Improved Corrosion Resistance of Yttrium-Bearing H13 Steel for Shield Machine Cutter Ring
Abstract
1. Introduction
2. Experimental Method
3. Result
3.1. Microstructure
3.2. Immersion Test
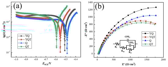
3.3. Electrochemical Test
4. Analysis and Discussion
4.1. Effect of Yttrium on Tempering Process of H13 Steel
4.2. Effect of Y on Pitting of H13 Steel
4.3. Effect of Y on Localized Corrosion of H13 Steel
5. Conclusions
Author Contributions
Funding
Data Availability Statement
Conflicts of Interest
References
- Jie, F.; Huashan, L.; Lisha, F.; Dun, W.; Huan, T.; Yimin, X. Wear performance of modified H-13 and H418E steels for TBM disc cutter ring. Eng. Fail. Anal. 2024, 156, 107783. [Google Scholar] [CrossRef]
- Wang, H.; Zhang, M.; Sun, R.; Cui, S.; Mo, J. Performance improvement strategy of the TBM disc cutter ring material and evaluation of impact-sliding friction and wear performance. Wear 2023, 526–527, 204943. [Google Scholar] [CrossRef]
- Tian, J.; Hu, Y.; Liu, X.; Yang, Z. Wear performance and mechanisms of H13 steels sliding against different Rock types. Surf. Topogr. Metrol. Prop. 2020, 8, 25003. [Google Scholar] [CrossRef]
- Zheng, Y.; Wu, K.; Wang, L.; Jiang, Y.; Liu, Y. Structural damage assessment and failure mode analysis for cross-fault submarine tunnels. Eng. Fail. Anal. 2024, 157, 107853. [Google Scholar] [CrossRef]
- Liu, T.; Huang, H.; Yan, Z.; Tang, X.; Liu, H. A case study on key techniques for long-distance sea-crossing shield tunneling. Mar. Georesour. Geotechnol. 2020, 38, 786–803. [Google Scholar] [CrossRef]
- Liu, H.; Wei, J.; Dong, J.; Zhou, Y.; Ke, W. The synergy between cementite spheroidization and Cu alloying on the corrosion resistance of ferrite-pearlite steel in acidic chloride solution. J. Mater. Sci. Technol. 2021, 84, 65–75. [Google Scholar] [CrossRef]
- Zhou, Y.; Liu, Y.; Zhou, X.; Liu, C.; Yu, J.; Huang, Y.; Li, H.; Li, W. Precipitation and hot deformation behavior of austenitic heat-resistant steels: A review. J. Mater. Sci. Technol. 2017, 33, 1448–1456. [Google Scholar] [CrossRef]
- Zhang, S.; Liu, J.; Tang, M.; Zhang, X.; Wu, K. Effects of deoxidation methods on the inclusion characteristics and corrosion behaviour of high-strength low-alloy steels in marine environments. J. Iron Steel Res. 2018, 30, 222–228. [Google Scholar]
- Gao, B.; Xu, T.; Wang, L.; Liu, Y.; Liu, J.; Zhang, Y.; Sui, Y.; Sun, W.; Chen, X.; Li, X.; et al. Achieving a superior combination of tensile properties and corrosion resistance in AISI420 martensitic stainless steel by low-temperature tempering. Corros. Sci. 2023, 225, 111551. [Google Scholar] [CrossRef]
- Wang, L.; Lin, Q.; Yue, L.; Liu, L.; Guo, F.; Wang, F. Study of application of rare earth elements in advanced low alloy steels. J. Alloys Compd. 2008, 451, 534–537. [Google Scholar] [CrossRef]
- Wang, K.L.; Zhang, Q.B.; Sun, M.L.; Wei, X.G.; Zhu, Y.M. Microstructure and corrosion resistance of laser clad coatings with rare earth elements. Corros. Sci. 2001, 43, 255–267. [Google Scholar] [CrossRef]
