Abstract
Machine learning () has been proven effective in various scientific and industrial domains. Nevertheless, its practical application in the construction industry requires further investigation. Leveraging ML capabilities conserves human resources, reduces errors, and speeds up computation and interpretation tasks. The efficacy of ML algorithms depends on factors like ability, result accuracy, analysis cost, and sensitivity to parameter count and available data volume. This study explores the potential of using ML to delegate structural calculation processes, which is an aspect with limited attention. Concrete beam section calculations based on the American Concrete Institute () standards were chosen as a case study to assess ML’s capacity to emulate a structural designer’s role. Initially, manual design steps and standard considerations for a concrete beam section were parametrically coded in MATLAB. Validation against structural design references ensured code accuracy in calculating shear and bending capacities. The parametric results served as initial data (lookup table) for training ML operators. Various ML techniques, including fuzzy logic (), neural network (), and adaptive neuro-fuzzy inference system (), were coded in MATLAB. A comparative analysis of the three ML operators assessed their performance in replacing standard calculations. Parametric examples illustrated each operator’s precision in delegation compared to direct calculations. The study also explored the impact of the number of parameters and lookup table size on the accuracy of each ML operator. The findings revealed that while all three operators could delegate standard calculations, their precision varied. Notably, when the lookup table was optimal, operators demonstrated the ability to represent standard calculations with varying parameter counts and high precision. Focused on beam calculations, this study provides insights into ML operator performance. The outcomes, including selecting the most capable operator and their sensitivity to parameters and lookup table size, offer valuable guidance for researchers interpreting experimental and numerical analysis results.
1. Introduction
Artificial intelligence () and machine learning () are two closely related terms in computer science and technology, and while related, their definitions are not interchangeable. AI involves creating machines capable of tasks requiring human intelligence, such as perception, reasoning, learning, and decision making. However, ML is a subset of AI that focuses on training algorithms to learn patterns in data and make predictions or decisions based on them. AI is a broader concept encompassing various fields like computer vision, natural language processing, and robotics.
Moreover, ML concentrates on developing algorithms and statistical models for data analysis and prediction, as highlighted by Burnham (2020) [1]. AI often employs a rule-based approach where systems follow programmed rules, while ML utilises a data-driven approach, learning from data to identify patterns and make predictions. AI systems are typically designed and programmed by humans, whereas ML algorithms are trained on data [2]. ML algorithms require substantial data for effective training, whereas AI systems can be designed with a smaller set of rules and instructions [1].
The three main ML types are supervised learning, unsupervised learning, and reinforcement learning. In supervised learning, algorithms are trained on labelled datasets to predict outputs given inputs [3]. Unsupervised learning identifies patterns in unlabeled datasets, while reinforcement learning involves algorithms making decisions by interacting with an environment and receiving feedback as rewards or penalties [4]. Each ML type has strengths and weaknesses with the choice depending on the problem’s nature and available data [5].
and are two types of supervised with as a mathematical framework for supervised and unsupervised classifications [6]. , developed by Zadeh (1996) [7], deals with imprecise or uncertain data, offering a flexible approach to handling linguistic variables and sets. has applications in various fields, including control systems, pattern recognition, and decision making. In structural studies, aids in handling imprecise or uncertain data, allowing for nuanced reasoning and analysis of complex systems [8,9,10,11,12,13]. , another supervised technique, has been increasingly applied in structural health assessment and system optimisation. It models complex systems and predicts responses to different loads, such as the deflection and stress of steel–concrete composites [14,15,16]. , a combination of and , predicts the dynamic performances of structural elements, flexural behavior of concrete beams, and assesses the influencing parameters on corroded concrete beams [17,18,19]. Reinforced concrete, a standard construction material, benefits from ML techniques such as , , and to predict mechanical behaviour, compressive strength, and various properties [20,21,22,23].
In conclusion, these ML techniques play crucial roles in predicting and understanding the behaviour of complex structures, thus contributing to advancements in structural engineering.
Despite their potential, several challenges must be addressed to apply the ML approach practically. Some primary challenges can be mentioned. (1) There is a lack of engineer familiarity with this method and the difficulty in modelling complex relationships. (2) There is also a lack of awareness about the differences in the performance of different ML techniques in a wise tool selection. (3) Other issues include the sensitivity of these techniques to the size of a lookup table, the number of parameters and the type of relationship between the input and output (linear and nonlinear). (4) models are often called “black boxes” because they can produce complex and non-intuitive results. This makes it challenging for engineers to interpret and explain the outputs of the models; in other words, the designers do not know up to which level these methods are trustworthy. (5) The studies in which the ML approaches have been used are mainly based on the research and experimental data, and direct comparisons between the standard known calculations and ML’s results are needed.
The construction industry is rapidly evolving through additive and subtractive manufacturing and other robotic techniques, paving the way for innovative approaches to automated construction. This shift involves transitioning from manual labour to integrating robots and automated machines. At the same time, established standards and codes provide reliable methods for designing stable structures, which are typically adhered to through manual calculations and software tools like SAP2000 14.2.0 (CSI, New York, CA, USA). However, the potential of automated processes to replace calculating engineers following validated standards remains largely unexplored. Although there has been some investigation into the capability of machine learning operators () for interpreting, solving, or optimising structural problems, a comprehensive exploration of various aspects is still lacking. Studies in this domain should assess ’ ability to represent structural features, the accuracy of the results, their requirements for proper delegation, and their sensitivity to the type of training data employed. Furthermore, investigations should aim to identify the most capable techniques for these applications. This research gap underscores the need for a more extensive exploration of ’ potential in the context of automated structural design and analysis. Integrating into developing robotic-based construction techniques brings a transformative shift towards a fully automated design and construction process. The ability of to represent designers in this context adds a layer of intelligence and adaptability to the automated processes, thus enhancing efficiency and innovation in the construction industry.
In this context, the current paper aims to discuss three types of , including , , and , to reintroduce and compare their performances using a specific example. The standard calculation of a concrete beam, which is well known to engineers, was selected for the case study. This discussion explores the sensitivity of the methods to the number of parameters and the size of the lookup table. Additionally, we compare the accuracy of all methods with each other and routine calculations.
2. Discussion
2.1. Initialization
2.1.1. Coding, Standard Beam Section Calculation
This paper aims to assess the performance of machine learning (ML) operators in delegating the standard structural computing process. A broad spectrum of structural subjects and standards can be considered for the case study to analyse or design steel and concrete elements. In this context, we selected the well-known design process of concrete beams (Figure 1) as the subject of interest. Specifically, the beams’ bending and shear capacity calculations were defined as the output, referring to the standard [24]. At the same time, the adjustable parameters (Figure 1) in the codes were the features of the section. In these calculations, after initialisation and some basic computations such as the section area (A) and the amount of compressive and tensile re-bars, and their percentages along with the beam re-bar balance percentage were determined.
Figure 1.
Section’s calculation chart [25] (ACI Section 10.3.5).
The calculations discussed in this paper mainly refer to manual calculations performed by engineers in the industry. Engineers typically adhere to established standards (codes) when assessing the strength of a concrete beam, with different countries using various standards such as the Eurocode in Europe, DIN in Germany, or ACI in the USA. These standards are primarily developed based on the strength design method (e.g., ACI) or the limit state design method (e.g., Eurocode).
While various types of manual static calculations and standards could be employed to create a lookup table and evaluate the capability of machine learning () methods, the focus here is on assessing the performance of rather than emphasising a particular standard. Comparing calculation results based on ACI, Eurocode, and DIN shows similar concrete beam performance. Therefore, the ACI calculation method, characterised by a step-by-step logic and a mechanics-based approach, was chosen for the ACI calculations. In contrast to the DIN method, the ACI method does not rely on using a prepared data table in the beam calculation.
