Carbon Redistribution Process in Austempered Ductile Iron (ADI) During Heat Treatment—APT and Synchrotron Diffraction Study
Abstract
1. Introduction
2. Materials and Methods
2.1. Preparation of Samples
2.2. Transmission Electron Microscopy (TEM)
2.3. Atom Probe Tomography (APT)
2.4. In-Situ Synchrotron Diffraction
2.5. Calculation of Carbon Content in Ferrite
- : Lattice parameter of ferrite at temperature T [Å]
- : Lattice parameter of ferrite at room temperature (20 °C), 2.8663 Å
- : Linear thermal expansion coefficient, 1.294 × 10−5 K−1
- : Square of the thermal expansion coefficient, 2.729 × 10−9 K−2
- T: Temperature difference to ambient temperature [K]
- : Lattice expansion of ferrite due to silicon, 2.5 wt% Si in ADI leads to −0.003Å expansion.
- : Lattice parameter of ferrite
- : Lattice parameter of ferrite by = 0.0 wt% [Å]
- : Lattice expansion coefficient of ferrite due to carbon atoms, 0.0385 Å/wt%
- : Carbon content in ferrite [wt%]
3. Results and Discussion
3.1. Ausferritic Microstructure
3.2. Carbon Diffusion Process and Carbon Content in Ferrite and Austenite
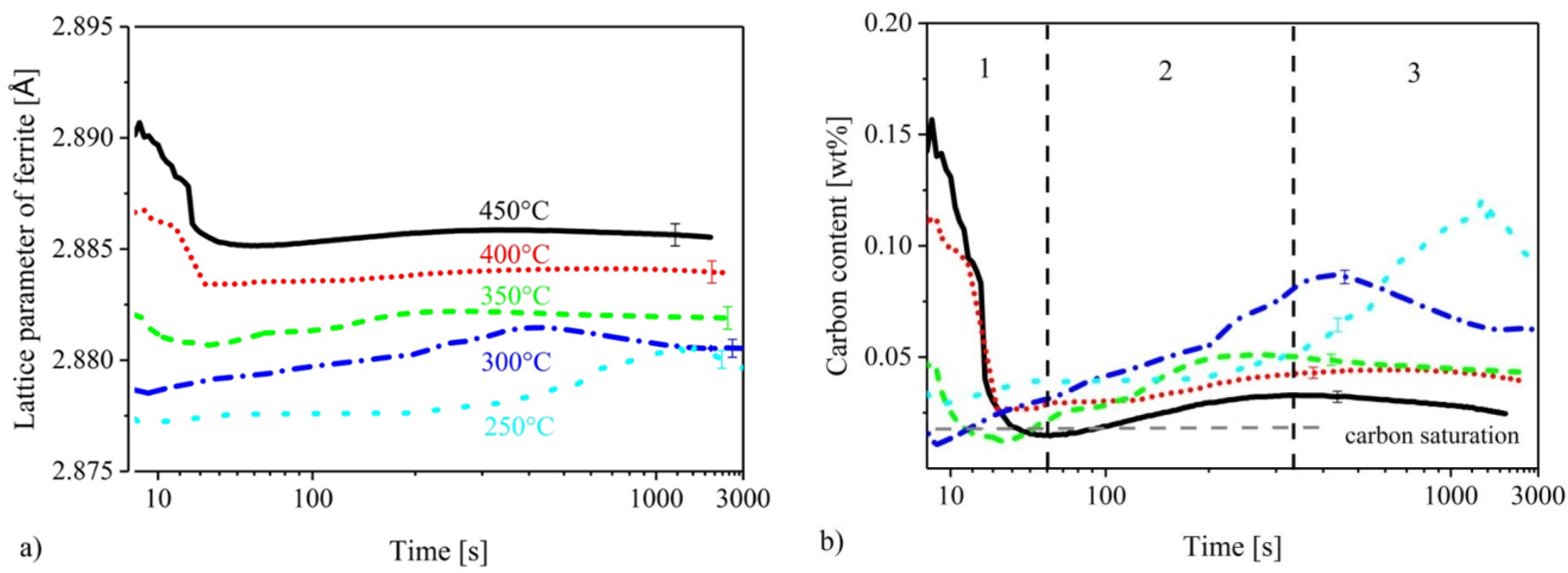
3.2.1. Synchrotron Diffraction
3.2.2. Atom Probe Tomography (APT)
3.3. Carbon Gap
- : Measured carbon content in austenite matrix at 900 °C [wt%]
- : Carbon gap in ADI [wt%]
- : Carbon content in the austenite matrix [wt%]
- : Carbon content in carbide and the carbon cluster [wt%]
- : Carbon content in the ferrite matrix [wt%]
4. Conclusions
- Using the relationship between the ferrite lattice parameter and the carbon content in ferrite, the whole process of carbon diffusion between austenite and ferrite during austempering was investigated by in-situ synchrotron diffraction. The ccontent changes in ferrite during austempering have been clarified to be related to two processes, decarburization and carbide/carbon cluster formation.
