Experimental and Numerical Characterization of Non-Proprietary UHPFRC Beam—Parametric Analyses of Mechanical Properties
Abstract
1. Introduction
| Fibre Type | Diameter (μm) | Length (mm)  | Density | Young’s Modulus (GPa)  | Elongation (%) | Melting/Decomposition Temperature (°C) | 
|---|---|---|---|---|---|---|
| PVA | 39 | 8–12 | 1600 | 42.8 | 6 | 230 | 
| PBO * | 13 | 6 | 5800 | 180–270 | 2.5–3.5 | 650 | 
| Carbon | 6.8–20 | 3–18 | 525–4660 | 33–268 | 0.8–2.4 | 1150–1200 | 
| Steel | 150–1000 | 13–25 | 350–2000 | 210 | 2–4 | >1425 | 
| PE | 24–38 | 12 | 1950–3000 | 39–100 | 3.1–8.0 | 150 | 
| Basalt | 15–16 | 12 | 2230–4840 | 85.8–89.0 | 2.85–3.15 | >1400 | 
| Glass | 6–20 | 3–6 | 2000–4000 | 70–80 | 2.0–3.5 | >1400 | 
| Aramid | 12 | 6 | 3400 | 74 | 4.5 | 500 | 
| PET | 38 | 12 | 1095 | 10.7 | 22 | 255 | 
| PP | 12–41 | 6–12 | 850–928 | 2.7–9.0 | 7.3–30 | 160 | 
| Nylon | 8 | 19 | 966 | 6 | 18 | 220 | 
| Fibres | Crack Width (μm) | Cost | Other Information | 
|---|---|---|---|
| Aramid | 10–30 | High | Structural, low ductility | 
| Basalt | - | Low | Structural, low ductility | 
| Carbon | - | High | Structural, low ductility. Self-sensing | 
| Glass | - | Low | Structural, low ductility | 
| Nylon | >100 | Comparable to PVA | Structural, high ductility | 
| PBO | 10–30 | High | Structural, low ductility. high strength | 
| PE | 50–150 | High | Structural, high ductility. High strength | 
| PET | 150–200 | Low | Non-structural | 
| PP | 70–260 | Low | Structural, high ductility. low strength | 
| PVA | <100 | - | General structural applications | 
| Steel | 10–30 | High | Structural, low ductility. High strength | 
