Next Article in Journal
Composites Cu–Ti3SiC2 Obtained via Extrusion-Based Additive Manufacturing: Structure and Tribological Properties
Next Article in Special Issue
Design and Development of Metal Matrix Composites
Previous Article in Journal
Research on Microstructure and Mechanical Properties of Ultrasonic-Assisted Gas Metal Arc Welding Additive Manufacturing with High-Nitrogen Steel Welding Wire
Previous Article in Special Issue
Characterizing the Behavior and Microstructure of Cu-La2O3 Composite Processed via Equal Channel Angular Pressing
 
 
Font Type:
Arial Georgia Verdana
Font Size:
Aa Aa Aa
Line Spacing:
Column Width:
Background:
Article

Unveiling High-Pressure Behavior of Sc3AlC MAX Phase: A Comprehensive Theoretical Study on Structural, Mechanical, Dislocation, and Electronic Properties

1
Department of Mechanical and Automotive Engineering, Science and Technology College of Hubei University of Arts and Science, Xiangyang 441025, China
2
State Key Laboratory of Advanced Design and Manufacturing Technology for Vehicle, Hunan University, Changsha 410082, China
3
State Key Laboratory for Powder Metallurgy, Central South University, Changsha 410083, China
4
Guangxi Key Laboratory of Functional Information Materials and Intelligent Information Processing, Nanning Normal University, Nanning 530001, China
*
Authors to whom correspondence should be addressed.
Metals 2025, 15(5), 492; https://doi.org/10.3390/met15050492
Submission received: 22 March 2025 / Revised: 20 April 2025 / Accepted: 25 April 2025 / Published: 27 April 2025
(This article belongs to the Special Issue Design and Development of Metal Matrix Composites)

Abstract

The structural, mechanical, dislocation, and electronic properties of the Sc3AlC MAX phase under applied pressure are investigated in detail using first-principles calculations. Key parameters, including lattice parameter ratios, elastic constants, Young’s modulus, bulk modulus, shear modulus, brittle-to-ductile behavior, Poisson’s ratio, anisotropy, Cauchy pressure, yield strength, Vickers hardness, and energy factors, are systematically analyzed as a function of applied pressure. The results demonstrate that the Sc3AlC MAX phase exhibits remarkable mechanical stability within the pressure range of 0 to 60 GPa. Notably, applied pressure markedly improves its mechanical properties, such as resistance to elastic, bulk, and shear deformations. The B/G ratio suggests a tendency toward ductile behavior with increasing pressure, and the negative Cauchy pressure indicates the directional characteristics of interatomic bonding in nature. Vickers hardness and yield strength increase under pressures of 0 to 10 GPa and then decrease sharply above 50 GPa. High pressure suppresses dislocation nucleation due to the increased energy factors, along with twinning deformation. Furthermore, electronic structure analysis confirms that high pressure enhances the interatomic bonding in the Sc3AlC MAX phase, while the enhancement effect is not substantial. This study offers critical insights for designing MAX phase materials for extreme environments, advancing applications in aerospace and electronics fields.

1. Introduction

Ceramic materials are valued for their high hardness, as well as excellent corrosion and oxidation resistance. Nevertheless, their inherent brittleness restricts their use in structural applications. On the other hand, metallic materials exhibit superior toughness despite inherently inferior corrosion and oxidation resistance [1,2]. In order to combine the advantages of both, a class of materials known as cermets has emerged. Specifically, MAX-phase ceramics (transition metal carbides/nitrides) have attracted significant attention due to their unique layered atomic structure and an exceptional combination of physicochemical properties. As a result, these materials synergistically integrate high hardness and strength with excellent electrical conductivity and thermal stability, thereby positioning them as promising candidates for diverse advanced engineering applications [3,4]. Furthermore, MAX phases exhibit outstanding plasticity at elevated temperatures, alongside high fracture toughness, thermal shock resistance, and stiffness. Consequently, these attributes render them suitable for applications in high-temperature components, wear-resistant coatings, and corrosion-resistant systems [5,6,7,8,9].
As a typical MAX-phase cermet, Sc3AlC exhibits unique performance advantages, especially in the aerospace industry. Owing to its high specific strength, excellent oxidation resistance, and superior corrosion resistance [10,11], Sc3AlC is well-suited for manufacturing high-performance aerospace engine components (e.g., engine components under hypersonic flight loads), as well as structural materials for aircraft. In the field of electronics, the semiconductor properties and outstanding electrical performance of Sc3AlC [12] facilitate its application in the development of advanced electronic devices, including field-effect transistors and solar cells, thereby driving advancements in electronic technology. Compared to mainstream materials, such as titanium alloys (e.g., Ti-6Al-4V) and nickel-based superalloys in aerospace, or silicon and gallium arsenide in electronics, Sc3AlC offers distinct advantages. Titanium alloys provide excellent strength-to-weight ratios but suffer from inferior oxidation resistance at high temperatures, requiring protective coatings that increase costs and complexity. Nickel-based superalloys, while robust at high temperatures, are denser and less corrosion-resistant in harsh environments. Sc3AlC, with a density comparable to titanium alloys (~4.5 g/cm3) and superior oxidation resistance, reduces the need for coatings and enhances durability in oxidative environments [10,11]. In electronics, silicon is cost-effective but lacks the mechanical robustness of Sc3AlC, which can integrate structural and functional roles in next-generation devices. Other MAX phases, such as Ti2AlC or Ti3AlC2 [9], share similar advantages but may have lower specific strength or electrical conductivity compared to Sc3AlC due to differences in composition and bonding [4,6]. Despite its promising properties, the widescale implementation of Sc3AlC faces several obstacles, primarily the high cost and limited availability of scandium, which is a rare and expensive element compared to titanium or other transition metals used in MAX phases like Ti2AlC or Ti3AlC2 [9]. Synthesis challenges also pose barriers, as producing high-purity Sc3AlC requires precise control to avoid defects or impurities that could degrade its mechanical and electrical properties. Additionally, scalable manufacturing processes, such as cost-effective powder metallurgy or additive manufacturing, are not yet fully optimized for scandium-based MAX phases, limiting their commercial viability [3]. However, recent progress is addressing these challenges. Advances in synthesis techniques, such as spark plasma sintering and reactive hot pressing, have improved the quality and affordability of MAX phases like Ti3SiC2 and Ti2AlC, which are now used in applications such as turbine blades, heat exchangers, and protective coatings [3,9]. Similar methods have been successfully applied to Sc3AlC, with recent studies reporting high-purity synthesis via reactive sintering at reduced temperatures, enhancing feasibility for industrial-scale production [12]. These developments, coupled with the growing industrial adoption of other MAX phases in aerospace, suggest a promising trajectory for Sc3AlC in high-value applications.
Currently, research on Sc3AlC MAX-phase materials has made significant progress. From a structural perspective, both experimental studies and theoretical calculations have confirmed that its crystal structure is of the anti-perovskite type, with a space group of Pm-3m [13,14,15]. Nevertheless, research on Sc3AlC under high-pressure conditions is still limited. Owing to limitations in high-pressure experimental techniques, the available data on its mechanical properties and electronic structure evolution under extreme pressure are scarce, thereby hindering the acquisition of comprehensive and precise information. Consequently, current studies are still constrained in fully elucidating the complex effects of high pressure on its structural stability and electronic characteristics. Several critical scientific issues require further investigation. These include systematic investigation of the evolution of mechanical properties, particularly the variation of elastic modulus and yield strength under high pressure; exploration of the mechanisms by which high pressure influences its electronic structure, including changes in band structure and electronic density of states; and analysis of the phase transition behavior of Sc3AlC under extreme conditions and its impact on overall performance. Therefore, this study aims to systematically investigate the structural, mechanical, dislocation, and electronic properties of the Sc3AlC MAX phase under high pressure. Addressing these critical issues will not only contribute to a deeper understanding of the high-pressure behavior of the Sc3AlC MAX phase, but also provide valuable guidance for extreme environment applications.

