Efficient Recovery of Cu from Wasted CPU Sockets by Slurry Electrolysis
Abstract
1. Introduction
2. Materials and Methods
2.1. Materials
2.2. Waste Central Processing Unit Socket
2.3. The Detection of Metallic Powder
2.4. Slurry Electrolysis Experiment
2.5. Characterization
3. Results and Discussion
3.1. Characterization of the CPU Socket Powder Sample
3.2. Characterization of Cathode Powder
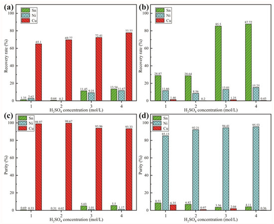
3.3. Effect of H2SO4 Concentration on Recovery Rate and Purity of Cu
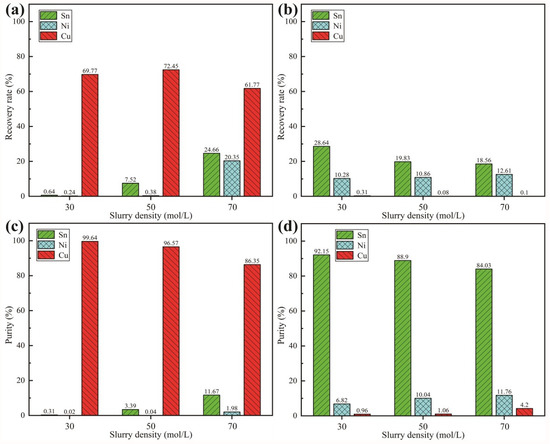
3.4. Effect of Slurry Density on Recovery Rate and Purity of Cu
3.5. Effect of NH4Cl Concentration on Recovery Rate and Purity of Cu
3.6. Effect of Current Density on Recovery Rate and Purity of Cu
3.7. Effect of Reaction Time on Recovery Rate and Purity of Cu
4. Conclusions
Author Contributions
Funding
Institutional Review Board Statement
Informed Consent Statement
Data Availability Statement
Conflicts of Interest
References
- Behnamfard, A.; Salarirad, M.M.; Veglio, F. Process development for recovery of copper and precious metals from waste printed circuit boards with emphasize on palladium and gold leaching and precipitation. Waste Manag. 2013, 33, 2354–2363. [Google Scholar] [CrossRef]
- Li, J.; Zeng, X.; Chen, M.; Ogunseitan, O.A.; Stevels, A. “Control-alt-delete”: Rebooting solutions for the e-waste problem. Environ. Sci. Technol. 2015, 49, 7095–7108. [Google Scholar] [CrossRef]
- Zhang, S.; Li, Y.; Wang, R.; Xu, Z.; Wang, B.; Chen, S.; Chen, M. Superfine copper powders recycled from concentrated metal scraps of waste printed circuit boards by slurry electrolysis. J. Clean Prod. 2017, 152, 1–6. [Google Scholar] [CrossRef]
- Liu, Y.; Song, Q.; Zhang, L.; Xu, Z. Separation of metals from Ni-Cu-Ag-Pd-Bi-Sn multi-metal system of e-waste by leaching and stepwise potential-controlled electrodeposition. J. Hazard Mater. 2020, 408, 124772. [Google Scholar] [CrossRef]
- Zeng, X.; Mathews, J.A.; Li, J. Urban mining of e-waste is becoming more cost-effective than virgin mining. Environ. Sci. Technol. 2018, 52, 4835–4841. [Google Scholar] [CrossRef]
- Forti, V.; Baldé, C.P.; Kuehr, R.; Bel, G. The Global E-Waste Monitor 2020: Quantities, Flows and the Circular Economy Potential, Report; United Nations University/United Nations Institute for Training and Research: Geneva, Switzerland, 2020; Available online: https://scholar.google.com/scholar_lookup?title=The%20global%20e-waste%20monitor%202020%3A%20quantities%2C%20flows%20and%20the%20circular%20economy%20potential.%20Report&author=V.%20Forti&publication_year=2020 (accessed on 12 February 2023).