Different programming languages and platforms (e.g., C++) are utilised in machine learning. Among programmers, Python is the most common language for machine learning applications. The key factors driving its prevalence include a broad developer community and an extensive library, making Python the language of choice in the field.
Engineers and scientists often use MATLAB to develop, automate, and integrate deep learning models into domain-specific workflows. MATLAB offers tools to experiment with various machine learning models and select the most suitable ones. The table provides information on MATLAB apps and functions for addressing specific machine-learning tasks. The platform offers both app-based and command-line features for diverse machine-learning endeavours. MATLAB’s emphasis on numerical computing makes it an excellent choice for practitioners more inclined towards the practical aspects of machine learning.
This research underscores MATLAB as a preferred choice for scientists and engineers, particularly those interested in the theoretical aspects of machine learning.
Simple algorithmic codes were developed in MATLAB to calculate ACI and parametrically determine the capacities. Considering steel (stirrups) and concrete capacities, the shear calculation was conducted in a single step. The shear capacity () is of the steel and concrete capacities. The bending performance of the section was categorised into three distinct steps.
Figure 1 illustrates the bending performances based on the comparison between , and the availability of compressive re-bar, leading to three different performance types ().
In the following process, a comparison between the available and minimum allowed re-bar categorises the section to other subcategories . This category indicates the type of standard formulas for calculating neutral lines and the capacities of each type of section. Finally, a comparison between the amounts of the calculated strains indicates some coefficients which, based on the standard, should be multiplied by the bending results. Numbers showed this last step of calculations as (). Finally, the following discussions interfaced the standard codes as a MATLAB function to all ML operations.
The results from several series of parametric calculations will generate different databases (lookup table) to be inferred with operators, and the operators’ results will be compared to the direct ACI coding. The study’s primary objective is not to discuss the performance of the beams, and the accuracy of the parametric calculation results is not decisive. Nevertheless, for practical illustration, the accuracy of the coded ACI function was compared to other references.
Table 1 compares the results obtained from the codes and the calculated values in references (). Ten examples were selected from various concrete design manuals. The features of the reference problems, including material and cross-section properties based on the original problem, were chosen, and the calculation processes using the coded were repeated. The section’s features, along with the bending () and shear () capacities, are addressed in the table for comparison with the references.
Table 1.
Verification of the accuracy of the coded beam calculations in comparison to the references.
While not all references adhere to the American Concrete Institute (ACI) standards, the outcomes consistently demonstrate similar shear and bending capacities. This alignment verifies the accuracy of the coded ACI and underscores the similarity between the referenced standards. The selection properties, including the height () and width (), alongside concrete and steel properties and steel mounts, are shown in the first row of Table 1. The in this table indicates the depth of the neutral line, which is calculated by both codes and references for bending calculations. Examples with different performance types were selected in the process.
The “Amount” in the sub-column of the “Ref” column indicates the capacity calculated for each identical beam section according to the references, serving as a basis for comparing the results obtained from (). The “Name” sub-column of “Ref” specifies the problem number and citation details of the concrete calculation reference associated with each entry.
For instance, the bending capacity of the first section (No.1 Table 1) in the codes and the reference are Nmm and , respectively. Similarly, the comparison of shear capacities in example 6 shows N and . Generally, it was shown that the maximum difference between the results of the codes and references is , proving the accuracy of the codes.
2.1.2. Coding, the Machine Learning Operators
Machine learning encompasses diverse pattern recognition and decision-making techniques without explicit programming. Supervised learning involves training models on labelled datasets with regression and classification handling continuous and discrete outputs. Unsupervised learning explores patterns in unlabelled data using clustering and dimensionality reduction techniques. Reinforcement learning focuses on agents making sequential decisions to maximise rewards [30]. These techniques offer flexibility across scientific disciplines and industries. Many tools for different usages were developed, including deep learning, decision making, transfer learning, predictive analytics, and optimisation algorithms.
To represent an engineer, straightforward utilisation is possible by considering the dataset prepared by following standard calculations for regression and classification, which fall into the categories of supervised and unsupervised learning algorithms. Since one of the main objectives is converting discrete results (e.g., from experimental studies) into a continuous space (to calculate non-tested parameters), a regression problem should be defined. In contrast, the classification problem involves a variable with discrete values [31]. For regression, , with its easy adaptation to different lookup tables, and , with proven high capacity in predicting chaotic series (e.g., time series), are among the most desirable techniques. Accordingly, the technique developed based on them () is selected in this study.
Despite the various parameters available for tuning, this paper’s selection of machine learning (ML) operators is limited due to size constraints. The focus of the current study does not extensively delve into other potential coding variants. Other researchers and engineers initially developed the codes and were chosen to provide an overview for structural engineers. This study offers structural engineers a framework for finding solutions to interpret their numerical and experimental results rather than proposing the best commands. The developed codes in this study can be replaced by other programming languages or optimised to enhance the performance. Each section briefly mentions some parts of the developed MATLAB codes to provide an overview.
2.2. Problem Definitions (Preparation of Lookup Table)
For discussing different ML techniques, all following sections use the proved codes as a MATLAB function called . This function can parametrically calculate different ranges of the variables based on ACI. It imports all of the section parameters, including height (), width (), concrete compressive strength (, steel yield strength ()), compressive re-bar ()), and tensile re-bar ()) and it calculates the shear ( and bending capacity ().
Integrating random input and randomisation is pivotal in various machine learning operator (MLO) techniques, especially in generating initial solutions for metaheuristic algorithms. As the discussed operators perform complex regression in a multidimensional data space—beyond the scope of straightforward mathematical solutions (e.g., )—assessing their performance in interpreting datasets with chaotic data becomes crucial. To evaluate the sensitivity of the operators, the coded demonstrated its capability to produce both random and harmonic data. This evaluation involved varying each beam feature individually and randomly within the selected range with corresponding bending and shear capacities calculated based on these random features.
Furthermore, considering that some studies, such as experimental research, might yield chaotic results, the ability of the operators to interpret chaotic datasets is essential. Figure 2 visually represents a series of analyses encompassing the properties of 50 distinct beam sections. The inputs for these analyses were randomly generated using the function, with each variable constrained within specified ranges detailed in Table 2. This approach aims to illuminate the sensitivity of the operators in handling diverse and unpredictable datasets, showcasing their adaptability to chaotic data patterns.
Figure 2.
Random features of the 50 beam sections and the capacity based on ACI.
Table 2.
Selected range of changes in the variables.
The selected range commences from the minimum values (e.g., and ), encompassing average dimensions and material properties typical in the building construction industry (e.g., and ). It gradually extends to achieve a diverse distribution, incorporating the maximum commonly available material types (e.g., and ) while adhering to constraints such as balanced re-bar percentages. The impacts of these variables on the bending and shear capacities are depicted in the last blue diagrams. The performance types in the bar chart (P) are indicated in blue, red, and orange. For example, in the first section, the bar chart displays 2 for the height in blue, 2 for the red, and 1 for the orange part on top of the bar. This signifies that the performance of this section falls into the category . It indicates that the tensile re-bar yields, the compressive does not yield, and the strain is higher than (Chart in Figure 1).