- In-situ synchrotron diffraction data and APT measurements indicate the formation of supersaturated ferrite in ADI. The amount of carbon dissolved in the ferrite matrix follows a linearly decreasing trend as the austempering temperature increases. The ferrite was found to be in a carbon-supersaturated state within the full range of austempering temperatures for all ADI materials investigated.
- Carbon redistribution in austenite and ferrite after austempering has been shown directly by APT. The carbon gap values in ADI are found to be inversely proportional to the holding temperature. Of all unaccounted carbon atoms constituting the carbon gap about 90% of carbon atoms are present as carbides and carbon clusters with only 10% dissolved in the ferrite matrix.
Author Contributions
Funding
Conflicts of Interest
References
- Keough, J.R.; Hayrynen, K.L. Automotive Applications of Austempered Ductile Iron (ADI): A Critical Review. Soc. Automot. Eng. 2000, 109, 344–354. [Google Scholar]
- Gründling, J.; Bartels, C.; Schliephake, U. ADI–Leichtbau mit Gusseisen. Konstr.(Z. für Prod. Ing. Werkst.) 2003, 55, 6. [Google Scholar]
- Meier, L. In-situ-Messung der Phasenumwandlungskinetik Von Ausferritischem Gusseisen. Ph.D. Thesis, TU München, Munich, Germany, February 2015. [Google Scholar]
- Wu, H.D.; Miyamoto, G.; Yang, C.; Zhang, Z.G.; Chen, H.; Furuhara, T. Carbon enrichment during ferrite transformation in Fe-Si-C alloys. Acta Mater. 2018, 149, 68–77. [Google Scholar] [CrossRef]
- Qiu, C.; Zurob, H.; Panahi, D.; Brechet, Y.; Prudy, G.; Hutchinson, C. Quantifying the solute drag effect on ferrite growth in Fe-C-X alloys using controlled decarburization experiments. Metall. Mater. Trans. A 2013, 44, 3472–3483. [Google Scholar] [CrossRef]
- Caballero, F.G.; Miller, M.K.; Babu, S.S.; Garcia-Mateo, C. Atomic scale observations of bainite transformation in a high carbon high silicon steel. Acta Mater. 2007, 55, 381–390. [Google Scholar] [CrossRef]
- Takahashi, M.; Bhadeshia, H.K.D.H. Model for transition from upper to lower bainite. Mater. Sci. 1990, 6, 592–603. [Google Scholar] [CrossRef]
- Matas, S.J.; Hehemann, R.F. The structure of bainite in hypoeutectoid steels. Trans. AIME 1961, 221, 179–185. [Google Scholar]
- Ohmori, Y.; Honeycombe, R.W.K. The isothermal transformation of plain carbon austenite. Proc. ICSTIS Suppl. Trans. ISIJ 1971, 11, 1160–1164. [Google Scholar]
- Franetovic, V.; Sachdev, A.K.; Ryntz, E.F. A transmission electron microscopy study of austempered lower bainitic nodular cast iron. Metallography 1987, 20, 15–36. [Google Scholar] [CrossRef]
- Franetovic, V.; Shea, M.M.; Ryntz, E.F. Transmission electron microscopy study of austempered nodular iron: Influence of silicon content, austenitizing time and austempering temperature. Mater. Sci. Eng. 1987, 96, 231–245. [Google Scholar] [CrossRef]
