Effects of Soil–Structure Interaction on the Seismic Response of RC Frame–Shear Wall Building Structures Under Far-Field Long-Period Ground Motions
Abstract
1. Introduction
2. Structural Modeling and Ground Motion Selection
2.1. Structural Modeling and Validation
2.2. Ground Motion Selection and Amplitude Modulation
3. Seismic Response of RC Frame–Shear Wall Structures Considering SSI
3.1. Floor Displacement
3.2. Inter-Story Drift Ratio
3.3. Floor Shear
3.4. Base Shear
3.5. The Influence of Structural Frequency–Feature on Seismic Response Considering SSI Effect
4. Influence Mechanism of SSI on Structural Seismic Response
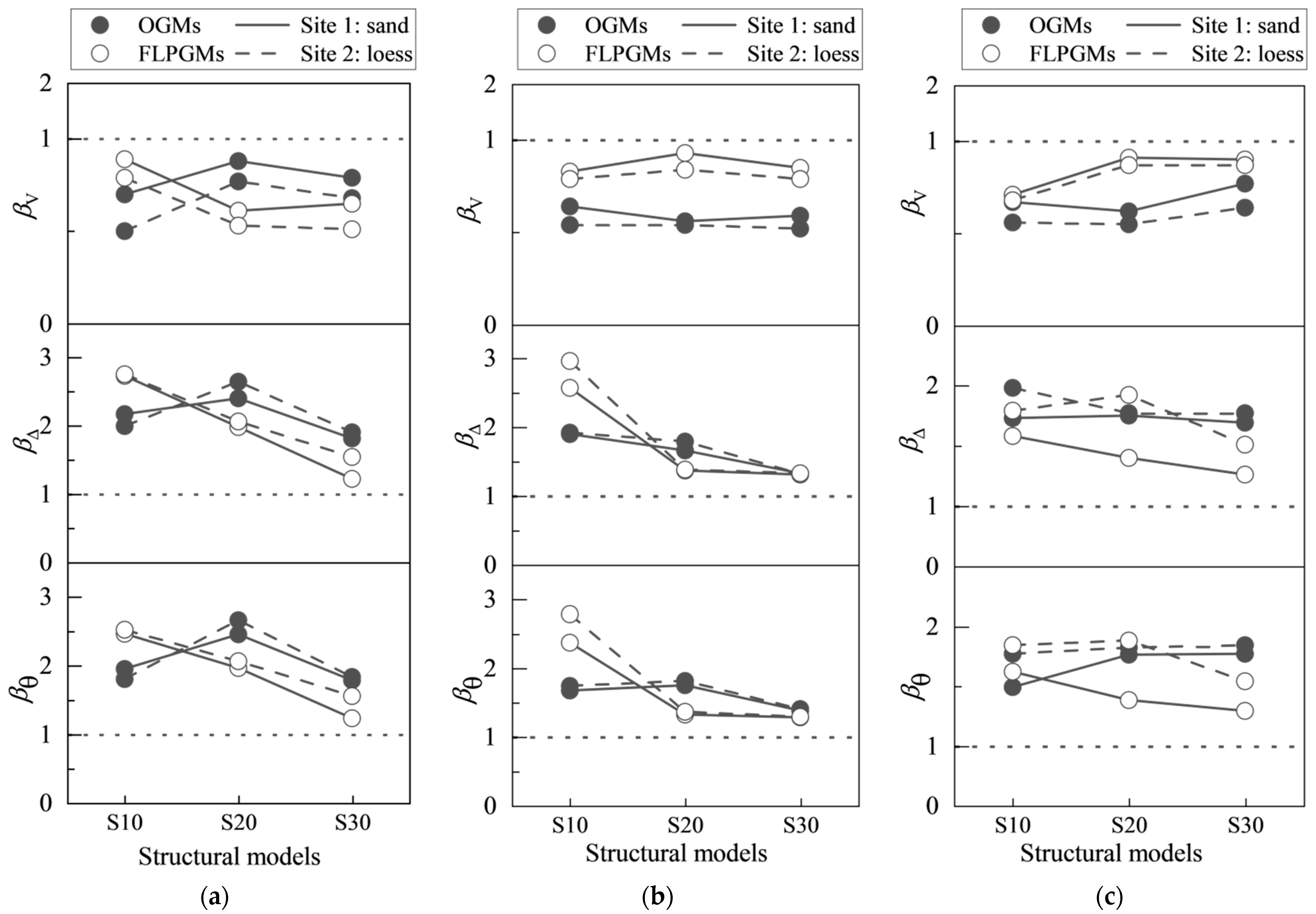
4.1. Quantitative Analysis of the SSI Effect on Structural Seismic Response
4.1.1. SSI Influence Coefficient of Floor Displacement
4.1.2. SSI Influence Coefficient of Inter-Story Drift Ratio
4.1.3. SSI Influence Coefficient of Floor Shear
4.2. SSI Effect on the Maximum Response Under Far-Field Long-Period Ground Motions
4.3. Influence Mechanism of Far-Field Long-Period Ground Motions on Structural Response
5. Conclusions
- (1)
- The SSI effect increases the floor displacement and the maximum inter-story drift ratio. The displacement amplification is aggravated for the longer-period structures subjected to far-field long-period ground motions with a high PGA. The unfavorable impact of far-field long-period ground motions on structures with longer periods is more pronounced, both with and without the SSI effect. This can be attributed to the resonance motivated by the coupling of far-field long-period ground motions with the SSI effect.