In addition to the parameters and the ranges, requires two other criteria. The first criterion informs about the number of parameters selected in each calculation series (). This means all different features of the section can be selected parametrically (i.e., with ) or just some (e.g., with ). The second criterion is the size of the lookup table () or, in other words, the number of calculated sections. The number of parameters () and the size of the lookup table () are primary measures considered for dissecting the performances of the machine learning operator () in the following sections. An MLO that can delegate the results with higher accuracy and less initial data (low ) has more desirable performance. This becomes especially important when considering the challenges in data production. Data can be collected in different fields through questioning experts, numerical analysis, or experimental tests, while in structural engineering, increasing the , especially in experimental studies, is complex and costly.
2.3. Parametric Evaluation of the Beams
In this study, beam capacity was selected as one of the straightforward structural calculations to evaluate the MLO. Similarly, can be used for independent parametric evaluations and connected to an optimisation algorithm. Such a function, similar to software (e.g., SAP2000 Section Designer (CSi, New York, NY, USA)) can easily calculate the capacity of sections with different parameters. Therefore, various operators can use it for multi-analysis to consider different aspects of the section’s performances, perform statistical evaluations, and conduct sensitivity analysis using MATLAB Simulink.
One straightforward evaluation without coding sensitivity analysis is assessing the influence of each parameter on and . Table 3 shows the effect of doubling the parameters in this range on bending and shear capacities. This evaluation indicates that doubling the amount of all parameters increases the shear and bending capacity by times and times, respectively. It means that bending capacity is more sensitive (No.1). In other words, if the influence of stirrups is ignored, despite no changes in increasing , the changes in are reduced to (No.2). This implies that in the selected range (Table 2), distances between the stirrups influence the shear capacity up to . The distance between the stirrups cannot be changed limitlessly due to standard limitations (e.g., for maintaining the ductility of beams), but the range was accepted as a parametric study.
Table 3.
Influence of parameters changes on the beam capacities (all numbers are percentages).
In this range, height has a similar influence on shear and bending and exhibits a linear relation (No.3). Width has a higher effect on shear than on bending (No.4). The changes in bending are not linear, and the width’s effect on bending increases in one step (due to changes in P). also exhibits a similar low effect on and ; this implies that increasing the concrete properties, considering the associated costs, in comparison to changes in other parameters, is not economical (No.5). Generally, the lowest influence is shown by compressive re-bar (No.7). The highest is observed for height and tensile re-bars (No.8).
3. Machine Learning Operatos (MLO)
To discuss the performance of the following MLO, the specific range is based on the expected dimensions and properties of the material used in all the following investigations (Table 2). The parameters linearly increased in the prepared lookup table. Based on the ACI calculation, the first section selects for delegating, interpreting, and using data (lookup table). Likewise, the and will repeat the same process. Additionally, their sensitivity to the size of and will be investigated. Finally, their performances regarding the different sizes of the lookup table and the number of parameters will be compared.
3.1. Fuzzy Logic ()
Since MATLAB GUI cannot generate codes to accept different ‘’ and ‘’ parameters, codes for making the interpreter of the lookup table and were developed. In the membership function, two types of functions were regarded, including (‘’ and ‘’) to be adjusted by the operator (). Assigning the inputs to outputs for such a range of data was not effortless for making the rules. Hence, a ‘’ loop based on the lookup table was developed to develop adaptable codes for all essential parameters in designing the beams. Here, ‘1’ was regarded as the variables and weight for all rows of the rule table. Then, the lookup table and ‘’ was used to make the ‘’ ((‘’, ‘’). Furthermore, ‘’ and ‘’ by were assigned to the ‘’ and finalised by adding the rules.
Figure 3 displays an example of the series of section calculations. In this example, as the variables were selected, and 250 sections were calculated to make the lookup table (). This figure shows how the parameters change linearly to increase the bending and shear capacity based on ACI. The same input in , the lookup table, is used, and the two diagrams show the delegating results. In these diagrams, the flat parameters indicate the not chosen variable, which means . The shown parameter in the last two diagrams, in blue, is the shear and bending capacity based on ACI. Likewise, red diagrams display the results of the operator. In these diagrams, the yellow bars are the difference between the targets (diversity between input from ACI codes and outputs). A similar example was made, utilising randomised input and, accordingly, chaotic results of and ACI. This example shows the capacity of to interpret the not-sorted input. This capability shows its importance when several results of the studies against the current study regarding the type of the input parameters cannot be sorted, as shown in Figure 4.
Figure 3.
Results of operation with 250 table size, three variables, and ‘gaussmf’.
Figure 4.
Results of operation with ‘250’ table size and ‘3’ variables and ‘gaussmf’.
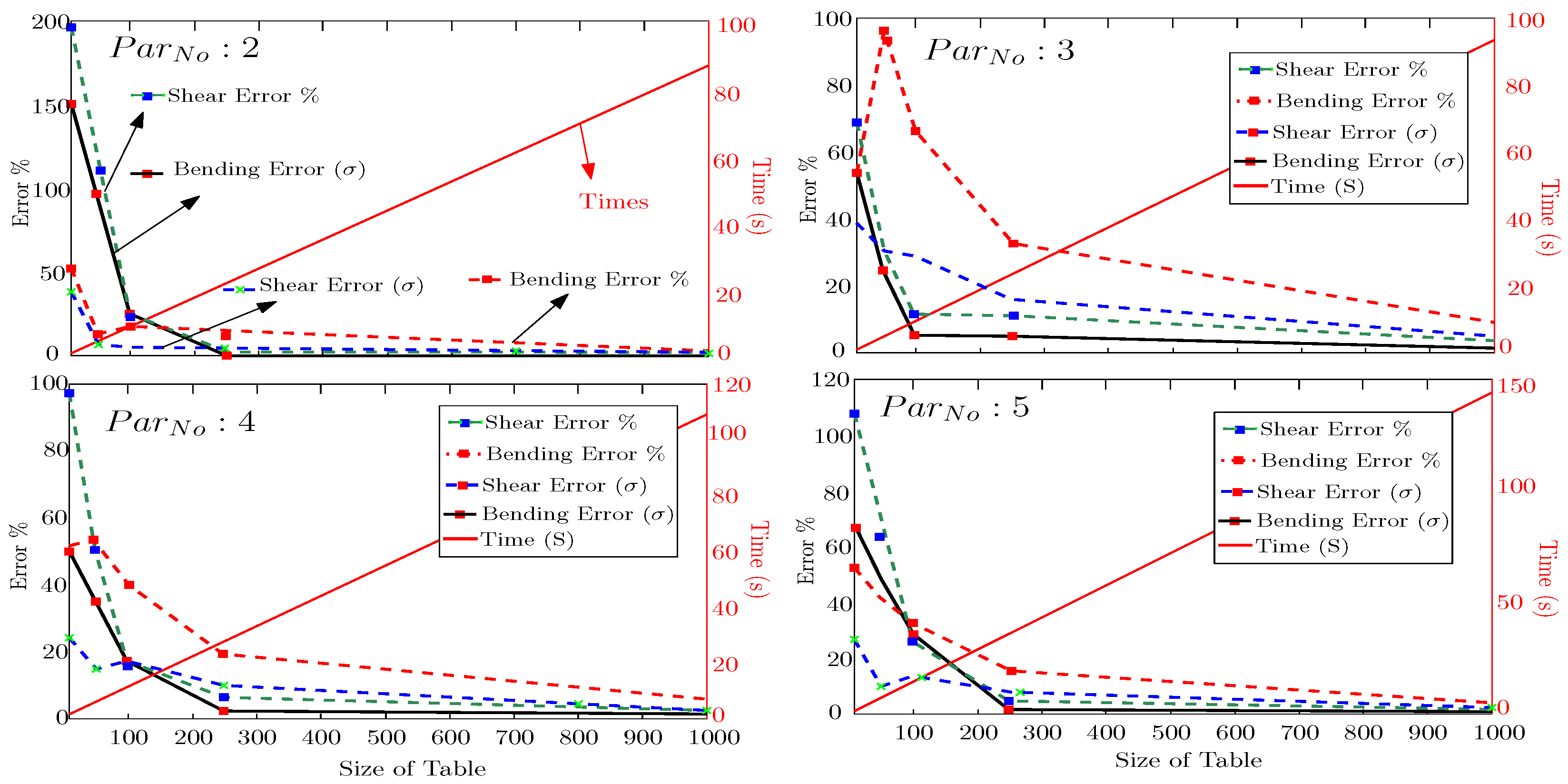
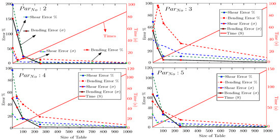
In another example in which just as the variable and () as the table size were selected, the maximum error (differences between and the standard divided by the ACI capacities in each section) was limited to . In this example, with three parameters, the error increased to ‘’ and ‘’ for the calculation of shear and bending, respectively, displaying a considerably low accuracy. In Figure 3, the wave format of these diagrams and errors shows that the error amount is not the same in different sections. The errors’ changes are not related to beam section performance but come from the nature of . In another example with the ‘1’ parameter and ‘100’ lookup table size, the error in shear and bending capacity was ‘17 and ’ compared to the previous example with the ‘500’ lookup table size, which is just ‘’ percent less accurate. It means up to some limits, despite its positive influence, increasing the size considerably raises the analysing but cannot significantly improve the accuracy. Nonetheless, adjusting the codes and changes in several parameters or the lookup table size can influence the results more. The influences of these adjusting components should be evaluated parametrically.
