Prediction of Limiting Casting Speed in a Horizontal Direct-Chill Casting through Numerical Modeling and Simulation
Abstract
1. Introduction
2. Numerical Modeling Protocol
2.1. Protocol for Non-Dimensionalization of the Governing Equations
Description of the Mushy and Slurry Zone
2.2. Specification of the System, Boundary Conditions, and Materials Properties

3. Solution Methods
4. Results and Discussion
4.1. Numerical Model Validation
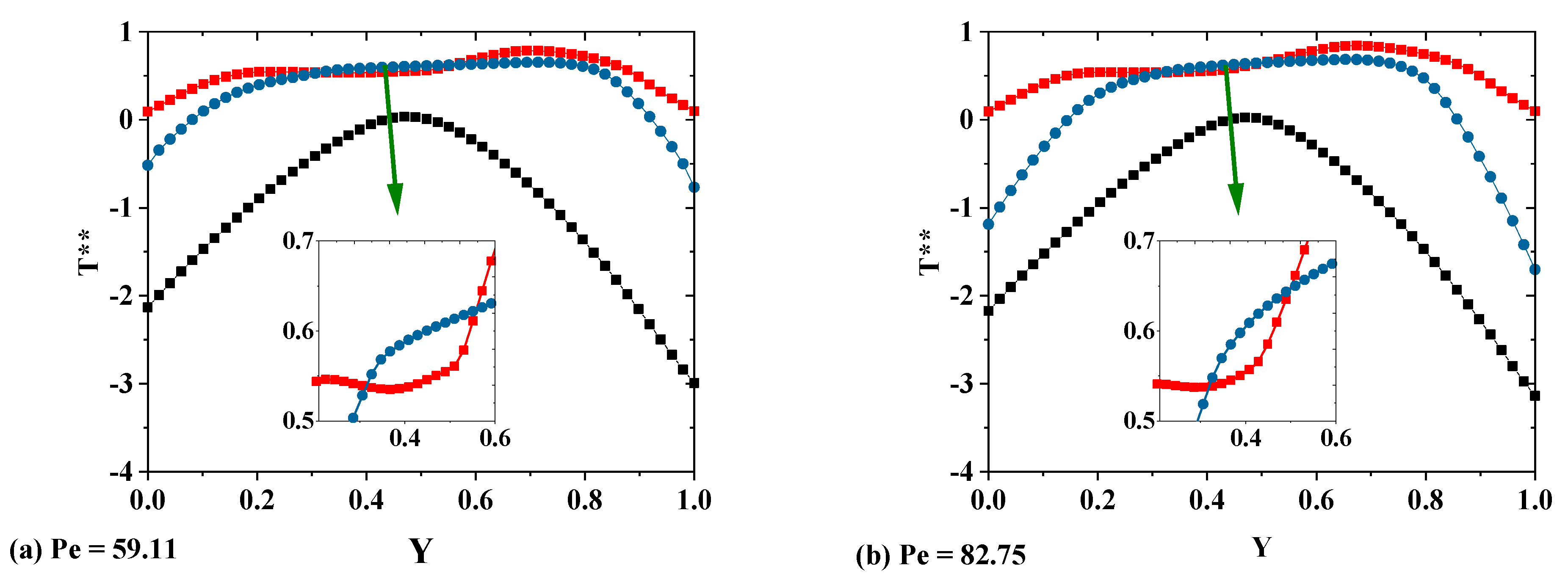
4.2. Influence of Different Casting Speeds on the Flow Characteristics, Temperature Distribution, Turbulent Viscosity Ratio, Dimensionless Temperature, and Velocity
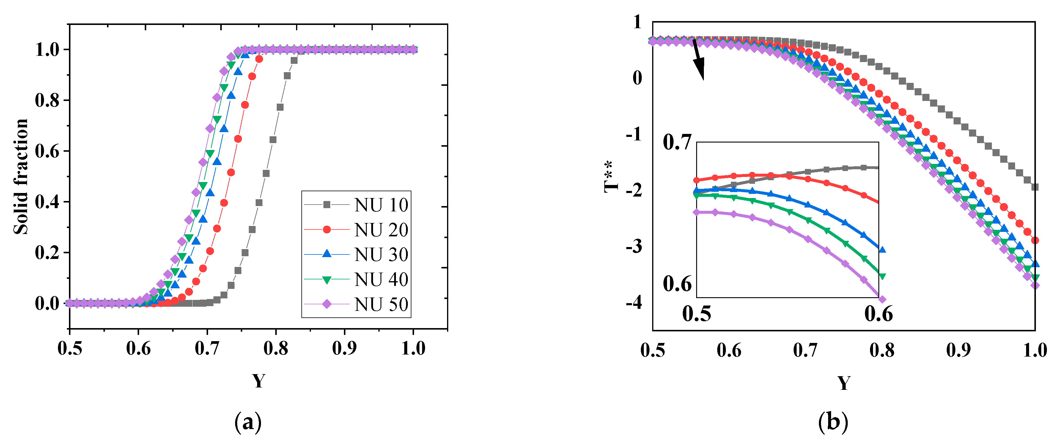
4.3. Influence of Different Cooling Conditions on the Solid Fraction, Dimensionless Temperature and Velocity, Viscosity, and Sump Length
5. Conclusions
Author Contributions
Funding
Data Availability Statement
Acknowledgments
Conflicts of Interest
Nomenclature
| c | specific heat capacity (J/Kg/K) | fluctuating velocity in the i-direction (m/s) | |
| constants in the -equation | fluctuating velocity in the j-direction (m/s) | ||
| constant in the constitutive equation of eddy viscosity model | x | x-coordinate distance m | |
| constants in the V2F length scale | X | X-coordinates dimensionless distance | |
| f | elliptic relaxation | y | y-coordinate distance m |
| liquid mass fraction | Y | Y-coordinates dimensionless distance | |
| solid mass fraction | dimensionless wall distance | ||
| g | acceleration due to gravity (m2/s) | W | width m |
| volume fraction | Greek Symbols | ||
| buoyant production | eddy thermal diffusivity (m2/s) | ||
| h | heat transfer coefficient (W/) | thermal expansion coefficient | |
| k | turbulent kinetic energy (m2/s2) | turbulence dissipation rate (m2/s2) | |
| effective thermal conductivity (W/.K) | ϵ | small number to avoid zero division (0.001) | |
| K | Permeability coefficient () | relative viscosity (kg/m. s) | |
| partition coefficient | turbulent viscosity | ||
| latent heat of fusion (J/Kg) | ρ | density (Kg/) | |
| turbulent length scale (m) | turbulent flux Prandtl number | ||
| P | pressure in (pascal) | turbulent Prandtl number for k and | |
| production of turbulent energy | Reynolds stresses | ||
| Turbulent Reynolds Number | Subscripts | ||
| T | temperature (K) | c | casting |
| turbulence time scale | cr | critical | |
| t | time (seconds) | Eff | effective |
| velocity variance (m2/s2) | liquid | ||
| average velocity (m/s) | inl | inlet | |
| casting velocity vector (m/s) | r | relative | |
| V | velocity vector (m/s) | reference | |
