Seismic Analysis of Non-Regular Structures Based on Fragility Curves: A Study on Reinforced Concrete Frames †
Abstract
1. Introduction
2. Examined RC Structures and Method of Analysis
2.1. Preliminary Design Assumptions
2.2. Structural Numerical Modeling
2.3. Seismic Analysis
- Record-to-record variability;
 - Variability in mechanical properties;
 - Variability in performance level capacity thresholds;
 - Model parameter variability.
 
3. Seismic Performance Assessment
3.1. Intensity Measure Selection
3.2. Definition of Engineering Demand Parameter
3.3. Performance Level Selection
3.4. Record Selection
- (i)
 - the chosen records should span a wide range of the selected intensity measure, such as spectral acceleration values;
 - (ii)
 - a substantial portion (approximately 30%) of the selected records should lead to an exceedance of the designated EDP limit state threshold (to minimize the need for extrapolation in regression);
 - (iii)
 - the selection of more than 10% of the total records from the same seismic event should be avoided.
 
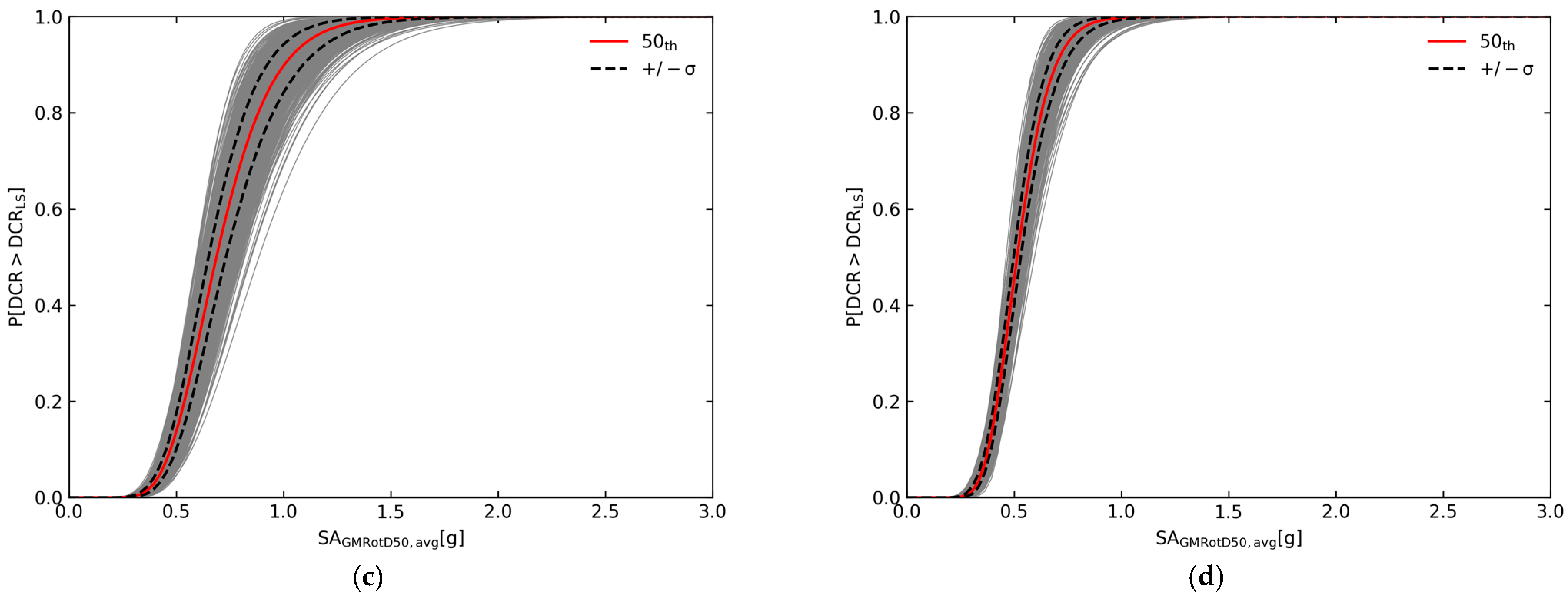
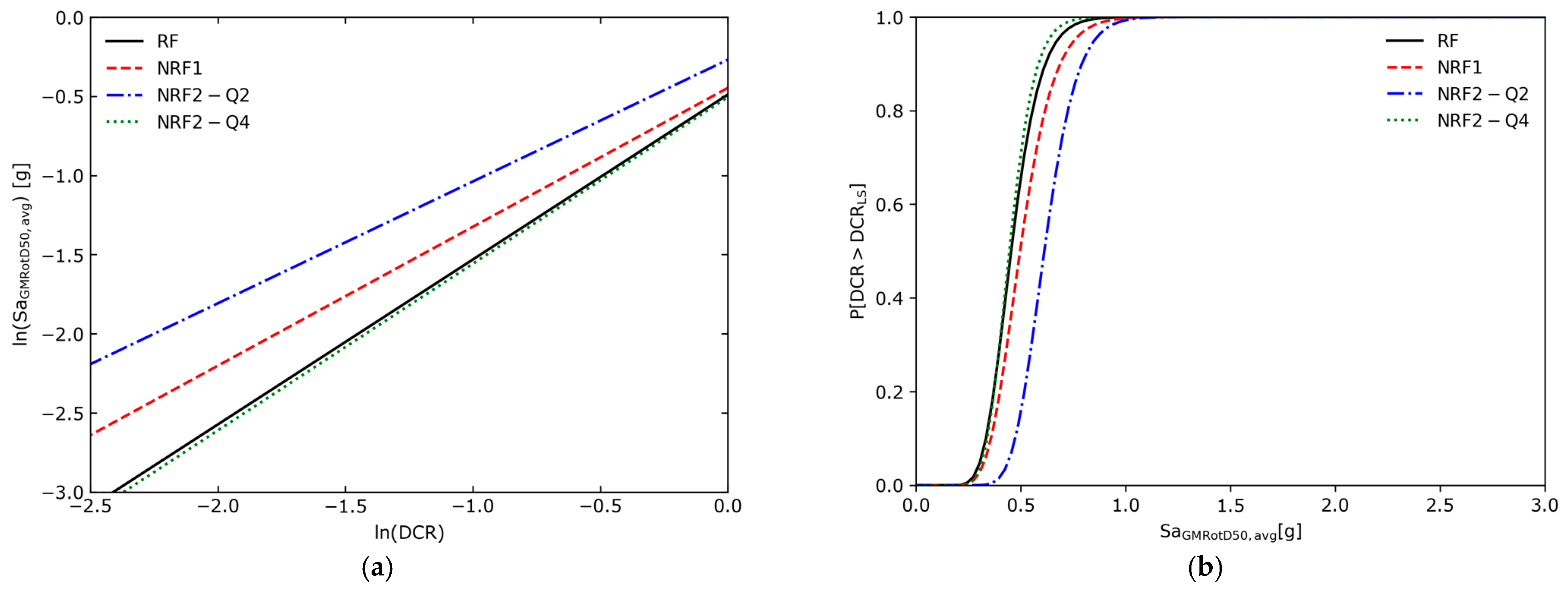
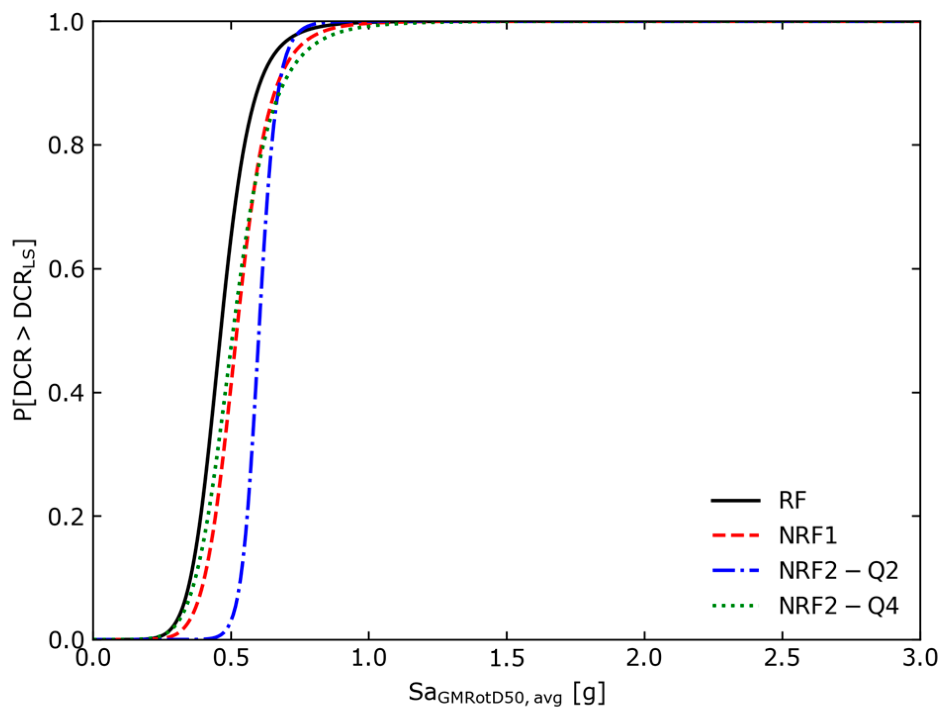
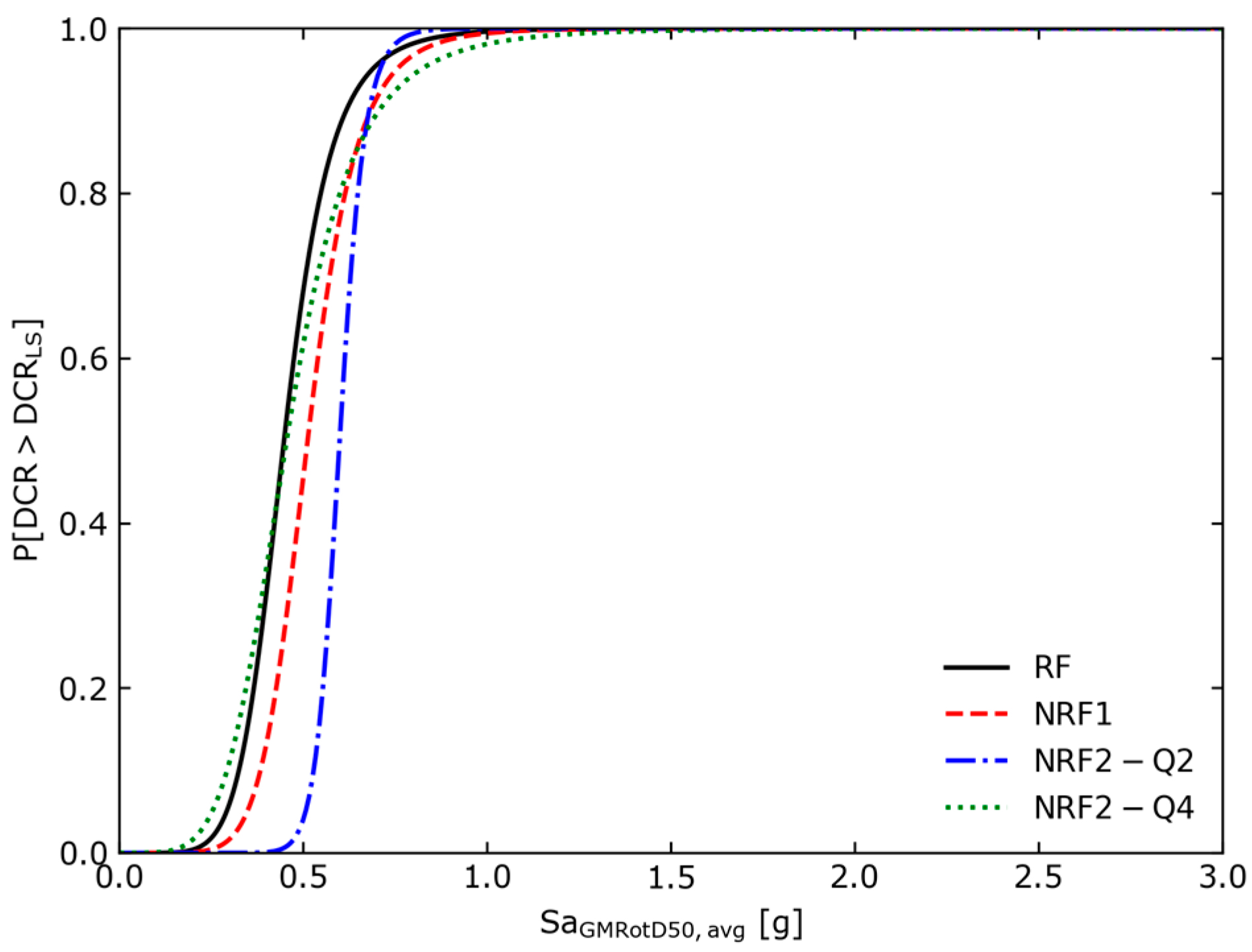
3.5. Fragility Development
4. Discussion of the Results
5. Conclusions
Author Contributions
Funding
Data Availability Statement
Conflicts of Interest
References
- Chopra, A.K. Dynamics of Structures–Theory and Applications to Earthquake Engineering, Fifth Edition in SI Units; Pearson: London, UK, 2020. [Google Scholar]