Two more loops were added to the codes to evaluate the capability of adjusting the MLO. The first ‘’ loop operates the MLO by a different range of initial data in the lookup table. It means if the is for instance 1208, ParsolutionSolution function, in the specific range, calculates 1208 beam sections to be referenced by operator . This evaluation shows how much data (including all parameters) are needed for the selected beam example. The other parameters, such as a nest (loop), were also regarded. This loop, in five different steps, changes the number of parameters. This additional ‘’ loop (PARA) in five different steps selects different parameters, which are decided based on the results of parametric evaluations (efficiency of the parameter on the capacity), as shown in Table 3. It was written by a function, demanding , general operations, while each one may have up to 2000 beam calculations.
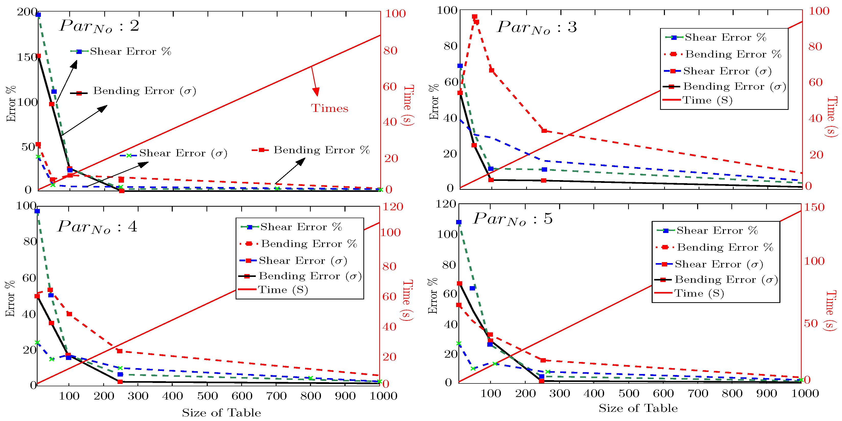
The shear and bending errors and the standard deviation results are shown in Figure 5. Since the of analysis is an important factor for evaluating the desirability of an operator’s performance, the duration of the process was also measured and documented in these diagrams. In Figure 5, all analyses with any ‘’ reduced the error by increasing the , indicating the capability of them in case of a suitable size of lookup table. The sensitivity of error to the amount of reduced when the size of the table increased. In all of the errors and standard deviation, disregarding the , the accuracy is considerably low when the . Increasing the ‘ increases the analysis , but the influence of increasing the on the errors is not linear. For instance, has higher accuracy than . This influence might be related to the value of and the type of the membership functions. Despite the high probability of low accuracy in using in delegating the ACI codes, it can operate more stably (with less scattered results) with suitable adjustment and input.
Figure 5.
Results of parametric adjustment of operator, , standard deviation ().
3.2. Neural Network ()
To compare and , Figure 6 displays the same examples solved and delegated by codes. The codes of were developed in MATLAB. In order to fit the network, as the activation operators, sigmoid activation (‘’) and hyperbolic tangent sigmoid (‘’), along with linear function (‘’) for transferring the input were selected. In addition to inputs, targets and the number of hidden layers (), these operators were (by the ‘’ command) assigned to the network. The ‘in/output’ and ‘re/post-processing’ functions were coded for choosing. Likewise, operators were coded for removing rows with constant values (‘’) and mapping rows with minimum and maximum values (‘’). Furthermore, ‘’ was used for the random division of data and every sample (‘’) was picked in which of the data was selected for training and was selected for validation and testing the selected network. Additionally, for choosing and helping the train function, Levenberg–Marquardt (‘’) and mean squared error (‘’) were assigned to the network performance function. In the codes, the number of hidden layers () as an adjustable parameter was regarded (e.g., ).
Figure 6.
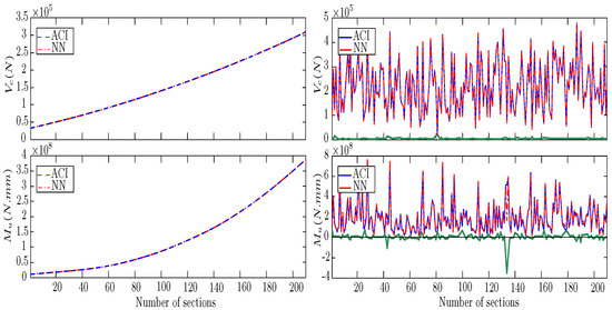
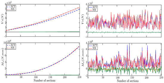
results of sorted (left) and randomised (right) inputs, , .
