Experimental Study on the Propagation Law of Explosive Stress Wave in Cement Mortar with Weak Layers
Abstract
:1. Introduction
2. Explosive Experiment Design
2.1. Specimens
2.2. Materials Strength
2.3. Measure Technology
2.4. Experiment Protocol
3. Damage Levels under Explosive Loading
4. Propagation Law of Explosive Stress Wave in Cement Mortar
4.1. Calculating with the Electric Charge
4.2. Calculating with the Strain
5. Propagation Law of Stress Wave in Weak Layer
5.1. Calculating with the Electric Charge
5.2. Calculating with the Strain
6. Theoretical Analysis Transmission and Reflection of Explosive Stress Wave
6.1. Doubles-Layer Materials
6.2. Three-Layer Materials
7. Conclusions
- Through the multi-layer material, an explosive shock wave becomes a stress wave with a rise time. Multi-layer material can effectively reduce the peak value of explosive stress waves. Therefore, the damage to the structure can be weakened.
- Moreover, 8 cm to 14 cm away from the explosive center, the average transmittance is 50.16%. Furthermore, for 12 cm to 18 cm, the average transmittance is 62.89%, increasing by 12.73%. The two points are further away from the explosive center, the greater the transmittance is.
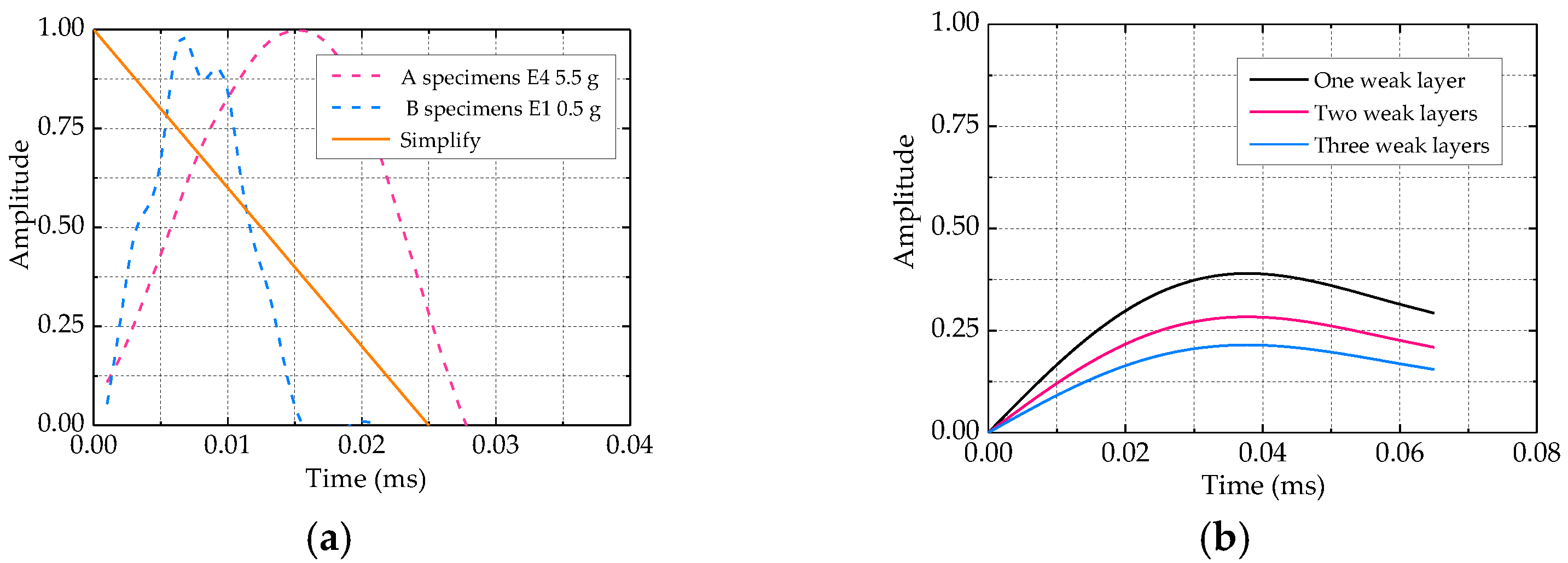
- The weak layer has good attenuation performance when it comes to the explosive stress wave, and the transmittance of one weak layer is 43.37%. When several weak layers are close to each other, there are reflections and refractions between layers. The transmittance mainly decreased in the first weak layer. The transmittances reduced by the second and the third weak layer are not obvious, that is, about 80.97% and 70.84%, respectively.