| Ref. | Geometrical Parameters | Volume (%) | Tensile Performance | |||
|---|---|---|---|---|---|---|
| Length (mm) | Diameter (μm) | Shape | Strength (MPa) | Strain Capacity (%) | ||
| Li et al. [4] | 6–20 | 150 | Straight | 2.3 | 8 | 0.49 | 
| Wille et al. [5] | 13–30 | 200, 300, 380 | Twisted-Hooked | 2.5 | 12.4 | 0.49 | 
| Naaman [6] | 30 | 300 | Twisted | 2 | 13.6 | 1.25 | 
| Maalej and Li [7] | 6 | 150 | Straight | 1 | 4 | Quasi-brittle | 
| El-Tawil [8] | 30 | 300, 380 | Twisted-Hooked | 2 | 8.7 | 0.52 | 
| Tran and Kim [9] | 30 | 300, 375 | Twisted-Hooked | 1 | 6 | 0.50 | 
| Kanakubo [10] | 15 | 200 | Straight | 2 | 12.4 | 0.09 | 
| Naaman and Homrich [11] | 30 | 500 | Deformed-Hooked | 12 | 28 | 1.00–2.00 | 
2. Experimental Program
2.1. Materials
2.2. Mixing Procedure
2.2.1. Compression Tests
2.2.2. Flexural Tests
3. Numerical Analysis
4. Results and Discussions
4.1. Sensitivity Analyses
4.1.1. Mesh Size
4.1.2. Compressive Strength
4.1.3. Modulus of Elasticity
4.1.4. Tensile Strength and Crack Width
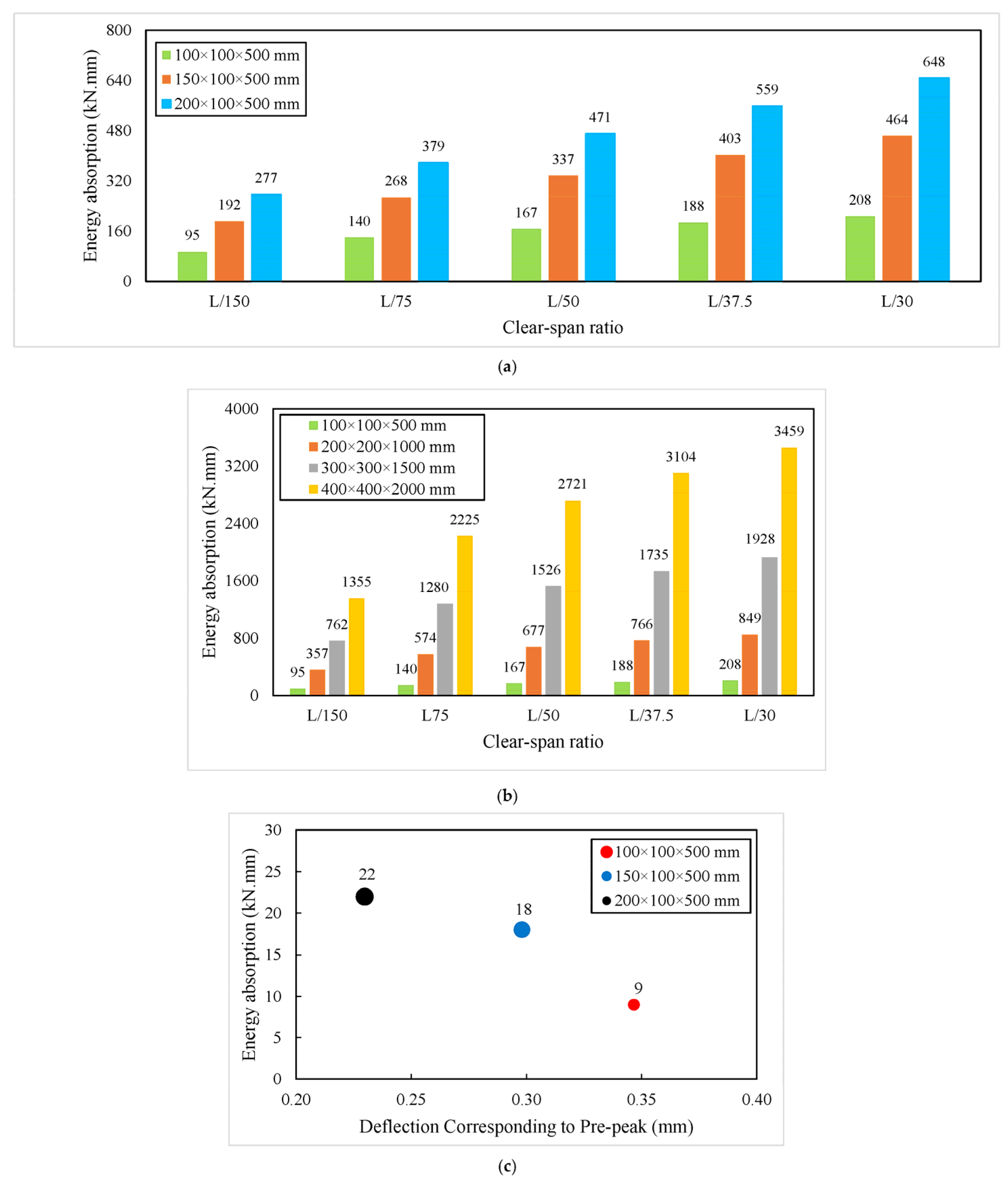
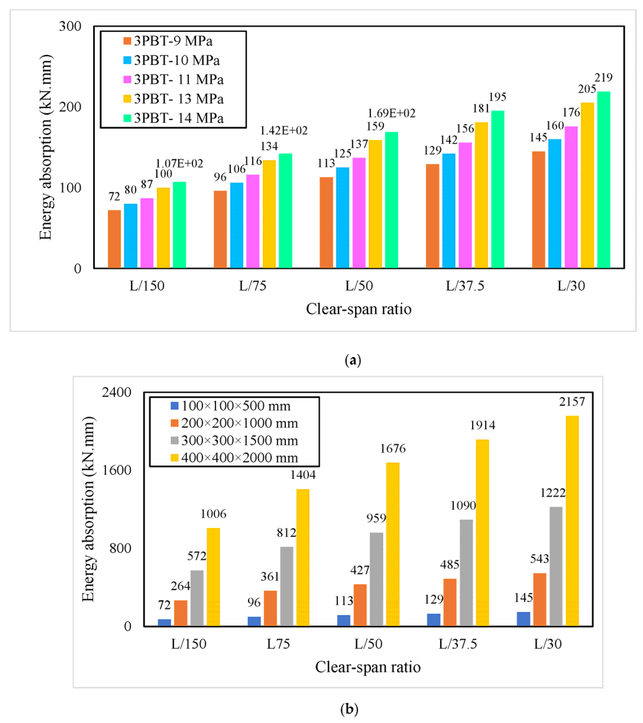
4.2. Size Effect, Fracture Energy, and Failure Pattern in 4PBTs
4.3. Three-Point Bending
4.4. Modelling of Size Effect
4.5. Cost Analysis
5. Conclusions
- −
 - UHPFRC shows satisfactory tensile strength (i.e., 10 MPa) and ductility, provided by the inclusion of MS fibres. Failure of specimens was characterized by the rupture of MS fibres.
 - −
 - The inverse analysis approach was adopted, which successfully captured the flexural response of the beams.
 - −
 - Finer mesh sizes result in stiffer responses of the beams; however, the impact is insignificant.