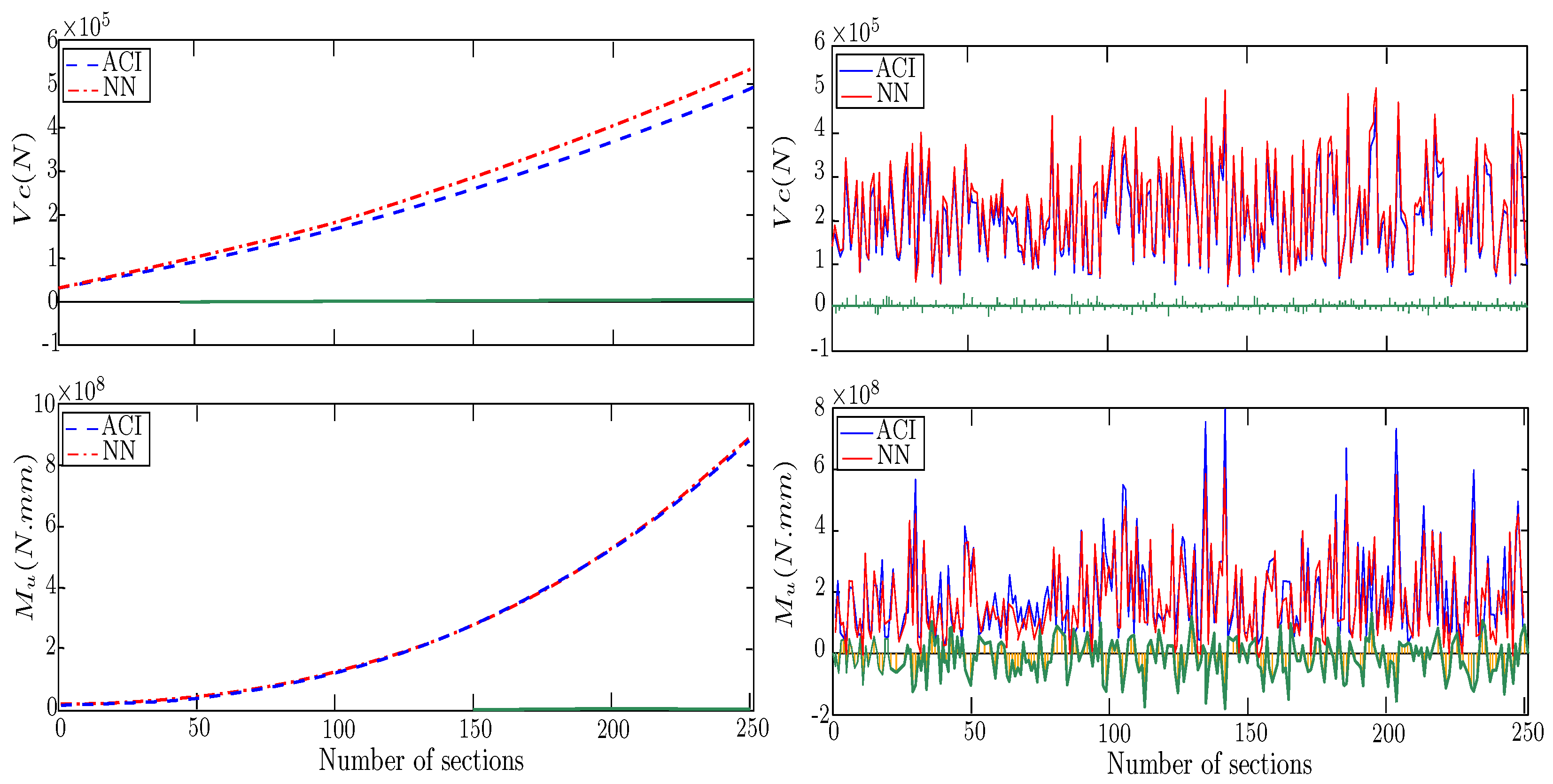
The same types of lookup tables as the input imported by were prepared in this section to be interpreted by . Figure 6 illustrates the results of these two examples with sorted and randomised input types. In this example, the size of the table and number of parameters are 250 3 respectively (, ). Likewise, the red and blue diagrams show the and ACI results, while the differences between and ACI are shown in the yellow bar. The remarkably higher accuracy of compared to in both delegated results is visible. Generally, the bending capacity (), compared to shear (), has a higher number of effective parameters, which causes the relation between the feature and output to be more non-linear. The error results in these two examples show that can present a more exact bending capacity in sorted inputs. However, randomised input bending diagrams are less exact. The operator also calculated several other examples based on and in comparison to ; it can be calculated that the capability of the neural network for delegating the ACI calculation is considerably higher.
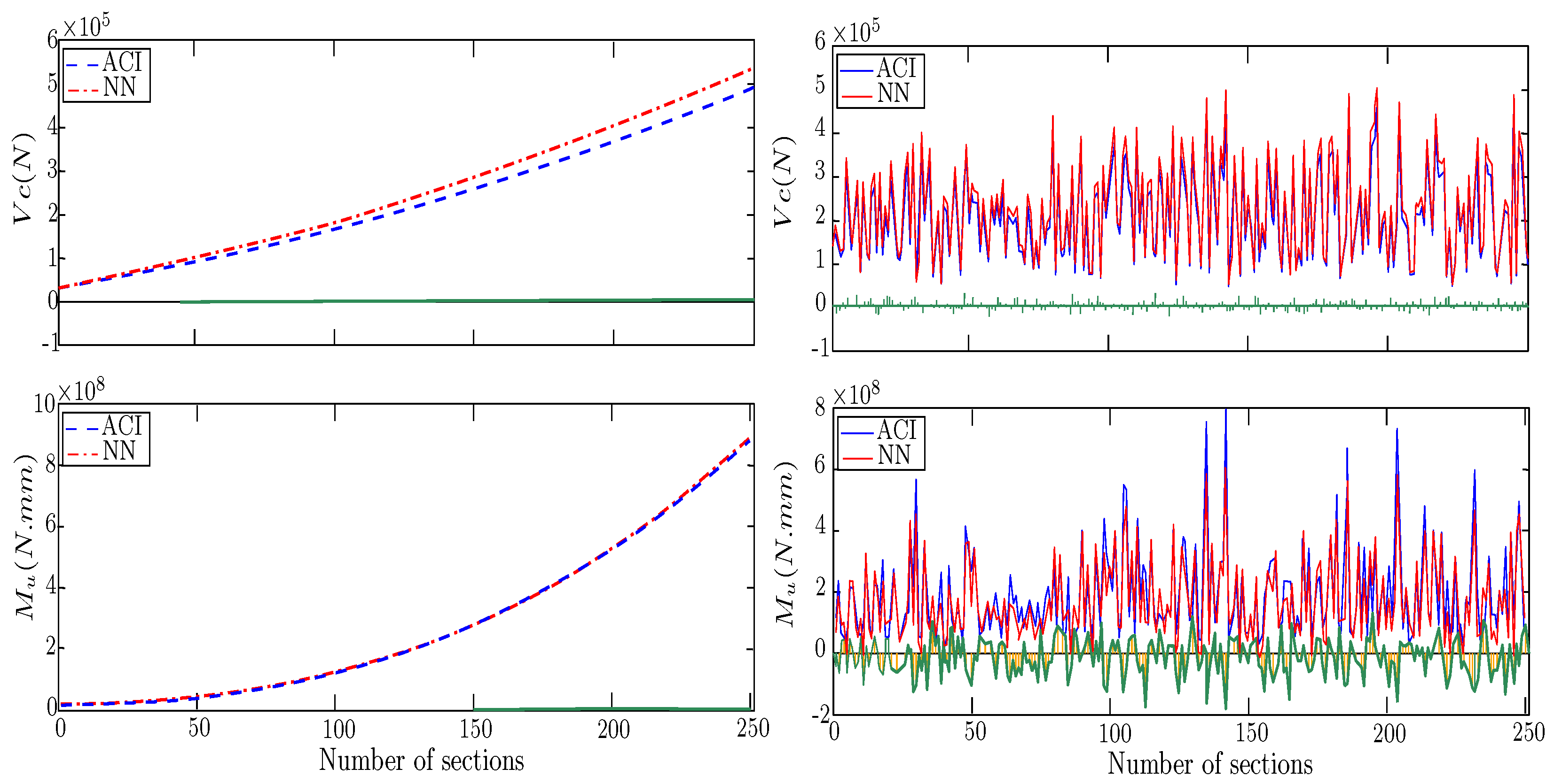
One of the main components of the neural network is the number of hidden layers (NHL). In a series of examples, the same problem (, ) with different numbers of hidden layers () was repeated, as shown in Figure 7. It can be seen that compared to the chaotic nature of the coded , the NHL cannot show a strong influence on the results of this example. Based on multiple examples tested by the current study, it can be concluded that increasing the number of layers for more than three layers has more influence on the analysis than the number of errors.
Figure 7.
results for (right) discussing the influence of NHL and (left) robustness of the results in the repetition of an exact problem.