- The experimental research proves that the weak layer has excellent attenuation performance when it comes to the explosive stress wave, and can be a choice in protective structures.
Author Contributions
Funding
Conflicts of Interest
References
- Yang, F.; Feng, W.H.; Liu, F.; Jing, L.; Yuan, B.; Chen, D. Experimental and numerical study of rubber concrete slabs with steel reinforcement under close-in blast loading. Constr. Build. Mater. 2019, 198, 423–436. [Google Scholar] [CrossRef]
- Yuen, S.; Nurick, G.N. Experimental and numerical studies on the response of quadrangular stiffened plates. Part I: Subjected to uniform blast load. Int. J. Impact. Eng. 2005, 31, 55–83. [Google Scholar] [CrossRef]
- Yao, S.J.; Zhang, D.; Chen, X.G.; Lu, F.Y.; Wang, W. Experimental and numerical study on the dynamic response of RC slabs under blast loading. Eng. Fail Anal. 2016, 66, 120–129. [Google Scholar] [CrossRef]
- Feng, J.; Zhou, Y.Z.; Wang, P.; Wang, B.; Zhou, J.N.; Chen, H.L.; Fan, H.L.; Jin, F.N. Experimental research on blast-resistance of one-way concrete slabs reinforced by BFRP bars under close-in explosion. Eng Struct. 2017, 150, 550–561. [Google Scholar] [CrossRef]
- Wang, X.G.; Ge, N.; Wang, C.M.; Su, Y.P. Research on simplified rc frame column model under blast load. Adv. Mat. Res. 2011, 163–167, 4346–4349. [Google Scholar] [CrossRef]
- Shi, Y.C.; Hao, H.; Li, Z.X. Numerical simulation of blast wave interaction with structure columns. Shock Waves 2007, 17, 113–133. [Google Scholar] [CrossRef]
- Aoude, H.; Dagenais, F.P.; Burrell, R.P.; Saatcioglu, M. Behavior of ultra-high performance fiber reinforced concrete columns under blast loading. Int. J. Impact Eng. 2015, 80, 185–202. [Google Scholar] [CrossRef]
- Song, C.M.; Wang, M.Y.; Wang, D.R. Analysis of dynamic responses of arches with flexible supports subjected to blast loads. Acta Armamentarii 2008, 29, 813–818. (In Chinese) [Google Scholar]
- Fallah, A.S.; Louca, L.A. Pressure–impulse diagrams for elastic-plastic-hardening and softening single-degree-of-freedom models subjected to blast loading. Int. J. Impact Eng. 2007, 34, 823–842. [Google Scholar] [CrossRef]
- Nicolaides, D.; Kanellopoulos, A.; Petrou, M.; Savva, P.; Mina, A. Development of a new ultra high performance fibre reinforced cementitious composite (UHPFRCC) for impact and blast protection of structures. Constr. Build. Mater. 2015, 95, 667–674. [Google Scholar] [CrossRef]
- Jiao, C.J.; Sun, W.; Gao, P.Z. Study on steel fiber reinforced high strength concrete subject to blast loading. Eng. Mech. 2008, 25, 158–166. [Google Scholar]
- Kalman, D. Use of steel fiber reinforced concrete for blast resistant design. Master’s Thesis, Kansas state university, Manhattan, KA, USA, 2010. [Google Scholar]