- (2)
- Considering the SSI effect, the floor shear force decreases. The SSI effect has a greater influence on the force response of high-rise buildings with longer periods. In the current code, the SSI effect is considered by reducing the designed shear force on the assumed rigid base. As a result, the structures are designed with reduced resistance. However, the SSI effect amplifies the displacement response, especially for the longer-period structures on softer soil under the strong far-field long-period ground motions. This is unfavorable for the seismic safety and resilience. That is to say, shear force reduction may not be applicable to the structural design considering the SSI effect under far-field long-period ground motions.
- (3)
- Loess soil (Site 2) has a more remarkable effect on the seismic response than sand soil (Site 1) for both far-field long-period and ordinary ground motions. Due to the low-frequency characteristics of far-field long-period ground motions and the structural period extension considering SSI, the resonance at the softer soil site is more pronounced.
- (4)
- The SSI effect can reduce the structural frequency, especially for the structures with a lower number of floors on the softer soil site. The decrease in the structural frequency means an increase in the structural period. This is unfavorable for the structures under far-field long-period ground motions.
- (5)
- The SSI influence coefficients of the base shear on two site conditions under far-field long-period and ordinary ground motions with different PGA levels are all less than 1 (ranging from 0.5 to 1), while those of the top displacement and the maximum inter-story drift ratio are all greater than 1 (less than 3). The SSI has a beneficial effect on the base shear, but an unfavorable effect on the top displacement and the maximum inter-story drift ratio. The “bimodal characteristics” of the acceleration response spectrum for far-field long-period ground motions make it possible for the structure to have an SSI influence coefficient of the base shear greater than 1.
Author Contributions
Funding
Data Availability Statement
Conflicts of Interest
References
- Koketsu, K.; Miyake, H. A seismological overview of long-period ground motion. J. Seismol. 2008, 12, 133–143. [Google Scholar] [CrossRef]
- Beck, J.L.; Hall, J.F. Factors contributing to the catastrophe in Mexico City during the earthquake of September 19, 1985. Geophys. Res. Lett. 1986, 13, 593–596. [Google Scholar] [CrossRef]
- Fletcher, J.B.; Wen, K.L. Strong ground motion in the Taipei basin from the 1999 Chi-Chi, Taiwan, earthquake. Bull. Seismol. Soc. Am. 2005, 95, 1428–1446. [Google Scholar] [CrossRef]
- Koketsu, K.; Hatayama, K.; Furumura, T.; Ikegami, Y.; Akiyama, S. Damaging long-period ground motions from the 2003 Mw 8.3 Tokachi-oki, Japan Earthquake. Seismol. Res. Lett. 2005, 76, 67–73. [Google Scholar] [CrossRef]
- Takewaki, I.; Murakami, S.; Fujita, K.; Yoshitomi, S.; Yoshitomi, M. The 2011 off the Pacific coast of Tohoku earthquake and response of high-rise buildings under long-period ground motions. Soil Dyn. Earthq. Eng. 2011, 31, 1511–1528. [Google Scholar] [CrossRef]
- Furumura, T.; Hayakawa, T. Anomalous propagation of long-period ground motions recorded in Tokyo during the 23 October 2004 Mw 6.6 Niigata-ken Chuetsu, Japan, Earthquake. Bull. Seismol. Soc. Am. 2007, 97, 863–880. [Google Scholar] [CrossRef]