| Gr | Grashof number | s | solid |
| Da | Darcy number | t | turbulent |
| Pe | Péclet number | Superscripts | |
| Re | Reynolds number | * | dimensionless |
| St | Stefan number |
References
- Nzebuka, G.C.; Ufodike, C.O.; Egole, C.P. Influence of various aspects of low-Reynolds number turbulence models on predicting flow characteristics and transport variables in a horizontal direct-chill casting. Int. J. Heat Mass Transf. 2021, 179, 121648. [Google Scholar] [CrossRef]
- Waheed, M.A.; Nzebuka, G.C.; Enweremadu, C.C. Potent turbulence model for the computation of temperature distribution and eddy viscosity ratio in a horizontal direct-chill casting. Numer. Heat Transf. Part A Appl. 2020, 79, 294–310. [Google Scholar] [CrossRef]
- Zhao, Z.; Cui, J.; Dong, J.; Zhang, B. Effect of low-frequency magnetic field on microstructures and macrosegregation of horizontal direct chill casting 7075 aluminum alloy. J. Mater. Process. Technol. 2007, 182, 185–190. [Google Scholar] [CrossRef]
- Ma, M.; Huang, W.-X.; Xu, C.-X.; Cui, G.-X. A hybrid immersed boundary/wall-model approach for large-eddy simulation of high-Reynolds-number turbulent flows. Int. J. Heat Fluid Flow 2021, 88, 108769. [Google Scholar] [CrossRef]
- Li, Y.; Ries, F.; Leudesdorff, W.; Nishad, K.; Pati, A.; Hasse, C.; Janicka, J.; Jakirlić, S.; Sadiki, A. Non-equilibrium wall functions for large Eddy simulations of complex turbulent flows and heat transfer. Int. J. Heat Fluid Flow 2021, 88, 108758. [Google Scholar] [CrossRef]
- Ufodike, C.O.; Nzebuka, G.C. Investigation of thermal evolution and fluid flow in the hot-end of a material extrusion 3D Printer using melting model. Addit. Manuf. 2021, 49, 102502. [Google Scholar] [CrossRef]
- Nzebuka, G.C.; Ufodike, C.O.; Rahman, A.M.; Gwynn, C.M.; Ahmed, M.F. Numerical modeling of the effect of nozzle diameter and heat flux on the polymer flow in fused filament fabrication. J. Manuf. Process. 2022, 82, 585–600. [Google Scholar] [CrossRef]
- Baserinia, A.R.; Ng, H.; Weckman, D.C.; Wells, M.A.; Barker, S.; Gallerneault, M. A Simple Model of the Mold Boundary Condition in Direct-Chill (DC) Casting of Aluminum Alloys. Met. Mater. Trans. B 2012, 43, 887–901. [Google Scholar] [CrossRef]
- Begum, L.; Hasan, M. A Numerical Study of 3D Turbulent Melt Flow and Solidification in a Direct Chill Slab Caster with an Open-Top Melt Feeding System. Numer. Heat Transf. Part A Appl. 2014, 67, 719–745. [Google Scholar] [CrossRef]
- Du, Q.; Eskin, D.; Katgerman, L. The effect of ramping casting speed and casting temperature on temperature distribution and melt flow patterns in the sump of a DC cast billet. Mater. Sci. Eng. A 2005, 413–414, 144–150. [Google Scholar] [CrossRef]