- Bai, Y.; Zheng, S.; Liu, N.; Liu, Y.; Wang, X.; Qiu, L.; Gong, A. The Role of Rare Earths on Steel and Rare Earth Steel Corrosion Mechanism of Research Progress. Coatings 2024, 14, 465. [Google Scholar] [CrossRef]
- Zhang, X.; Wei, W.; Cheng, L.; Liu, J.; Wu, K.; Liu, M. Effects of niobium and rare earth elements on microstructure and initial marine corrosion behavior of low-alloy steels. Appl. Surf. Sci. 2019, 475, 83–93. [Google Scholar] [CrossRef]
- Tang, L.; Yan, M. Effects of rare earths addition on the microstructure, wear and corrosion resistances of plasma nitrided 30CrMnSiA steel. Surf. Coat. Technol. 2012, 206, 2363–2370. [Google Scholar] [CrossRef]
- Lin, N.; Xie, F.; Zhong, T.; Wu, X.; Tian, W. Influence of adding various rare earths on microstructures and corrosion resistance of chromizing coatings prepared via pack cementation on P110 steel. J. Rare Earth. 2010, 28, 301–304. [Google Scholar] [CrossRef]
- Wang, X.; Wu, Z.; Li, B.; Chen, W.; Zhang, J.; Mao, J. Inclusions modification by rare earth in steel and the resulting properties: A review. J. Rare Earth 2024, 42, 431–445. [Google Scholar] [CrossRef]
- Liu, L.; Yu, S.; Cao, W. Zn–Fe and Y-modified Zn–Fe coatings on 42CrMo steel via pack cementation. Rare Met. 2021, 40, 2266–2274. [Google Scholar] [CrossRef]
- Li, X.; Deng, S.; Fu, H.; Mu, G. Synergistic inhibition effect of rare earth cerium(IV) ion and anionic surfactant on the corrosion of cold rolled steel in H2SO4 solution. Corros. Sci. 2008, 50, 2635–2645. [Google Scholar] [CrossRef]
- Liu, C.L.C.; Jiang, Z.J.Z.; Zhao, J.; Cheng, X.; Liu, Z.; Zhang, D.; Li, X. Influence of rare earth metals on mechanisms of localised corrosion induced by inclusions in Zr-Ti deoxidised low alloy steel. Corros. Sci. 2020, 166, 108463. [Google Scholar] [CrossRef]
- Zhang, T.; Hao, L.; Jiang, Z.; Liu, C.; Zhu, L.; Cheng, X.; Liu, Z.; Wang, N.; Li, X. Investigation of rare earth (RE) on improving the corrosion resistance of Zr-Ti deoxidized low alloy steel in the simulated tropic marine atmospheric environment. Corros. Sci. 2023, 221, 111335. [Google Scholar] [CrossRef]
- Liu, C.; Revilla, R.I.; Liu, Z.; Zhang, D.; Li, X.; Terryn, H. Effect of inclusions modified by rare earth elements (Ce, La) on localized marine corrosion in Q460NH weathering steel. Corros. Sci. 2017, 129, 82–90. [Google Scholar] [CrossRef]
- Zhang, S.; Liu, J.; Tang, M.; Zhang, X.; Wu, K. Role of rare earth elements on the improvement of corrosion resistance of micro-alloyed steels in 3.5 wt.% NaCl solution. J. Mater. Res. Technol. JMRT 2021, 11, 519–534. [Google Scholar] [CrossRef]
- Zhang, S.; Li, H.; Jiang, Z.; Feng, H.; Wen, Z.; Ren, J.; Han, P. Unveiling the mechanism of yttrium significantly improving high-temperature oxidation resistance of super-austenitic stainless steel S32654. J. Mater. Sci. Technol. 2022, 115, 103–114. [Google Scholar] [CrossRef]
- Wang, C.; Ma, R.; Zhou, Y.; Liu, Y.; Ke, W. Effects of rare earth modifying inclusions on the pitting corrosion of 13Cr4Ni martensitic stainless steel. J. Mater. Sci. Technol. 2021, 93, 232–243. [Google Scholar] [CrossRef]