- Liang, X.W.; Dong, Z.P.; Wang, Y.S.; Deng, M.K. Damage to tall buildings in areas with large epicentral distance during M8.0 Wenchuan Earthquake. J. Earthq. Eng. Eng. Vib. 2009, 29, 24–31. (In Chinese) [Google Scholar] [CrossRef]
- Yoshimoto, K.; Takemura, S. A study on the predominant period of long-period ground motions in the Kanto Basin, Japan. Earth Planets Space 2014, 66, 100. [Google Scholar] [CrossRef]
- Zhang, Z.H.; Liu, Q.S. Seismic responses of super high-rise buildings under long-period ground motions. Eng. Struct. 2023, 294, 116824. [Google Scholar] [CrossRef]
- Chen, H.C.; Tsai, V.C.; Niu, F.L. Observations and Modeling of Long-Period Ground-Motion Amplification Across Northeast China. Geophys. Res. Lett. 2018, 45, 5968–5976. [Google Scholar] [CrossRef]
- Furumura, T.; Kennett, B.L.N. Unusual Strong Ground Motion Across Japan From the 680 km Deep 30 May 2015 Ogasawara Islands Earthquake. J. Geophys. Res. Solid Earth 2017, 122, 8143–8162. [Google Scholar] [CrossRef]
- Zhou, F.; Cui, H.; Shigetaka, A.B.E.; Lü, X.; Sun, Y.; Li, Z.; Li, A.; Feng, D.; Li, Y.; Xue, S.; et al. Inspection report of the disaster of the East Japan earthquake by Sino-Japanese joint mission. Build. Struct. 2012, 42, 1–20. (In Chinese) [Google Scholar] [CrossRef]
- Abouelsaad, M.N.; Shaaban, M.; El Bagalaty, S.; El Madawy, M.E. Comparison between seismic analysis of twisting and regular 52-story towers considering soil-structure interaction. Earthq. Eng. Eng. Vib. 2024, 23, 663–675. [Google Scholar] [CrossRef]
- Forcellini, D. Seismic fragility of tall buildings considering soil structure interaction (SSI) effects. Structures 2022, 45, 999–1011. [Google Scholar] [CrossRef]
- Forcellini, D. Analytical fragility curves of shallow-founded structures subjected to Soil-Structure Interaction (SSI) effects. Soil Dyn. Earthq. Eng. 2020, 141, 106487. [Google Scholar] [CrossRef]
- Bolisetti, C.; Whittaker, A.S. Numerical investigations of structure-soil-structure interaction in buildings. Eng. Struct. 2020, 215, 110709. [Google Scholar] [CrossRef]
- Askouni, P.K.; Karabalis, D.L. SSI influence on the seismic response of asymmetrical small, low-rise R/C buildings. Structures 2021, 32, 1355–1373. [Google Scholar] [CrossRef]
- Fatollahpour, A.; Tafakori, E.; Arjmandi, S.A.A. The effects of structure-soil-structure interaction on seismic response of high-rise buildings equipped with optimized tuned mass damper. Structures 2023, 50, 998–1010. [Google Scholar] [CrossRef]
- Dassault Systèmes. ABAQUS Analysis User’s Manual; Dassault Systèmes: New York, NY, USA, 2016. [Google Scholar]
- Ministry of Housing and Urban-Rural Development of China. Code for Design of Concrete Structures (GB50010-2010) (2015 Edition), 1st ed.; China Construction Industry Press: Beijing, China, 2016. (In Chinese) [Google Scholar]
- Ministry of Housing and Urban-Rural Development of China. Revised provisions (2024 edition) of the Code for Seismic Design of Buildings (GB 50011-2010) (2016 edition). Stand. Eng. Constr. 2024, 9, 72–79. (In Chinese) [Google Scholar] [CrossRef]
- Ministry of Housing and Urban-Rural Development of China. Technical Specification for Concrete Structures of Tall Building (JGJ 3-2010), 1st ed.; Construction Industry Publishing House: Beijing, China, 2010. (In Chinese) [Google Scholar]