 - −
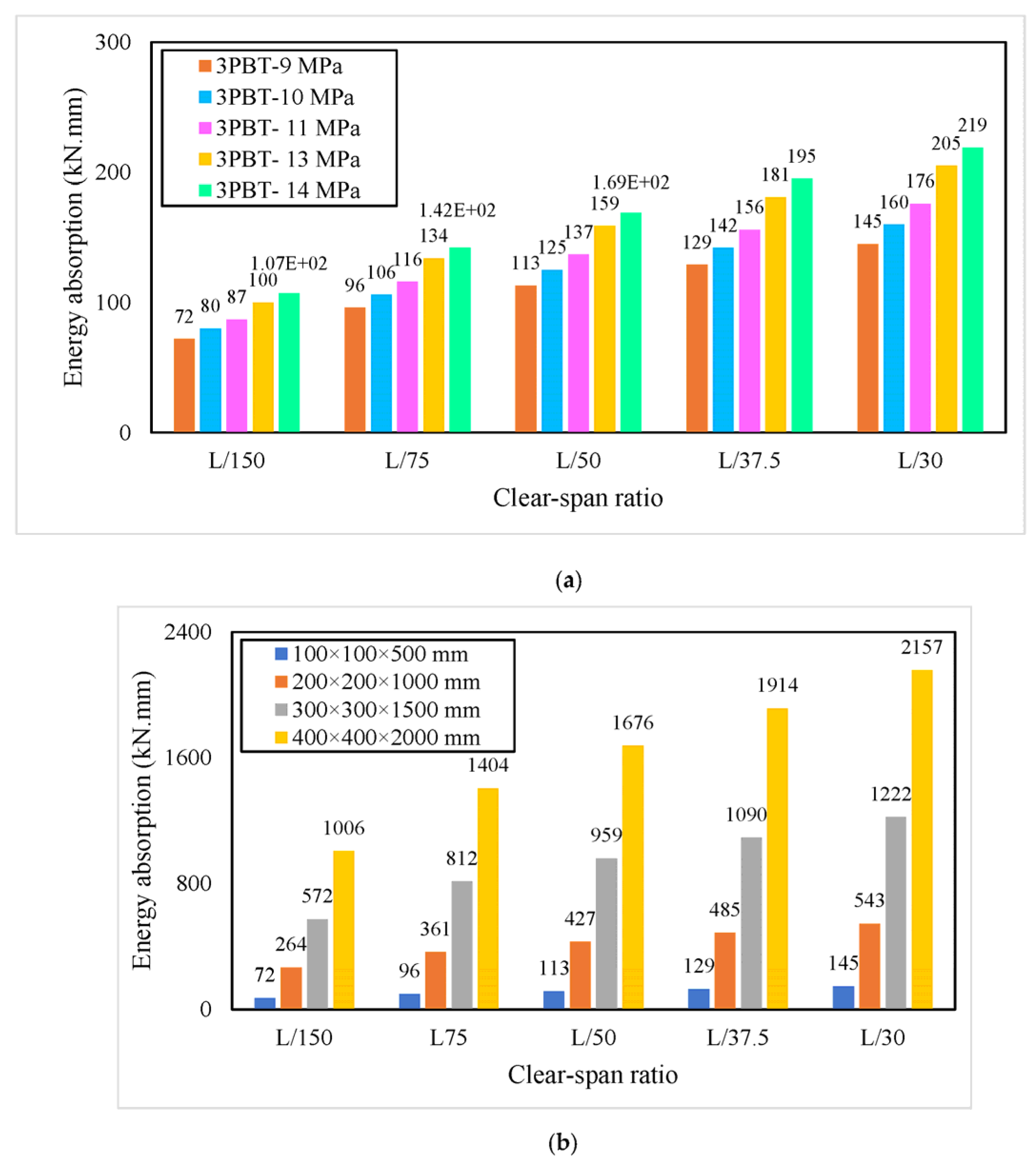
 - The model was insensitive to variations in compressive strength, as the compressive strength of the specimen is well greater than the compressive stress sustained by them. Increasing the modulus of elasticity by 25% contributed only 4.62% to the load capacity. On the other hand, tensile strength is the most important parameter, as its variation led to notable changes of up to 50.25% when changed from 10 MPa to 14 MPa in the flexural load-deflection response of the beams.