- Wu, H.; Peng, Y.L.; Fang, Q. Experimental and numerical study of ultra-high performance cementitious composites filled steel tube (UHPCC-FST) subjected to close-range explosion. Int. J. Impact. Eng. 2020, 141, 103569. [Google Scholar] [CrossRef]
- Chen, L.; Fang, Q.; Fan, J.Y.; Hao, H.; Liu, J. Responses of masonry infill walls retrofitted with CFRP, steel wire mesh and laminated bars to blast loadings. Adv. Struct. Eng. 2014, 17, 817–836. [Google Scholar] [CrossRef]
- Mutalib, A.A.; Tawil, N.M.; Baharom, S.; Abedini, M. Failure Probabilities of FRP Strengthened RC Column to Blast Loads. J. Teknol. 2013, 65, 135–141. [Google Scholar] [CrossRef] [Green Version]
- Lee, J.Y.; Jang, D.E.; Kwon, K.Y.; Yoon, Y.S. Evaluation of local damages and residual performance of blast damaged rc beams strengthened with steel fiber and FRP sheet. J. Korea Concr. Inst. 2014, 26, 627–634. [Google Scholar] [CrossRef] [Green Version]
- Liu, S.F.; Zhou, Y.Z.; Zhou, J.N.; Zhang, B.; Jin, F.N.; Zheng, Q.; Fan, H.L. Blast responses of concrete beams reinforced with GFRP bars: Experimental research and equivalent static analysis. Compos. Struct. 2019, 226, 111271. [Google Scholar] [CrossRef]
- Fallon, C.; Mcshane, G.J. Impact damage protection mechanisms for elastomer-coated concrete. Int. J. Prot. Struct. 2021, 12, 2128447695. [Google Scholar] [CrossRef]
- Bahei, Y.A.; Dvorak, G.J. Behavior of sandwich plates reinforced with polyurethane/polyurea interlayers under blast loads. J. Sandw. Struct. Mater. 2007, 9, 261–281. [Google Scholar] [CrossRef]
- Liu, Y.; Wang, P.; Jin, F.; He, H.G.; Fan, H.L. Blast responses of polyurea-coated concrete arches. Arch. Civ. Mech. Eng. 2021, 21, 30. [Google Scholar] [CrossRef]
- Fatt, M.; Ouyang, X.; Dinan, R.J. blast response of walls retrofitted with elastomer coatings. Mater. Struct. 2004, 15, 129–138. [Google Scholar]
- Liu, T.T.; Li, X.P.; Li, H.B.; Li, J.C.; Luo, Y. Numerical study on stress wave propagation across filled joints. Chin. J. Rock Mech. Rock Eng. 2016, 35, 3552–3560. (In Chinese) [Google Scholar]
- Pandya, K.S.; Dharmane, L.; Pothnis, J.R.; Ravikumar, G.; Naik, N.K. Stress wave attenuation in composites during ballistic impact. Polym. Test. 2012, 31, 261–266. [Google Scholar] [CrossRef]
- Wang, D.R.; Liu, J.Q.; Zhao, J.Y.; Li, H.J. Experimental Investigation on Stress Wave Attenuation in Multilayer Membrane Material. J. Exp. Mech. 2015, 30, 0401–0406. (In Chinese) [Google Scholar]
- Fan, Z.Q.; Ma, H.H.; Shen, Z.W.; Lin, M.J. Stress Attenuation Mechanism of Foam Core Sandwich Panels Subjected to Close-Range Blast Loading. Adv. Mat. Res. 2014, 945–949, 561–566. [Google Scholar] [CrossRef]
