Fabrication of Nanoporous Gold via an Improved Solid-Phase Method for Non-Enzymatic Detection of Aniline
Abstract
1. Introduction
2. Experimental Methods
2.1. Materials
2.2. Fabrication of NPG
2.3. Characterizations of NPG
2.4. Electrochemical Analysis
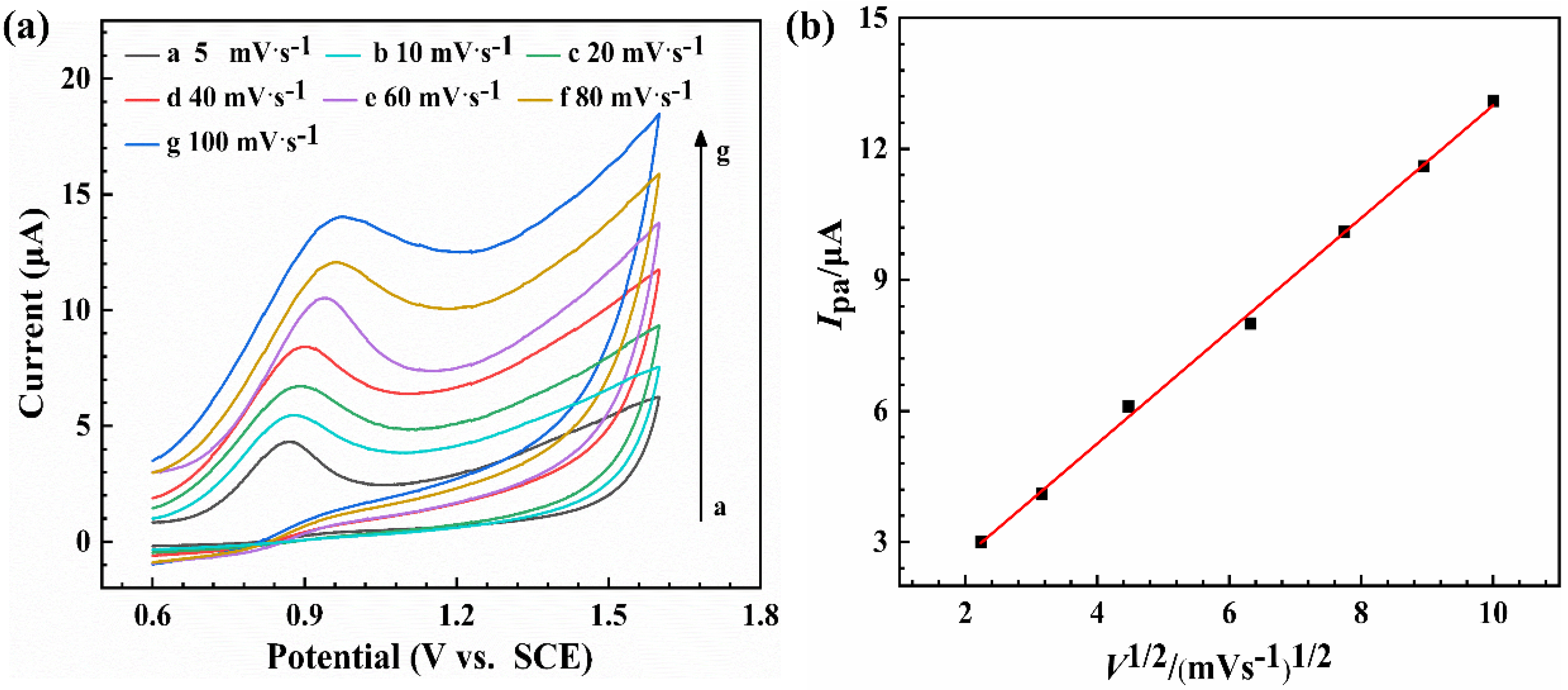
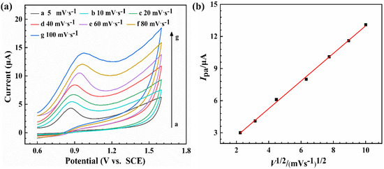
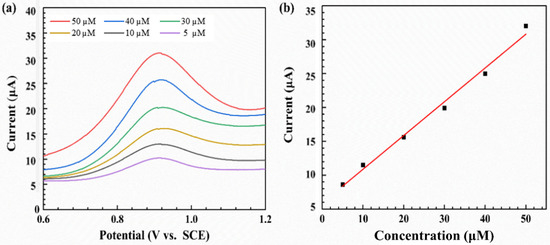
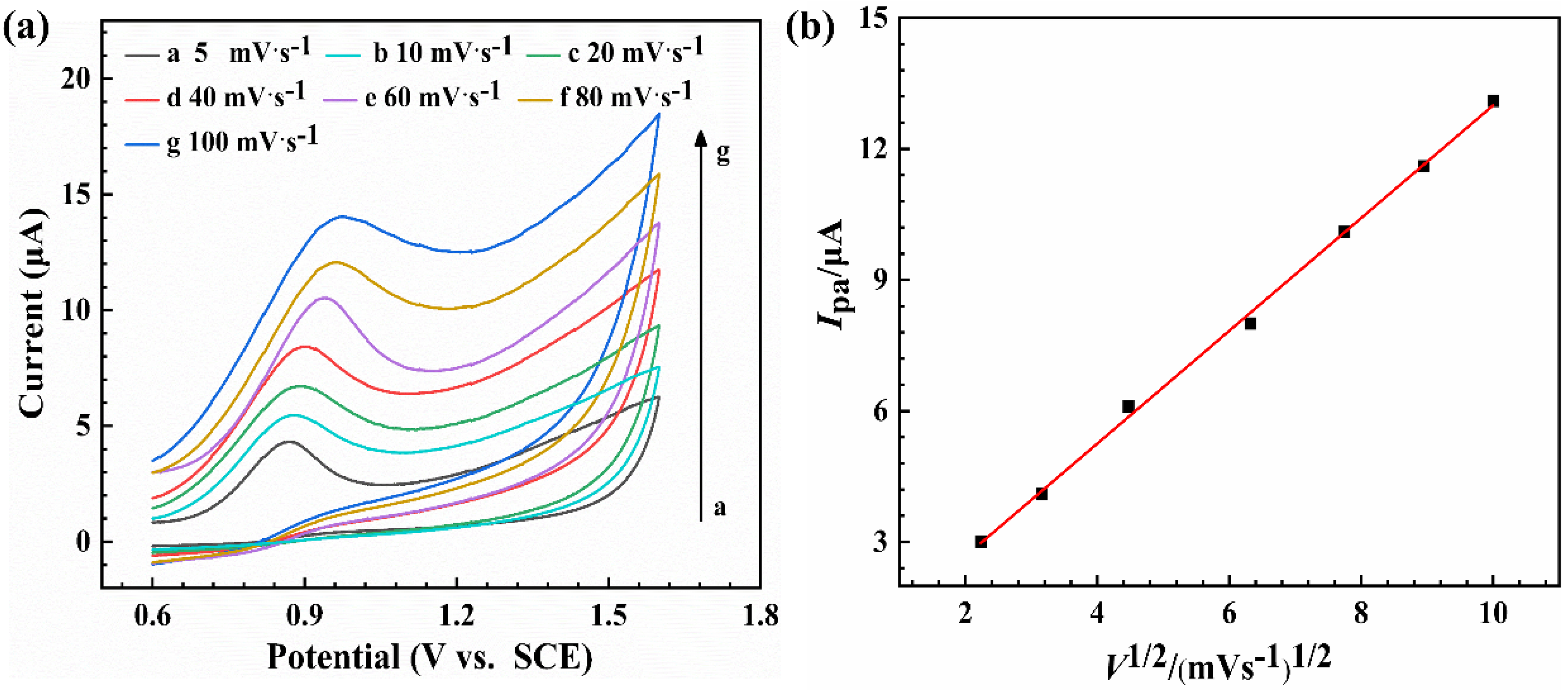
3. Results and Discussion
4. Conclusions
Author Contributions
Funding
Data Availability Statement
Conflicts of Interest
References
- Mitadera, M.; Spataru, N.; Fujishima, A. Electrochemical oxidation of aniline at boron-doped diamond electrodes. J. Appl. Electrochem. 2004, 34, 249–254. [Google Scholar] [CrossRef]
- Zhang, L.M.; Li, B. A highly selective optical sensor for aniline recognition. Spectrochim. Acta Part A-Mol. Biomol. Spectrosc. 2009, 74, 1060–1063. [Google Scholar] [CrossRef] [PubMed]
- Quynh, B.T.P.; Byun, J.Y.; Kim, S.H. Nanoporous gold for amperometric detection of amino-containing compounds. Sens. Actuators B Chem. 2014, 193, 1–9. [Google Scholar] [CrossRef]
- Lee, K.-U.; Tran, T.H.; Kim, S.H.; Shin, H.-J. Fabrication of nanoporous gold thin films on glass substrates for amperometric sensing of aniline. J. Alloys Compd. 2017, 713, 132–137. [Google Scholar] [CrossRef]
- Zambonin, C.G.; Quinto, M.; De Vietro, N.; Palmisano, F. Solid-phase microextraction—Gas chromatography mass spectrometry: A fast and simple screening method for the assessment of organophosphorus pesticides residues in wine and fruit juices. Food Chem. 2004, 86, 269–274. [Google Scholar] [CrossRef]
- Park, S.; Kim, H.C.; Chung, T.D. Electrochemical analysis based on nanoporous structures. Analyst 2012, 137, 3891–3903. [Google Scholar] [CrossRef]
- Xia, Y.; Huang, W.; Zheng, J.; Niu, Z.; Li, Z. Nonenzymatic amperometric response of glucose on a nanoporous gold film electrode fabricated by a rapid and simple electrochemical method. Biosens. Bioelectron. 2011, 26, 3555–3561. [Google Scholar] [CrossRef]
- Yan, X.; Meng, F.; Cui, S.; Liu, J.; Gu, J.; Zou, Z. Effective and rapid electrochemical detection of hydrazine by nanoporous gold. J. Electroanal. Chem. 2011, 661, 44–48. [Google Scholar] [CrossRef]
