Effect of External Tendon Profile on Improving Structural Performance of RC Beams
Abstract
:1. Introduction
2. Methodology and Programming
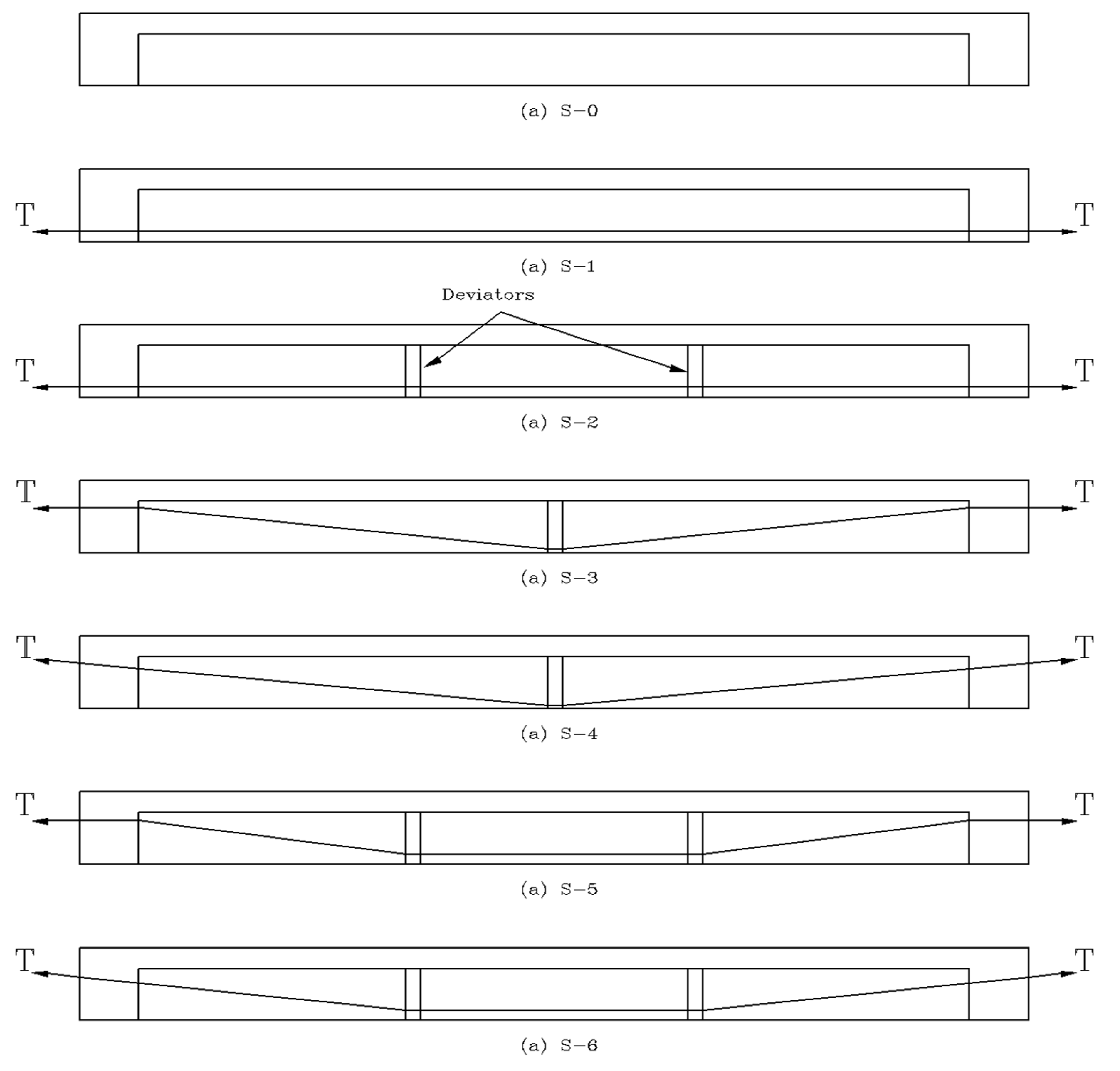
2.1. Strengthening Techniques with External Pre-Stressing
2.2. Specimen Data
2.3. Pre-Stressing and Loading Process
2.4. Software Program
2.4.1. Finite Element Model of Concrete
2.4.2. Finite Element Model of Steel Bars
2.4.3. Finite Element Model of External Tendon
3. Validation of the Models
4. Strengthening Beams Using External Tendons
4.1. Failure Modes
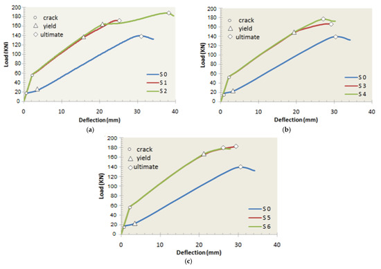
4.2. Load–Deflection Curves
4.3. Load-Carrying Capacity
4.4. Ductility Analysis
5. Conclusions
- ▪
- The FE results are largely consistent with the laboratory experiments performed by Harajli et al.
