Horizontal displacement loading system.
Figure 6. Horizontal displacement loading system.
Buildings 14 03829 g006
Figure 7. (a) Schematic diagram of test loading system: (1) gantry longitudinal beam; (2) portal frame pillar; (3) reaction wall; (4) loaded brazier and steel plate; (5) stone wall; (6) floor beam; (7) actuator; (8) vertical stacking; (b) wall test diagram.
Figure 7. (a) Schematic diagram of test loading system: (1) gantry longitudinal beam; (2) portal frame pillar; (3) reaction wall; (4) loaded brazier and steel plate; (5) stone wall; (6) floor beam; (7) actuator; (8) vertical stacking; (b) wall test diagram.
Buildings 14 03829 g007
Figure 8. Y-1 Damage process: (a) crack appearance and expansion; (b) final destruction map; (c) schematic diagram of cracks.
Figure 8. Y-1 Damage process: (a) crack appearance and expansion; (b) final destruction map; (c) schematic diagram of cracks.
Buildings 14 03829 g008
Figure 9. Y-2 Damage process: (a) crack appearance and expansion; (b) final destruction map; (c) schematic diagram of cracks.
Figure 9. Y-2 Damage process: (a) crack appearance and expansion; (b) final destruction map; (c) schematic diagram of cracks.
Buildings 14 03829 g009
Figure 10. Microscopic scanning images of each specimen: (a) yellow mud mortar before loading; (b) yellow mud mortar after loading; (c) schist surface; (d) yellow clay-gneiss bonded surface.
Figure 10. Microscopic scanning images of each specimen: (a) yellow mud mortar before loading; (b) yellow mud mortar after loading; (c) schist surface; (d) yellow clay-gneiss bonded surface.
Buildings 14 03829 g010
Figure 11. (a) Comparison of hysteresis curves of the Y-1 wall and W-1 wall; (b) comparison of hysteresis curves of the Y-2 wall and W-2 wall.
Figure 11. (a) Comparison of hysteresis curves of the Y-1 wall and W-1 wall; (b) comparison of hysteresis curves of the Y-2 wall and W-2 wall.
Buildings 14 03829 g011
Figure 12. (a) Comparison of Y-1 wall and W-1 wall skeleton curves; (b) comparison of Y-2 wall and W-2 wall skeleton curves.
Figure 12. (a) Comparison of Y-1 wall and W-1 wall skeleton curves; (b) comparison of Y-2 wall and W-2 wall skeleton curves.
Buildings 14 03829 g012
Figure 13. (a) Comparison of the stiffness degradation curves of the Y-1 wall and the W-1 wall; (b) comparison of the stiffness degradation curves of the Y-2 wall and the W-2 wall.
Figure 13. (a) Comparison of the stiffness degradation curves of the Y-1 wall and the W-1 wall; (b) comparison of the stiffness degradation curves of the Y-2 wall and the W-2 wall.
Buildings 14 03829 g013
Figure 14. (a) Comparison of cumulative energy dissipation for the Y-1 and W-1 walls; (b) comparison of cumulative energy dissipation for the Y-2 and W-2 walls.
Figure 14. (a) Comparison of cumulative energy dissipation for the Y-1 and W-1 walls; (b) comparison of cumulative energy dissipation for the Y-2 and W-2 walls.
Buildings 14 03829 g014
Figure 15. (a) Stress diagram for Y-1 displacement of 20 mm (Unit: MPa); (b) stress diagram for Y-1 displacement of −20 mm (Unit: MPa); (c) Y-1 final tensile damage diagram; (d) Y-1 final compression damage diagram.
Figure 15. (a) Stress diagram for Y-1 displacement of 20 mm (Unit: MPa); (b) stress diagram for Y-1 displacement of −20 mm (Unit: MPa); (c) Y-1 final tensile damage diagram; (d) Y-1 final compression damage diagram.
Buildings 14 03829 g015
Figure 16. (a) Comparison of the skeleton curves between the Y-1 wall test and the simulation; (b) comparison of the stiffness degradation curves between the Y-1 wall test and the simulation.
Figure 16. (a) Comparison of the skeleton curves between the Y-1 wall test and the simulation; (b) comparison of the stiffness degradation curves between the Y-1 wall test and the simulation.
Buildings 14 03829 g016
Figure 17. (a) Skeleton curves; (b) stiffness degradation curves.
Figure 17. (a) Skeleton curves; (b) stiffness degradation curves.
Buildings 14 03829 g017
Figure 18. (a) Skeleton curves; (b) stiffness degradation curves.
Figure 18. (a) Skeleton curves; (b) stiffness degradation curves.
Buildings 14 03829 g018
Figure 19. (a) Skeleton curves; (b) stiffness degradation curves.
Figure 19. (a) Skeleton curves; (b) stiffness degradation curves.
Buildings 14 03829 g019
Table 1. Details of specimens.
Table 1. Details of specimens.
Serial NumberLength × Height × Thickness (mm)Window Opening Size (mm)Anti-Seismic Measures
Y-12000 × 1400 × 300200 × 450
Y-22000 × 1400 × 300200 × 450Reinforced skeleton
Table 2. Load and displacement parameters at each stage.
Table 2. Load and displacement parameters at each stage.
Test PiecePcr/kNΔcr/mmPy/kNΔy/mmPm/kNΔm/mmPu/kNΔu/mmμyθu
W-110.071.7513.482.8019.4920.0018.1928.0010.001/50
Y-18.351.7512.252.8015.8314.0015.0520.007.141/70
W-223.852.8038.705.6074.0435.0073.7146.708.341/33
Y-234.102.8038.755.6068.4620.0046.9146.708.341/33
Note: Pcr, Py, Pm, and Pu are the horizontal loads corresponding to the cracked, yielded, ultimate, and damaged states of the specimen; Δcr, Δy, Δm, and Δu are the horizontal displacements corresponding to the cracked, yielded, ultimate, and damaged states of the specimen; μy is the ductility coefficient of the specimen, and θu is the ultimate displacement of the specimen.
Table 3. Simulation variable parameters.
Table 3. Simulation variable parameters.
Hole Size (mm)Hole ShapeHole Height-to-Width Ratio
200 × 200Square1:1
250 × 250Rectangular1:1.5
300 × 300Isosceles trapezoid1.5:1
400 × 400Orbicular1:2.25
500 × 500Isosceles triangle
Disclaimer/Publisher’s Note: The statements, opinions and data contained in all publications are solely those of the individual author(s) and contributor(s) and not of MDPI and/or the editor(s). MDPI and/or the editor(s) disclaim responsibility for any injury to people or property resulting from any ideas, methods, instructions or products referred to in the content.