- Zhao, Y.T.; Hu, K.; Liu, S.L.; Kou, W.X. Cratering effect for a contact explosion at the joint of concrete structures. J. Vib. Shock. 2021, 40, 245–251. [Google Scholar]
- Zhang, J.H. Study on the Attenuati on Law of Explosion Stress Wave in Rockof Cylinder Charge. Master’s Thesis, North University of China, Taiyuan, China, 2005. (In Chinese). [Google Scholar]
- Fang, Q.; Liu, J.C. Underground Protection Structure, 1st ed.; China Water&Power Press: Beijing, China, 2010; pp. 77–83. [Google Scholar]
- Li, X.B. Rock Dynamics Fundamentals and Applications, 1st ed.; Science Press: Beijing, China, 2014; pp. 360–363. [Google Scholar]














| Specimens | A | B | C | D | E |
|---|---|---|---|---|---|
| Weak layer | 0 | 1 | 2 | 3 | 0 |
| Distance (cm) | - | 3 | 2 | 1.5 | - |
| TNT explosive (g) | - | 0.5 | - | - | 0.5 |
| - | 2.0 | 2.0 | 2.0 | 2.0 | |
| - | 3.3 | 3.3 | 3.3 | 3.3 | |
| - | - | 4.3 | 4.3 | 4.3 | |
| 5.5 | - | - | - | 5.5 |
| Distance (cm) | 6 | 8 | 10 | 12 | 14 | 16 | 18 | 20 |
|---|---|---|---|---|---|---|---|---|
| Electric charges | E1 | E2 | E3 | E4 | E5 | E6 | E7 | E8 |
| Strains | S1–S2 | S3–S4 | S5–S6 | S7–S8 | S9–S10 | S11–S12 | S13–S14 | S15–S16 |
| Electric Charge | E1 | E2 | E3 | E4 | E5 | E6 | E7 | E8 |
|---|---|---|---|---|---|---|---|---|
| Distance (cm) | 6 | 8 | 10 | 12 | 14 | 16 | 18 | 20 |
| 0.5 g (×103 pC) | - | 79.11 | 69.34 | 49.76 | 30.41 | 27.73 | 25.32 | 14.02 |
| 2.0 g (×103 pC) | - | 94.28 | 82.56 | 54.56 | 58.34 | 34.09 | 37.25 | 25.88 |
| 3.3 g (×103 pC) | - | - | 91.47 | 34.66 | 62.7 | 53.08 | 35.13 | 30.85 |
| 4.3 g (×103 pC) | - | 95.8 | - | 57.84 | - | 59.62 | 40.21 | 50.59 |
| 5.5 g (×103 pC) | - | - | - | 58.44 | 59.98 | 36.94 | - | 20.95 |
| Incident Point | E2 | E3 | E4 | ||||||
|---|---|---|---|---|---|---|---|---|---|
| Transmission point | E5 | E6 | E7 | E8 | E6 | E7 | E8 | E7 | E8 |
| Distance (cm) | 6 | 8 | 10 | 12 | 6 | 8 | 10 | 6 | 8 |
| Equation (4) (%) | 54.07 | 46.69 | 41.02 | 36.53 | 59.66 | 52.42 | 46.69 | 64.05 | 57.04 |
| 0.5 g (%) | 38.44 | 35.05 | 32.01 | 17.72 | 39.99 | 36.52 | 20.22 | 50.88 | 28.18 |
| 2.0 g (%) | 61.88 | 36.16 | 39.51 | 27.45 | 41.29 | 45.12 | 31.35 | 68.27 | 47.43 |
| 3.3 g (%) | - | - | - | - | - | - | - | - | 89.01 |
| 4.3 g (%) | - | 62.23 | 41.97 | 52.81 | - | - | - | 69.52 | 87.47 |
| 5.5 g (%) | - | - | - | - | - | - | - | - | 35.85 |
| Average (%) | 50.16 | 44.48 | 37.83 | 32.66 | 40.64 | 40.82 | 25.78 | 62.89 | 57.59 |
| Strain | S5 (μɛ) | S6 (μɛ) | S11 (μɛ) | S12 (μɛ) | S13 (μɛ) |
|---|---|---|---|---|---|
| 0.5 g | 685 | 705 | 381 | 307 | 224 |
| 2.0 g | 1210 | - | 1172 | 676 | 518 |
| 3.3 g | 1435 | - | 1475 | - | 628 |