 - Fardis, M.N. Seismic Design, Assessment and Retrofitting of Concrete Buildings; Springer: Dordrecht, The Netherlands, 2009. [Google Scholar]
 - Anderson, R.W. The San Salvador Earthquake of October 10, 1986—Review of building damage. Earthq. Spectra 1987, 3, 497–541. [Google Scholar] [CrossRef]
 - Ellingwood, B.; Brady, A.G. An Investigation of the Miyagi-Ken-Oki, Japan, Earthquake of June 12, 1978; National Institute of Standards and Technology: Gaithersburg, MD, USA, 1980. [Google Scholar]
 - Elnashai, A.S.; Gencturk, B.; Kwon, O.-S.; Al-Qadi, I.L.; Hashash, Y.; Roesler, J.R.; Kim, S.J.; Jeong, S.-H.; Dukes, J.; Valdivia, A. The Maule (Chile) Earthquake of February 27, 2010: Consequence Assessment and Case Studies; Mid-America Earthquake Center: Urbana-Champaign, IL, USA, 2010. [Google Scholar]
 - Rosenblueth, E. The 1985 Earthquake: Causes and Effects in Mexico City; National Reconstruction Commission, Committee Mexico City’s Metropolitan Area: Mexico City, Mexico, 1986. [Google Scholar]
 - ICC. 2018 IBC SEAOC Structural/Seismic Design Manual Volume 3: Examples for Concrete Buildings: ICC: 9781609839987. Dubai: United Arab Emirates. Available online: https://www.amazon.com/SEAOC-Structural-Seismic-Design-Manual/dp/1609839986 (accessed on 20 November 2024).
 - Ministero delle Infrastrutture e dei Trasporti, Governo della Repubblica Italiana. Aggiornamento delle: Norme tecniche per le costruzioni. Gazz. Uff. Repubb. Ital. 2018. Available online: https://www.gazzettaufficiale.it/eli/id/2018/2/20/18A00716/sg (accessed on 20 November 2024).