 - −
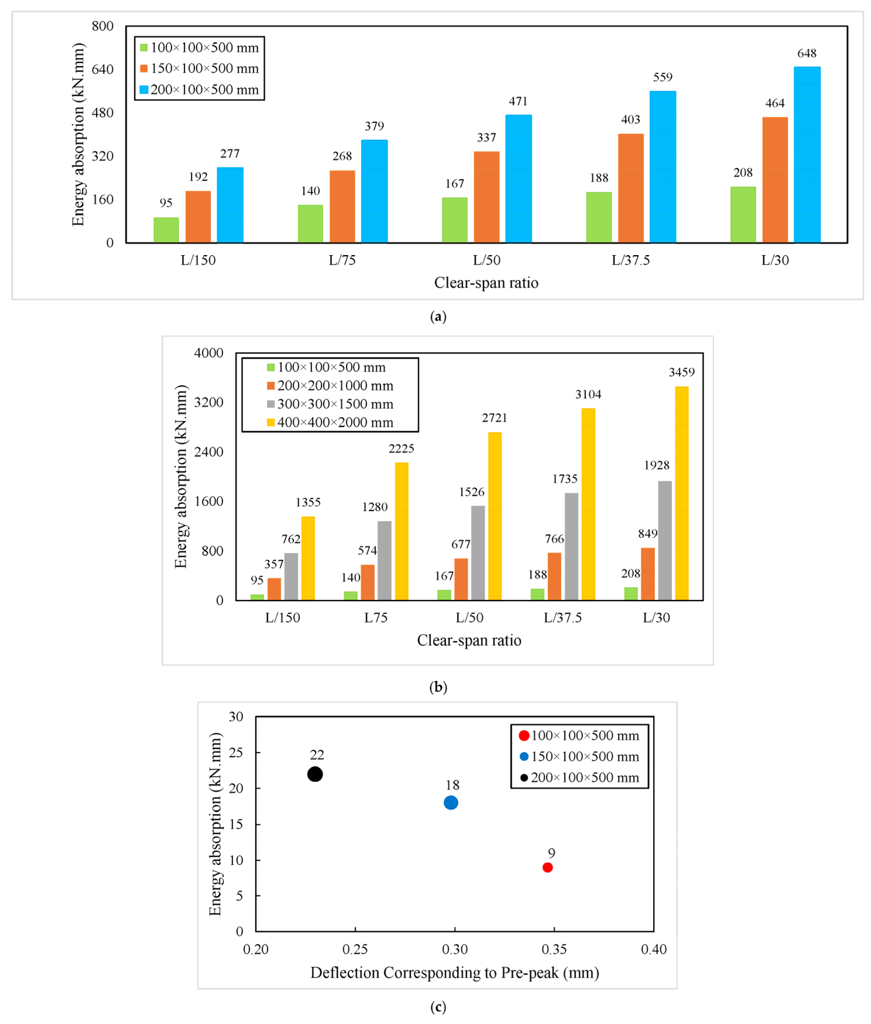
 - Size variations led to significant changes in the response of the beams, with the energy absorption being the most sensitive to the changes. Doubling the effective depth led to an improvement of 295% in the load capacity, while doubling the overall dimensions led to an increase of 280%.
 - −
 - Linear relationships (with over 0.96) exist between the energy absorption parameter and variations of tensile strength, depth, and overall size of the beam.
 
Recommendation for Future Works
Author Contributions
Funding
Data Availability Statement
Conflicts of Interest
References
- Dong, Y. Performance assessment and design of ultra-high performance concrete (UHPC) structures incorporating life-cycle cost and environmental impacts. Constr. Build. Mater. 2018, 167, 414–425. [Google Scholar] [CrossRef]
 - Lu, Z.; Feng, Z.G.; Yao, D.; Li, X.; Ji, H. Freeze-thaw resistance of Ultra-High performance concrete: Dependence on concrete composition. Constr. Build. Mater. 2021, 293, 123523. [Google Scholar] [CrossRef]
 - Zhang, D.; Yu, J.; Wu, H.; Jaworska, B.; Ellis, B.R.; Li, V.C. Discontinuous micro-fibers as intrinsic reinforcement for ductile Engineered Cementitious Composites (ECC). Compos. Part B Eng. 2020, 184, 107741. [Google Scholar] [CrossRef]
 - Li, V.C.; Wu, H.C.; Maalej, M.; Mishra, D.K.; Hashida, T. Tensile behavior of cement-based composites with random discontinuous steel fibers. J. Am. Ceram. Soc. 1996, 79, 74–78. [Google Scholar] [CrossRef]
 - Wille, K.; El-Tawil, S.; Naaman, A.E. Properties of strain hardening ultra high performance fiber reinforced concrete (UHP-FRC) under direct tensile loading. Cem. Concr. Compos. 2014, 48, 53–66. [Google Scholar] [CrossRef]
 - Naaman, A.E. Engineered steel fibers with optimal properties for reinforcement of cement composites. J. Adv. Concr. Technol. 2003, 1, 241–252. [Google Scholar] [CrossRef]
 - Maalej, M.; Li, V.C. Flexural/tensile-strength ratio in engineered cementitious composites. J. Mater. Civ. Eng. 1994, 6, 513–528. [Google Scholar] [CrossRef]
 - Kim, D.J.; El-Tawil, S.; Naaman, A.E. Rate-dependent tensile behavior of high performance fiber reinforced cementitious composites. Mater. Struct. 2009, 42, 399–414. [Google Scholar] [CrossRef]
 - Tran, T.K.; Kim, D.J. Investigating direct tensile behavior of high performance fiber reinforced cementitious composites at high strain rates. Cem. Concr. Res. 2013, 50, 62–73. [Google Scholar] [CrossRef]
 - Kanakubo, T. Tensile characteristics evaluation method for ductile fiber-reinforced cementitious composites. J. Adv. Concr. Technol. 2006, 4, 3–17. [Google Scholar] [CrossRef]
 - Naaman, A.E.; Homrich, J.R. Tensile stress-strain properties of SIFCON. Mater. J. 1989, 86, 244–251. [Google Scholar]
 - Kim, J.C.; Lim, W.Y. Prediction of compressive strength and elastic modulus for ultra-high-performance concrete. Constr. Build. Mater. 2023, 363, 129883. [Google Scholar] [CrossRef]
 - Wang, B.; Liu, G.; Zhou, J. Properties of Concrete Columns Strengthened by CFRP-UHPC under Axial Compression. Buildings 2023, 13, 596. [Google Scholar] [CrossRef]
 - Zhang, X.; Lu, Y.; Wu, X.; Wang, P.; Li, R.; Liu, Y.; Shen, C.; Zhang, H.; Zhang, D. Constitutive model for ultra-high performance concrete (UHPC) considering the size effect under cyclic compressive loading. Constr. Build. Mater. 2023, 368, 130499. [Google Scholar] [CrossRef]
 - Li, J.; Deng, Z. Tensile behavior of ultra-high performance concrete reinforced with different hybrid fibers. Struct. Concr. 2023, 24, 1415–1435. [Google Scholar] [CrossRef]
 - Shi, Z.; Su, Q.; Kavoura, F.; Veljkovic, M. Uniaxial tensile response and tensile constitutive model of ultra-high performance concrete containing coarse aggregate (CA-UHPC). Cem. Concr. Compos. 2023, 136, 104878. [Google Scholar] [CrossRef]
 - Xin, T.I.; Zhi, F.A.; Teng, Z.H.; Xiang, Y. Behavior and constitutive model of ultra-high-performance concrete under monotonic and cyclic tensile loading. Constr. Build. Mater. 2023, 389, 131634. [Google Scholar]
