Comparative Analysis of Buffer and Damper Positions for Increasing the Seismic Performance of Suspension Bridge
Abstract
:1. Introduction
2. Buffers and Damper Layout Schemes
2.1. Introduction of the Researched Bridge
2.2. Buffers Layout Schemes
2.3. Comparison and Selection of Longitudinal Seismic Resistance Schemes for the Bridge
3. Numerical Modeling
3.1. Finite Element Model
3.2. Earthquake Loads
4. Results and Discussions
4.1. Effect of Buffer Location
4.1.1. Comparison of Vibration Modes and Frequencies
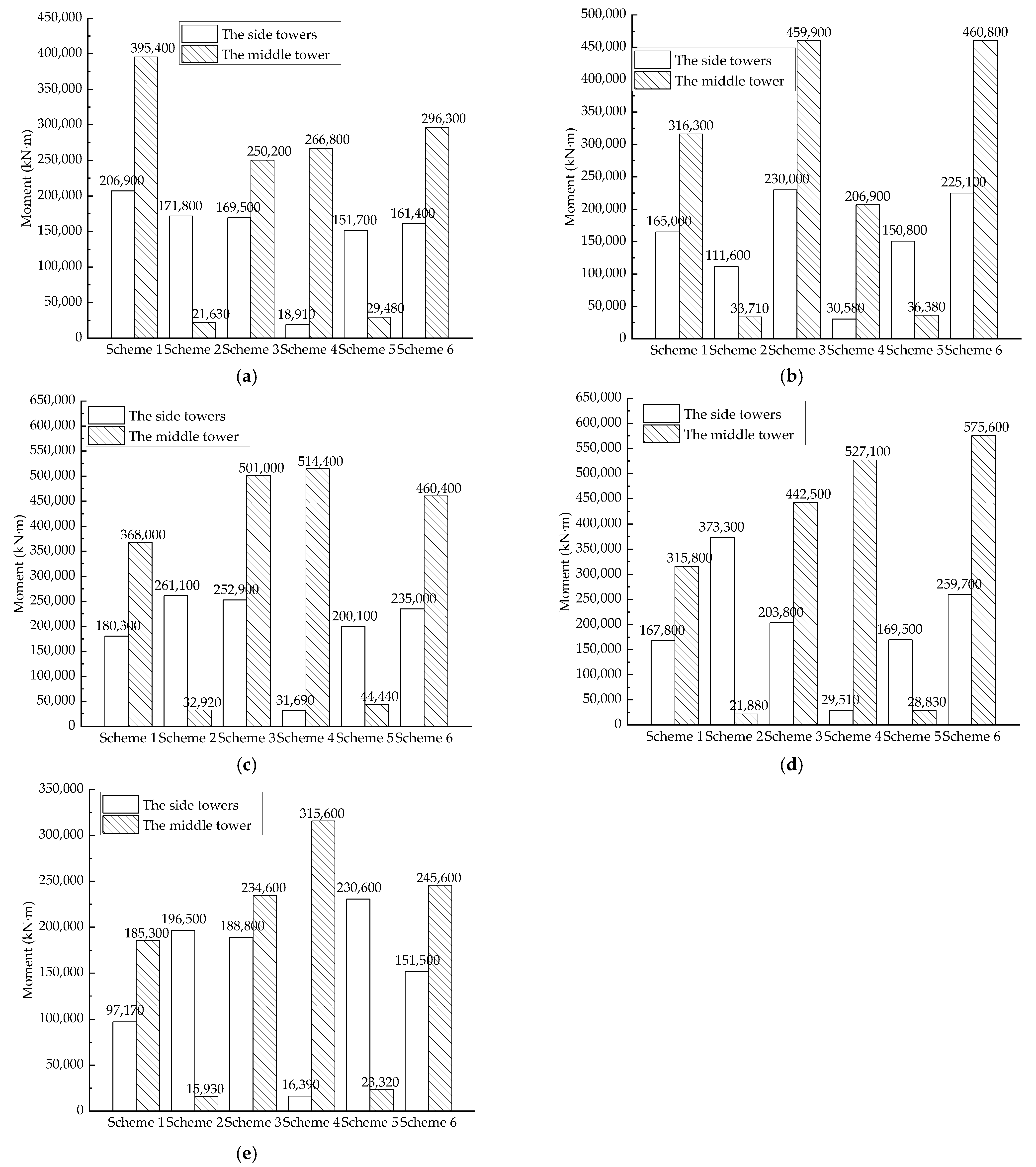
4.1.2. Comparison of Internal Forces