- Xu, C.; Xu, X.; Su, J.; Ding, Y. Research on unsupported nanoporous gold catalyst for CO oxidation. J. Catal. 2007, 252, 243–248. [Google Scholar] [CrossRef]
- Zhang, X.M.; Ding, Y. Unsupported nanoporous gold for heterogeneous catalysis. Catal. Sci. Technol. 2013, 3, 2862–2868. [Google Scholar] [CrossRef]
- Russell, A.E. Electrocatalysis: Theory and experiment at the interface. Preface. Faraday Discuss. 2008, 140, 9–10. [Google Scholar] [CrossRef] [PubMed]
- Sukeri, A.; Lima, A.S.; Bertotti, M. Development of non-enzymatic and highly selective hydrogen peroxide sensor based on nanoporous gold prepared by a simple unusual electrochemical approach. Microchem. J. 2017, 133, 149–154. [Google Scholar] [CrossRef]
- Verma, N. A green synthetic approach for size tunable nanoporous gold nanoparticles and its glucose sensing application. Appl. Surf. Sci. 2018, 462, 753–759. [Google Scholar] [CrossRef]
- Wang, Z.M.; Wang, J.Y.; Jeurgens, L.P.H.; Mittemeijer, E.J. Thermodynamics and mechanism of metal-induced crystallization in immiscible alloy systems: Experiments and calculations on Al/a-Ge and Al/a-Si bilayers. Phys. Rev. B 2008, 77, 045424. [Google Scholar] [CrossRef]
- Wang, Z.M.; Wang, J.Y.; Jeurgens, L.P.H.; Phillipp, F.; Mittemeijer, E.J. Origins of stress development during metal-induced crystallization and layer exchange: Annealing amorphous Ge/crystalline Al bilayers. Acta Mater. 2008, 56, 5047–5057. [Google Scholar] [CrossRef]
- Wang, Z.M.; Gu, L.; Phillipp, F.; Wang, J.Y.; Jeurgens, L.P.H.; Mittemeijer, E.J. Metal-Catalyzed Growth of Semiconductor Nanostructures Without Solubility and Diffusivity Constraints. Adv. Mater. 2011, 23, 854–859. [Google Scholar] [CrossRef]
- Van Gestel, D.; Gordon, I.; Poortmans, J. Metal induced crystallization of amorphous silicon for photovoltaic solar cells. In Proceedings of the Asia-Pacific Conference on Semiconducting Silicides Science and Technology Towards Sustainable Optoelectronics (APAC-SILICIDE), Tsukuba, Japan, 24–26 July 2010; pp. 196–199. [Google Scholar]
- Konno, T.J.; Sinclair, R. Metal-contact-induced crystallization of semiconductors. Mater. Sci. Eng. A Struct. Mater. Prop. Microstruct. Process. 1994, 179–180, 426–432. [Google Scholar] [CrossRef]