2. Methodology

First-principles calculations based on density functional theory (DFT) are executed using the Vienna ab initio Simulation Package (VASP) [16,17] to systematically investigate the electronic structure and mechanical properties of Sc3AlC. The ion-electron interactions are modeled using the Projected Augmented-Wave (PAW) method [18] to ensure accurate electronic structure modeling. The generalized gradient approximation (GGA) with the Perdew-Burke-Ernzerhof (PBE) functional is adopted to describe the exchange-correlation potential [19]. The calculations, performed within the DFT framework, utilize a cubic Sc3AlC structure (space group Pm-3m). A plane-wave basis set with a kinetic energy cutoff of 550 eV is applied to expand the electronic wavefunctions. The Brillouin zone is sampled using an 11 × 11 × 11 Γ-centered k-point mesh to ensure high-precision k-space integration [20]. Convergence criteria are set to 0.01 eV/Å for atomic forces and 10−6 eV/atom for total energy. To evaluate pressure-dependent behavior, applied pressures range from 0 to 60 GPa. Total energy calculations under compressive strains are conducted to assess mechanical properties and high-pressure stability. The electronic structure is evaluated through density of states (DOS) calculation. The results are employed to examine element-specific contributions (Sc, Al, C) to the electronic structure. The electronic configurations—Sc (3d1 4s2), Al (3s2 3p1), and C (1s2 2s2 2p2)—critically influence bonding characteristics and material stability. Figure 1 depicts the cubic crystal structure of the Sc3AlC unit cell.

3. Results and Discussions

3.1. Structure Properties and Stability

The equilibrium crystal structure of Sc3AlC in the MAX phase is determined through first-principles calculations. The total energy-volume dependence is characterized using the Birch-Murnaghan equation of state [21], providing a precise description of energy variations as a function of volume. The equilibrium volume is evaluated by systematically varying the volume from 0.9 V0 to 1.1 V0, where V0 denotes the equilibrium volume under the condition of P = 0 and T = 0. Figure 2 demonstrates that the structure reaches its minimum total energy ( E t = - 34 . 548438 eV) at an equilibrium volume of V 0 = 91.13 Å3. The equilibrium lattice constant (a0) is calculated as 4.500 Å. These results are derived under the condition of P = 0 and T = 0, confirming that the calculated values reflect the ideal equilibrium structure of Sc3AlC in the MAX phase. Table 1 illustrates that the calculated results show good agreement with prior experimental and theoretical studies [10,12,22,23,24,25,26,27].
To further investigate the effect of high pressure on the crystal structure of Sc3AlC, this study conducts a series of systematic structural optimization calculations under different pressure conditions, accurately determining the equilibrium lattice constant and volume of Sc3AlC within the pressure range of 0 to 60 GPa. The corresponding trends are shown in Figure 3. It is clearly observed that as the pressure increases from 0 to 60 GPa, both the lattice constant ratio a/a0 and the volume ratio V/V0 exhibit a decreasing trend. This indicates that under high pressure, the interatomic distances within Sc3AlC continuously decrease, leading to a denser atomic arrangement and enhanced electron interactions.
In anisotropic materials, structural stability is intrinsically linked to elastic constants Cij, which indicate the material’s ability to resist elastic deformation. Elastic constants Cij not only characterize the material’s response to external stresses but also highlight directional variations in mechanical properties. For cubic crystals, especially under high-pressure or large-strain conditions, elastic constants (C11, C12, and C44) are critical in determining the material’s resistance to stress-induced deformation. In solid-state physics, the stability of cubic crystals is primarily evaluated based on their elastic constants [28,29,30]. The stability criteria are defined by specific conditions related to elastic constants, ensuring that the crystal remains stable under diverse external stresses.
C 11 C 12 > 0 , C 11 > 0 , C 44 > 0 , C 11 + 2 C 12 > 0
The computational results obtained in this study demonstrate strong agreement with previous theoretical calculations reported in references [22,23,24,25,26,27], as evidenced by the comparative analysis presented in Table 2. This consistency between our findings and established theoretical frameworks not only corroborates the validity of our computational approach but also reinforces the reliability and precision of the current research methodology.
To explore the effect of high pressure on the elastic properties of Sc3AlC, the elastic constants are calculated in the pressures range of 0 to 60 GPa. Figure 4 depicts the variation of elastic constants (C11, C12, and C44) as a function of pressure. As pressure increases from 0 to 60 GPa, the elastic constants exhibit a monotonic increase, rising steadily from their initial values. This behavior indicates that Sc3AlC maintains structural stability under high pressure. Notably, these elastic constants fulfill the stability criterion defined by Equation (1). The results demonstrate that Sc3AlC retains structural stability under high pressure and exhibits enhanced resistance to structural phase transitions.