4.2. Effect of Damper Location
4.2.1. Comparison of the Longitudinal Deformation
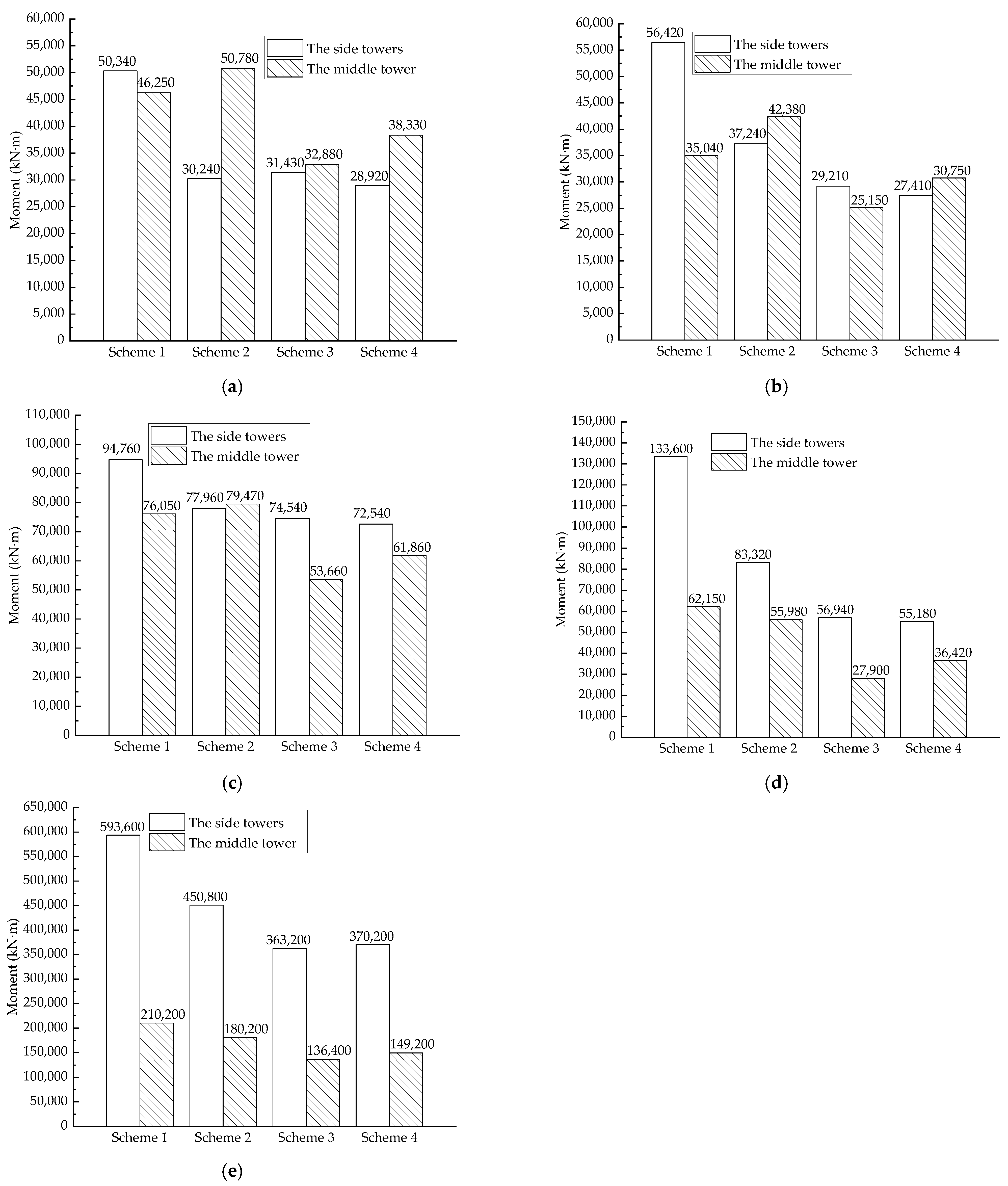
4.2.2. Comparison of Internal Forces
5. Summary and Conclusions
- Part of the lateral seismic design was aimed at investigating the effect of buffer location on the dynamic response of the three-tower SASB. The installation locations of the buffers have a marked impact on the first lateral mode of the bridge. Increasing the number of the lateral buffers increases the lateral frequency and leads to larger seismic responses of the towers when the bridge is suffering earthquake loads.