- Saal, P.; Meier, L.; Li, X.H.; Hofmann, M.; Hoezel, M.; Wagner, J.N.; Volk, W. In situ study of the influence of nickel on the phase transformation kinetics in austempered ductile iron. Metall. Mater. Trans. A 2016, 47, 661–671. [Google Scholar] [CrossRef]
- Meier, L.; Hofmann, M.; Saal, P.; Volk, W.; Hoffmann, H. In-situ measurement of phase transformation kinetics in austempered ductile iron. Mater. Charact. 2013, 85, 124–133. [Google Scholar] [CrossRef]
- Kelly, T.F.; Geiser, B.P.; Ulfig, R.M.; Prosa, T.J.; Larson, D.J. Local Electrode Atom Probe Tomography: A User’ Guide; Springer: New York, NY, USA, 2013. [Google Scholar]
- Schell, N.; King, A.; Beckmann, F.; Fischer, T.; Müller, M.; Schreyer, A. The High Energy Materials Science Beamline (HEMS) at PETRA III. Mater. Sci. Forum 2014, 772, 57–61. [Google Scholar] [CrossRef]
- Basinski, Z.S.; Hume-Rothery, W.; Sutton, A.L. The lattice expansion of iron. Proc. R. Soc. A Math. Phys. Eng. Sci. 1955, 229, 459–467. [Google Scholar]
- Goldschmidt, H.J. Selected application of high-temperature X-ray studies in the metallurgical field. Adv. X-ray Anal. 1962, 5, 191–212. [Google Scholar]
- Kohlhaas, R.; Dünner, P.; Schmitz-Pranghe, N. Über die Temperaturabhangigkeit der Gitterparameter von Eisen, Kobalt und Nickel im Bereich Hoher Temperaturen. Z. Angew. Phys. 1967, 23, 245–249. [Google Scholar]
- Fasiska, E.J.; Wagenblast, H. Dilation of alpha iron by carbon. AIME Trans. 1967, 239, 1818–1820. [Google Scholar]
- Ridley, N.; Stuart, H. Lattice parameters and Curie-point anomalies of iron-cobalt alloys. J. Phys. Appl. Phys. 1968, 2, 1291–1295. [Google Scholar] [CrossRef]
- Takahashi, T.; Abe, T. Relation between Interstitial Site and Concentration of Carbon in Austempered Ductile Iron. J. Jpn. Foundrymen’s Soc. 1993, 65, 87–92. [Google Scholar]
- Hall, D.J.; Bhadeshia, H.K.D.H.; Stobbs, W.M. The incomplete bainite reaction: Possible reasons for the apparent differences in TEM and atomprobe determination of austenite carbon content. Le J. Phys. 1982, 43, 449–454. [Google Scholar] [CrossRef]
- Seol, B.; Raabe, D.; Choi, P.; Park, H.S.; Kwak, J.H.; Park, C.G. Direct evidence for the formation of ordered carbides in a ferrite-based low-density Fe-Mn-Al-C alloy studied by transmission electron microscopy and atom probe tomography. Scr. Mater. 2013, 68, 348–353. [Google Scholar] [CrossRef]
- Caballero, F.G.; Miller, M.K.; Carcia-Mateo, C.; Capdevila, C.; Garcia de Andres, C. Phase Transformation Theory: A Powerful Tool for the Design of Advanced Steels. Membr. J. Min. Met. Mater. Soc. 2008, 60, 16–21. [Google Scholar] [CrossRef]
- Shendy, B.R.; Yoozbashi, M.N.; Avishan, B.; Yazdani, S. An Investigation on Rotating Bending Fatigue Behavior of Nanostructured Low-Temperature Bainitic Steel. Acta Metall. Sin. 2014, 27, 233–238. [Google Scholar] [CrossRef]