 - CEN. EN 1998-3; Eurocode 8: Design of Structures for Earthquake Resistance–Part 3: Assessment and Retrofitting of Buildings. European Committee for Standardization (CEN): Brussels, Belgium, 2005.
 - Rota, M.; Penna, A.; Strobbia, C.L. Processing Italian damage data to derive typological fragility curves. Soil Dyn. Earthq. Eng. 2008, 28, 933–947. [Google Scholar] [CrossRef]
 - Lagomarsino, S.; Giovinazzi, S. Macroseismic and mechanical models for the vulnerability and damage assessment of current buildings. Bull. Earthq. Eng. 2006, 4, 415–443. [Google Scholar] [CrossRef]
 - Del Gaudio, C.; De Martino, G.; Di Ludovico, M.; Manfredi, G.; Prota, A.; Ricci, P.; Verderame, G.M. Empirical fragility curves for masonry buildings after the 2009 L’Aquila, Italy, Earthquake. Bull. Earthq. Eng. 2019, 17, 6301–6330. [Google Scholar] [CrossRef]
 - Moon, D.-S.; Lee, Y.-J.; Lee, S. Fragility analysis of space reinforced concrete frame structures with structural irregularity in plan. J. Struct. Eng. 2018, 144, 04018096. [Google Scholar] [CrossRef]
 - Yuen, Y.P.; Kuang, J.S. Nonlinear seismic responses and lateral force transfer mechanisms of RC frames with different infill configurations. Eng. Struct. 2015, 91, 125–140. [Google Scholar] [CrossRef]
 - Valente, M. Seismic upgrading strategies for non-ductile plan-wise irregular R/C structures. Procedia Eng. 2013, 54, 539–553. [Google Scholar] [CrossRef]
 - Khanal, B.; Chaulagain, H. Seismic elastic performance of L-shaped building frames through plan irregularities. Structures 2020, 27, 22–36. [Google Scholar] [CrossRef]
 - Özmen, G.; Girgin, K.; Durgun, Y. Torsional irregularity in multi-story structures. Int. J. Adv. Struct. Eng. 2014, 6, 121–131. [Google Scholar] [CrossRef]
 - Amarloo, N.; Emami, A.R. A 3-dimensional perspective for inter-storey drift, ductility and damage distributions in plan-irregular RC buildings considering seismic orientation effect. Bull. Earthq. Eng. 2019, 17, 3447–3474. [Google Scholar] [CrossRef]
 - Luco, N.; Cornell, C.A. Structure-specific scalar intensity measures for near-source and ordinary earthquake ground motions. Earthq. Spectra 2007, 23, 357–392. [Google Scholar] [CrossRef]
 - Jalayer, F.; Ebrahimian, H.; Miano, A.; Manfredi, G.; Sezen, H. Analytical fragility assessment using unscaled ground motion records. Earthq. Eng. Struct. Dyn. 2017, 46, 2639–2663. [Google Scholar] [CrossRef]
 - Ebrahimian, H.; Jalayer, F. Selection of seismic intensity measures for prescribed limit states using alternative nonlinear dynamic analysis methods. Earthq. Eng. Struct. Dyn. 2021, 50, 1235–1250. [Google Scholar] [CrossRef]
 - Federal Emergency Management Agency. FEMA Assessing Seismic Performance of Buildings with Configuration Irregularities; FEMA P-2012; Applied Technology Council for the Federal Emergency Management Agency: Washington, DC, USA, 2018. [Google Scholar]
 - Smiroldo, G.; Fasan, M.; Bedon, C. Non-regularity damage evaluation in reinforced concrete structures via fragility curves. Vibroeng. Procedia 2023, 50, 28–34. [Google Scholar] [CrossRef]
 - Smiroldo, G.; Fasan, M.; Amadio, C. Fragility curves for reinforced concrete frames characterised by different regularity. Procedia Struct. Integr. 2023, 44, 283–290. [Google Scholar] [CrossRef]
 - American Society of Civil Engineers. Minimum Design Loads and Associated Criteria for Buildings and Other Structures; American Society of Civil Engineers: Reston, VA, USA, 2020. [Google Scholar]
 - Seismosoft. SeismoStruct 2023, Seismosoft: Pavia, Italy, 2023.