- Part of the longitudinal seismic design was aimed at selecting the optimal layout scheme of the viscous damper for the three-tower SASB with a CSG. The weakness structure of the bridge under longitudinal earthquake waves is the side towers when the bridge has no dampers. The viscous dampers assembled between the towers and the main girder drastically reduce the moments of the towers in longitudinal direction. Installation of the dampers in a reasonable way can balance the internal force distribution in the side towers and the middle tower.
- Comparing the two-part results, to effectively increase the seismic performance of SASBs with three towers, mounting buffers between the side towers and the main girder of SASBs is an appropriate scheme. The installation of the dampers between the columns of the middle tower and the stiffening girder is better than other seismic control schemes. In addition, the number of viscous dampers in this scheme is more economical than the other schemes.
Author Contributions
Funding
Data Availability Statement
Conflicts of Interest
References
- Abdel-Ghaffar, A.M.; Rubin, L.I. Torsional earthquake response of suspension bridges. J. Eng. Mech. 1984, 110, 1467–1484. [Google Scholar] [CrossRef]
- Abdel-Ghaffar, A.M.; Scanlan, R.H. Ambient vibration studies of golden gate bridge: II. Pier-tower structure. J. Eng. Mech. 1985, 111, 483–499. [Google Scholar] [CrossRef]
- Abdel-Ghaffar, A.M.; Scanlan, R.H. Ambient vibration studies of golden gate bridge: I. Suspended structure. J. Eng. Mech. 1985, 111, 463–482. [Google Scholar] [CrossRef]
- Abdel-Ghaffar, A.M.; Rubin, L.I. Lateral earthquake response of suspension bridges. J. Struct. Eng. 1984, 109, 664–675. [Google Scholar] [CrossRef]
- Celebi, M. Golden gate bridge response: A study with low-amplitude data from three earthquakes. Earthq. Spectra 2012, 28, 487–510. [Google Scholar] [CrossRef]
- Bahbouh, L.; Yamada, H.; Katsuchi, H.; Sasaki, E.; Theeraphong, C. The behaviour of Akashi Kaikyo Bridge under multi support seismic excitation for low frequency motions. WIT Trans. Built Environ. 2009, 104, 345–355. [Google Scholar]
- Xiao, L.; Li, C.J.; Qiang, S.Z. Influence of Soil-Pile-Structure interaction on seismic response of long span suspension bridge. In Proceedings of the Integrated Transportation Systems—Green Intelligent Reliable (ICCTP 2010), Beijing, China, 4–8 August 2010; pp. 3147–3156. [Google Scholar]
- Arzoumanidis, S.; Shama, A.A.; Marlow, S.J.; Orsolini, G.O. The New Tacoma Narrows Suspension Bridge: Critical issues in seismic analysis and design. In Proceedings of the Structures 2005, New York, NY, USA, 20–24 April 2005; pp. 1–12. [Google Scholar]
- Gao, Y.; Yuan, W.C.; Zhou, M.; Cao, X.J. Seismic Analysis and Design Optimization of a Self-Anchored Suspension Bridge. In Proceedings of the Lifeline Earthquake Engineering in a Multihazard Environment (TCLEE2009), Oakland, CA, USA, 28 June–1 July 2009; pp. 153–164. [Google Scholar]
- Okuda, M.; Fukunaga, S.; Endo, K. Seismic design and seismic performance retrofit study for the Akashi Kaikyo Bridge. Bridge Struct. Assess. Des. Constr. 2009, 5, 109–118. [Google Scholar] [CrossRef]
- Vader, T.S.; Mcdaniel, C.C. Influence of dampers on seismic response of cable-supported bridge towers. J. Bridge Eng. 2007, 12, 373–379. [Google Scholar] [CrossRef]
- Murphy, T.P.; Collins, K.R. Retrofitting suspension bridges using distributed dampers. J. Struct. Eng. 2004, 130, 1466–1474. [Google Scholar] [CrossRef]
- Wang, H.; Zhou, R.; Zong, Z.H.; Wang, C.; Li, A.Q. Study on seismic response control of a single-tower self-anchored suspension bridge with elastic-plastic steel damper. Sci. China Technol. Sci. 2012, 55, 1496–1502. [Google Scholar] [CrossRef]