 - Pan, R.; Song, X.; He, W.; Qin, L. Direct shear strength of UHPC considering size effect: Theoretical model and experimental verification. J. Build. Eng. 2023, 2023, 106381. [Google Scholar] [CrossRef]
 - Jiang, H.; Huang, C.; Mei, G.; Gao, X.; Tian, Y.; Sun, X. Experimental and numerical investigations on direct shear performance of UHPC dry joints. Eng. Struct. 2023, 283, 115872. [Google Scholar] [CrossRef]
 - Ye, M.; Li, L.; Yoo, D.Y.; Li, H.; Shao, X.; Zhou, C. Mechanistic understanding of precast UHPC segmental beams with external tendons and epoxy joints subject to combined bending and shear. Eng. Struct. 2023, 280, 115698. [Google Scholar] [CrossRef]
 - Cai, H.; Liu, Z.; Xu, Z.; Zhang, Z.; Xu, T. Flexural Tensile Behavior of Interface between Precast and Cast-in-Place UHPC Members Based on Four-Point Bending Test. Buildings 2023, 13, 745. [Google Scholar] [CrossRef]
 - Li, C.; Aoude, H. Effect of UHPC jacketing on the shear and flexural behaviour of high-strength concrete beams. Structures 2023, 51, 1972–1996. [Google Scholar] [CrossRef]
 - Zhang, Y.; Wang, H.; Qin, Y.; Huang, S.; Fan, W. Experimental and analytical studies on the flexural behavior of steel plate-UHPC composite strengthened RC beams. Eng. Struct. 2023, 283, 115834. [Google Scholar] [CrossRef]
 - Cao, X.; Zhang, W.J.; Ren, Y.C.; Fu, F.; Li, Y.H.; He, D.B.; Zheng, Y. Torsional capacity of ultra-high-performance concrete beams using rectangle stirrup. J. Build. Eng. 2023, 69, 106231. [Google Scholar] [CrossRef]
 - Yousef, A.M.; Marami, N.A.; Tahwia, A.M. Experimental and Numerical Investigation for Torsional Behavior of UHPFRC Shallow and Deep Beams. Arab. J. Sci. Eng 2023, 2023, 1–4. [Google Scholar] [CrossRef]
 - Wang, J.; Ji, W.; An, M.; Li, W. Fatigue behaviour of reinforced UHPC-NC composite beams. Case Stud. Constr. Mater. 2023, 2023, e02055. [Google Scholar]
 - Li, L.; Xu, L.; Zeng, Y.; Cui, K.; Chi, Y.; Huang, L. Understanding the role of coarse aggregate on tensile fatigue behaviors of ultra-high performance concrete. Cem. Concr. Compos. 2023, 2023, 105069. [Google Scholar] [CrossRef]
 - Yan, Y.; Yan, Y.; Wang, Y.; Cai, H.; Zhu, Y. Seismic Behavior of UHPC-Filled Rectangular Steel Tube Columns Incorporating Local Buckling. Buildings 2023, 13, 1028. [Google Scholar] [CrossRef]
 - Luo, Y.; Zhao, Y.; Chen, Y.; Lin, X.; Yan, J. Experimental Studies on Seismic Performance of UHPSFRC-Filled Square Steel Tubular Columns. Buildings 2022, 12, 798. [Google Scholar] [CrossRef]
 - Hasan, M.; Jamil, M.; Saidi, T. Mechanical properties and durability of ultra-high-performance concrete with calcined diatomaceous earth as cement replacement. J. Mech. Behav. Mater. 2023, 32, 20220272. [Google Scholar] [CrossRef]
 - Amin, M.; Agwa, I.S.; Mashaan, N.; Mahmood, S.; Abd-Elrahman, M.H. Investigation of the Physical Mechanical Properties and Durability of Sustainable Ultra-High Performance Concrete with Recycled Waste Glass. Sustainability 2023, 15, 3085. [Google Scholar] [CrossRef]
 - Xie, X.; Fan, J.; Guo, P.; Huang, H.; Hu, J.; Wei, J. Composition Design and Fundamental Properties of Ultra-High-Performance Concrete Based on a Modified Fuller Distribution Model. Materials 2023, 16, 700. [Google Scholar] [CrossRef] [PubMed]
 - Xi, B.; Al-Obaidi, S.; Ferrara, L. Effect of different environments on the self-healing performance of Ultra High-Performance Concrete–A systematic literature review. Constr. Build. Mater. 2023, 374, 130946. [Google Scholar] [CrossRef]
 - Al-Huri, M.A.; Al-Osta, M.A.; Ahmad, S.; Al-Dulaijan, S.U. Effect of early-strengthening of RC beams using UHPC layers on their performance against reinforcement corrosion. Struct. Concr. 2023, 24, 2260–2279. [Google Scholar] [CrossRef]
 - El-Khoriby, R.S.; Taher, S.E.; Ghazy, M.F.; Abd-Elaty, M.A. Performance of pre-cracked beams exposed to corrosion environment cast with ultra-high performance concrete. Ain Shams Eng. J. 2023, 2023, 102171. [Google Scholar] [CrossRef]