 - Mander, J.B.; Priestley, M.J.N.; Park, R. Theoretical stress-strain model for confined concrete. J. Struct. Eng. 1988, 114, 1804–1826. [Google Scholar] [CrossRef]
 - Menegotto, M.; Pinto, P.E. Method of analysis for cyclically loaded R.C. plane frames including changes in geometry and non-elastic behaviour of elements under combined normal force and bending. In Symposium on the Resistance and Ultimate Deformability of Structures Acted on by Well Defined Repeated Loads; IABSE: Zurich, Switzerland, 1973; pp. 15–22. [Google Scholar]
 - Barbagallo, F.; Bosco, M.; Marino, E.M.; Rossi, P.P. On the fibre modelling of beams in RC framed buildings with rigid diaphragm. Bull. Earthq. Eng. 2020, 18, 189–210. [Google Scholar] [CrossRef]
 - ASCE/SEI 41-13; Seismic Evaluation and Retrofit of Existing Buildings. American Society of Civil Engineers (ASCE): Reston, VA, USA, 2012.
 - Pitilakis, K.; Crowley, E.; Crowley, E. SYNER-G: Typology Definition and Fragility Functions for Physical Elements at Seismic Risk; Springer: Dordrecht, The Netherlands, 2014. [Google Scholar]
 - Bakalis, K.; Vamvatsikos, D. Seismic fragility functions via nonlinear response history analysis. J. Struct. Eng. 2018, 144, 04018181. [Google Scholar] [CrossRef]
 - Silva, V.; Akkar, S.; Baker, J.; Bazzurro, P.; Castro, J.M.; Crowley, H.; Dolsek, M.; Galasso, C.; Lagomarsino, S.; Monteiro, R.; et al. Current challenges and future trends in analytical fragility and vulnerability modeling. Earthq. Spectra 2019, 35, 1927–1952. [Google Scholar] [CrossRef]
 - Fasan, M. Develop Fragility Curves as a Function of Intensity for Full SRA in Intensity Domain. Work Package 6 Ground-Motion for Engineers; SIGMA-2 Project: Marseille, France, 2021. [Google Scholar]
 - Iervolino, I. Assessing uncertainty in estimation of seismic response for PBEE. Earthq. Eng. Struct. Dyn 2017, 46, 1711–1723. [Google Scholar] [CrossRef]
 - Boore, D.M. Orientation-independent measures of ground motion. Bull. Seismol. Soc. Am. 2006, 96, 1502–1511. [Google Scholar] [CrossRef]
 - Eads, L.; Miranda, E.; Lignos, D.G. Average spectral acceleration as an intensity measure for collapse risk assessment. Earthq. Eng. Struct. Dyn. 2015, 44, 2057–2073. [Google Scholar] [CrossRef]
 - Kohrangi, M.; Bazzurro, P.; Vamvatsikos, D. Vector and scalar IMs in structural response estimation, Part I: Hazard analysis. Earthq. Spectra 2016, 32, 1507–1524. [Google Scholar] [CrossRef]
 - Ebrahimian, H.; Jalayer, F.; Lucchini, A.; Mollaioli, F.; Manfredi, G. Preliminary ranking of alternative scalar and vector intensity measures of ground shaking. Bull. Earthq. Eng. 2015, 13, 2805–2840. [Google Scholar] [CrossRef]
 - Kazantzi, A.K.; Vamvatsikos, D. Intensity measure selection for vulnerability studies of building classes. Earthq. Eng. Struct. Dyn. 2015, 44, 2677–2694. [Google Scholar] [CrossRef]