- Song, X.M.; Dai, G.L.; Zeng, Q.Y. Seismic response analysis and control of self-anchored suspension bridge. J. Cent. South Univ. Sci. Technol. 2009, 40, 1079–1085. [Google Scholar]
- Xu, Z.; Yang, Y.; Miao, A. Dynamic analysis and parameter optimization of pipelines with multidimensional vibration isolation and mitigation device. J. Pipeline Syst. Eng. Pract. 2021, 12, 04020058. [Google Scholar] [CrossRef]
- He, Z.; Huang, X.; Xu, Z.; Shi, Q.; Guo, Y.; Kim, J. Experimental study on seismic performance of prefabricated viscoelastic damping bolted joints. Eng. Struct. 2022, 256, 113933. [Google Scholar] [CrossRef]
- He, Z.; Xu, Z.; Xue, J.; Jing, X.; Dong, Y.; Li, Q. Experimental and mathematical model of a novel viscoelastic bio-inspired multi-dimensional vibration isolation device. Mech. Adv. Mater. Struct. 2022. [Google Scholar] [CrossRef]
- Deng, Y.L.; Peng, T.B.; Li, J.Z.; Ji, L. Study on dynamic characteristic and aseismic performance of a long-span triple-tower suspension bridge. J. Vib. Shock 2008, 27, 105–110. [Google Scholar]
- Wang, H.; Zou, K.G.; Li, A.Q.; Jiao, C.K. Parameter effects on the dynamic characteristics of a super-long-span triple-tower suspension bridge. J. Zhejiang Univ. Sci. A Appl. Phys. Eng. 2010, 11, 305–316. [Google Scholar] [CrossRef]
- Zhang, J.W.; Guo, W.H.; Xiang, C.Q. Dynamic characteristics analysis and parametric study of a super-long-span triple-tower suspension bridge. Appl. Mech. Mater. 2012, 256–259, 627–1633. [Google Scholar] [CrossRef]
- Jiao, C.K.; Li, A.Q.; Wang, H. Seismic response control of three-towers suspension bridge. J. Vib. Meas. Diagn. 2011, 31, 156–161. [Google Scholar]
- Wang, H.; Li, J.; Tao, T.Y.; Wang, C.F.; Li, A.Q. Influence of apparent wave velocity on seismic performance of a super-long-span triple-tower suspension bridge. Adv. Mech. Eng. 2015, 7, 1687814015589464. [Google Scholar] [CrossRef]
- Fang, Z.Z.; Zhang, C.; Chen, Y.J. Dynamic characteristics analysis and parametric study of self-anchored suspension bridge with three towers. J. Earthq. Eng. Eng. Vib. 2010, 30, 97–102. [Google Scholar]
- Chen, Y.J.; Fang, Z.Z.; Zhang, C. Research on main saddle’s restriction of self-anchored suspension bridge with three towers. J. Fuzhou Univ. Nat. Sci. Ed. 2011, 39, 428–433. [Google Scholar]
- Zhang, C.; Fang, Z.Z. The influence law of longitudinal constraints between tower and girder on seismic performance of self-anchored suspension bridge with multi-tower. J. Fuzhou Univ. Nat. Sci. Ed. 2013, 41, 539–543. [Google Scholar]
- Zhang, C.; Huang, K. Influence law of tower stiffness on vertical stiffness of three-tower self-anchored suspension bridge based on frequency formulas. J. Vibroeng. 2014, 16, 2909–2920. [Google Scholar]
- Tian, K.; Pan, S. Research on Parameters of Damping Device for Three-tower Concrete Self-anchored Suspension Bridge. North. Commun. 2018, 5, 1–6. [Google Scholar]













| Material | Type | DB | E (KN/m2) | v | α (1/[C]) | ρ (KN/m3/g) |
|---|---|---|---|---|---|---|
| Cables | steel | Wire1770 | 2.05 × 10+08 | 0.3 | 1.20 × 10−05 | 8 |
| Suspenders | steel | Wire1670 | 2.05 × 10+08 | 0.3 | 1.20 × 10−05 | 8 |
| Prestressed reinforcement | steel | Strand1860 | 1.95 × 10+08 | 0.3 | 1.20 × 10−05 | 8 |
| Concrete | concrete | C55 | 3.55 × 10+07 | 0.2 | 1.00 × 10−05 | 2.55 |
| Steel bar | steel | Q345 | 2.06 × 10+08 | 0.3 | 1.20 × 10−05 | 7.85 |
| Records | Component | ||
|---|---|---|---|
| Year | VS (m/s) | Site Classes | |
| San Fernando Pacoima Dam record | 1971 | 2016.13 | Hard rock with measured shear wave velocity, VS > 1500 m/s |
| Whittier Narrows-01 (Pasadena -CIT Kresge Lab) record | 1987 | 969.07 | Rock with 760 m/s < VS ≤ 1500 m/s |
| Taft Lincoln School record | 1952 | 385.43 | Very dense soil and soft rock with 360 m/s < VS ≤ 760 m/s |
| El Centro Site record | 1940 | 213.44 | Stiff soil with 180 m/s ≤ VS ≤ 360 m/s |