- Nzebuka, G.; Waheed, M. Thermal evolution in the direct chill casting of an Al-4 pct Cu alloy using the low-Reynolds number turbulence model. Int. J. Therm. Sci. 2019, 147, 106152. [Google Scholar] [CrossRef]
- Nzebuka, G.C.; Waheed, M.A.; Kuye, S.I.; Olajuwon, B.I. Accounting for Melt Flow Pattern and Solid Fraction Evolution in DC Casting of Al-Cu Alloy Using v2 − f Turbulence Model. Metall. Mater. Trans. B 2019, 50, 866–880. [Google Scholar] [CrossRef]
- Waheed, M.; Nzebuka, G. Analysis of thermally driven flow pattern formation in aluminium DC casting for different Rayleigh numbers and billet diameters. Therm. Sci. Eng. Prog. 2020, 18, 100536. [Google Scholar] [CrossRef]
- Waheed, M.A.; Nzebuka, G.C. Investigation of macrosegregation for different dendritic arm spacing, casting temperature, and thermal boundary conditions in a direct-chill casting. Appl. Phys. A 2020, 126, 725. [Google Scholar] [CrossRef]
- Zuo, K.; Zhang, H.; Qin, K.; Cui, J.; Chen, Q. Three-Dimensional CFD Simulation Coupled with Thermal Contraction in Direct-Chill Casting of A390 Aluminum Alloy Hollow Billet. Met. Mater. Trans. B 2016, 48, 429–443. [Google Scholar] [CrossRef]
- Larouche, A.; Lane, M.; DiCiano, M.; Maijer, D.M.; CockCroft, S.; Thiffault, R. Understanding T-Ingot Horizontal DC Casting Using Process Modelling. Mater. Sci. Forum 2006, 519–521, 1461–1466. [Google Scholar] [CrossRef]
- Krane, M.J.M.; Vušanović, I. Macrosegregation in horizontal direct chill casting of aluminium slabs. Mater. Sci. Technol. 2009, 25, 102–107. [Google Scholar] [CrossRef]
- Dezfoli, A.R.A. Modeling and optimization of industrial-scale horizontal direct chill casting. Int. J. Adv. Manuf. Technol. 2023, 126, 615–622. [Google Scholar] [CrossRef]
- Han, Y.; Zhang, X.-B.; Yu, E.; Sun, L.; Gao, Y. Numerical analysis of temperature field and structure field in horizontal continuous casting process for copper pipes. Int. J. Heat Mass Transf. 2017, 115, 294–306. [Google Scholar] [CrossRef]
- Nadella, R.; Eskin, D.; Du, Q.; Katgerman, L. Macrosegregation in direct-chill casting of aluminium alloys. Prog. Mater. Sci. 2008, 53, 421–480. [Google Scholar] [CrossRef]
- Hatić, V.; Mavrič, B.; Košnik, N.; Šarler, B. Simulation of direct chill casting under the influence of a low-frequency electromagnetic field. Appl. Math. Model. 2018, 54, 170–188. [Google Scholar] [CrossRef]
- Bennon, W.; Incropera, F. A continuum model for momentum, heat and species transport in binary solid-liquid phase change sys-tems—I. Model formulation. Int. J. Heat Mass Transf. 1987, 30, 2161–2170. [Google Scholar] [CrossRef]
