Mg-Based Metallic Glass-Polymer Composites: Investigation of Structure, Thermal Properties, and Biocompatibility
Abstract
:1. Introduction
2. Materials and Methods
2.1. Alloy Preparation
2.2. Ball Milling
2.3. Co-Extrusion Process
2.4. X-ray Diffraction
2.5. Optical Microscopy
2.6. Mechanical Testing
2.7. Laser Flash Analysis
2.8. DSC Analysis
2.9. In Vivo Studies
3. Results
4. Discussion
5. Conclusions
Author Contributions
Funding
Acknowledgments
Conflicts of Interest
Ethic Approval
References
- Granel, H.; Bossard, C.; Nucke, L.; Wauquier, F.; Rochefort, G.Y.; Guicheux, J.; Jallot, E.; Lao, J.; Wittrant, Y. Optimized Bioactive Glass: The Quest for the Bony Graft. Adv. Healthc. Mater. 2019, 8, e1801542. [Google Scholar] [CrossRef] [PubMed]
- Amini, A.R.; Laurencin, C.T.; Nukavarapu, S.P. Bone tissue engineering: Recent advances and challenges. Crit. Rev. Biomed. Eng. 2012, 40, 363–408. [Google Scholar] [CrossRef] [Green Version]
- Ebraheim, N.A.; Elgafy, H.; Xu, R. Bone-Graft Harvesting From Iliac and Fibular Donor Sites: Techniques and Complications. J. Am. Acad. Orthop. Surg. 2001, 9, 210–218. [Google Scholar] [CrossRef] [PubMed]
- Urabe, K.; Itoman, M.; Toyama, Y.; Yanase, Y.; Iwamoto, Y.; Ohgushi, H.; Ochi, M.; Takakura, Y.; Hachiya, Y.; Matsuzaki, H.; et al. Current trends in bone grafting and the issue of banked bone allografts based on the fourth nationwide survey of bone grafting status from 2000 to 2004. J. Orthop. Sci. 2007, 12, 520–525. [Google Scholar] [CrossRef]
- Kim, Y.; Rodríguez, A.E.; Nowzari, H. The Risk of Prion Infection through Bovine Grafting Materials. Clin. Implant. Dent. Relat. Res. 2016, 18, 1095–1102. [Google Scholar] [CrossRef] [PubMed]
- Freed, L.E.; Grande, D.A.; Lingbin, Z.; Emmanual, J.; Marquis, J.C.; Langer, R. Joint resurfacing using allograft chondrocytes and synthetic biodegradable polymer scaffolds. J. Biomed. Mater. Res. 1994, 28, 891–899. [Google Scholar] [CrossRef] [PubMed]
- Williams, D.F. On the mechanisms of biocompatibility. Biomaterials 2008, 29, 2941–2953. [Google Scholar] [CrossRef] [PubMed]
- Song, G. Control of biodegradation of biocompatable magnesium alloys. Corros. Sci. 2007, 49, 1696–1701. [Google Scholar] [CrossRef]
- Ilich, J.Z.; Kerstetter, J.E. Nutrition in bone health revisited: A story beyond calcium. J. Am. Coll. Nutr. 2001, 19, 715–737. [Google Scholar] [CrossRef]
- Le, Q.; Zhang, Z.; Shao, Z.-W.; Cui, J.; Xie, Y. Microstructures and mechanical properties of Mg-2%Zn-0.4%RE alloys. Trans. Nonferrous Met. Soc. China 2010, 20, s352–s356. [Google Scholar] [CrossRef]
- Dezfuli, S.N.; Huan, Z.; Mol, A.; Leeflang, S.; Chang, J.; Zhou, J. Advanced bredigite-containing magnesium-matrix composites for biodegradable bone implant applications. Mater. Sci. Eng. C 2017, 79, 647–660. [Google Scholar] [CrossRef] [PubMed]
- Lieberman, J.R.; Friedlaender, G.E. Bone Regeneration and Repair: Biology and Clinical Applications; Humana Press: Totowa, NJ, USA, 2005; ISBN 0896038475. [Google Scholar]