- Razumov, I.K.; Gornostyrev, Y.N.; Katsnelson, M.I. Towards the ab initio based theory of phase transformations in iron and steel. Phys. Met. Metallogr. 2017, 118, 362–388. [Google Scholar] [CrossRef]
- Bhadeshia, H.K.D.H. Bainite in Steels; Charlesworth Press: Wakefield, UK, 2015. [Google Scholar]
- Li, X.H.; Saal, P.; Landesberger, M.; Hoelzel, M.; Hofmann, M. Strain Induced Martensitic Transformation in Austempered Ductile Iron (ADI). J. Phys. Conf. Ser. 2016, 746, 012055. [Google Scholar] [CrossRef]
- Li, X.H.; Saal, P.; Gan, W.M.; Hoezel, M.; Volk, W.; Petry, W.; Hofmann, M. Strain-Induced Martensitic Transformation Kinetic in Austempered Ductile Iron (ADI). Metall. Mater. Trans. A 2018, 49, 94–104. [Google Scholar] [CrossRef]
- Wiengmoon, A. Carbides in High Chromium Cast Irons. Naresuan Univ. Eng. J. 2011, 125, 739–748. [Google Scholar]
- Fang, C.M.; van Huis, M.A.; Zandbergen, H.W. Structural, electronic, and magnetic properties of iron carbide Fe7C3 phases from first-principles theory. Phys. Rev. B 2009, 80, 224108. [Google Scholar] [CrossRef]
- Randau, C.; Garbe, U.; Brokmeier, H.-G. Stress Texture Calculator: A software tool to extract texture, strain and microstructure information from area-detector measurements. J. Appl. Cryst. 2011, 44, 641–646. [Google Scholar] [CrossRef]
- Caballero, F.G.; Miller, M.K.; Mateo, C.G. Carbon supersaturation of ferrite in a nanocrystalline bainitic steel. Acta Mater. 2010, 58, 2338–2343. [Google Scholar] [CrossRef]
- Olejarczyk-Wozenska, I.; Adrian, A.; Adrian, H.; Mrzyglod, B. Mathematical model of the process of perlite austenitization mathematyczny model procesu austenityzacji perlitu. Arch. Met. Mater. 2012, 59, 613–617. [Google Scholar]
- Timokhina, I.B.; Liss, K.D.; Rakha, D.; Beladi, H.; Xiong, X.Y.; Hodgson, P.D. Growth of bainitic ferrite and carbon partitioning during the early stages of bainite transformation in a 2 mass% silicon steel studied by in situ neutron diffraction, TEM and APT. J. Appl. Cryst. 2016, 49, 399–414. [Google Scholar] [CrossRef]
- Speer, J.; Matlock, D.K.; De Cooman, B.C.; Schroth, J.G. Carbon partitioning into austenite after martensite transformation. Acta Mater. 2003, 51, 2611–2622. [Google Scholar] [CrossRef]
- Li, X.H. Investigation of Strain Induced Martensite Transformations Kinetic in Austempered Ductile Iron (ADI) Using Neutron and Synchrotron Diffraction. Ph.D. Thesis, TU München, Munich, Germany, February 2018. [Google Scholar]
- Speer, J.G.; Assunҫao, F.C.R.; Matlock, D.K.; Edmonds, D.V. The quenching and partitioning process: Background and recent progress. Mater. Res. 2005, 8, 417–423. [Google Scholar] [CrossRef]