| MtCarmel-2008-0418a record | 2008 | 160.00 | Soil profile with VS < 180 m/s |
| Scheme Type | First Order Mode | Second Order Mode | Third Order Mode | Fourth Order Mode |
|---|---|---|---|---|
| Scheme 1 | ![]() | ![]() | ![]() | ![]() |
| Symmetric lateral vibration of the main cables | Antisymmetric lateral vibration of the main cables | Symmetric lateral vibration of the main cables | Antisymmetric lateral vibration of the main cables | |
| Scheme 2 | ![]() | ![]() | ![]() | ![]() |
| Symmetric lateral bending of the CSG | Antisymmetric lateral bending of the concrete stiffening girder | Symmetric lateral bending of the CSG accompanied by lateral bending of the side towers | Antisymmetric lateral vibration of the main cables accompanied by lateral bending of the side towers | |
| Scheme 3 | ![]() | ![]() | ![]() | ![]() |
| Symmetric lateral bending of the CSG accompanied by lateral bending of the three towers | Antisymmetric lateral bending of the CSG accompanied by a lateral bending of the side tower | Symmetric lateral bending of the CSG accompanied by lateral bending of the side towers | Antisymmetric lateral vibration of the main cables accompanied by the lateral bending of the side towers | |
| Scheme 4 | ![]() | ![]() | ![]() | ![]() |
| Antisymmetric lateral bending of the CSG | Symmetric lateral bending of the CSG | Symmetric lateral vibration of the main cables accompanied by lateral bending of the middle tower | Antisymmetric lateral vibration of the main cables | |
| Scheme 5 | ![]() | ![]() | ![]() | ![]() |
| Symmetric lateral bending of the CSG accompanied by lateral bending of the side towers | Antisymmetric lateral vibration of the main cables accompanied by the lateral-bending of the side towers | Symmetric lateral vibration of the main cables | Symmetric lateral vibration of the main cables | |
| Scheme 6 | ![]() | ![]() | ![]() | ![]() |
| Symmetric lateral vibration of the main cables accompanied by lateral bending of the three towers | Antisymmetric lateral vibration of the main cables accompanied by the lateral bending of the side towers | Symmetric lateral vibration of the main cables | Antisymmetric lateral vibration of the main cables |
Disclaimer/Publisher’s Note: The statements, opinions and data contained in all publications are solely those of the individual author(s) and contributor(s) and not of MDPI and/or the editor(s). MDPI and/or the editor(s) disclaim responsibility for any injury to people or property resulting from any ideas, methods, instructions or products referred to in the content. |
© 2022 by the authors. Licensee MDPI, Basel, Switzerland. This article is an open access article distributed under the terms and conditions of the Creative Commons Attribution (CC BY) license (https://creativecommons.org/licenses/by/4.0/).
Share and Cite
Pan, S.; Wang, J.; Fan, S.; Tian, K.; Zhu, W. Comparative Analysis of Buffer and Damper Positions for Increasing the Seismic Performance of Suspension Bridge. Buildings 2023, 13, 81. https://doi.org/10.3390/buildings13010081
Pan S, Wang J, Fan S, Tian K, Zhu W. Comparative Analysis of Buffer and Damper Positions for Increasing the Seismic Performance of Suspension Bridge. Buildings. 2023; 13(1):81. https://doi.org/10.3390/buildings13010081
Chicago/Turabian StylePan, Shengshan, Jichong Wang, Shuli Fan, Kailun Tian, and Weizhi Zhu. 2023. "Comparative Analysis of Buffer and Damper Positions for Increasing the Seismic Performance of Suspension Bridge" Buildings 13, no. 1: 81. https://doi.org/10.3390/buildings13010081
APA StylePan, S., Wang, J., Fan, S., Tian, K., & Zhu, W. (2023). Comparative Analysis of Buffer and Damper Positions for Increasing the Seismic Performance of Suspension Bridge. Buildings, 13(1), 81. https://doi.org/10.3390/buildings13010081

