- Liu, T.; Chen, T.; Zhou, X.; Sun, L.; Yang, W.; Liu, C.; Cheng, X.; Li, X. Investigation of Cr and rare earth on the corrosion resistance of HRB400 rebar in simulated concrete pore solutions containing chloride and sulfate ions. Constr. Build. Mater. 2024, 423, 135935. [Google Scholar] [CrossRef]
- Zhou, X.; Yao, N.; Shi, J. Unraveling electrochemical performance of a 10CrMo steel in alkaline concrete pore solutions with red mud and ground granulated blast-furnace slag. Corros. Sci. 2022, 207, 110568. [Google Scholar] [CrossRef]
- Xiao, Y.; Tang, J.; Wang, Y.; Lin, B.; Nie, Z.; Li, Y.; Normand, B.; Wang, H. Corrosion behavior of 2205 duplex stainless steel in NaCl solutions containing sulfide ions. Corros. Sci. 2022, 200, 110240. [Google Scholar] [CrossRef]
- Liu, H.H.; Fu, P.X.; Liu, H.W.; Cao, Y.F.; Sun, C.; Du, N.Y.; Li, D.Z. Effects of Rare Earth elements on microstructure evolution and mechanical properties of 718H pre-hardened mold steel. J. Mater. Sci. Technol. 2020, 50, 245–256. [Google Scholar] [CrossRef]
- Wu, M.; Ma, H.; Shi, J. Beneficial and detrimental effects of molybdate as an inhibitor on reinforcing steels in saturated Ca(OH)2 solution: Spontaneous passivation. Cem. Concr. Compos. 2021, 116, 103887. [Google Scholar] [CrossRef]
- Ma, L.; Pascalidou, E.; Wiame, F.; Zanna, S.; Maurice, V.; Marcus, P. Passivation mechanisms and pre-oxidation effects on model surfaces of FeCrNi austenitic stainless steel. Corros. Sci. 2020, 167, 108483. [Google Scholar] [CrossRef]
- Ming, J.; Zhou, X.; Zuo, H.; Jiang, L.; Zou, Y.; Shi, J. Effects of stray current and silicate ions on electrochemical behavior of a high-strength prestressing steel in simulated concrete pore solutions. Corros. Sci. 2022, 197, 110083. [Google Scholar] [CrossRef]
- Takeda, M.; Suzuki, J. Crystallographic heterodyne phase detection for highly sensitive lattice-distortion measurements. J. Opt. Soc. Am. A Opt. Image Sci. Vis. 1996, 13, 1495–1500. [Google Scholar] [CrossRef]
- Hÿtch, M.J.; Snoeck, E.; Kilaas, R. Quantitative measurement of displacement and strain fields from HREM micrographs. Ultramicroscopy 1998, 74, 131–146. [Google Scholar] [CrossRef]
- Chen, Y.; Yang, B.; Zhou, Y.; Wu, Y.; Zhu, H. Evaluation of pitting corrosion in duplex stainless steel Fe20Cr9Ni for nuclear power application. Acta Mater. 2020, 197, 172–183. [Google Scholar] [CrossRef]
- Dingreville, R.; Berbenni, S. On the interaction of solutes with grain boundaries. Acta Mater. 2016, 104, 237–249. [Google Scholar] [CrossRef]
- Huang, C.X.; Wang, Y.F.; Ma, X.L.; Yin, S.; Höppel, H.W.; Göken, M.; Wu, X.L.; Gao, H.J.; Zhu, Y.T. Interface affected zone for optimal strength and ductility in heterogeneous laminate. Mater. Today 2018, 21, 713–719. [Google Scholar] [CrossRef]
- Ha, H.; Park, C.; Kwon, H. Effects of misch metal on the formation of non-metallic inclusions and the associated resistance to pitting corrosion in 25% Cr duplex stainless steels. Scripta Mater. 2006, 55, 991–994. [Google Scholar] [CrossRef]
- Jeon, S.; Kim, S.; Choi, M.; Kim, J.; Kim, K.; Park, Y. Effects of cerium on the compositional variations in and around inclusions and the initiation and propagation of pitting corrosion in hyperduplex stainless steels. Corros. Sci. 2013, 75, 367–375. [Google Scholar] [CrossRef]