- Archer, J.S. Consistent Matrix Formulations for Structural Analysis using Finite-Element Techniques. Am. Inst. Aeronaut. Astronaut. J. 1965, 3, 1910–1918. [Google Scholar] [CrossRef]
- Cowper, R.G. The Shear Coefficient in Timoshenko’s Beam Theory. J. Appl. Mech. 1966, 33, 335–340. [Google Scholar] [CrossRef]
- Drucker, D.C.; Prager, W. Soil mechanics and plastic analysis of limit design. Q. Appl. Math. 1952, 10, 157–165. [Google Scholar] [CrossRef]
- Li, P.; Xie, W.L.; Pak, R.Y.S.; Vanapalli, S.K. Microstructural evolution of loess soils from the Loess Plateau of China. Catena 2018, 173, 276–288. [Google Scholar] [CrossRef]
- Luo, Z. Seismic Response Analysis of High-rise Framework Considering Soil-Structure Interaction. Master’s Thesis, Huazhong University of Science and Technology, Wuhan, China, January 2012. (In Chinese). [Google Scholar]
- Li, Z.Q. Earthquake response analysis of Historical Timber Buildings Considering Soil-Structure Interaction. Master’s Thesis, Xi’an University of Architecture and Technology, Xi’an, China, 2008. (In Chinese). [Google Scholar]
- Bracci, J.M.; Reinhorn, A.M.; Mander, J.B. Seismic Resistance of Reinforced Concrete Frame Structures Designed Only for Gravity Loads: Part I—Design and Properties of One-Third Scale Model Structure; Technical Report NCEER (92-0027); State University of New York at Buffalo, U.S.: Buffalo, NY, USA, 1992. [Google Scholar]
- Bracci, J.M.; Reinhorn, A.M.; Mander, J.B. Seismic Resistance of Reinforced Concrete Frame Structures Designed Only for Gravity Loads: Part III—Experimental Performance and Analytical Study of a Structural Model; Technical Report NCEER (92-0029); State University of New York at Buffalo, U.S.: Buffalo, NY, USA, 1992. [Google Scholar]
- Sargent, R.G. Verification and validation of simulation models. J. Simul. 2013, 7, 12–24. [Google Scholar] [CrossRef]
- Zhang, S.; Lu, X.L.; Zhang, H.M. Experimental and analytical studies on the ultimate displacement of RC shear walls. China Civ. Eng. J. 2009, 42, 10–16. (In Chinese) [Google Scholar]
- Li, Y.S.; Bai, C.T.; Tang, Z.Y. Effects of soil-structure interaction on seismic collapse resistance of mass-irregular steel frames. China Civ. Eng. J. 2020, 53, 22–27. (In Chinese) [Google Scholar] [CrossRef]
- Ghotbi, A.R.; Taciroglu, E. Effects of conditioning criteria for ground motion selection on the probabilistic seismic responses of reinforced concrete buildings. Earthq. Eng. Struct. Dyn. 2020, 50, 1414–1428. [Google Scholar] [CrossRef]
- Sinkovic, N.L.; Dolsek, M.; Zizmond, J. Impact of the type of the target response spectrum for ground motion selection and of the number of ground motions on the pushover-based seismic performance assessment of buildings. Eng. Struct. 2018, 175, 731–742. [Google Scholar] [CrossRef]
- Dhakal, R.P.; Mander, J.B.; Mashiko, N. Identification of critical ground motions for seismic performance assessment of structures. Earthq. Eng. Struct. Dyn. 2006, 35, 989–1008. [Google Scholar] [CrossRef]
- Li, X.; Wang, W.; Wu, D.; Xu, X.; Li, Z.; Li, Y. The bounded method and characteristics analysis for long-period ground motions. J. Vib. Eng. 2014, 27, 685–692. (In Chinese) [Google Scholar] [CrossRef]