3.2. Mechanical Properties

The moduli of materials, including bulk modulus B, Young’s modulus E, and shear modulus G, play a crucial role in evaluating mechanical properties [31,32]. The magnitude of these moduli is directly related to the material’s strength. Materials with high modulus usually have high strength, indicating that they can maintain their shape and resist deformation under external stresses. The Voigt-Reuss-Hill (VRH) method is a commonly used approach to calculate the effective moduli of composite or anisotropic materials [33,34], as with the Equations (2)–(4). It can be used to estimate the relationships between different moduli (such as bulk modulus, Young’s modulus, and shear modulus), contributing to evaluate the material’s performance under varying stress and deformation conditions. Table 2 presents the computed moduli and compares them with previous studies.
B = 1 3 C 11 + 2 C 12
G = 1 2 G V + G R
E = 9 B G 3 B + G
In the aforementioned equations, GV and GR represent Voigt and Reuss shear modulus, respectively, which are mathematically expressed by Equations (5) and (6):
G V = C 11 C 12 + 3 C 44 5
G R = 5 C 11 C 12 C 44 4 C 44 + 3 C 11 C 12
Figure 5 illustrates the variations of bulk modulus (B), Young’s modulus (E), and shear modulus (G) within the pressure range of 0 to 60 GPa. As the pressure increases from 0 to 60 GPa, the bulk modulus (B), Young’s modulus (E), and shear modulus (G) all exhibit an upward trend. The increase in Young’s modulus (E) is the most significant, gradually rising from its initial value to considerably higher values. This indicates that under high pressure, the ability of Sc3AlC to resist elastic deformation is significantly enhanced, and the atomic bonding strength increases substantially as pressure increases. The bulk modulus (B) also increases steadily, reflecting the gradual enhancement of the ability of Sc3AlC to resist uniform compression under high-pressure conditions, indicating that the internal structural stability of the crystal improves as the pressure increases. The shear modulus (G) also increases with pressure, although the rate of change is more moderate compared to Young’s modulus (E) and bulk modulus (B), suggesting that under high pressure, the ability of Sc3AlC to resist shear deformation improves, although the rate of change is more moderate. These trends in moduli suggest that the mechanical properties of Sc3AlC are reinforced under high-pressure conditions.
The brittle-to-ductile transition represents a critical mechanical phenomenon wherein a material undergoes a fundamental transformation in its failure mode, transitioning from brittle fracture characteristics to ductile deformation behavior under applied stress conditions. At certain temperatures and pressures, the plasticity and toughness of a material depend on its crystal structure and the strength of atomic interactions. Specifically, the brittle-to-ductile transition is strongly correlated with the ratio between bulk modulus (B) and shear modulus (G), denoted as B/G [32]. This ratio is an effective indicator for predicting the material’s toughness and brittleness behavior under different temperature or stress conditions. The B/G ratio serves as a critical indicator for material toughness, with the threshold value of 1.75 demarcating distinct mechanical behavior;: values exceeding 1.75 typically signify enhanced toughness and ductile characteristics, while ratios below this critical value are indicative of reduced toughness and increased brittleness [35]. As shown in Figure 6, as pressure gradually increases from 0 to 60 GPa, the B/G ratio exhibits a continuous upward trend, rising steadily from approximately 1.3 to nearly 1.7. This change indicates that under high-pressure conditions, the ability of Sc3AlC to resist uniform compression (represented by the bulk modulus B) improves more significantly compared to its ability to resist shear deformation (represented by the shear modulus G). Within the pressure range of this study, the B/G ratio remains below 1.75 but gradually approaches this value with increasing pressure, suggesting that as pressure increases, Sc3AlC tends to transition towards more toughness mechanical behavior while maintaining relative brittleness characteristics within the 0–60 GPa pressure range.

3.3. Anisotropy

Elastic anisotropy represents a fundamental physical parameter that plays a pivotal role in characterizing and understanding the mechanical behavior of crystalline materials with anisotropic characteristics, particularly in determining their directional dependence of elastic properties. The anisotropy of materials is often characterized using the anisotropy factor A, and a greater deviation of anisotropy factor A from the one indicates stronger anisotropy [36,37]. The cross-slip pinning model provides a theoretical framework for analyzing dislocation behavior, slip systems, and pinning effects in metallic materials [38]. It is particularly effective in analyzing the mechanisms of plastic deformation and their relationship with anisotropy factor. This model integrates the phenomena of cross-slip and pinning, enabling a more comprehensive understanding of stress transmission and dislocation glide in anisotropic materials. The anisotropy factor for the Sc3AlC MAX phase can be calculated using the following formulas [39,40]:
A ( 100 ) [ 001 ] = 2 C 44 C 11 C 12
A ( 110 ) [ 001 ] = C 44 C + 2 C 12 + C 11 C 11 C C 12 2
where C = C 11 + C 12 / 2 + C 44 , and both A 100 001 and A 110 001 represent the anisotropy factors along the 100 001 and 110 001 crystallographic directions, respectively. According to Equations (7) and (8), Figure 7 illustrates the variation trends of anisotropy factors along the 100 001 direction (labeled as A 100 001 ) and the 110 001 direction (labeled as A 110 001 ) under increasing pressure. As the pressure rises from 0 to 60 GPa, both A 100 001 and A 110 001 exhibit a declining trend. This suggests that under high pressure, the degree of anisotropy in Sc3AlC along these two directions gradually increases, and the differences in mechanical properties along these directions increase with increasing pressure. The pressure-dependent variation in the anisotropy factors reflects the rearrangement of atoms, including changes in interatomic distances. These factors lead to the gradual increases in the differences in mechanical responses along different crystallographic directions.
Poisson’s ratio σ is a physical quantity that describes the ratio of transverse strain to longitudinal strain when a material is subjected to tension or compression, typically ranging between 0 and 0.5. For different types of materials, Poisson’s ratio is closely related to plasticity properties. According to Equations (9) and (10) [39,41], Figure 8 illustrates the variation trends of Poisson’s ratio σ 001 in the [001] direction and σ 111 in the [111] direction under increasing pressure. In general, a large Poisson’s ratio typically suggests good plasticity. At the initial stage, the Poisson ratio in both directions of the [001] and [111] is small, and with the increase of pressure, the Poisson ratio in both crystal directions increases, which indicates that the increase of pressure is conducive to improving the plasticity of the material. Furthermore, the value of σ 111 consistently exceeds that of σ 001 throughout the pressure range, suggesting that under the same pressure conditions, Sc3AlC exhibits better plasticity in the [111] direction compared to the [001] direction.
σ 001 = C 12 C 11 + C 12
σ 111 = C 11 + 2 C 12 2 C 44 2 C 11 + 2 C 12 + C 44
To further elucidate the evolution of the mechanical properties of Sc3AlC under high pressure, other relevant properties are calculated within the pressure range of 0 to 60 GPa, with the variations illustrated in Figure 9. Figure 9 presents the trends of C 12 C 14 (representing the Cauchy pressure), G 100 010 (shear modulus G 100 010 = C 44 in the 100 010 direction), G 110 1 1 ¯ 0 (shear modulus G 110 1 1 ¯ 0 = C 11 C 12 / 2 in the 110 1 1 ¯ 0 direction), and E 100 (Young’s modulus in the <100> direction) as functions of pressure, where E 100 is expressed by E 100 = C 11 C 12 1 + C 12 / C 11 + C 12 [42,43]. As the pressure increases from 0 GPa to 60 GPa, E 100 exhibits a significant upward trend, steadily rising from its initial value to a high level, which indicates that under high pressure, the ability of Sc3AlC to resist elastic deformation in the <100> direction is significantly enhanced, with the interatomic bonding forces in this direction markedly increasing with pressure. Both G 100 010 and G 110 1 1 ¯ 0 also increase with increasing pressure, although their growth rates are relatively smaller compared to E 100 . This suggests that in a high-pressure environment, the resistance of Sc3AlC to shear deformation in these two directions is improved. Generally, a negative Cauchy pressure indicates that the material possesses directional bonding characteristics, and a positive Cauchy pressure suggests metallic characteristic [43,44,45]. The Cauchy pressure C 12 C 14 remains negative throughout the pressure range; however, it gradually increases and asymptotically approaches zero as the pressure rises. This trend indicates a weakening of the directional characteristics of interatomic bonding within the material, accompanied by an enhancement of metallic properties.