Nonetheless, the main highlight of using is the chaotic amount of accuracy. In other words, despite the input parameters, they gradually increased in a series of examples. The error amounts in some were almost zero, but in others, they were several times higher than the maximum bending and shear capacity amounts. To illustrate, a repetition of the same problem was documented in Figure 7. In these examples (, ), the error of delegating the shear and bending beside the error standard deviation was displayed. It can be seen that the error in examples 1 and 6 is almost zero, while in example 2, the shear is 30 times higher than ACI calculations. Despite showing, in general, lower accuracy, such an issue (chaotic results) was not detected. Some examples have acceptable performance in bending error and are high in shear. Hence, in an operator like with low robustness, the error amounts in objects may differ considerably. There was a high probability of facing low accuracy in the results of and, despite the high capability, the chaotic results of indicate the necessity of developing a method using the potentials of and while solving their issues.
Remember that in all the MLOs in this study against other multi-objective optimisation algorithms, the objects (here and ) are calculated separately in two different parallel interpreting processes.
3.3. Adaptive Neuro-Fuzzy-Inference System ()
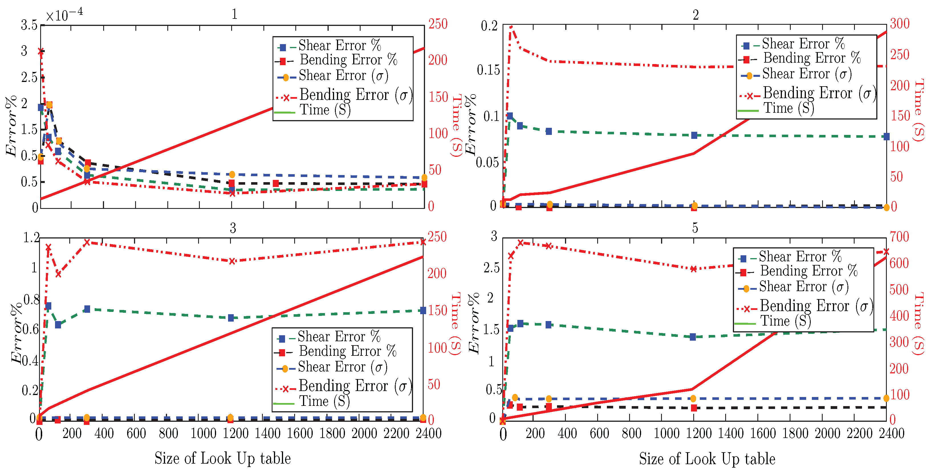
is a hybrid model that combines the strengths of and . This operator was similarly developed in MATLAB, regarding the same feature coded for and . As the , features of the beam section and the capacity of the beams calculated by ACI codes were selected. Inputs by Gaussian membership function ‘’ and linear output types in ‘5’ layers were selected (‘’). Substitute clustering was chosen to remove and generate the system (). The options by ‘’ were assigned to create the dialogue box ‘’. The data, including the inputs, outputs and training data, were assigned to the ‘’ by ‘’, using the selected FIS generation approach. During the initial investigations, ‘’ with ‘’ and ‘’ were both tried, and due to this study’s low influence and concentration, ‘’ was applied to the results and used. The cluster number was ‘10’, and the exponent matric was partitioned to ‘2’. The number of maximum iterations and the number of epochs was ‘100’, and the minimum improvement was ‘1 × 10−5’. In these studies, the initial step was , and the step size was , while was the step size increasing rate and 0 was the error target assigned.
Like the previous section, as in the first examples, three parameters and the sorted and randomised inputs were selected for direct comparison. Figure 8 shows the results of in the delegation of beam calculations. It can be seen that the error in the calculation of bending and shear capacities is deficient (approaching zero). Generally, has a robust homogeneous performance. The range of examples made by displayed higher accuracy in calculating the bending in all examples with different and , and it was repeated that on average, the bending error was less than the shear error. The shear error increases especially with a low number of and . In this investigation, different example series were solved by . Based on an example with , when the number of parameters is 7, the calculation accuracy is times lower than the same operation with a 1 parameter. Despite this, the error range in both is less than and ignorable, as shown in Figure 9.
Figure 8.
results of sorted (left) and randomised (right) inputs, , .
Figure 9.
Performance of , .
Similar results were experienced for the standard deviation and . It might be concluded that the capability of this operator is more suitable for complex structural issues. If the duration of the process of analysing is regarded, increasing the is the main factor for raising the . Likewise, increasing the , from 1 to 7, when on average increased the analysing to . , in repeating the same problem, had the same results, proving its analytical stability. Additionally, increasing the size of in sorted input type proved its low positive influence on reducing the error, but randomised input increased the error.
3.4. Comparison between the three MLO
Figure 10 (Left) displays a series of examples based on a randomised lookup table, in which range increases up to 1000. The error of and , in addition to the analysing duration, which increases alongside the , is entirely visible in diagrams. , in addition to having higher accuracy, has a robust performance; it did not indicate significant changes in capacity representation of the ACI bending and shear capacity with less than differences. In this range, the analysing of and are similar and for the same problems, they are almost of . The other examples showed higher differences between the of and compared to by increasing the and .
Figure 10.
Time comparison as the for regarding different MLOs, numbers of parameters and size of the lookup table without the duration of time needed for the production of the lookup table and stability of the results upon repetition of similar problems.
Likewise, the duration of has an exponential relation with and . In representing the small problem, performs faster than and . As mentioned, this study just selected MATLAB as a proper platform, and rewriting the codes in primary programming languages (e.g., ) can considerably reduce the analysing .
The accuracy (Error), duration (time) and robustness of the operator are the three selected. Hence, Figure 10 (Right) contrasts the MLO operations’ robustness by running the same problem with times to compare directly.
A general contrast between the performance of the MLO was made by fitting 3D surfaces to the results. This surface is also managed in MATLAB, while the size of the lookup table () and parameter number (), along with the average amount of shear and bending amounts, were separately selected. Figure 11 displays the accuracy of all three coded operators (including , and ). The top diagrams of Figure 11 illustrate the bending and shear errors in the down row. The results of various analyses were shown next to each other in these diagrams. The average amounts of shear and bending differences (error between ACI and MLO), regarding the range of , , by fitting surfaces on them were plotted in MATLAB. Generally, one of the main usages of the MLO is curve fitting. Despite the higher power of MLO for fitting continuous surfaces to the discrete data and the synergy between curve fitting and all discussed MLO, simple codes in MATLAB were used in this diagram due to its simplicity.
Figure 11.
Comparison between the performances of the discussed MLO, by fitting surfaces to shear and bending errors, while , were regarded as the parameter ranges.
has the lowest accuracy despite the highest stability in the calculations and results. The amount of error in the calculation of the bending capacity reduces by reducing the size of the lookup table and increasing the number of parameters. On average, the bending calculated by and ACI in this range maximum differs by , while for shear, this difference increases to . Generally, ’s initial coding starts with defining the linguistic variables. The linguistic variables include the following: (1) the variable’s name (e.g., ), (2) the amount of variables for each group (e.g., in [0.2,0.5,0]), (3) the range of the changes in variables (e.g., height of a beam), and (4) an set. Hence, each linguistic variable can be defined. It enables the to convert the initial digits to parameters (called fuzzification) and, after the operation, to digits (called defuzzification). This will be continued by developing the rules for the logical implications needed. The conversion of the digits to logical and linguistic variables enables the to import different types of data (e.g., verbal information of a questionary form) but can be the reason for reducing the accuracy of the results (increasing the error).