- Katsuki, F.; Hanafusa, K.; Yonemura, M.; Koyama, T.; Doi, M. Crystallization of amorphous germanium in an Al/a-Ge bilayer film deposited on a SiO2 substrate. J. Appl. Phys. 2001, 89, 4643–4647. [Google Scholar] [CrossRef]
- Lang, X.Y.; Fu, H.Y.; Hou, C.; Han, G.F.; Yang, P.; Liu, Y.B.; Jiang, Q. Nanoporous gold supported cobalt oxide microelectrodes as high-performance electrochemical biosensors. Nat. Commun. 2013, 4, 2169. [Google Scholar] [CrossRef] [PubMed]
- Rosner, H.; Parida, S.; Kramer, D.; Volkert, C.A.; Weissmuller, J. Reconstructing a nanoporous metal in three dimensions: An electron tomography study of dealloyed gold leaf. Adv. Eng. Mater. 2007, 9, 535–541. [Google Scholar] [CrossRef]
- Heller, A.; Feldman, B. Electrochemical glucose sensors and their applications in diabetes management. Chemical Reviews 2008, 108, 2482–2505. [Google Scholar] [CrossRef] [PubMed]
- El-Said, W.A.; Lee, J.-H.; Oh, B.-K.; Choi, J.-W. 3-D nanoporous gold thin film for the simultaneous electrochemical determination of dopamine and ascorbic acid. Electrochem. Commun. 2010, 12, 1756–1759. [Google Scholar] [CrossRef]
- Tang, Y.Y.; Kao, C.L.; Chen, P.Y. Electrochemical detection of hydrazine using a highly sensitive nanoporous gold electrode. Anal. Chim. Acta 2012, 711, 32–39. [Google Scholar] [CrossRef]
- Wu, B.; Zheng, N. Surface and interface control of noble metal nanocrystals for catalytic and electrocatalytic applications. Nano Today 2013, 8, 168–197. [Google Scholar] [CrossRef]
- Biener, J.; Wittstock, A.; Zepeda-Ruiz, L.A.; Biener, M.M.; Zielasek, V.; Kramer, D.; Viswanath, R.N.; Weissmuller, J.; Baumer, M.; Hamza, A.V. Surface-chemistry-driven actuation in nanoporous gold. Nat. Mater. 2009, 8, 47–51. [Google Scholar] [CrossRef]
- Gupta, G.; Thorp, J.C.; Mara, N.A.; Dattelbaum, A.M.; Misra, A.; Picraux, S.T. Morphology and porosity of nanoporous Au thin films formed by dealloying of AuxSi1−x. J. Appl. Phys. 2012, 112, 094320. [Google Scholar] [CrossRef]
- Fujita, T.; Guan, P.; McKenna, K.; Lang, X.; Hirata, A.; Zhang, L.; Tokunaga, T.; Arai, S.; Yamamoto, Y.; Tanaka, N.; et al. Atomic origins of the high catalytic activity of nanoporous gold. Nat. Mater. 2012, 11, 775–780. [Google Scholar] [CrossRef] [PubMed]