- ▪
- The results indicate that strengthening the RC beams using external pre-stressing cables enhances their ultimate load-carrying capacity and mechanical behavior substantially.
- ▪
- Strengthening beams with external pre-stressing techniques can delay the early cracking load by approximately 228–275% when compared to an unstrengthened beam.
- ▪
- Strengthening beams with external pre-stressing techniques can improve the load-carrying capacity by 522–639% for yield and 24–35% for ultimate capacity compared to an unstrengthened beam.
- ▪
- The number of interior deviators and the profile of tendon have a significant impact on the load-capacity, but only a little impact on the ductility. Beams that were strengthened with two deviators (straight-line tendons as in S2 and U-shaped tendons as in S5) increase the load-carrying capacity by about 9.1 and 8.6%, respectively, compared to the strengthened beams without deviators (straight-line tendons as in S1), and with one deviator (V-shape tendons as in S3). In addition, the strengthened beam with a straight-line tendon and two deviators, S2, features the highest ductility factor. Therefore, the idea of external pre-stressing straight-line tendons and two inner deviators is recommended for strengthening simple T-beam cases.
- ▪
- Although, strengthening an existing T-beam using an external tendon with mid-deviators has some field-application difficulties, the results show that using at least one mid-deviator is required to achieve a good level of improvement in the structural performance.
- ▪
- The tension method of the external tendon exerts a light impact on the loading capacity and the ductility of the specimens. Therefore, the tilting tension method or the horizontal tension method can be used. So, the horizontal tension method is recommended for simple implementation in the field.
- ▪
- On the basis of the experimental study and the detailed FE analysis, more research is needed to create a practical technique for indeterminate structure enhancing using exterior pre-stressed methods in addition to performing parametric study for more parameters including the span/depth ratio, pre-stressing force, and strength of concrete.