The results of on average show () error for shear and bending, respectively, which is considerably lower than . Likewise, increasing the size of the lookup table or, in other words, preparing more initial data (e.g., from numerical or experimental structural analyses) can reduce the errors and scattered results faced more in calculating bending capacities.
Due to the issues of and (i.e., low accuracy and analysing stability), this study also developed codes. The results of this operator, which has the advantages of and , are shown in the last column of Figure 11. Against and , enlarging the lookup table can considerably increase the analysis and does not enhance the accuracy. Increasing the number of parameters (beams sections feature) also reduces accuracy. Additionally, its performance in the calculation of shear compared to bending calculation is more accurate. , with all sizes of inputs, should have entirely acceptable performance while, on average, the differences between the ACI direct calculation and for bending and shear are (). The maximum experienced average error, in general, is less than , which indicates the capability of for delegating standard designs. The beam calculation represents a simple and well-known problem for engineers. Choosing this problem not only makes it easier to assess the performance of ML operators by avoiding the complexity of other structural problems but also highlights the differences between the capacities and performances of different ML techniques. Previous studies may not have directly compared these techniques for a specific problem. Additionally, apart from evaluating the capability of ML operators, this study discusses their limitations, including the amount of error and low robustness in their operation. This emphasises the importance of avoiding overly complex problems for properly evaluating .
Furthermore, choosing beam calculation creates a versatile lookup table with various dimensions, encompassing random and harmonic variables. This choice also provides the flexibility to alter the number of parameters, facilitating an assessment of the sensitivity of techniques to these changes. It is important to note that due to limitations in the size of lookup tables, conducting a comprehensive study of this nature faces challenges. However, the significance of these achievements becomes apparent when applied to other types of structural studies, mainly when dealing with experimental results.
In many experimental studies, the complete details of the calculation approach are often unavailable, and researchers must rely on a limited dataset. In such cases, ML techniques offer a viable solution for continuously evaluating results. Therefore, the careful selection of operator types, considering their sensitivity to the size of the lookup table and the corresponding number of parameters based on the findings of this study, holds considerable importance.
4. Conclusions
This study explores the effectiveness of various machine learning () techniques in automating traditional structural calculations, aiming to assess the feasibility of replacing a design engineer with an operator. To evaluate this concept practically, the study addresses diverse structural problems, encompassing structural analysis and design, and employs various methods.
This study’s chosen structural problem is the standard calculation of a reinforced concrete beam section based on the ACI code. These operators were individually coded in MATLAB after validating the accuracy of the coded standard through comparisons with established references. Since the operators require training data, lookup tables based on standard parametric calculations were prepared. The study delves into the relationship between the errors of each operator (i.e., in comparison to direct ACI-based calculations) and factors like the number of parameters and the size of the lookup tables.
Despite the multitude of computational operators developed in recent decades, such as those for deep learning and optimisations, this study focuses on specific techniques to interpret the lookup tables with different amounts of data and parameters.
All three coded operators are adaptable and capable of delegating the standard parametric calculation. Nonetheless, the performance of all three operators depends on the number of parameters and size of training data. The first selected technique was , which showed the lowest accuracy and most stable operation, as demonstrated by repeating the same problems. The utilisation of for regression of the data, compared to , showed considerably higher accuracy, while the speed of the operation (analysing ) is slightly lower. Despite the high capacity of the , the results of its operation on the same problem are less stable. Likewise, the scatter performance of in bending calculation is considerably higher. This high probability of facing low accuracy in the results of and, despite its high capability, chaotic results of indicate the necessity of developing a method using the potentials of and while solving their issues.
Hence, the same process and variables with the were studied. Overall, provides a robust framework for modelling systems for calculating beam capacities, indicating the ability to handle uncertainty and learn from structural studies data. can delegate the ACI calculation, with, on average, less than difference. Nonetheless, more complex subjects, such as larger input sizes or parameter numbers, can slightly reduce the precision of .
In future studies, to increase the accuracy and reduce the analysing , the developed , , and codes should be developed in other platforms and primary coding languages (e.g., C++ or VB) for preparing software. The developed was also used with the most common adjustments and parameters. The coding options and parameters should be tuned in the next step for a more desirable operation.
Algorithm adjustment is the process of modifying the algorithms used by a machine learning model to enhance its performance. Each operator, including optimisation algorithms, offers a wide range of selected commands and parameters. In the case of , the number of hidden layers was briefly studied. For instance, when defining the membership function in , various types of line geometries, such as (triangular), (trapezoidal), (Gaussian curve), or with a constant shape, can be utilised. Similarly, selecting an inference system function that best suits the available data is crucial for each input (e.g., and ) and output variable. The optimal adjustment of coding parameters, achievable through manipulation, should prepare the most robust and accurate operator. However, a delicate balance must be maintained between the cost of analyses and the required accuracy. Some adjustments may slightly improve the operator’s performance but significantly increase the required time. Additionally, increasing the operator’s or function’s complexity in several cases reduces its accuracy. This phenomenon is akin to fitting a polynomial function with high-degree functions to x and y data when a lower degree is often more straightforward and accurate.
Author Contributions
Conceptualisation, A.B. and H.K.; methodology, A.B. and N.B.; software; writing—original draft preparation, A.B.; writing—review and editing, N.B. and A.B.; visualisation, N.B.; supervision, H.K., N.B. and A.B.; project administration, H.K. All authors have read and agreed to the published version of the manuscript.
Funding
This research received no external funding, and TU Braunschweig funded the APC.
Institutional Review Board Statement
Not applicable.
Informed Consent Statement
Not applicable.
Data Availability Statement
Data are contained within the article.
Conflicts of Interest
The authors declare no conflict of interest.
Abbreviations
The following abbreviations are used in this manuscript:
| Fuzzy logic | |
| Neural network | |
| Adaptive neuro-fuzzy inference system | |
| Machine learning operator | |
| Number of the hidden layers | |
| Width of the concrete section | |
| Height of the concrete section | |
| Distance between stirrups (mm) | |
| Bending capacity (Nmm) | |
| Shear capacity (N) | |
| Steel yield stress (N/mm) | |
| Concrete compressive strength (N/mm) | |
| Compressive re-bar | |
| Tensile re-bar | |
| Standard deviatoin | |
| Neutral axis of the concrete section | |
| tensile, balance and minimum re-bar percentage in section | |
| Tensile strain in the concrete section | |
| Number of the parameters used in each operation | |
| Size of the lookup table (number of the calculated section in each operation) |
References
- Burnham, K. Artificial Intelligence vs. Machine Learning: What is the Difference? Northeastern University: Boston, MA, USA, 2020. [Google Scholar]
- Goldenberg, S.L.; Nir, G.; Salcudean, S.E. A new era: Artificial intelligence and machine learning in prostate cancer. Nat. Rev. Urol. 2019, 16, 391–403. [Google Scholar] [CrossRef] [PubMed]
- Brownlee, J. A Tour of Machine Learning Algorithms. 2019. Available online: https://machinelearningmastery.com/a-tour-of-machine-learning-algorithms (accessed on 1 March 2023).