- Faryadi, Q. The Magnificent Effect of Magnesium to Human Health: A Critical Review. Int. J. Appl. Sci. Technol. 2012, 2, 118–126. [Google Scholar]
- Bommala, V.K.; Krishna, M.G.; Rao, C.T. Magnesium matrix composites for biomedical applications: A review. J. Magnes. Alloy. 2019, 7, 72–79. [Google Scholar] [CrossRef]
- Ali, W.; Mehboob, A.; Han, M.-G.; Chang, S.-H. Experimental study on degradation of mechanical properties of biodegradable magnesium alloy (AZ31) wires/poly(lactic acid) composite for bone fracture healing applications. Compos. Struct. 2019, 210, 914–921. [Google Scholar] [CrossRef]
- Haghshenas, M. Mechanical characteristics of biodegradable magnesium matrix composites: A review. J. Magnes. Alloy. 2017, 5, 189–201. [Google Scholar] [CrossRef]
- Rupert, T.J.; Trenkle, J.C.; Schuh, C.A. Enhanced solid solution effects on the strength of nanocrystalline alloys. Acta Mater. 2011, 59, 1619–1631. [Google Scholar] [CrossRef]
- Wong, P.-C.; Tsai, P.-H.; Li, T.-H.; Cheng, C.; Jang, J.; Huang, J. Degradation behavior and mechanical strength of Mg-Zn-Ca bulk metallic glass composites with Ti particles as biodegradable materials. J. Alloy. Compd. 2017, 699, 914–920. [Google Scholar] [CrossRef]
- Yang, J.; Cui, F.Z.; Lee, I.S.; Wang, X. Plasma surface modification of magnesium alloy for biomedical application. Surf. Coatings Technol. 2010, 205, S182–S187. [Google Scholar] [CrossRef]
- Chen, J.; Tan, L.; Yu, X.; Etim, I.P.; Ibrahim, M.; Yang, K. Mechanical properties of magnesium alloys for medical application: A review. J. Mech. Behav. Biomed. Mater. 2018, 87, 68–79. [Google Scholar] [CrossRef]
- Swain, S.K.; Gotman, I.; Unger, R.E.; Kirkpatrick, C.J.; Gutmanas, E.Y. Microstructure, mechanical characteristics and cell compatibility of β-tricalcium phosphate reinforced with biodegradable Fe-Mg metal phase. J. Mech. Behav. Biomed. Mater. 2016, 53, 434–444. [Google Scholar] [CrossRef] [PubMed]
- Zberg, B.; Uggowitzer, P.J.; Löffler, J.F. MgZnCa glasses without clinically observable hydrogen evolution for biodegradable implants. Nat. Mater. 2009, 8, 887–891. [Google Scholar] [CrossRef] [PubMed]
- Zimmermann, T.; Ferrandez-Montero, A.; Lieblich, M.; Ferrari, B.; González-Carrasco, J.L.; Müller, W.-D.; Schwitalla, A. In vitro degradation of a biodegradable polylactic acid/magnesium composite as potential bone augmentation material in the presence of titanium and PEEK dental implants. Dent. Mater. 2018, 34, 1492–1500. [Google Scholar] [CrossRef] [PubMed]
- Yamamoto, A.; Hiromoto, S. Effect of inorganic salts, amino acids and proteins on the degradation of pure magnesium in vitro. Mater. Sci. Eng. C 2009, 29, 1559–1568. [Google Scholar] [CrossRef]
- Zhang, E.; Xu, L.; Yu, G.; Pan, F.; Yang, K. In vivo evaluation of biodegradable magnesium alloy bone implant in the first 6 months implantation. J. Biomed. Mater. Res. Part A 2009, 90, 882–893. [Google Scholar] [CrossRef] [PubMed]
- Louzguine-Luzgin, D. Bulk Metallic Glasses and Glassy/Crystalline Materials; Springer: Berlin/Heidelberg, Germany, 2016; Volume 231, pp. 397–440. [Google Scholar]