Author Contributions
Funding
Institutional Review Board Statement
Informed Consent Statement
Data Availability Statement
Conflicts of Interest
References
- Zou, J.; Huang, Y.; Feng, W.; Chen, Y.; Yue, H. Experimental study on flexural behavior of concrete T-beams strengthened with externally prestressed tendons. Math. Biosci. Eng. 2019, 16, 6962–6974. [Google Scholar] [CrossRef] [PubMed]
- Lee, S.-H.; Shin, K.-J.; Lee, H.-D. Post-Tensioning Steel Rod System for Flexural Strengthening in Damaged Reinforced Concrete (RC) Beams. Appl. Sci. 2018, 8, 1763. [Google Scholar] [CrossRef] [Green Version]
- Xin, Y.; Wu, J.; Wu, Q.; Cui, W.; Zhang, S.; Cheng, S. Study on the sickle anchoring joint in external prestressing strengthening of portal frame. Structures 2020, 28, 552–561. [Google Scholar] [CrossRef]
- Tan, K.-H.; Ng, C.-K. Effects of Deviators and Tendon Configuration on Behavior of Externally Prestressed Beams. ACI Struct. J. 1997, 94, 13–22. [Google Scholar] [CrossRef]
- Fan, Y.L. Collapse Behavior of RC Column-Beam Sub-Structure with External Prestressing Tendons. Appl. Mech. Mater. 2016, 847, 325–330. [Google Scholar] [CrossRef]
- Aslam, M.; Shafigh, P.; Jumaat, M.Z.; Shah, S.N.R. Strengthening of RC beams using prestressed fiber reinforced polymers–A review. Constr. Build. Mater. 2015, 82, 235–256. [Google Scholar] [CrossRef]
- Liu, T.; Xiao, Y.; Yang, J.; Chen, B.S. CFRP Strip Cable Retrofit of RC Frame for Collapse Resistance. J. Compos. Constr. 2017, 21, 04016067. [Google Scholar] [CrossRef]
- Mukherjee, A.; Rai, G. Performance of reinforced concrete beams externally prestressed with fiber composites. Constr. Build. Mater. 2009, 23, 822–828. [Google Scholar] [CrossRef]
- Nordin, H. Strengthening Structures with Externally Pre-Stressed Tendons: Laboratory Tests; University of Technology, Technical Report, Department of Civil and Environmental Engineering, Division of Structural Engineering, Luleå University of Technology: Lulea, Sweden, 2005; Available online: https://dokumen.tips/documents/strengthening-structures-with-externally-prestressed-tendons-997963fulltext01pdf.html?page=1 (accessed on 20 April 2022).
- Nordin, H. Strengthening Structures with Externally Pre-Stressed Tendons: Literature Review; University of Technology, Technical Report, Department of Civil and Environmental Engineering, Division of Structural Engineering, Luleå University of Technology: Lulea, Sweden, 2005; Available online: http://citeseerx.ist.psu.edu/viewdoc/download?doi=10.1.1.620.5475&rep=rep1&type=pdf (accessed on 20 April 2022).
- Stoll, F.; Saliba, J.E.; Casper, L.E. Experimental study of CFRP-prestressed high-strength concrete bridge beams. Compos. Struct. 2000, 49, 191–200. [Google Scholar] [CrossRef]
- Picard, A.; Massicotte, B.; Bastien, J. Relative efficiency of external prestressing. J. Struct. Eng. 1995, 121, 1832–1841. [Google Scholar] [CrossRef]
- Ghallab, A.; Beeby, A.W. Calculating stress of external prestressing tendons. Struct. Build. 2004, 157, 263–278. [Google Scholar] [CrossRef]
- Kim, J.; Shin, W.-S. Retrofit of RC frames against progressive collapse using prestressing tendons. Struct. Design Tall Spec. Build. 2013, 22, 349–361. [Google Scholar] [CrossRef]
- Mahmoud, N.S.; Badr, A.; Ssalem, F.A.; Ghannam, M. Strengthening Steel Frames by Using Post Tensioned Cable. Life Sci. J. 2014, 11, 111–116. Available online: https://www.researchgate.net/publication/289610723_Strengthing_steel_frames_by_using_post_tensioned_cable (accessed on 20 April 2022).
- Ghannam, M.; Mahmoud, N.S.; Badr, A.; Salem, F.A. Effect of post tensioning on strengthening different types of steel frames. J. King Saud Univ.–Eng. Sci. 2017, 29, 329–338. [Google Scholar] [CrossRef] [Green Version]
- Diep, B.K.; Umehara, H. Non-linear Analysis of Externally Prestressed Concrete Beams. Electron. J. Struct. Eng. 2002, 2, 85–96. Available online: https://citeseerx.ist.psu.edu/viewdoc/download?doi=10.1.1.1083.8062&rep=rep1&type=pdf (accessed on 20 April 2022).