- Weidman, S. Deep Learning from Scratch: Building with Python from First Principles; O’Reilly Media: Sebastopol, CA, USA, 2019. [Google Scholar]
- Makrynioti, N.; Vasiloglou, N.; Pasalic, E.; Vassalos, V. Modelling machine learning algorithms on relational data with datalog. In Proceedings of the Second Workshop on Data Management for End-To-End Machine Learning, Houston, TX, USA, 15 June 2018; pp. 1–4. [Google Scholar]
- Aksjonov, A.; Nedoma, P.; Vodovozov, V.; Petlenkov, E.; Herrmann, M. Detection and evaluation of driver distraction using machine learning and fuzzy logic. IEEE Trans. Intell. Transp. Syst. 2018, 20, 2048–2059. [Google Scholar] [CrossRef]
- Zadeh, L.A. The role of fuzzy logic in modeling, identification and control. In Fuzzy Sets, Fuzzy Logic, and Fuzzy Systems: Selected Papers by Lotfi A Zadeh; World Scientific: Singapore, 1996; pp. 783–795. [Google Scholar]
- Serrano-Guerrero, J.; Romero, F.P.; Olivas, J.A. Fuzzy Logic Applied to Opinion Mining: A Review; Elsevier: Amsterdam, The Netherlands, 2021; Volume 222, p. 107018. [Google Scholar]
- Hiremath, P.; Khan, M.M.; Kumar, G.K. Fuzzy probability approach in seismic hazard analysis. In Proceedings of the Soil Dynamics and Earthquake Geotechnical Engineering: IGC 2016; Springer: Berlin/Heidelberg, Germany, 2019; Volume 3, pp. 41–49. [Google Scholar]
- Shukla, A.K.; Janmaijaya, M.; Abraham, A.; Muhuri, P.K. Engineering Applications of Artificial Intelligence: A Bibliometric Analysis of 30 Years (1988–2018); Elsevier: Amsterdam, The Netherlands, 2019; Volume 85, pp. 517–532. [Google Scholar]
- Khatibinia, M.; Gharehbagh, S.; Moustafa, A. Seismic reliability-based design optimisation of reinforced concrete structures including soil-structure interaction effects. In Earthquake Engineering-From Engineering Seismology to Optimal Seismic Design of Engineering Structures; IntechOpen: London, UK, 2015; pp. 267–304. [Google Scholar]
- Sahu, S.; Kumar, P.B.; Parhi, D.R. Intelligent hybrid fuzzy logic system for damage detection of beam-like structural elements. J. Theor. Appl. Mech. 2017, 55, 509–521. [Google Scholar] [CrossRef]
- Baghdadi, A.; Meshkini, A.; Kloft, H. Parametric design of in-plane concrete dry joints by FE method and Fuzzy logic toward utilising additive manufacturing technique. In Proceedings of the IASS Annual Symposia. International Association for Shell and Spatial Structures (IASS), Guildford, UK, 23–27 August 2021; pp. 1–12. [Google Scholar]
- Yu, Y.; Rashidi, M.; Samali, B.; Mohammadi, M.; Nguyen, T.N.; Zhou, X. Crack detection of concrete structures using deep convolutional neural networks optimised by enhanced chicken swarm algorithm. Struct. Health Monit. 2022, 21, 2244–2263. [Google Scholar] [CrossRef]
- Behnam, A.; Esfahani, M.R. prediction of biaxial bending behavior of steel-concrete composite beam-columns by artificial neural network. Int. J. Opt. Civ. Eng. 2018, 8, 381–399. [Google Scholar]
- İpek, S.; Güneyisi, E.M.; Mermerdaş, K.; Algın, Z. Optimization and modeling of axial strength of concrete-filled double skin steel tubular columns using response surface and neural-network methods. J. Build. Eng. 2021, 43, 103128. [Google Scholar] [CrossRef]
- Fathali, M.; Asgarian, B. Seismic response prediction of steel frame structures using adaptive neuro-fuzzy inference system. Struct. Eng. Mech. 2019, 69, 547–556. [Google Scholar]
- Peng, J.; Yan, G.; Zandi, Y.; Agdas, A.S.; Pourrostam, T.; El-Arab, I.E.; Denic, N.; Nesic, Z.; Cirkovic, B.; Khadimallah, M.A. Prediction and optimization of the flexural behavior of corroded concrete beams using adaptive neuro fuzzy inference system. Structures 2022, 43, 200–208. [Google Scholar]
- Shariati, M.; Mafipour, M.S.; Haido, J.H.; Yousif, S.T.; Toghroli, A.; Trung, N.T.; Shariati, A. dentification of the most influencing parameters on the properties of corroded concrete beams using an Adaptive Neuro-Fuzzy Inference System (ANFIS). I. Steel Compos Struct. 2020, 34, 155. [Google Scholar]
- Darain, K.; Hossain, M.; Jumaat, M.; Arifuzzaman, M. Prediction of Deflection Behavior of NSM Strengthened Reinforced Concrete Beam Using Fuzzy Logic. Sel. Sci. Pap.-J. Civ. Eng. 2022, 17, 1–10. [Google Scholar] [CrossRef]
- Chopra, P.; Sharma, R.K.; Kumar, M. prediction of compressive strength of concrete using artificial neural network and genetic programming. Adv. Mater. Sci. Eng. 2016, 2016, 7648467. [Google Scholar] [CrossRef]
- Amani, J.; Moeini, R. prediction of shear strength of reinforced concrete beams using adaptive neuro-fuzzy inference system and artificial neural network. Sci. Iran. 2012, 19, 242–248. [Google Scholar] [CrossRef]
- Toghroli, A.; Mohammadhassani, M.; Suhatril, M.; Shariati, M.; Ibrahim, Z. prediction of shear capacity of channel shear connectors using the ANFIS model. Steel Compos. Struct. 2014, 17, 623–639. [Google Scholar] [CrossRef]
- ACI 318-14; Building Code Requirements for Structural Concrete (ACI 318-14), Commentary on Building Code Requirements for Structural Concrete (ACI 318R-14). An ACI Standard and Report. American Concrete Institute: Indianapolis, IN, USA, 2014; ISBN 978-0-87031-930-3.
- McCormac, J.; Brown, R. Design of Reinforced Concrete-ACI 318-11 Code Edition; John Wiley & Sons, Inc.: Hoboken, NJ, USA, 2010; Volume 111. [Google Scholar]
- Mostofinejad, D. Reinforced Concrete Structures, Based on ACI 318-05 and Iranian Concrete Code; Arkan Science: Isfahan, Iran, 2008; Volume II, ISBN 964-2591-04-9. [Google Scholar]
- E-Street Developers and Bending Moment Diagram.com. Free Bending Moment and Shear Force. SkyeCiV. Available online: https://bendingmomentdiagram.com/free-calculator/reinforced-concrete-beam-calculator/ (accessed on 1 March 2023).
- Tahouni, S. Design of Reinforced Concrete Buildings; University of Tehran: Tehran, Iran, 2010; ISBN 978-964-03-6363-8. [Google Scholar]
- Kainia, A. Analysis and Design of Concrete Structures; Industrial University of Isfahan: Isfahan, Iran, 2010; ISBN 964-6122-08-6. [Google Scholar]
- Sutton, R.S.; Barto, A.G. Reinforcement Learning: An Introduction; MIT Press: Cambridge, MA, USA, 2018. [Google Scholar]
- Rose, K. Deterministic annealing for clustering, compression, classification, regression, and related optimisation problems. Proc. IEEE 1998, 86, 2210–2239. [Google Scholar] [CrossRef]
Disclaimer/Publisher’s Note: The statements, opinions and data contained in all publications are solely those of the individual author(s) and contributor(s) and not of MDPI and/or the editor(s). MDPI and/or the editor(s) disclaim responsibility for any injury to people or property resulting from any ideas, methods, instructions or products referred to in the content. |
© 2023 by the authors. Licensee MDPI, Basel, Switzerland. This article is an open access article distributed under the terms and conditions of the Creative Commons Attribution (CC BY) license (https://creativecommons.org/licenses/by/4.0/).