- Wang, B.; Liu, B.Q.; Wu, T.; Bai, G.L. Analysis of low-frequency pulse characteristics and response spectrum for long-period ground motions. J. Earthq. Eng. Eng. Vib. 2018, 38, 142–151. (In Chinese) [Google Scholar]
- Cao, G.R.; Wang, B.; Yang, K.; Li, Z.; Liu, B.Q. Analysis of the Bimodal Characteristics of Acceleration Response Spectra of Far-field Harmonic-like Ground Motions. J. Disaster Prev. Mitig. Eng. 2022, 42, 480–489+498. (In Chinese) [Google Scholar]



























| Site Type | Soil Layer | Thickness (m) | Density (kg/m3) | Elastic Modulus (MPa) | Poisson Ratio | Internal Friction Angle (°) | Shear Modulus (MPa) | Cohesion (MPa) | 
|---|---|---|---|---|---|---|---|---|
| Site 1 (sand soil) | Sand 1 | 6 | 2000 | 94.08 | 0.20 | 15.0 | 39.20 | 25 × 10−3 | 
| Sand 2 | 6 | 2100 | 113.40 | 0.20 | 20.0 | 47.25 | 35 × 10−3 | |
| Sand 3 | 24 | 2200 | 135.17 | 0.20 | 25.0 | 56.32 | 45 × 10−3 | |
| Site 2 (loess soil) | Loess 1 | 6 | 1830 | 75.50 | 0.31 | 27.1 | 28.80 | 26.5 × 10−3 | 
| Loess 2 | 6 | 1880 | 66.10 | 0.33 | 20.5 | 24.80 | 25.5 × 10−3 | |
| Loess 3 | 24 | 1980 | 83.70 | 0.30 | 19.5 | 32.20 | 55.5 × 10−3 | 
| Period (s) | The First Mode | The Second Mode | The Third Mode | 
|---|---|---|---|
| Test results | 0.568 | 0.188 | 0.127 | 
| ABAQUS results | 0.575 | 0.179 | 0.123 | 
| Error (%) | 1.2% | 4.8% | 3.1% | 
| Number | Station-Component | Epicentral Distance (km) | Site Condition | PGA (cm/s2) | PGV (cm/s) | PGD (cm) | Recording Duration (s) | 
|---|---|---|---|---|---|---|---|
| 1 | CHY002-EW | 43.97 | E | 108.18 | 42.81 | 38.29 | 150.00 | 
| 2 | CHY004-NS | 71.63 | E | 93.46 | 14.73 | 15.84 | 150.00 | 
| 3 | CHY016-NS | 97.59 | E | 104.73 | 16.31 | 15.35 | 150.00 | 
| 4 | CHY076-EW | 63.53 | E | 61.07 | 23.08 | 20.66 | 90.00 | 
| 5 | CHY093-EW | 71.92 | E | 52.73 | 19.94 | 15.10 | 150.00 | 
| 6 | CHY093-NS | 71.92 | E | 64.52 | 14.37 | 17.48 | 150.00 | 
| 7 | ILA003-NS | 143.65 | E | 63.17 | 19.11 | 11.27 | 134.00 | 
| 8 | ILA005-NS | 137.44 | D | 78.81 | 15.63 | 11.60 | 171.00 | 
| 9 | ILA055-NS | 140.81 | E | 68.04 | 23.34 | 20.89 | 203.00 | 
| 10 | ILA059-NS | 136.25 | E | 57.33 | 11.48 | 12.52 | 153.00 | 
| 11 | TCU031-NS | 80.09 | D | 104.32 | 46.95 | 28.11 | 90.00 | 
| 12 | CHY082-NS | 55.03 | E | 61.01 | 20.94 | 24.75 | 90.00 | 
| 13 | ILA030-NS | 136.15 | E | 69.92 | 18.67 | 10.10 | 90.00 | 
| 14 | ILA032-NS | 133.67 | D | 39.65 | 8.64 | 2.40 | 89.01 | 
| 15 | ILA042-NS | 135.89 | E | 57.79 | 12.88 | 10.71 | 90.00 | 
| 16 | TAP012-EW | 151.24 | E | 60.14 | 19.11 | 14.59 | 127.00 | 
| 17 | TCU010-EW | 132.38 | C | 74.86 | 33.20 | 41.06 | 90.00 | 
| 18 | TCU117-EW | 48.33 | E | 97.98 | 43.52 | 33.80 | 90.00 | 
| 19 | TCU118-EW | 43.76 | E | 65.92 | 27.18 | 22.43 | 90.00 | 
| 20 | TCU118-NS | 43.76 | E | 88.55 | 29.40 | 30.06 | 90.00 | 
| Number | Station-Component | Epicentral Distance (km) | Site Condition | PGA (cm/s2) | PGV (cm/s) | PGD (cm) | Recording Duration (s) | 
|---|---|---|---|---|---|---|---|
| 1 | COALINGA | 23.80 | B | 91.72 | 4.96 | 1.92 | 39.94 | 
| 2 | TIANJIN-NS | 31.60 | C | 145.8 | 26.44 | 5.21 | 19.19 | 
| 3 | ELC270 | 12.98 | D | 233.49 | 31.30 | 18.45 | 40.00 | 
| 4 | EL-centro | 12.98 | D | 293.42 | 31.39 | 21.17 | 31.02 | 
| 5 | TAFT | 38.40 | C | 175.90 | 16.97 | 8.04 | 54.18 | 
| 6 | TABS | 11.80 | B | 179.35 | 11.70 | 5.31 | 23.78 | 