 - He, B.; Zhang, H.; Zhu, X.; Zheng, Q.; Onuaguluchi, O.; Banthia, N.; Jiang, Z. Thermal-dependent brittleness effect of ultra-high performance concrete exposed to cryogenic flexural loads by acoustic emission evaluation. Cem. Concr. Compos. 2023, 2023, 105056. [Google Scholar] [CrossRef]
 - Zhang, H.; He, B.; Zhu, X.; Wang, Q.; Jiang, Z. Flexural performance and patterns identification of UHPC subjected to alternating elevated and cryogenic attacks with acoustic emission characterization. Constr. Build. Mater. 2023, 364, 129962. [Google Scholar] [CrossRef]
 - Amran, M.; Murali, G.; Makul, N.; Kurpińska, M.; Nehdi, M.L. Fire-induced spalling of ultra-high performance concrete: A systematic critical review. Constr. Build. Mater. 2023, 373, 130869. [Google Scholar] [CrossRef]
 - Banerji, S.; Kodur, V. Numerical model for tracing the response of Ultra-High performance concrete beams exposed to fire. Fire Mater. 2023, 47, 322–340. [Google Scholar] [CrossRef]
 - Sadaghian, H.; Pourbaba, M.; Andabili, S.Z.; Mirmiran, A. Experimental and numerical study of flexural properties in UHPFRC beams with and without an initial notch. Constr. Build. Mater. 2021, 268, 121196. [Google Scholar] [CrossRef]
 - Liu, Y.; Xie, J.; Yan, J.B. Flexural and fracture performance of UHPC exposed to low-temperature environment. Constr. Build. Mater. 2023, 373, 130865. [Google Scholar] [CrossRef]
 - Al-Osta, M.A.; Kharma, K.M.; Ahmad, S.; Maslehuddin, M.; Al-Huri, M.; Khalid, H. Strategies for strengthening of corroded reinforced concrete beams using CFRP laminates and UHPC jacketing. Struct. Concr. 2023, 24, 1546–1571. [Google Scholar] [CrossRef]
 - Hong, S.G.; Lim, W.Y. Strengthening of shear-dominant reinforced concrete beams with ultra-high-performance concrete jacketing. Constr. Build. Mater. 2023, 365, 130043. [Google Scholar] [CrossRef]
 - Zmetra, K.M.; McMullen, K.F.; Zaghi, A.E.; Wille, K. Experimental study of UHPC repair for corrosion-damaged steel girder ends. J. Bridge Eng. 2017, 22, 04017037. [Google Scholar] [CrossRef]
 - Zhang, Y.; Zhu, P.; Liao, Z.; Wang, L. Interfacial bond properties between normal strength concrete substrate and ultra-high performance concrete as a repair material. Constr. Build. Mater. 2020, 235, 117431. [Google Scholar] [CrossRef]
 - Liu, Y.; Wei, Y. Effect of calcined bauxite powder or aggregate on the shrinkage properties of UHPC. Cem. Concr. Compos. 2021, 118, 103967. [Google Scholar] [CrossRef]
 - Smarzewski, P. Mechanical properties of ultra-high performance concrete with partial utilization of waste foundry sand. Buildings 2020, 10, 11. [Google Scholar] [CrossRef]
 - Du, J.; Meng, W.; Khayat, K.H.; Bao, Y.; Guo, P.; Lyu, Z.; Abu-Obeidah, A.; Nassif, H.; Wang, H. New development of ultra-high-performance concrete (UHPC). Compos. Part B Eng. 2021, 224, 109220. [Google Scholar] [CrossRef]
 - Pyo, S.; Abate, S.Y.; Kim, H.K. Abrasion resistance of ultra high performance concrete incorporating coarser aggregate. Constr. Build. Mater. 2018, 165, 11–16. [Google Scholar] [CrossRef]
 - Li, P.P.; Yu, Q.L.; Brouwers, H.J.; Chen, W. Conceptual design and performance evaluation of two-stage ultra-low binder ultra-high performance concrete. Cem. Concr. Res. 2019, 125, 105858. [Google Scholar] [CrossRef]
 - Pyo, S.; Kim, H.K.; Lee, B.Y. Effects of coarser fine aggregate on tensile properties of ultra high performance concrete. Cem. Concr. Compos. 2017, 84, 28–35. [Google Scholar] [CrossRef]
 - Yoo, D.Y.; Kim, M.J.; Kim, S.W.; Park, J.J. Development of cost effective ultra-high-performance fiber-reinforced concrete using single and hybrid steel fibers. Constr. Build. Mater. 2017, 150, 383–394. [Google Scholar] [CrossRef]
 - Meng, W.; Yao, Y.; Mobasher, B.; Khayat, K.H. Effects of loading rate and notch-to-depth ratio of notched beams on flexural performance of ultra-high-performance concrete. Cem. Concr. Compos. 2017, 83, 349–359. [Google Scholar] [CrossRef]
 - ASTM C494/C494M; Standard Specification for Chemical Admixtures for Concrete. ASTM International: West Conshohocken, PA, USA, 2019.