- Wittstock, A.; Biener, J.; Baumer, M. Nanoporous gold: A new material for catalytic and sensor applications. Phys. Chem. Chem. Phys. 2010, 12, 12919–12930. [Google Scholar] [CrossRef]
- Cadle, S.H.; Bruckenstein, S. Ring-disk electrode study of the anodic behavior of gold in 0.2M sulfuric acid. Anal. Chem. 1974, 46, 16–20. [Google Scholar] [CrossRef]
- Tian, M.; Pell, W.G.; Conway, B.E. Nanogravimetry study of the initial stages of anodic surface oxide film growth at Au in aqueous HClO4 and H2SO4 by means of EQCN. Electrochim. Acta 2003, 48, 2675–2689. [Google Scholar] [CrossRef]
- Jusys, Z.; Bruckenstein, S. Electrochemical quartz crystal microgravimetry of gold in perchloric and sulfuric acid solutions. Electrochem. Solid State Lett. 1998, 1, 74–76. [Google Scholar] [CrossRef]
- Do, U.P.; Seland, F.; Johannessen, E.A. The Real Area of Nanoporous Catalytic Surfaces of Gold and Palladium in Aqueous Solutions. J. Electrochem. Soc. 2018, 165, H219–H228. [Google Scholar] [CrossRef]
- Li, Z.G.; Zhang, L.L.; Zeng, S.L.; Zhang, M.H.; Du, E.M.; Li, B.L. Effect of surface pretreatment on self-assembly of thiol-modified DNA monolayers on gold electrode. J. Electroanal. Chem. 2014, 722, 131–140. [Google Scholar] [CrossRef]
- Yang, Z.P.; Li, J.; Liu, P.M.; Zhang, A.; Wang, J.; Huang, Y.; Wang, J.Y.; Wang, Z.M. Highly sensitive non-enzymatic hydrogen peroxide monitoring platform based on nanoporous gold via a modified solid-phase reaction method. Rsc. Adv. 2021, 11, 36753–36759. [Google Scholar] [CrossRef]
- Spataru, T.; Spataru, N.; Fujishima, A. Detection of aniline at boron-doped diamond electrodes with cathodic stripping voltammetry. Talanta 2007, 73, 404–406. [Google Scholar] [CrossRef]
- Ashassi-Sorkhabi, H.; Asghari, E. Electrochemical corrosion behavior of Al7075 rotating disc electrode in neutral solution containing l-glutamine as a green inhibitor. J. Appl. Electrochem. 2010, 40, 631–637. [Google Scholar] [CrossRef]
- Collinson, M.M. Nanoporous Gold Electrodes and Their Applications in Analytical Chemistry. ISRN Anal. Chem. 2013, 2013, 692484. [Google Scholar] [CrossRef]