- Shi, W.; Yang, S.F.; Li, J.; Li, J. Correlation between evolution of inclusions and pitting corrosion in 304 stainless steel with yttrium addition. Sci. Rep. 2018, 8, 4830. [Google Scholar] [CrossRef] [PubMed]
- Kaneko, M.; Isaacs, H.S. Effects of molybdenum on the pitting of ferritic- and austenitic-stainless steels in bromide and chloride solutions. Corros. Sci. 2002, 44, 1825–1834. [Google Scholar] [CrossRef]
- Örnek, C.; Engelberg, D. SKPFM measured Volta potential correlated with strain localisation in microstructure to understand corrosion susceptibility of cold-rolled grade 2205 duplex stainless steel. Corros. Sci. 2015, 99, 164–171. [Google Scholar] [CrossRef]
- Che, Z.; Revilla, R.I.; Li, C.; Liu, J.; Liu, W.; Wouters, B.; Marcoen, K.; Cheng, X.; Liu, C.; Li, X. Role of Te-RE alloying on the passive film and pitting corrosion behavior of 316L stainless steel. Corros. Sci. 2024, 240, 112457. [Google Scholar] [CrossRef]

















| Sample | C | Si | Mn | Cr | Mo | V | Y | Fe |
|---|---|---|---|---|---|---|---|---|
| Q/QT | 0.42 | 0.98 | 0.41 | 4.88 | 1.20 | 0.92 | 0 | Bal. |
| YQ/YQT | 0.41 | 0.87 | 0.49 | 5.48 | 1.39 | 0.97 | 0.014 | Bal. |
| Element (Photoelectron Core Level) | Peak | Assignment | Peak Position (±0.3 eV) |
|---|---|---|---|
| Fe 2p | Fe-1 | Fe3+ (oxide/hydroxide) | 710.4 |
| Fe-2 | Fe2+ satellite | 712.8 | |
| Fe-3 | Fe3+ | 723.8 | |
| Fe-4 | Fe2+ satellite | 726.2 | |
| Cr 2p | Cr-1 | Cr3+(oxide) | 576.3 |
| Cr-2 | Cr3+ (hydroxide) | 577.6 | |
| Cr-3 | Cr3+ (oxide) | 586.2 | |
| O 1s | O-1 | O2− | 529.6 |
| O-2 | OH− | 531.1 | |
| O-3 | H2O | 532.8 |
Disclaimer/Publisher’s Note: The statements, opinions and data contained in all publications are solely those of the individual author(s) and contributor(s) and not of MDPI and/or the editor(s). MDPI and/or the editor(s) disclaim responsibility for any injury to people or property resulting from any ideas, methods, instructions or products referred to in the content. |
© 2025 by the authors. Licensee MDPI, Basel, Switzerland. This article is an open access article distributed under the terms and conditions of the Creative Commons Attribution (CC BY) license (https://creativecommons.org/licenses/by/4.0/).
Share and Cite
Wang, Y.; Feng, X.; Zhang, L.; Yang, B. Improved Corrosion Resistance of Yttrium-Bearing H13 Steel for Shield Machine Cutter Ring. Metals 2025, 15, 935. https://doi.org/10.3390/met15090935
Wang Y, Feng X, Zhang L, Yang B. Improved Corrosion Resistance of Yttrium-Bearing H13 Steel for Shield Machine Cutter Ring. Metals. 2025; 15(9):935. https://doi.org/10.3390/met15090935
Chicago/Turabian StyleWang, Yunxin, Xingwang Feng, Li Zhang, and Bin Yang. 2025. "Improved Corrosion Resistance of Yttrium-Bearing H13 Steel for Shield Machine Cutter Ring" Metals 15, no. 9: 935. https://doi.org/10.3390/met15090935
APA StyleWang, Y., Feng, X., Zhang, L., & Yang, B. (2025). Improved Corrosion Resistance of Yttrium-Bearing H13 Steel for Shield Machine Cutter Ring. Metals, 15(9), 935. https://doi.org/10.3390/met15090935