 - ASTM C39/C39M; Standard Test Method for Compressive Strength of Cylindrical Concrete Specimens. ASTM International: West Conshohocken, PA, USA, 2021.
 - SETRA Service d’études Techniques des Routes et Autoroutes; AFGC Association Française de Génie Civil. Ultra High Performance Fiber–Reinforced Concretes-Interim Recommendations Bétons Fibrés à UltraHautes Performances–Recommandations Provisoires; SETRA: Paris, France, 2002.
 - ASTM C1609/C1609M; Standard Test Method for Flexural Performance of Fiber-Reinforced Concrete (Using Beam with Third-Point Loading). ASTM International: West Conshohocken, PA, USA, 2019.
 - ATENA. Finite Element Software, ATENA Program Documentation, Theory and FRC User Manual; Cervenka Consulting: Prague, Czech Republic, 2016. [Google Scholar]
 - GID. Pre-, and Post-Processing Software for Engineering Models; International Centre for Numerical Methods in Engineering CIMNE: Barcelona, Spain, 2015. [Google Scholar]
 - Khalilzadehtabrizi, S.; Sadaghian, H.; Farzam, M. Uncertainty of concrete strength in shear and flexural behavior of beams using lattice modeling. Front. Struct. Civ. Eng. 2023, 17, 306–325. [Google Scholar] [CrossRef]
 - Sadaghian, H.; Farzam, M. Numerical investigation on punching shear of RC slabs exposed to fire. Comput. Concr. 2019, 23, 217–233. [Google Scholar]
 - Dadmand, B.; Sadaghian, H.; Khalilzadehtabrizi, S.; Pourbaba, M.; Shirdel, M.; Mirmiran, A. Studying the compressive, tensile and flexural properties of binary and ternary fiber-reinforced UHPC using experimental, numerical and multi-target digital image correlation methods. Case Stud. Constr. Mater. 2023, 2023, e01865. [Google Scholar] [CrossRef]
 - Dadmand, B.; Pourbaba, M.; Sadaghian, H.; Mirmiran, A. Experimental & numerical investigation of mechanical properties in steel fiber-reinforced UHPC. Comput. Concr. Int. J. 2020, 26, 451–465. [Google Scholar]
 - Dadmand, B.; Pourbaba, M.; Sadaghian, H.; Mirmiran, A. Effectiveness of steel fibers in ultra-high-performance fiber-reinforced concrete construction. Adv. Concr. Constr. 2020, 10, 195–209. [Google Scholar]
 - Parvin, Y.A.; Shaghaghi, T.M.; Pourbaba, M.; Mirrezaei, S.S.; Zandi, Y. Experimental investigation on UHPC beams reinforced with GFRP and steel rebars and comparison with prediction equations. Adv. Concr. Constr. 2022, 14, 45–55. [Google Scholar]
 - Dadmand, B.; Pourbaba, M.; Riahi, R. Experimental and Numerical Investigation of Different Types of Jacketing Effect on Retrofitting RC Short Columns Using ECC Concrete. Period. Polytech. Civ. Eng. 2022, 66, 603–613. [Google Scholar] [CrossRef]
 - Ahangarnazha, B.H.; Pourbaba, M.; Afkar, A. Bond behavior between steel and Glass Fiber Reinforced Polymer (GFRP) bars and ultra high performance concrete reinforced by Multi-Walled Carbon Nanotube (MWCNT). Steel Compos. Struct. Int. J. 2020, 35, 463–474. [Google Scholar]
 - Baghaei Osgouei, Y.; Tavousi Tafreshi, S.; Pourbaba, M. Flexural Properties of UHPFRC Beams with an Initial Notch. J. Rehabil. Civ. Eng. 2023, 11, 141–177. [Google Scholar]
 - Pourbaba, M.; Joghataie, A. Determining shear capacity of ultra-high performance concrete beams by experiments and comparison with codes. Sci. Iran. 2019, 26, 273–282. [Google Scholar] [CrossRef]
 - Suksawang, N.; Wtaife, S.; Alsabbagh, A. Evaluation of Elastic Modulus of Fiber-Reinforced Concrete. ACI Mater. J. 2018, 115, 239–249. [Google Scholar] [CrossRef]
 - Bazant, Z.P.; Chen, E.P. Scaling of structural failure. Appl. Mech. Rev. 1997, 50, 593. [Google Scholar] [CrossRef]