| Distance (cm) | 6 | 8 | 10 | 12 |
|---|---|---|---|---|
| Transmittance (%) | 52.68 | 39.60 | - | - |
| Specimen | E1 (×103 pC) | E4 (×103 pC) | Transmittance (%) | Relative Transmittance (%) |
|---|---|---|---|---|
| A (5.5 g) | 94.23 | 53.18 | 56.44 | - |
| B (0.5 g) | 68.59 | 16.79 | 24.48 | 43.37 |
| C (2.0 g) | 98.33 | 20.25 | 20.59 | 36.49 |
| D (4.3 g) | 69.51 | 11.51 | 16.56 | 29.34 |
| Transmittance (%) | Electric Charge from Specimen E | Strain from Specimen E | Electric Charge from Specimen A | Strain from Specimen A | Average |
|---|---|---|---|---|---|
| Ordinary cement mortar | 59.66 | 52.68 | 56.44 | - | 56.26 |
| TNT | Specimen | S6 (με) | S7 (με) | S8 (με) | S9 (με) | Relative Transmittance (%) |
|---|---|---|---|---|---|---|
| 2.0 g | B | 186 | 148 | 186 | 209 | - |
| C | 128 | 149 | 162 | 144 | 79.97 | |
| D | 136 | 110 | 124 | 110 | 75.58 | |
| 3.3 g | B | 219 | 234 | 264 | 239 | - |
| C | 167 | 209 | - | 189 | 78.80 | |
| D | 122 | 135 | 140 | 125 | 69.29 |
| Transmittance (%) | One Weak Layer | Two Weak Layers | Second Weak Layer | Three Weak Layers | Third Weak Layer |
|---|---|---|---|---|---|
| electric charge from specimen A–D | 43.37 | 36.49 | 84.14 | 29.34 | 67.65 |
| Strain from specimen A–D | - | - | 79.97 78.80 | - | 75.58 69.29 |
| Average | 43.37 | 36.49 | 80.97 | 29.34 | 70.84 |
Publisher’s Note: MDPI stays neutral with regard to jurisdictional claims in published maps and institutional affiliations. |
© 2022 by the authors. Licensee MDPI, Basel, Switzerland. This article is an open access article distributed under the terms and conditions of the Creative Commons Attribution (CC BY) license (https://creativecommons.org/licenses/by/4.0/).
Share and Cite
Liu, S.; Geng, H.; Kong, X.; Zhou, Y.; Wang, P.; Jin, F. Experimental Study on the Propagation Law of Explosive Stress Wave in Cement Mortar with Weak Layers. Buildings 2022, 12, 687. https://doi.org/10.3390/buildings12050687
Liu S, Geng H, Kong X, Zhou Y, Wang P, Jin F. Experimental Study on the Propagation Law of Explosive Stress Wave in Cement Mortar with Weak Layers. Buildings. 2022; 12(5):687. https://doi.org/10.3390/buildings12050687
Chicago/Turabian StyleLiu, Sanfeng, Hansheng Geng, Xinli Kong, Yinzhi Zhou, Peng Wang, and Fengnian Jin. 2022. "Experimental Study on the Propagation Law of Explosive Stress Wave in Cement Mortar with Weak Layers" Buildings 12, no. 5: 687. https://doi.org/10.3390/buildings12050687
APA StyleLiu, S., Geng, H., Kong, X., Zhou, Y., Wang, P., & Jin, F. (2022). Experimental Study on the Propagation Law of Explosive Stress Wave in Cement Mortar with Weak Layers. Buildings, 12(5), 687. https://doi.org/10.3390/buildings12050687