- Ni, J.; Beckermann, C. A volume-averaged two-phase model for transport phenomena during solidification. Met. Mater. Trans. B 1991, 22, 349–361. [Google Scholar] [CrossRef]
- Mcdonald, R.J.; Hunt, J.D. Convective Fluid Motion Within the Interdendritic Liquid of a Casting. Met. Trans. 1970, 1, 1787–1788. [Google Scholar] [CrossRef]
- Szekely, J.; Jassal, A.S. An experimental and analytical study of the solidification of a binary dendritic system. Met. Mater. Trans. B 1978, 9, 389–398. [Google Scholar] [CrossRef]
- Lebon, G.B.; Salloum-Abou-Jaoude, G.; Eskin, D.; Tzanakis, I.; Pericleous, K.; Jarry, P. Numerical modelling of acoustic streaming during the ultrasonic melt treatment of direct-chill (DC) casting. Ultrason. Sonochemistry 2019, 54, 171–182. [Google Scholar] [CrossRef]
- Heyvaert, L.; Bedel, M.; Založnik, M.; Combeau, H. Modeling of the Coupling of Microstructure and Macrosegregation in a Direct Chill Cast Al-Cu Billet. Met. Mater. Trans. A 2017, 48, 4713–4734. [Google Scholar] [CrossRef]
- Tveito, K.O.; Pakanati, A.; M’hamdi, M.; Combeau, H.; Založnik, M. A Simplified Three-Phase Model of Equiaxed Solidification for the Prediction of Microstructure and Macrosegregation in Castings. Met. Mater. Trans. A 2018, 49, 2778–2794. [Google Scholar] [CrossRef]
- Chakravarti, S.; Sen, S. An investigation on the solidification and porosity prediction in aluminium casting process. J. Eng. Appl. Sci. 2023, 70, 21. [Google Scholar] [CrossRef]
- Henkes, R.; Van Der Vlugt, F.; Hoogendoorn, C. Natural-convection flow in a square cavity calculated with low-Reynolds-number turbulence models. Int. J. Heat Mass Transf. 1991, 34, 377–388. [Google Scholar] [CrossRef]
- Oldenburg, C.M.; Spera, F.J. Hybrid model for solidification and convection. Numer. Heat Transf. Part B Fundam. 1992, 21, 217–229. [Google Scholar] [CrossRef]
- Fluent, A. Ansys Fluent 20; Ansys, Inc.: Canonsburg, PA, USA, 2011. [Google Scholar]
- Eskin, D.; Zuidema, J.; Savran, V.; Katgerman, L. Structure formation and macrosegregation under different process conditions during DC casting. Mater. Sci. Eng. A 2004, 384, 232–244. [Google Scholar] [CrossRef]
- Grandfield, J.; Eskin, D.G.; Bainbridge, I. Direct-Chill Casting of Light Alloys: Science and Technology; John Wiley & Sons: Hoboken, NJ, USA, 2013. [Google Scholar]















| Equations | |
|---|---|
| Continuity: | |
| (1) | |
| Momentum: | (2) |
| Energy: | (3) |
| Kinetic turbulent energy: | |
(4) | |
| Turbulent dissipation rate of energy: | (5) |
| Velocity variance: | (6) |