 - Carpinteri, A.; Chiaia, B. Multifractal scaling laws in the breaking behaviour of disordered materials. Chaos Solitons Fractals 1997, 8, 135–150. [Google Scholar] [CrossRef]
 - Kim, J.K.; Yi, S.T. Application of size effect to compressive strength of concrete members. Sadhana 2002, 27, 467–484. [Google Scholar] [CrossRef]
 - Skazlić, M.; Bjegović, D. Toughness testing of ultra high performance fibre reinforced concrete. Mater. Struct. 2009, 42, 1025–1038. [Google Scholar] [CrossRef]
 - Walraven, J.C. High performance fiber reinforced concrete: Progress in knowledge and design codes. Mater. Struct. 2009, 42, 1247. [Google Scholar] [CrossRef]
 

















| Cement | Silica Fume | |
|---|---|---|
| 61.33 | 0.38 | |
| 6.40 | 0.25 | |
| 21.01 | 96 | |
| 3.12 | 0.12 | |
| 3.02 | 0.10 | |
| 2.30 | - | |
| Specific surface area (cm2/g) | 3413 | 200,000 | 
| ) | 3.15 | 2.10 | 
| Water | Cement | Silica Fume | Silica Sand | Silica Flour | Superplasticizer | |
|---|---|---|---|---|---|---|
| 0.2 | 160.3 | 788.5 | 197.1 | 867.4 | 236.6 | 52.6 * | 
| Type | (mm) | (mm) | (MPa) | (GPa) | 
|---|---|---|---|---|
| Straight micro steel (MS) | 13 | 0.16 | 2700 | 200 | 
| Sample ID | Bazant and Chen [71] | Kim and Yi [73] | Carpinteri and Chiaia [72] | |||||||
|---|---|---|---|---|---|---|---|---|---|---|
| Parameters | A | B | ||||||||
| 4PBT | 2.146 | 772.514 | 0.960 | 2618.805 | 1,390,098 | −2616.700 | 0.9753 | 231.460 | 10,326.170 | 0.815 | 
| 3PBt | 2.473 | 424.179 | 0.941 | 14.241 | 0.390 | 1.3648 | 0.981 | 220.435 | 19,266.440 | 0.979 | 
| Material | Price per kg (Rial) | 
|---|---|
| Portland Cement | 3500 | 
| Silica Sand | 1000 | 
| Silica Fume | 12,000 | 
| Quartz Powder | 15,000 | 
| Superplasticizer | 200,000 | 
| Steel Fibre | 250,000 | 
| Water | Almost free | 
Disclaimer/Publisher’s Note: The statements, opinions and data contained in all publications are solely those of the individual author(s) and contributor(s) and not of MDPI and/or the editor(s). MDPI and/or the editor(s) disclaim responsibility for any injury to people or property resulting from any ideas, methods, instructions or products referred to in the content.  | 
© 2023 by the authors. Licensee MDPI, Basel, Switzerland. This article is an open access article distributed under the terms and conditions of the Creative Commons Attribution (CC BY) license (https://creativecommons.org/licenses/by/4.0/).
Share and Cite
Osgouei, Y.B.; Tafreshi, S.T.; Pourbaba, M. Experimental and Numerical Characterization of Non-Proprietary UHPFRC Beam—Parametric Analyses of Mechanical Properties. Buildings 2023, 13, 1565. https://doi.org/10.3390/buildings13061565
Osgouei YB, Tafreshi ST, Pourbaba M. Experimental and Numerical Characterization of Non-Proprietary UHPFRC Beam—Parametric Analyses of Mechanical Properties. Buildings. 2023; 13(6):1565. https://doi.org/10.3390/buildings13061565
Chicago/Turabian StyleOsgouei, Younes Baghaei, Shahriar Tavousi Tafreshi, and Masoud Pourbaba. 2023. "Experimental and Numerical Characterization of Non-Proprietary UHPFRC Beam—Parametric Analyses of Mechanical Properties" Buildings 13, no. 6: 1565. https://doi.org/10.3390/buildings13061565
APA StyleOsgouei, Y. B., Tafreshi, S. T., & Pourbaba, M. (2023). Experimental and Numerical Characterization of Non-Proprietary UHPFRC Beam—Parametric Analyses of Mechanical Properties. Buildings, 13(6), 1565. https://doi.org/10.3390/buildings13061565
        