- Harajli, M.H. Strengthening of Concrete Beams by External Prestressing. PCI J. 1993, 38, 76–88. Available online: https://www.pci.org/PCI_Docs/Publications/PCI%20Journal/1993/November/Strengthening%20of%20Concrete%20Beams%20by%20External%20Prestressing.pdf (accessed on 20 April 2022). [CrossRef]
- Lou, T.-J.; Xiang, Y.-Q. Finite element modeling of concrete beams prestressed with external tendons. Eng. Struct. 2006, 28, 1919–1926. [Google Scholar] [CrossRef]
- Ibrahim, A.M. Parametric Study of Continuous Concrete Beam Prestressed with External Tendon. Jordan J. Civ. Eng. 2010, 4, 11. [Google Scholar]
- Lou, T.; Lopes, S.M.R.; Lopes, A.V. Flexural Response of Continuous Concrete Beams Prestressed with External Tendons. J. Bridge Eng. 2013, 18, 525–537. [Google Scholar] [CrossRef]
- Kobrosli, H.; Baalbaki, O.; Jahami, A.; Abou Saleh, Z.; Khatib, J.; Kırgız, M.; Galdino, A. Influence of various design parameters of the grouted duct on mono-strand bond behavior in post-tensioned members. J. Mater. Res. Technol. 2022, 17, 1232–1245. [Google Scholar] [CrossRef]
- Kobrosli, H.; Baalbaki, O.; Jahami, A.; Saleh, Z.; Khatib, J.; Sonebi, M. Effect of duct type, size, and embedment on bond behavior of post-tensioned mono-strand concrete members. Mater. Today Proc. 2022, 58, 1205–1210. [Google Scholar] [CrossRef]
- ANSYS Workbench. Computer Software for Finite Element Analysis; Verification Manual, Release 19.2; ANSYS Inc.: Canonsburg, PA, USA, 2018. [Google Scholar]
- Housing and Building National Research Centre. Egyptian Code of Practice, code no. ECP 203, 2007. In Ministry of Housing, Utilities and Urban Communities, 1st ed.; Housing and Building National Research Centre: Cairo, Egypt, 2007. [Google Scholar]
- Harajli, M.; Khairallah, N.; Nassif, H. Externally Prestressed Members: Evaluation of Second-Order Effects. J. Struct. Eng. ASCE 1999, 125, 1151–1161. Available online: https://ascelibrary.org/doi/abs/10.1061/(ASCE)0733-9445(1999)125:10(1151) (accessed on 20 April 2022).













| Properties | Concrete | Steel | Tendon | ||||||
|---|---|---|---|---|---|---|---|---|---|
| f′c (MPa) | Ec (GPa) | Poisson’s Ratio | fy (MPa) | Es (GPa) | Poisson’s Ratio | fpu (MPa) | Es (GPa) | Poisson’s Ratio | |
| value | 40 | 37.5 | 0.2 | 335 | 200 | 0.3 | 1860 | 200 | 0.3 |
| Beam Specimen | As (mm2) Steel | Steel fy (MPa) | Tendon Ape (mm2) | Tendon fpe (MPa) | Tendon fpu (MPa) | Concrete f′c (MPa) |
|---|---|---|---|---|---|---|
| T2S | 340.0 | 612.0 | 39.0 | 935.0 | 1607.0 | 40.1 |
| T4S | 603.0 | 413.7 | 75.0 | 994.0 | 1986.0 | 41.8 |
| Specimen No. | Cracking | Yielding | Ultimate | |||
|---|---|---|---|---|---|---|
| Load kN | Maximum Deflection mm | Load kN | Maximum Deflection mm | Load kN | Maximum Deflection mm | |