- Quynh, B.T.P.; Byun, J.Y.; Kim, S.H. Non-enzymatic amperometric detection of phenol and catechol using nanoporous gold. Sens. Actuators B Chem. 2015, 221, 191–200. [Google Scholar] [CrossRef]
- Ke, X.; Li, Z.; Gan, L.; Zhao, J.; Cui, G.; Kellogg, W.; Matera, D.; Higgins, D.; Wu, G. Three-dimensional nanoporous Au films as high-efficiency enzyme-free electrochemical sensors. Electrochim. Acta 2015, 170, 337–342. [Google Scholar] [CrossRef]
- Zielasek, V.; Jurgens, B.; Schulz, C.; Biener, J.; Biener, M.M.; Hamza, A.V.; Baumer, M. Gold catalysts: Nanoporous gold foams. Angew. Chem. Int. Ed. Engl. 2006, 45, 8241–8244. [Google Scholar] [CrossRef] [PubMed]










Disclaimer/Publisher’s Note: The statements, opinions and data contained in all publications are solely those of the individual author(s) and contributor(s) and not of MDPI and/or the editor(s). MDPI and/or the editor(s) disclaim responsibility for any injury to people or property resulting from any ideas, methods, instructions or products referred to in the content. |
© 2023 by the authors. Licensee MDPI, Basel, Switzerland. This article is an open access article distributed under the terms and conditions of the Creative Commons Attribution (CC BY) license (https://creativecommons.org/licenses/by/4.0/).
Share and Cite
Wan, Q.; Li, J.; Liu, Z.; Han, L.; Huang, S.; Wang, Z. Fabrication of Nanoporous Gold via an Improved Solid-Phase Method for Non-Enzymatic Detection of Aniline. Metals 2023, 13, 754. https://doi.org/10.3390/met13040754
Wan Q, Li J, Liu Z, Han L, Huang S, Wang Z. Fabrication of Nanoporous Gold via an Improved Solid-Phase Method for Non-Enzymatic Detection of Aniline. Metals. 2023; 13(4):754. https://doi.org/10.3390/met13040754
Chicago/Turabian StyleWan, Qihang, Jun Li, Zhang Liu, Lu Han, Siyi Huang, and Zumin Wang. 2023. "Fabrication of Nanoporous Gold via an Improved Solid-Phase Method for Non-Enzymatic Detection of Aniline" Metals 13, no. 4: 754. https://doi.org/10.3390/met13040754
APA StyleWan, Q., Li, J., Liu, Z., Han, L., Huang, S., & Wang, Z. (2023). Fabrication of Nanoporous Gold via an Improved Solid-Phase Method for Non-Enzymatic Detection of Aniline. Metals, 13(4), 754. https://doi.org/10.3390/met13040754