 - Kohrangi, M.; Vamvatsikos, D.; Bazzurro, P. Implications of intensity measure selection for seismic loss assessment of 3-D buildings. Earthq. Spectra 2016, 32, 2167–2189. [Google Scholar] [CrossRef]
 - Mattei, S.; Fasan, M.; Bedon, C. On the use of cloud analysis for structural glass members under seismic events. Sustainability 2021, 13, 9291. [Google Scholar] [CrossRef]
 - Luco, N.; Bazzurro, P. Does amplitude scaling of ground motion records result in biased nonlinear structural drift responses? Earthq. Eng. Struct. Dyn. 2007, 36, 1813–1835. [Google Scholar] [CrossRef]
 - Zacharenaki, A.; Fragiadakis, M.; Assimaki, D.; Papadrakakis, M. Bias assessment in incremental dynamic analysis due to record scaling. Soil Dyn. Earthq. Eng. 2014, 67, 158–168. [Google Scholar] [CrossRef]
 - Hancock, J.; Bommer, J.J.; Stafford, P.J. Numbers of scaled and matched accelerograms required for inelastic dynamic analyses. Earthq. Eng. Struct. Dyn. 2008, 37, 1585–1607. [Google Scholar] [CrossRef]
 - Baltzopoulos, G.; Baraschino, R.; Iervolino, I. On the number of records for structural risk estimation in PBEE. Earthq. Eng. Struct. Dyn. 2018, 48, 489–506. [Google Scholar] [CrossRef]
 - Kiani, J.; Camp, C.; Pezeshk, S. On the number of required response history analyses. Bull. Earthq. Eng. 2018, 16, 5195–5226. [Google Scholar] [CrossRef]
 - Luzi, L.; Lanzano, G.; Felicetta, C.; D’Amico, M.C.; Russo, E.; Sgobba, S.; Pacor, F. ORFEUS Working Group 5 Engineering Strong Motion Database (ESM) (Version 2.0); Istituto Nazionale di Geofisica e Vulcanologia (INGV): Rome, Italy, 2020. [Google Scholar]
 - Jalayer, F.; Cornell, C.A. Alternative non-linear demand estimation methods for probability-based seismic assessments. Earthq. Eng. Struct. Dyn. 2009, 38, 951–972. [Google Scholar] [CrossRef]
 - Jalayer, F.; Ebrahimian, H.; Miano, A. Record-to-record variability and code-compatible seismic safety-checking with limited number of records. Bull. Earthq. Eng. 2021, 19, 6361–6396. [Google Scholar] [CrossRef]
 - Paolucci, R.; Gatti, F.; Infantino, M.; Smerzini, C.; Güney Özcebe, A.; Stupazzini, M. Broadband ground motions from 3D physics-based numerical simulations using artificial neural networks. Bull. Seismol. Soc. Am. 2018, 108, 1272–1286. [Google Scholar] [CrossRef]
 - Smerzini, C.; Amendola, C.; Paolucci, R.; Bazrafshan, A. Engineering validation of BB-SPEEDset, a data set of near-source physics-based simulated accelerograms. Earthq. Spectra 2024, 40, 420–445. [Google Scholar] [CrossRef]
 - Chieffo, N.; Fasan, M.; Romanelli, F.; Formisano, A.; Mochi, G. Physics-based ground motion simulations for the prediction of the seismic vulnerability of masonry building compounds in Mirandola (Italy). Buildings 2021, 11, 667. [Google Scholar] [CrossRef]