- Chen, M.; Huang, J.; Ogunseitan, O.A.; Zhu, N.; Wang, Y. Comparative study on copper leaching from waste printed circuit boards by typical ionic liquid acids. Waste Manag. 2015, 41, 142–147. [Google Scholar] [CrossRef] [PubMed]
- Islam, A.; Ahmed, T.; Awual, M.R.; Rahman, A.; Sultana, M.; Aziz, A.A.; Monir, M.U.; Teo, S.H.; Hasan, M. Advances in sustainable approaches to recover metals from e-waste-a review. J. Clean Prod. 2020, 244, 118815. [Google Scholar] [CrossRef]
- Panagiotis, E.; Samantha, A.; Henry, P.; Efthymios, K.; Yang, W. Reduction of brominated flame retardants (BFRs) in plastics from waste electrical and electronic equipment (WEEE) by solvent extraction and the influence on their thermal decomposition. Waste Manag. 2018, 94, 165–171. [Google Scholar]
- Cucchiella, F.; D’Adamo, I.; Koh, S.C.L.; Rosa, P. Recycling of WEEEs: An economic assessment of present and future e-waste streams. Renew. Sustain. Energ. Rev. 2015, 51, 263–272. [Google Scholar] [CrossRef]
- Menikpura, S.N.M.; Santo, A.; Hotta, Y. Assessing the climate co-benefits from waste electrical and electronic equipment (WEEE) recycling in Japan. J. Clean Prod. 2014, 74, 183–190. [Google Scholar] [CrossRef]
- Yeh, C.; Xu, Y. Sustainable planning of e-waste recycling activities using fuzzy multicriteria decision making. J. Clean Prod. 2013, 52, 194–204. [Google Scholar] [CrossRef]
- Calvo, G.; Mudd, G.; Valero, A.; Valero, A. Decreasing ore grades in global metallic mining: A theoretical issue or a global reality? J. Res. 2016, 5, 36. [Google Scholar] [CrossRef]
- Zhang, S.; Forssberg, E. Mechanical separation-oriented characterization of electronic scrap. Resour. Conserv. Recycl. 1997, 21, 247–269. [Google Scholar] [CrossRef]
- Ilyas, S.; Lee, J. Biometallurgical Recovery of Metals from Waste Electrical and Electronic Equipment: A Review. Chembioeng. Rev. 2014, 1, 148–169. [Google Scholar] [CrossRef]
- Moosakazemi, F.; Ghassa, S.; Soltani, F.; Mohammadi, M.R.T. Regeneration of Sn-Pb solder from waste printed circuit boards: A hydrometallurgical approach to treating waste with waste. J. Hazard Mater. 2020, 385, 121589. [Google Scholar] [CrossRef]
- Zhao, C.; Zhang, X.; Ding, J.; Zhu, Y. Study on recovery of valuable metals from waste mobile phone PCB particles using liquid-solid fluidization technique. J. Chem Eng. 2017, 311, 217–226. [Google Scholar] [CrossRef]
- Hanafi, J.; Jobiliong, E.; Christiani, A.; Soenarta, D.C.; Kurniawan, J.; Irawan, J. Material Recovery and Characterization of PCB from Electronic Waste. Procedia Soc. Behav. Sci. 2012, 14, 169. [Google Scholar] [CrossRef]
- Yi, X.; Qi, Y.; Li, F.; Shu, J.; Sun, Z.; Sun, S.; Chen, M.; Pu, S. Effect of electrolyte reuse on metal recovery from waste CPU slots by slurry electrolysis. Waste Manag. 2019, 95, 370–376. [Google Scholar] [CrossRef]
- Veit, H.M.; Bernardes, A.M.; Ferreira, J.Z.; Tenório, J.A.S.; Malfatti, C.D.F. Recovery of copper from printed circuit boards scraps by mechanical processing and electrometallurgy. J. Hazard Mater. 2006, 137, 1704–1709. [Google Scholar] [CrossRef]
- Chu, Y.; Chen, M.; Chen, S.; Wang, B.; Fu, K.; Chen, H. Micro-copper powders recovered from waste printed circuit boards by electrolysis. Hydrometallurgy 2015, 156, 152–157. [Google Scholar] [CrossRef]