- Zheng, Y.; Xu, X.; Xu, Z.; Wang, J.Q.; Cai, H. Metallic Biomaterials: New Directions and Technologies; John Wiley & Sons: Weinheim, Germany, 2017; ISBN 9783527341269. [Google Scholar]
- Gu, X.; Zheng, Y.; Zhong, S.; Xi, T.; Wang, J.; Wang, W. Corrosion of, and cellular responses to Mg–Zn–Ca bulk metallic glasses. Biomaterials 2010, 31, 1093–1103. [Google Scholar] [CrossRef]
- Yu, H.-J.; Wang, J.-Q.; Shi, X.; Louzguine-Luzgin, D.; Wu, H.-K.; Perepezko, J.H. Ductile Biodegradable Mg-Based Metallic Glasses with Excellent Biocompatibility. Adv. Funct. Mater. 2013, 23, 4793–4800. [Google Scholar] [CrossRef]
- Nair, L.S.; Laurencin, C.T. Biodegradable polymers as biomaterials. Prog. Polym. Sci. 2007, 32, 762–798. [Google Scholar] [CrossRef]
- Chan, D.S.; Fnais, N.; Ibrahim, I.; Daniel, S.J.; Manoukian, J. Exploring polycaprolactone in tracheal surgery: A scoping review of in-vivo studies. Int. J. Pediatr. Otorhinolaryngol. 2019, 123, 38–42. [Google Scholar] [CrossRef]
- Guerra, A.J.; Ciurana, J. 3D-printed bioabsordable polycaprolactone stent: The effect of process parameters on its physical features. Mater. Des. 2018, 137, 430–437. [Google Scholar] [CrossRef]
- Dwivedi, R.; Kumar, S.; Pandey, R.; Mahajan, A.; Nandana, D.; Katti, D.S.; Mehrotra, D. Polycaprolactone as biomaterial for bone scaffolds: Review of literature. J. Oral Biol. Craniofacial Res. 2020, 10, 381–388. [Google Scholar] [CrossRef] [PubMed]
- Koenig, M.; Huang, S. Biodegradable blends and composites of polycaprolactone and starch derivatives. Polymer 1995, 36, 1877–1882. [Google Scholar] [CrossRef]
- Kim, I.A.; Rhee, S.-H. Preparation of a Non-Woven Poly(ε-caprolactone) Fabric with Partially-Embedded Apatite Surface for Bone Tissue Engineering Applications by Partial Surface Melting of Poly(ε-caprolactone) Fibers. J. Biomed. Mater. Res. Part A 2017, 105, 1973–1983. [Google Scholar] [CrossRef] [PubMed]
- Nie, W.; Gao, Y.; McCoul, D.J.; Gillispie, G.J.; Zhang, Y.; Liang, L.; He, C. Rapid mineralization of hierarchical poly(l-lactic acid)/poly(ε-caprolactone) nanofibrous scaffolds by electrodeposition for bone regeneration. Int. J. Nanomed. 2019, 14, 3929–3941. [Google Scholar] [CrossRef] [Green Version]
- Kündig, A.; Schweizer, T.; Schafler, E.; Löffler, J.F. Metallic glass/polymer composites by co-processing at similar viscosities. Scr. Mater. 2007, 56, 289–292. [Google Scholar] [CrossRef]
- Zadorozhnyy, V.Y.; Chukov, D.; Churyukanova, M.; Gorshenkov, M.; Stepashkin, A.; Tsarkov, A.; Louzguine-Luzgin, D.; Kaloshkin, S. Investigation of contact surfaces between polymer matrix and metallic glasses in composite materials based on high-density polyethylene. Mater. Des. 2016, 92, 306–312. [Google Scholar] [CrossRef]
- Wang, Z.; Georgarakis, K.; Nakayama, K.S.; Li, Y.; Tsarkov, A.; Xie, G.; Dudina, D.V.; Louzguine-Luzgin, D.; Yavari, A.R. Microstructure and mechanical behavior of metallic glass fiber-reinforced Al alloy matrix composites. Sci. Rep. 2016, 6, 24384. [Google Scholar] [CrossRef] [Green Version]