3.4. Hardness and Yield Strength

Hardness and yield strength are essential parameters for characterizing a material’s resistance to deformation, and they are closely related to the material’s mechanical properties [46]. Specifically, hardness is defined as the ability of a material’s surface to resist localized plastic deformation, such as indentation, scratching, or wear. An increased hardness value implies that the material is less susceptible to plastic deformation. On the other hand, yield strength σ y is defined as the minimum stress where a material begins to undergo permanent deformation during tension or compression. Once the applied stress exceeds the yield strength, the material translates from elastic to plastic deformation. Previous studies [47,48,49,50] indicate that the Vickers hardness ( H V ) of a material can be determined using Equation (11), where k = G / B [51]. The Vickers hardness ( H V ) is approximately three times yield strength ( σ y ), as expressed in Equation (12).
To explore the effects of high pressure on the Vickers hardness and yield strength of Sc3AlC, the relevant data are calculated within the pressure range of 0 to 60 GPa, as illustrated in Figure 10. Figure 10a shows the variation of Vickers hardness versus applied pressure, while Figure 10b presents the changes in yield strength under pressure. From Figure 10a, the value of Vickers hardness is about 17.52 GPa at ambient pressure, aligning well with the calculated result (HV = 17.81 GPa) of Rayhan et al. [26], and it can be observed that within the pressure range of 0 to 10 GPa, the Vickers hardness increases rapidly from approximately 17.52 GPa to about 18.16 GPa. This indicates that during the initial stage of pressure increase, the resistance to localized plastic deformation significantly improves in the Sc3AlC MAX phase. Subsequently, from 10 GPa to 50 GPa, H V fluctuates within the range of 17.52 GPa to 18.16 GPa, remaining relatively stable. This suggests that changes in pressure have a minimal impact on Vickers hardness of Sc3AlC phase. However, when the pressure exceeds 50 GPa, H V drops sharply, reaching approximately 16.84 GPa at P = 60 GPa, which demonstrates that the hardness value decreases significantly under high pressure. In Figure 10b, the yield strength shows an increase from 5.84 GPa to 6.05 GPa within the 0 to 10 GPa range, indicating that the stress to resist plastic deformation increases. From 10 GPa to 50 GPa, σ y fluctuates between 5.84 GPa and 6.05 GPa, remaining relatively stable, which suggests that the yield characteristics of the material are relatively stable within this pressure range. However, when the pressure reaches 60 GPa, σ y decreases to about 5.61 GPa, indicating a reduction in the material’s yield strength under the conditions of high pressure.
H v = 2 k 2 G 0.585 3
σ y = H V / 3