| S0 | 16 | 0.65 | 23.00 | 3.42 | 139.26 | 30.41 |
| S1 | 56 | 0.95 | 143.12 | 16.06 | 171.76 | 23.04 |
| S2 | 60 | 1.37 | 164.34 | 20.28 | 187.46 | 36.16 |
| S3 | 53 | 1.10 | 153.50 | 19.79 | 166.90 | 27.11 |
| S4 | 52 | 1.13 | 155.38 | 19.91 | 176.78 | 26.27 |
| S5 | 56 | 1.05 | 170.02 | 21.54 | 181.20 | 28.41 |
| S6 | 58 | 1.19 | 168.12 | 20.53 | 177.38 | 24.93 |
| Specimen No. | Cracking | Yielding | Ultimate | ||||||
|---|---|---|---|---|---|---|---|---|---|
| Load kN | % Increase over S0 | % Increase over S1 | Load kN | % Increase over S0 | % Increase over S1 | Load kN | % Increase over S0 | % Increase over S1 | |
| S0 | 16 | - | - | 23.00 | - | - | 139.26 | - | - |
| S1 | 56 | 250 | - | 143.12 | 522 | - | 171.76 | 24.0 | - |
| S2 | 60 | 275 | 7.15 | 164.34 | 614 | 14.83 | 187.46 | 35.0 | 9.14 |
| S3 | 53 | 231 | −5.36 | 153.50 | 567 | 7.25 | 166.90 | 20.0 | −2.83 |
| S4 | 52 | 228 | −7.15 | 155.38 | 575 | 8.57 | 176.78 | 27.0 | 2.92 |
| S5 | 56 | 250 | 0.00 | 170.02 | 639 | 18.80 | 181.20 | 30.0 | 5.50 |
| S6 | 58 | 262 | 3.57 | 168.12 | 631 | 17.47 | 177.38 | 27.5 | 3.27 |
| Specimen No. | Tendon Profile | mm | mm | % Decrease | |
|---|---|---|---|---|---|
| S0 | - | 3.42 | 30.41 | 8.9 | - |
| S1 | straight | 16.06 | 23.04 | 1.4 | 84 |
| S2 | straight | 20.28 | 36.16 | 1.8 | 80 |
| S3 | V-shape | 19.79 | 27.11 | 1.4 | 84 |
| S4 | V-shape | 19.91 | 26.27 | 1.3 | 85 |
| S5 | U-shape | 21.54 | 28.41 | 1.3 | 85 |
| S6 | U-shape | 20.53 | 24.93 | 1.2 | 86 |
Publisher’s Note: MDPI stays neutral with regard to jurisdictional claims in published maps and institutional affiliations. |
© 2022 by the authors. Licensee MDPI, Basel, Switzerland. This article is an open access article distributed under the terms and conditions of the Creative Commons Attribution (CC BY) license (https://creativecommons.org/licenses/by/4.0/).
Share and Cite
Mohamed, G.A.; Eisa, A.S.; Purcz, P.; Ručinský, R.; El-Feky, M.H. Effect of External Tendon Profile on Improving Structural Performance of RC Beams. Buildings 2022, 12, 789. https://doi.org/10.3390/buildings12060789
Mohamed GA, Eisa AS, Purcz P, Ručinský R, El-Feky MH. Effect of External Tendon Profile on Improving Structural Performance of RC Beams. Buildings. 2022; 12(6):789. https://doi.org/10.3390/buildings12060789
Chicago/Turabian StyleMohamed, Gouda A., Ahmed S. Eisa, Pavol Purcz, Rastislav Ručinský, and Mohamed H. El-Feky. 2022. "Effect of External Tendon Profile on Improving Structural Performance of RC Beams" Buildings 12, no. 6: 789. https://doi.org/10.3390/buildings12060789
APA StyleMohamed, G. A., Eisa, A. S., Purcz, P., Ručinský, R., & El-Feky, M. H. (2022). Effect of External Tendon Profile on Improving Structural Performance of RC Beams. Buildings, 12(6), 789. https://doi.org/10.3390/buildings12060789