| 7 | KOBE | 22.50 | C | 241.98 | 18.74 | 6.36 | 40.94 | 
| 8 | ELC180 | 26.20 | C | 306.62 | 29.33 | 13.17 | 39.94 | 
| 9 | GRA074 | 31.20 | C | 64.88 | 7.08 | 13.14 | 39.94 | 
| 10 | CHALFANTB-BEN270 | 18.3 | C | 58.88 | 3.02 | 1.05 | 17.56 | 
| 11 | KERN-COUNTY | 42.30 | C | 174.24 | 17.86 | 11.69 | 54.14 | 
| 12 | NORTHRIDGE | 19.60 | C | 341.42 | 28.59 | 11.79 | 29.94 | 
| 13 | PETROLIA | 25.80 | B | 578.14 | 39.79 | 38.01 | 59.82 | 
| 14 | SANTA-MONICA | 17.30 | B | 362.62 | 25.33 | 31.70 | 59.82 | 
| 15 | SMART133O07EW | 54.20 | C | 56.34 | 2.82 | 0.85 | 15.64 | 
| 16 | WHITTIER-NARROWS | 23.10 | B | 214.47 | 8.93 | 1.66 | 39.96 | 
| 17 | CHY036-EW | 16.04 | C | 266.36 | 40.66 | 14.99 | 89.00 | 
| 18 | CHY042-EW | 27.47 | D | 97.54 | 14.79 | 12.53 | 89.00 | 
| 19 | HWA022-EW | 58.76 | C | 118.68 | 14.22 | 12.02 | 76.00 | 
| 20 | HWA022-NS | 63.21 | C | 80.26 | 10.89 | 14.42 | 120.00 | 
| Structural Frequency (Hz) | S10 Structure | S20 Structure | S30 Structure | ||||||
|---|---|---|---|---|---|---|---|---|---|
| Rigid Base | Site 1 | Site 2 | Rigid Base | Site 1 | Site 2 | Rigid Base | Site 1 | Site 2 | |
| First mode (x-direction) | 1.76305 | 0.66637 | 0.55244 | 0.84460 | 0.57687 | 0.51871 | 0.48345 | 0.32837 | 0.29859 | 
| Second mode (y-direction) | 1.76523 | 0.66641 | 0.55249 | 0.90861 | 0.63525 | 0.55103 | 0.53590 | 0.37670 | 0.34329 | 
| Third mode (torsion) | 2.98240 | 0.66646 | 0.55354 | 1.44100 | 0.66193 | 0.55136 | 0.89475 | 0.66194 | 0.55103 | 
| Disclaimer/Publisher’s Note: The statements, opinions and data contained in all publications are solely those of the individual author(s) and contributor(s) and not of MDPI and/or the editor(s). MDPI and/or the editor(s) disclaim responsibility for any injury to people or property resulting from any ideas, methods, instructions or products referred to in the content. | 
© 2024 by the authors. Licensee MDPI, Basel, Switzerland. This article is an open access article distributed under the terms and conditions of the Creative Commons Attribution (CC BY) license (https://creativecommons.org/licenses/by/4.0/).
Share and Cite
Yang, K.; Cai, P.; Zhang, Z.; Hou, Q.; Zheng, R.; Hao, B.; Wang, B. Effects of Soil–Structure Interaction on the Seismic Response of RC Frame–Shear Wall Building Structures Under Far-Field Long-Period Ground Motions. Buildings 2024, 14, 3796. https://doi.org/10.3390/buildings14123796
Yang K, Cai P, Zhang Z, Hou Q, Zheng R, Hao B, Wang B. Effects of Soil–Structure Interaction on the Seismic Response of RC Frame–Shear Wall Building Structures Under Far-Field Long-Period Ground Motions. Buildings. 2024; 14(12):3796. https://doi.org/10.3390/buildings14123796
Chicago/Turabian StyleYang, Ke, Pengrong Cai, Zixuan Zhang, Qinglin Hou, Ruige Zheng, Bin Hao, and Bo Wang. 2024. "Effects of Soil–Structure Interaction on the Seismic Response of RC Frame–Shear Wall Building Structures Under Far-Field Long-Period Ground Motions" Buildings 14, no. 12: 3796. https://doi.org/10.3390/buildings14123796
APA StyleYang, K., Cai, P., Zhang, Z., Hou, Q., Zheng, R., Hao, B., & Wang, B. (2024). Effects of Soil–Structure Interaction on the Seismic Response of RC Frame–Shear Wall Building Structures Under Far-Field Long-Period Ground Motions. Buildings, 14(12), 3796. https://doi.org/10.3390/buildings14123796
 
        


 
       