3.5. Energy Factor K

In crystalline materials, the ability of dislocation nucleation is closely associated with the material’s plasticity. The energy factor K is a crucial parameter that quantifies the dislocation nucleation ability, representing the minimum energy for plastic deformation in a specific direction, and the calculation of energy factor K is related to the elastic constant. For cubic crystals, Equations (13) and (14) give the expressions of K factors of edge and screw dislocations [52,53]. Based on the calculated results, Figure 11 illustrates the variation of the energy factor K for edge and screw dislocations versus applied pressure. As the pressure increases from 0 to 60 GPa, the energy factors K for both edge and screw dislocations increase. For edge dislocations, the energy factor Kedge increases steadily from an initial value of 107.45 GPa to 197.68 GPa, which suggests that under high-pressure conditions, the nucleation energy of edge dislocations in Sc3AlC significantly increases, resulting in a higher energy barrier that must be overcome for dislocation nucleation, thereby inhibiting plastic deformation. For screw dislocations, the energy factor Kscrew gradually rises from 87.22 GPa to 148.38 GPa, indicating that the nucleation energy also increases with increasing pressure, thus leading to the inhibition of screw dislocations.
K screw = 1 2 C 44 C 11 C 12 1 2
K edge = C 11 + C 12 C 11 C 12 C 44 C 11 + C 12 + 2 C 44 C 11 1 2
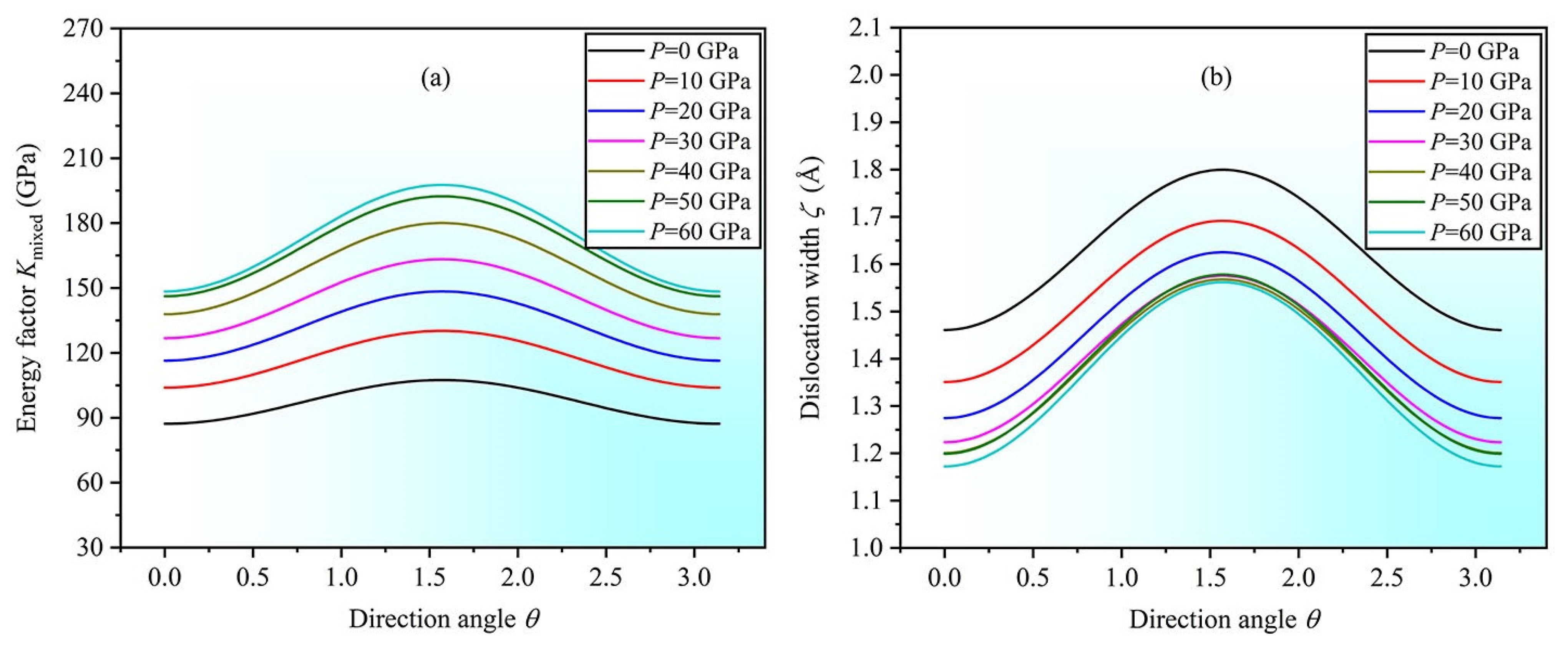
The mixed dislocation factor K mixed is a parameter that quantifies the nucleation of mixed dislocations, and this factor can be characterized as a function of the orientation angle θ. For mixed dislocations, the dislocation core width ζ represents the extent of deformation within the dislocation region. The relationships between K mixed , ζ , and other parameters are described by Equations (15) and (16) [53,54], where C = C 11 C 12 / 2 , with d denoting the distance between adjacent slip planes. Figure 12 shows the calculated curves of K mixed and ζ versus applied pressure. In Figure 12a, as pressure increases, the mixed dislocation factor K mixed also increases, which is consistent with the conclusion in Figure 11. In Figure 12b, it is evident that the dislocation core width gradually decreases as pressure increases, which increases the stacking-fault energy of the Sc3AlC MAX phase, and then inhibits twinning deformation.
K mixed = K edge sin 2 θ + K screw cos 2 θ
ζ = K mixed d 2 C

3.6. Electronic Properties

The electronic structure is intrinsically related to the bonding mechanisms and directly affects the structural stability of a material. To examine the effects of high pressure on the electronic structure of Sc3AlC, the variation of total density of states (TDOS) is analyzed under pressures ranging from 0 to 60 GPa, as shown in Figure 13. As the pressure increases from 0 to 60 GPa, the TDOS at the Fermi level slightly increases, and the DOS for both the valence and conduction bands near the Fermi level shifts slightly to the right, indicating that high pressure enhances the interatomic bonding in the Sc3AlC MAX phase, while the enhancement effect is not substantial.

4. Conclusions

This work systematically investigates the effects of pressure on the structural, mechanical, dislocation, and electronic properties of the Sc3AlC MAX phase using first-principles calculations. The main conclusions are as follows:
(1)
Under pressures ranging from 0 to 60 GPa, the lattice constant ratio and volume ratio decrease. The elastic constants satisfy stability criteria, indicating that the structure remains stable under high pressure.
(2)
As the pressure increases, the bulk modulus, Young’s modulus, and shear modulus increase, enhancing resistance to material deformation. The B/G ratio rises, approaching 1.75, suggesting a tendency toward ductile behavior, but the material still maintains its brittle characteristics.
(3)
As the pressure increases, the anisotropy in the 100 001 and 110 001 directions also increases. The Poisson’s ratio in the [001] and [111] directions increases, resulting in the enhanced plasticity, with better plasticity along the [111] direction. The negative Cauchy pressure indicates the directional characteristics of interatomic bonding.
(4)
Vickers hardness and yield strength increase under pressures of 0 to 10 GPa and remain relatively stable between 10 and 50 GPa, and then decrease sharply above 50 GPa.
(5)
High pressure increases the energy factors of edge and screw dislocations, suppressing dislocation nucleation. The mixed dislocation factor increases with increasing pressure, and the dislocation core width reduces, which may inhibit twinning deformation.
(6)
High pressure enhances the interatomic bonding in the Sc3AlC MAX phase, while the enhancement effect is not substantial.

Author Contributions

Methodology, Formal analysis, Investigation, Writing—original draft, J.X., Z.W. and L.Z.; Funding acquisition, Supervision, Visualization, Z.W. and L.M.; Project administration, Data curation, L.Z.; Software, P.T.; Writing—review and editing, J.X., Z.W. and L.M. All authors have read and agreed to the published version of the manuscript.

Funding

This research was funded by the National Natural Science Foundation of China (52162009), State Key Laboratory of Advanced Design and Manufacturing for Vehicle Body, Hunan University, Changsha, China (32175006).

Data Availability Statement

The data presented in this study are available on request from the corresponding authors.

Conflicts of Interest

The authors declare no conflicts of interest.