Share and Cite

MDPI and ACS Style

Mo, Y.; Guo, P.; Lu, J.; Wu, Z.; Yang, B.; Jiang, Z.; Chen, F.; Jiang, W. Study on the Influence of Window Openings on Seismic Performance of Stone Walls of Tibetan and Qiang Dwellings. Buildings 2024, 14, 3829. https://doi.org/10.3390/buildings14123829

AMA Style

Mo Y, Guo P, Lu J, Wu Z, Yang B, Jiang Z, Chen F, Jiang W. Study on the Influence of Window Openings on Seismic Performance of Stone Walls of Tibetan and Qiang Dwellings. Buildings. 2024; 14(12):3829. https://doi.org/10.3390/buildings14123829

Chicago/Turabian Style

Mo, You, Pan Guo, Jun Lu, Zhuohui Wu, Baoshan Yang, Zhijun Jiang, Feiyang Chen, and Wenxi Jiang. 2024. "Study on the Influence of Window Openings on Seismic Performance of Stone Walls of Tibetan and Qiang Dwellings" Buildings 14, no. 12: 3829. https://doi.org/10.3390/buildings14123829

APA Style

Mo, Y., Guo, P., Lu, J., Wu, Z., Yang, B., Jiang, Z., Chen, F., & Jiang, W. (2024). Study on the Influence of Window Openings on Seismic Performance of Stone Walls of Tibetan and Qiang Dwellings. Buildings, 14(12), 3829. https://doi.org/10.3390/buildings14123829

Note that from the first issue of 2016, this journal uses article numbers instead of page numbers. See further details here.

Article Metrics

Back to TopTop