 - Hassan, H.M.; Fasan, M.; Sayed, M.A.; Romanelli, F.; ElGabry, M.N.; Vaccari, F.; Hamed, A. Site-specific ground motion modeling for a historical Cairo site as a step towards computation of seismic input at cultural heritage sites. Eng. Geol. 2020, 268, 105524. [Google Scholar] [CrossRef]
 


















| Structure | Mode | Period [s] | Ux | Uy | Rx | Ry | Rz | 
|---|---|---|---|---|---|---|---|
| RF | 1 | 0.881 | 0.00% | 78.09% | 9.33% | 0.00% | 0.00% | 
| 2 | 0.753 | 80.29% | 0.00% | 0.00% | 8.43% | 0.00% | |
| 3 | 0.677 | 0.00% | 0.00% | 0.00% | 0.00% | 80.02% | |
| NRF1 | 1 | 0.816 | 0.00% | 77.29% | 10.38% | 0.00% | 0.01% | 
| 2 | 0.729 | 75.60% | 0.00% | 0.00% | 9.12% | 3.14% | |
| 3 | 0.650 | 2.50% | 0.04% | 0.00% | 0.26% | 74.61% | |
| NRF2 | 1 | 0.681 | 2.73% | 62.68% | 16.52% | 0.75% | 5.09% | 
| 2 | 0.626 | 59.73% | 3.29% | 0.95% | 17.20% | 5.45% | |
| 3 | 0.499 | 2.96% | 0.37% | 0.16% | 0.84% | 38.82% | 
| RF | NRF1 | NRF2 | |
|---|---|---|---|
| TIR | 1 | 1.15 | 1.3 | 
| RF | NRF1 | NRF2-Q2 | NRF2-Q4 | |
|---|---|---|---|---|
| MIDR CP | 4.9 | 4.3 | 4.5 | 4.6 | 
| MIDR LS | 3.7 | 3.3 | 3.4 | 3.5 | 
| RF | NRF1 | NRF2-Q2 | NRF2-Q4 | |
|---|---|---|---|---|
| DCR CP | 1 | 1 | 1 | 1 | 
| DCR LS | 0.75 | 0.75 | 0.75 | 0.75 | 
| RF | NRF1 | NRF2-Q2 | NRF2-Q4 | |
|---|---|---|---|---|
| EDP > EDPCP | 6 | 6 | 7 | 12 | 
| EDP > EDPLS | 16 | 13 | 12 | 21 | 
Disclaimer/Publisher’s Note: The statements, opinions and data contained in all publications are solely those of the individual author(s) and contributor(s) and not of MDPI and/or the editor(s). MDPI and/or the editor(s) disclaim responsibility for any injury to people or property resulting from any ideas, methods, instructions or products referred to in the content.  | 
© 2024 by the authors. Licensee MDPI, Basel, Switzerland. This article is an open access article distributed under the terms and conditions of the Creative Commons Attribution (CC BY) license (https://creativecommons.org/licenses/by/4.0/).
Share and Cite
Smiroldo, G.; Fasan, M.; Bedon, C. Seismic Analysis of Non-Regular Structures Based on Fragility Curves: A Study on Reinforced Concrete Frames. Buildings 2024, 14, 3734. https://doi.org/10.3390/buildings14123734
Smiroldo G, Fasan M, Bedon C. Seismic Analysis of Non-Regular Structures Based on Fragility Curves: A Study on Reinforced Concrete Frames. Buildings. 2024; 14(12):3734. https://doi.org/10.3390/buildings14123734
Chicago/Turabian StyleSmiroldo, Giovanni, Marco Fasan, and Chiara Bedon. 2024. "Seismic Analysis of Non-Regular Structures Based on Fragility Curves: A Study on Reinforced Concrete Frames" Buildings 14, no. 12: 3734. https://doi.org/10.3390/buildings14123734
APA StyleSmiroldo, G., Fasan, M., & Bedon, C. (2024). Seismic Analysis of Non-Regular Structures Based on Fragility Curves: A Study on Reinforced Concrete Frames. Buildings, 14(12), 3734. https://doi.org/10.3390/buildings14123734
        