References

  1. Dong, H.; Yu, Y.; Jin, X.; Tian, X.; He, W.; Ma, W. Microstructure and mechanical properties of SiC-SiC joints joined by spark plasma sintering. Ceram. Int. 2016, 42, 14463–14468. [Google Scholar] [CrossRef]
  2. Shrivastava, V. Microwave processed SrBi2Nb2O9 ferroelectric ceramics with controlled dielectric relaxation and metallic conduction. Ceram. Int. 2016, 42, 10122–10126. [Google Scholar] [CrossRef]
  3. Lu, Y.; Yang, A.; Duan, Y.; Peng, M. Structural stability, electronic and optical properties of MAX-phase ternary nitrides β-TM4AlN3 (TM = V, Nb, and Ta) using the first-principles explorations. Vacuum 2021, 193, 110529. [Google Scholar] [CrossRef]
  4. Zhang, Z.; Duan, X.; Jia, D.; Zhou, Y.; Zwaag, S.V.D. On the formation mechanisms and properties of MAX phases: A review. J. Eur. Ceram. Soc. 2021, 41, 3851–3878. [Google Scholar] [CrossRef]
  5. Ching, W.Y.; Mo, Y.; Aryal, S.; Rulis, P. Intrinsic mechanical properties of 20 MAX-phase compounds. J. Am. Ceram. Soc. 2013, 96, 2292–2297. [Google Scholar] [CrossRef]
  6. Sokol, M.; Natu, V.; Kota, S.; Barsoum, M.W. On the chemical diversity of the MAX phases. Trends Chem. 2019, 1, 210–223. [Google Scholar] [CrossRef]
  7. Sauceda, D.; Singh, P.; Falkowski, A.; Chen, Y.; Doung, T.; Vazquez, G.; Radovic, M.; Arroyave, R. High-throughput reaction engineering to assess the oxidation stability of MAX phases. NPJ Comput. Mater. 2021, 7, 6. [Google Scholar] [CrossRef]
  8. Badie, S.; Sebold, D.; Vaßen, R.; Guillon, O.; Gonzalez-Julian, J. Mechanism for breakaway oxidation of the Ti2AlC MAX phase. Acta Mater. 2021, 215, 117025. [Google Scholar] [CrossRef]
  9. Bao, W.; Wang, X.G.; Ding, H.; Lu, P.; Zhu, C.; Zhang, G.J.; Xu, F. High-entropy M2AlC-MC (M = Ti, Zr, Hf, Nb, Ta) composite: Synthesis and microstructures. Scripta Mater. 2020, 183, 33–38. [Google Scholar] [CrossRef]
  10. Nowotny, H.; Boller, H.; Beckmann, O. Alloy phases crystallizing with structures which occur with nonmetallic compounds. J. Solid State Chem. 1970, 2, 462–471. [Google Scholar] [CrossRef]
  11. Nowotny, V.H. Strukturchemie einiger verbindungen der übergangsmetalle mit den elementen C, Si, Ge, Sn. Prog. Solid State Chem. 1971, 5, 27–70. [Google Scholar] [CrossRef]
  12. Ghule, A.; Ghule, S.; Garde, C.; Pandey, B.; Ramakrishnan, S. Ab initio study of Sc3MO (M = Al, Ga, In, Tl) and systematics in Sc3MZ (Z = B, C, N, O). Comput. Condens. Matter 2020, 25, e00509. [Google Scholar] [CrossRef]
  13. Chern, M.Y.; Vennos, D.; DiSalvo, F. Synthesis, structure, and properties of anti-perovskite nitrides Ca3MN, M = P, As, Sb, Bi, Ge, Sn, and Pb. J. Solid State Chem. 1992, 96, 415–425. [Google Scholar] [CrossRef]
  14. Deng, Z.; Ni, D.; Chen, D.; Bian, Y.; Li, S.; Wang, Z.; Zhao, Y. Anti-perovskite materials for energy storage batteries. InfoMat 2022, 4, e12252. [Google Scholar] [CrossRef]
  15. Lenggenhager, P.M.; Liu, X.; Neupert, T.; Bzdušek, T. Universal higher-order bulk-boundary correspondence of triple nodal points. Phys. Rev. B 2022, 106, 085129. [Google Scholar] [CrossRef]
  16. Kresse, G.; Furthmüller, J. Efficient iterative schemes for ab initio total-energy calculations using a plane-wave basis set. Phys. Rev. B 1996, 54, 11169–11186. [Google Scholar] [CrossRef]
  17. Kresse, G.; Hafner, J. Ab initio molecular dynamics for liquid metals. Phys. Rev. B 1993, 47, 558–561. [Google Scholar] [CrossRef]
  18. Blöchl, P.E. Projected augmented-wave method. Phys. Rev. B 1994, 50, 17953–17979. [Google Scholar] [CrossRef]
  19. Perdew, J.P.; Burke, K.; Wang, Y. Generalized gradient approximation for the exchange-correlation hole of a many-electron system. Phys. Rev. B 1996, 54, 16533. [Google Scholar] [CrossRef]
  20. Pack, J.D.; Monkhorst, H.J. Special Points for Brillonin-Zone Integrations. Phys. Rev. B 1976, 13, 5188. [Google Scholar]
  21. Birch, F. Finite elastic strain of cubic crystals. Phys. Rev. 1947, 71, 809. [Google Scholar] [CrossRef]
  22. Gesing, T.M.; Wachtmann, K.H.; Jeitschko, W. The Perovskite Carbides A3MC (A = Sc, Y, La-Nd, Sm, Gd-Lu; M = AI, Ga, In, Tl, Sn, Pb). Z. Naturforsch. B 1997, 52, 176–182. [Google Scholar] [CrossRef]
  23. Haddadi, K.; Bouhemadou, A.; Zerarga, F.; Bin-Omran, S. First-principles investigation of the ternary scandium based inverse-perovskite carbides Sc3AC (A = Al, Ga, In and Tl). Solid State Sci. 2012, 14, 1175–1185. [Google Scholar] [CrossRef]
  24. Kanchana, V.; Ram, S. Electronic structure and mechanical properties of Sc3AC (A = Al, Ga, In, Tl) and Sc3BN (B = Al, In): Ab-initio study. Intermetallics 2012, 23, 39–48. [Google Scholar] [CrossRef]
  25. Medkour, Y.; Roumili, A.; Maouche, D.; Saoudi, A. A first-principles study on the structural, elastic and electronic properties of AlCSc3 and AlNSc3. Solid State Commun. 2009, 149, 1840–1842. [Google Scholar] [CrossRef]
  26. Rayhan, M.; Ali, M.; Jahan, N.; Hossain, M.; Uddin, M.; Islam, A.; Naqib, S. Insights into the unrevealed physical properties of Sc2Al2C3 compared with other Sc-Al-C systems via ab-initio investigation. Phys. Open 2024, 19, 100217. [Google Scholar] [CrossRef]
  27. Wang, K.; Zhang, X.; Wang, F. Exploring the electronic, mechanical, anisotropic and optical properties of the Sc-Al-C MAX phases from a first principles calculations. Chem. Phys. Lett. 2024, 836, 141024. [Google Scholar] [CrossRef]
  28. Patil, S.K.R.; Khare, S.V.; Tuttle, B.R.; Bording, J.K.; Kodambaka, S. Mechanical stability of possible structures of PtN investigated using first-principles calculations. Phys. Rev. B 2006, 73, 104118. [Google Scholar] [CrossRef]
  29. Wang, J.; Yip, S.; Phillpot, S.R.; Wolf, D. Crystal instabilities at finite strain. Phys. Rev. Lett. 1993, 71, 4182. [Google Scholar] [CrossRef]
  30. Wallace, D.C.; Callen, H. Thermodynamics of Crystals. Am. J. Phys. 1972, 40, 1718–1719. [Google Scholar] [CrossRef]
  31. Yang, X.W.; Zhu, J.C.; Lai, Z.H.; Liu, Y.; He, D.; Nong, Z.S. Finite element analysis of quenching temperature field, residual stress and distortion in A357 aluminum alloy large complicated thin-wall workpieces. T. Nonferr. Metal. Soc. 2013, 23, 1751–1760. [Google Scholar] [CrossRef]
  32. Lu, Y.; Yang, Y.; Zheng, F.; Wang, B.T.; Zhang, P. Electronic, mechanical, and thermodynamic properties of americium dioxide. J. Nucl. Mater. 2013, 441, 411–420. [Google Scholar] [CrossRef]
  33. Hill, R. The elastic behavior of crystalline aggregate. Proc. Phys. Soc. A 1952, 65, 349–354. [Google Scholar] [CrossRef]
  34. Iotova, D.; Kioussis, N.; Lim, S.P. Electronic structure and elastic properties of the Ni3X (X = Mn, Al, Ga, Si, Ge) intermetallics. Phys. Rev. B 1996, 54, 14413–14422. [Google Scholar] [CrossRef] [PubMed]
  35. Cottrel, A.H. Advanced Structural Materials. In Proceedings of the 2nd European Conference on Advanced Materials and Processes, Cambridge, UK, 22–24 July 1991. [Google Scholar]
  36. Fu, H.; Li, D.; Peng, F.; Gao, T.; Cheng, X. Structural and elastic properties of γTiAl under high pressure from electronic structure calculations. J. Alloys Comp. 2009, 473, 255–261. [Google Scholar] [CrossRef]