- Min, X.; Luo, X.; Deng, F.; Shao, P.; Wu, X.; Dionysiou, D.D. Combination of multi-oxidation process and electrolysis for pretreatment of PCB industry wastewater and recovery of highly-purified copper. J. Chem. Eng. 2018, 354, 228–236. [Google Scholar] [CrossRef]
- Guimarães, Y.F.; Santos, I.D.; Dutra, A.J.B. Direct recovery of copper from printed circuit boards (PCBs) powder concentrate by a simultaneous electroleaching–electrodeposition process. Hydrometallurgy 2014, 149, 63–70. [Google Scholar] [CrossRef]
- Kim, B.-S.; Lee, J.-C.; Seo, S.-P.; Park, Y.-K. A process for extracting precious metals from spent printed circuit boards and automobile catalysts. JOM 2004, 56, 55–58. [Google Scholar] [CrossRef]
- Zhao, Y.; Wen, X.; Li, B.; Tao, D. Recovery of copper from waste printed circuit boards. Min. Metall. Explor. 2004, 21, 99–102. [Google Scholar] [CrossRef]
- Wang, M.; Gong, X.; Wang, Z. Sustainable electrochemical recovery of high-purity Cu powders from multi-metal acid solution by a centrifuge electrode. J. Clean Prod. 2018, 204, 41–49. [Google Scholar] [CrossRef]
- Liu, Y.; Zhang, L.; Song, Q.; Xu, Z. Recovery of palladium as nanoparticles from waste multilayer ceramic capacitors by potential-controlled electrodeposition. J. Clean Prod. 2020, 257, 120370. [Google Scholar] [CrossRef]
- Cocchiara, C.; Dorneanu, S.; Inguanta, R.; Sunseri, C.; Ilea, P. Dismantling and electrochemical copper recovery from Waste Printed Circuit Boards in H2SO4–CuSO4–NaCl solutions. J. Clean Prod. 2019, 230, 170–179. [Google Scholar] [CrossRef]
- Huang, K.; Guo, J.; Xu, Z. Recycling of waste printed circuit boards: A review of current technologies and treatment status in China. J. Hazard Mater. 2009, 164, 399–408. [Google Scholar] [CrossRef]
- Li, F.; Chen, M.; Shu, J.; Shirvani, M.; Li, Y.; Sun, Z.; Sun, S.; Xu, Z.; Fu, K.; Chen, S. Copper and gold recovery from CPU sockets by one-step slurry electrolysis. J. Clean Prod. 2019, 213, 673–679. [Google Scholar] [CrossRef]











Disclaimer/Publisher’s Note: The statements, opinions and data contained in all publications are solely those of the individual author(s) and contributor(s) and not of MDPI and/or the editor(s). MDPI and/or the editor(s) disclaim responsibility for any injury to people or property resulting from any ideas, methods, instructions or products referred to in the content. |
© 2023 by the authors. Licensee MDPI, Basel, Switzerland. This article is an open access article distributed under the terms and conditions of the Creative Commons Attribution (CC BY) license (https://creativecommons.org/licenses/by/4.0/).
Share and Cite
Chen, W.; Li, M.; Tang, J. Efficient Recovery of Cu from Wasted CPU Sockets by Slurry Electrolysis. Metals 2023, 13, 643. https://doi.org/10.3390/met13040643
Chen W, Li M, Tang J. Efficient Recovery of Cu from Wasted CPU Sockets by Slurry Electrolysis. Metals. 2023; 13(4):643. https://doi.org/10.3390/met13040643
Chicago/Turabian StyleChen, Wenjing, Manning Li, and Jiancheng Tang. 2023. "Efficient Recovery of Cu from Wasted CPU Sockets by Slurry Electrolysis" Metals 13, no. 4: 643. https://doi.org/10.3390/met13040643
APA StyleChen, W., Li, M., & Tang, J. (2023). Efficient Recovery of Cu from Wasted CPU Sockets by Slurry Electrolysis. Metals, 13(4), 643. https://doi.org/10.3390/met13040643