| Elliptic relaxation: . | (7) |
| where: , , , , |
| Boundary | Flow Velocity | Thermal |
|---|---|---|
| Inlet | ||
| Refractory | 0 | |
| Top mold | Slip boundary | is a function of [2] |
| Down mold | Slip boundary | The same with the top mold |
| Top direct-chill | is a function of T [2] | |
| Down direct-chill | ||
| Outlet |
| Properties | Values | Unit | References |
|---|---|---|---|
| Viscosity of the liquid, | 0.0013 | kg/m/s | [1] |
| Liquid density, | 2460 | kg/ | [1] |
| Liquid thermal expansion coefficient, | 1.17 × | [1] | |
| Specific heat, | 1070 | J/kg/K | [1] |
| Thermal conductivity of the liquid, Thermal conductivity of the solid, Solid density, | 95 180 2750 | W/m/K W/m/K kg/ | [1] [1] [1] |
| Nu | Heat Transfer Coefficient h (W/m2K) |
|---|---|
| 10 | 11,875 |
| 20 | 23,750 |
| 30 | 35,625 |
| 40 | 47,500 |
| 50 | 59,375 |
| 60 | 71,250 |
| 70 | 83,125 |
| Sump Length (mm) | |
|---|---|
| 10 | 150.57 |
| 20 | 126.33 |
| 30 | 117.91 |
| 40 | 113.95 |
| 50 | 111.04 |
| 60 | 109.58 |
| 70 | 108.34 |
Disclaimer/Publisher’s Note: The statements, opinions and data contained in all publications are solely those of the individual author(s) and contributor(s) and not of MDPI and/or the editor(s). MDPI and/or the editor(s) disclaim responsibility for any injury to people or property resulting from any ideas, methods, instructions or products referred to in the content. |
© 2023 by the authors. Licensee MDPI, Basel, Switzerland. This article is an open access article distributed under the terms and conditions of the Creative Commons Attribution (CC BY) license (https://creativecommons.org/licenses/by/4.0/).
Share and Cite
Ufodike, C.O.; Nzebuka, G.C.; Egole, C.P. Prediction of Limiting Casting Speed in a Horizontal Direct-Chill Casting through Numerical Modeling and Simulation. Metals 2023, 13, 1071. https://doi.org/10.3390/met13061071
Ufodike CO, Nzebuka GC, Egole CP. Prediction of Limiting Casting Speed in a Horizontal Direct-Chill Casting through Numerical Modeling and Simulation. Metals. 2023; 13(6):1071. https://doi.org/10.3390/met13061071
Chicago/Turabian StyleUfodike, Chukwuzubelu Okenwa, Gaius Chukwuka Nzebuka, and Chijioke Peter Egole. 2023. "Prediction of Limiting Casting Speed in a Horizontal Direct-Chill Casting through Numerical Modeling and Simulation" Metals 13, no. 6: 1071. https://doi.org/10.3390/met13061071
APA StyleUfodike, C. O., Nzebuka, G. C., & Egole, C. P. (2023). Prediction of Limiting Casting Speed in a Horizontal Direct-Chill Casting through Numerical Modeling and Simulation. Metals, 13(6), 1071. https://doi.org/10.3390/met13061071