  37. Mattesini, M.; Ahuja, R.; Johansson, B. Cubic Hf3N4 and Zr3N4: A class of hard materials. Phys. Rev. B 2003, 68, 184108. [Google Scholar] [CrossRef]
  38. Yoo, M.H. On the theory of anomalous yield behavior of Ni3Al—Effect of elastic anisotropy. Scripta Metall. 1986, 20, 915–920. [Google Scholar] [CrossRef]
  39. Fu, H.; Li, X.F.; Liu, W.F.; Ma, Y.; Tao, G.; Hong, X. Electronic and dynamical properties of NiAl studied from first principles. Intermetallics 2011, 19, 1959–1967. [Google Scholar] [CrossRef]
  40. Lau, K.; McCurdy, A.K. Elastic anisotropy factors for orthorhombic, tetragonal, and hexagonal crystals. Phys. Rev. B 1998, 58, 8980–8984. [Google Scholar] [CrossRef]
  41. Friák, M.; Šob, M.; Vitek, V. Ab initio calculation of tensile strength in iron. Philos. Mag. 2003, 83, 3529–3537. [Google Scholar] [CrossRef]
  42. Zhu, Y.M.; Weyland, M.; Morton, A.J.; Oh-ishi, K.; Hono, K.; Nie, J.F. The building block of long-period structures in Mg-RE-Zn alloys. Scripta Mater. 2009, 60, 980–983. [Google Scholar] [CrossRef]
  43. Fu, H.; Li, D.; Peng, F.; Gao, T.; Cheng, X. Ab initio calculations of elastic constants and thermodynamic properties of NiAl under high pressures. Comp. Mater. Sci. 2008, 44, 774–778. [Google Scholar] [CrossRef]
  44. Johnson, R.A. Analytic nearest-neighbor model for fcc metals. Phys. Rev. B 1988, 37, 3924–3931. [Google Scholar] [CrossRef]
  45. Pettifor, D. Theoretical predictions of structure and related properties of intermetallics. Mater. Sci. Technol. 1992, 8, 345–349. [Google Scholar] [CrossRef]
  46. Tse, J.S. Intrinsic hardness of crystalline solids. J. Superhard Mater. 2010, 32, 177–191. [Google Scholar] [CrossRef]
  47. Smedskjaer, M.M.; Mauro, J.C.; Yue, Y. Prediction of glass hardness using temperature-dependent constraint theory. Phys. Rev. Lett. 2010, 105, 115503. [Google Scholar] [CrossRef]
  48. Li, K.; Wang, X.; Zhang, F.; Xue, D. Electronegativity identification of novel superhard materials. Phys. Rev. Lett. 2008, 100, 235504. [Google Scholar] [CrossRef] [PubMed]
  49. Gao, F.; He, J.; Wu, E.; Liu, S.; Yu, D.; Li, D.; Zhang, S.; Tian, Y. Hardness of covalent crystals. Phys. Rev. Lett. 2003, 91, 015502. [Google Scholar] [CrossRef]
  50. Šimůnek, A.; Vackář, J. Hardness of covalent and ionic crystals: First-principle calculations. Phys. Rev. Lett. 2006, 96, 085501. [Google Scholar] [CrossRef]
  51. Chen, X.; Niu, H.; Li, D.; Li, Y. Modeling hardness of polycrystalline materials and bulk metallic glasses. Intermetallics 2011, 19, 1275–1281. [Google Scholar] [CrossRef]
  52. Savin, M.M.; Chernov, V.M.; Strokova, A.M. Energy factor of dislocations in hexagonal crystals. Phys. Status Solidi A 1976, 35, 747–754. [Google Scholar] [CrossRef]
  53. Foreman, A.J.E. Dislocation energies in anisotropic crystals. Acta Metall. 1955, 3, 322–330. [Google Scholar] [CrossRef]
  54. Reid, C.N. Dislocation widths in anisotropic B.C.C. crystals. Acta Metall. 1966, 14, 13–16. [Google Scholar] [CrossRef]
Figure 1. Structural model of Sc3AlC MAX phase with a 0 = 4.500 Å.
Figure 1. Structural model of Sc3AlC MAX phase with a 0 = 4.500 Å.
Metals 15 00492 g001
Figure 2. The correlation between total energy and unit cell volume.
Figure 2. The correlation between total energy and unit cell volume.
Metals 15 00492 g002
Figure 3. Variation curves depicting V/V0 and a/a0 ratios versus applied pressure.
Figure 3. Variation curves depicting V/V0 and a/a0 ratios versus applied pressure.
Metals 15 00492 g003
Figure 4. Variation curves depicting elastic constants Cij versus applied pressure.
Figure 4. Variation curves depicting elastic constants Cij versus applied pressure.
Metals 15 00492 g004
Figure 5. Variation curves depicting Young’s modulus, bulk modulus, and shear modulus versus applied pressure.
Figure 5. Variation curves depicting Young’s modulus, bulk modulus, and shear modulus versus applied pressure.
Metals 15 00492 g005
Figure 6. Variation curves depicting B/G versus applied pressure.
Figure 6. Variation curves depicting B/G versus applied pressure.
Metals 15 00492 g006
Figure 7. Variation curves depicting anisotropy factors A versus applied pressure.
Figure 7. Variation curves depicting anisotropy factors A versus applied pressure.
Metals 15 00492 g007
Figure 8. Variation curves depicting Poisson’s ratio σ versus applied pressure.
Figure 8. Variation curves depicting Poisson’s ratio σ versus applied pressure.
Metals 15 00492 g008
Figure 9. Variation curves depicting Cauchy pressure and material modulus versus applied pressure.
Figure 9. Variation curves depicting Cauchy pressure and material modulus versus applied pressure.
Metals 15 00492 g009
Figure 10. Variation curves depicting H V (a) and σ y (b) versus applied pressure.
Figure 10. Variation curves depicting H V (a) and σ y (b) versus applied pressure.
Metals 15 00492 g010
Figure 11. Variation curves depicting energy factors K for screw and edge dislocations versus applied pressure.
Figure 11. Variation curves depicting energy factors K for screw and edge dislocations versus applied pressure.
Metals 15 00492 g011
Figure 12. Variation curves depicting K mixed factor of mixed dislocation (a) and dislocation width ζ (b) versus direction angle θ 0 θ π at various pressures.
Figure 12. Variation curves depicting K mixed factor of mixed dislocation (a) and dislocation width ζ (b) versus direction angle θ 0 θ π at various pressures.
Metals 15 00492 g012
Figure 13. TDOS of Sc3AlC MAX phase under different pressures.
Figure 13. TDOS of Sc3AlC MAX phase under different pressures.
Metals 15 00492 g013
Table 1. Lattice parameter of Sc3AlC MAX phase compared with experimental and theoretical values.
Table 1. Lattice parameter of Sc3AlC MAX phase compared with experimental and theoretical values.
Sc3AlC PresentExperimental ValuesTheoretical Values
Lattice parameter 4.5004.498 [22], 4.48 [10],4.508 [26], 4.480 [25], 4.508 [23],
4.5004 [12]4.51 [27], 4.51 [24], 4.5119 [12]
Table 2. Calculated results compared with other theoretical data at T = 0 and P = 0 (Unit: GPa).
Table 2. Calculated results compared with other theoretical data at T = 0 and P = 0 (Unit: GPa).
Sc3AlCPresentTheoretical Data
C11235.2220.85 [26], 224.90 [25], 219.20 [23], 220 [24], 225 [27], 220 [22]
C1245.2142.15 [26], 40.50 [25], 40.35 [23], 40 [24], 41.5 [27], 43 [22]
C4480.0880.12 [26], 80.80 [25], 80.19 [23], 79 [24], 80.3 [27], 79 [22]
B108.54101.72 [26], 101.60 [25], 99.98 [23], 99.91 [24], 102.70 [27], 102 [22]
E203.62197.03 [26], 199.70 [25], 196.40 [23], 195 [24], 199.27 [27]
G85.7483.69 [26], 85.10 [25], 83.80 [23], 83.26 [24], 84.68 [27], 83 [22]
σ0.160.18 [26], 0.17 [25], 0.17 [23], 0.17 [24], 0.18 [27], 0.18 [22]
Disclaimer/Publisher’s Note: The statements, opinions and data contained in all publications are solely those of the individual author(s) and contributor(s) and not of MDPI and/or the editor(s). MDPI and/or the editor(s) disclaim responsibility for any injury to people or property resulting from any ideas, methods, instructions or products referred to in the content.