- Sherman, D.H.; Cross, S.M.; Kim, S.; Grandjean, F.; Long, G.J.; Miller, M.K. Characterization of the Carbon and Retained Austenite Distributions in Martensitic Medium Carbon, High Silicon Steel. Metall. Mater. Trans. A 2007, 38, 1698–1711. [Google Scholar] [CrossRef]








| C | Si | Ni | Mn | Mo | Mg | Cu | P | S | Ti | Fe |
|---|---|---|---|---|---|---|---|---|---|---|
| 3.74 | 2.34 | 0.02 | 0.15 | 0.003 | 0.061 | 0.020 | 0.043 | 0.007 | 0.011 | balance |
| Experiment | Austenitization Temperature [°C] | Austempering Temperature (TAus) [°C] | ||||||
|---|---|---|---|---|---|---|---|---|
| 250 | 300 | 350 | 375 | 400 | 425 | 450 | ||
| TEM | 900 | × | ||||||
| APT | 900 | × | × | × | ||||
| In-situ synchrotron diffraction | 900 | × | × | × | × | × | ||
| ADI (0 wt% Ni) | Austempering TAus [°C] | Time [min] | Time (in [min]) at Fast Mode with Time Resolution of 2 s |
| 450 | 30 | 5 | |
| 400 | 40 | 10 | |
| 350 | 60 | 20 | |
| 300 | 90 | 30 | |
| 250 | 120 | 45 |
| Element | ADI (300 °C for 60 min) | ADI (375 °C for 43 min) | ADI (425 °C for 13 min) | |||
|---|---|---|---|---|---|---|
| Austenite | Ferrite | Austenite | Ferrite | Austenite | Ferrite | |
| Fe | 88.6(2) | 94.4(3) | 88.36(1) | 95.24(6) | 89.73(1) | 95.0(3) |
| C | 6.38(1) | 0.30(1) | 7.27(1) | 0.17(1) | 5.46 (1) | 0.10(1) |
| Si | 4.68(1) | 5.1(3) | 3.896(6) | 4.2(1) | 4.37(1) | 4.6(3) |
| Mn, Cr, Al, O, etc. | 0.34(1) | 0.20(1) | 0.48(1) | 0.40(1) | 0.44(1) | 0.30(1) |
© 2019 by the authors. Licensee MDPI, Basel, Switzerland. This article is an open access article distributed under the terms and conditions of the Creative Commons Attribution (CC BY) license (http://creativecommons.org/licenses/by/4.0/).
Share and Cite
Li, X.; Wagner, J.N.; Stark, A.; Koos, R.; Landesberger, M.; Hofmann, M.; Fan, G.; Gan, W.; Petry, W. Carbon Redistribution Process in Austempered Ductile Iron (ADI) During Heat Treatment—APT and Synchrotron Diffraction Study. Metals 2019, 9, 789. https://doi.org/10.3390/met9070789
Li X, Wagner JN, Stark A, Koos R, Landesberger M, Hofmann M, Fan G, Gan W, Petry W. Carbon Redistribution Process in Austempered Ductile Iron (ADI) During Heat Treatment—APT and Synchrotron Diffraction Study. Metals. 2019; 9(7):789. https://doi.org/10.3390/met9070789
Chicago/Turabian StyleLi, Xiaohu, Julia N. Wagner, Andreas Stark, Robert Koos, Martin Landesberger, Michael Hofmann, Guohua Fan, Weimin Gan, and Winfried Petry. 2019. "Carbon Redistribution Process in Austempered Ductile Iron (ADI) During Heat Treatment—APT and Synchrotron Diffraction Study" Metals 9, no. 7: 789. https://doi.org/10.3390/met9070789
APA StyleLi, X., Wagner, J. N., Stark, A., Koos, R., Landesberger, M., Hofmann, M., Fan, G., Gan, W., & Petry, W. (2019). Carbon Redistribution Process in Austempered Ductile Iron (ADI) During Heat Treatment—APT and Synchrotron Diffraction Study. Metals, 9(7), 789. https://doi.org/10.3390/met9070789