Share and Cite

MDPI and ACS Style

Xi, J.; Wang, Z.; Zhang, L.; Ma, L.; Tang, P. Unveiling High-Pressure Behavior of Sc3AlC MAX Phase: A Comprehensive Theoretical Study on Structural, Mechanical, Dislocation, and Electronic Properties. Metals 2025, 15, 492. https://doi.org/10.3390/met15050492

AMA Style

Xi J, Wang Z, Zhang L, Ma L, Tang P. Unveiling High-Pressure Behavior of Sc3AlC MAX Phase: A Comprehensive Theoretical Study on Structural, Mechanical, Dislocation, and Electronic Properties. Metals. 2025; 15(5):492. https://doi.org/10.3390/met15050492

Chicago/Turabian Style

Xi, Junping, Zhipeng Wang, Linkun Zhang, Li Ma, and Pingying Tang. 2025. "Unveiling High-Pressure Behavior of Sc3AlC MAX Phase: A Comprehensive Theoretical Study on Structural, Mechanical, Dislocation, and Electronic Properties" Metals 15, no. 5: 492. https://doi.org/10.3390/met15050492

APA Style

Xi, J., Wang, Z., Zhang, L., Ma, L., & Tang, P. (2025). Unveiling High-Pressure Behavior of Sc3AlC MAX Phase: A Comprehensive Theoretical Study on Structural, Mechanical, Dislocation, and Electronic Properties. Metals, 15(5), 492. https://doi.org/10.3390/met15050492

Note that from the first issue of 2016, this journal uses article numbers instead of page numbers. See further details here.

Article Metrics

Back to TopTop