- Bowman, H.F.; Cravalho, E.G.; Woods, M. Theory, Measurement, and Application of Thermal Properties of Biomaterials. Annu. Rev. Biophys. Bioeng. 1975, 4, 43–80. [Google Scholar] [CrossRef]
- Zadorozhnyy, V.Y.; Gorshenkov, M.; Churyukanova, M.; Stepashkin, A.; Moskovskikh, D.; Ketov, S.; Zinnurova, L.; Sharma, A.; Louzguine-Luzgin, D.; Kaloshkin, S. Investigation of structure and thermal properties in composite materials based on metallic glasses with small addition of polytetrafluoroethylene. J. Alloy. Compd. 2017, 707, 264–268. [Google Scholar] [CrossRef]
- Zadorozhnyy, V.Y.; Churyukanova, M.; Stepashkin, A.; Zadorozhnyy, V.Y.; Sharma, A.; Moskovskikh, D.; Wang, J.-Q.; Shabanova, E.; Ketov, S.; Luzguine-Luzgin, D.V.; et al. Structure and Thermal Properties of an Al-Based Metallic Glass-Polymer Composite. Metals 2018, 8, 1037. [Google Scholar] [CrossRef] [Green Version]
- Zadorozhnyy, V.Y.; Shelekhov, E.V.; Milovzorov, G.S.; Strugova, D.V.; Zinnurova, L.K. Analysis of the Background Temperature During the Mechanical Alloying of Metal Powders in the Planetary Ball Mill. Inorg. Mater. Appl. Res. 2018, 9, 559–565. [Google Scholar] [CrossRef]
- Ketov, S.; Shi, X.; Xie, G.; Kumashiro, R.; Churyumov, A.Y.; Bazlov, A.I.; Chen, N.; Ishikawa, Y.; Asao, N.; Wu, H.; et al. Nanostructured Zr-Pd Metallic Glass Thin Film for Biochemical Applications. Sci. Rep. 2015, 5, 7799. [Google Scholar] [CrossRef] [Green Version]
- Serrano, M.C.; Pagani, R.; Vallet-Regı, M.; Peña, J.; Rámila, A.; Izquierdo, I.; Portolés, M.T. In vitro biocompatibility assessment of poly(ε-caprolactone) films using L929 mouse fibroblasts. Biomaterials 2004, 25, 5603–5611. [Google Scholar] [CrossRef] [PubMed]
- Greer, A.; Cheng, Y.; Ma, E. Shear bands in metallic glasses. Mater. Sci. Eng. R Rep. 2013, 74, 71–132. [Google Scholar] [CrossRef]
- Torki, M.E.; Benzerga, A.A. A mechanism of failure in shear bands. Extrem. Mech. Lett. 2018, 23, 67–71. [Google Scholar] [CrossRef] [Green Version]
- Louzguine-Luzgin, D.; Jiang, J.; Bazlov, A.; Zolotorevzky, V.; Mao, H.; Ivanov, Y.P.; Greer, A. Phase separation process preventing thermal embrittlement of a Zr-Cu-Fe-Al bulk metallic glass. Scr. Mater. 2019, 167, 31–36. [Google Scholar] [CrossRef]
- Park, E.-S.; Kyeong, J.; Kim, D. Enhanced glass forming ability and plasticity in Mg-based bulk metallic glasses. Mater. Sci. Eng. A 2007, 449, 225–229. [Google Scholar] [CrossRef]
- Park, E.-S.; Kim, D.; Ohkubo, T.; Hono, K. Enhancement of glass forming ability and plasticity by addition of Nb in Cu-Ti-Zr-Ni-Si bulk metallic glasses. J. Non-Cryst. Solids 2005, 351, 1232–1238. [Google Scholar] [CrossRef]
- Senatov, F.; Niaza, K.; Zadorozhnyy, V.Y.; Maksimkin, A.; Kaloshkin, S.; Estrin, Y. Mechanical properties and shape memory effect of 3D-printed PLA-based porous scaffolds. J. Mech. Behav. Biomed. Mater. 2016, 57, 139–148. [Google Scholar] [CrossRef] [PubMed]
- Valvano, J.W.; Cochran, J.R.; Diller, K.R. Thermal conductivity and diffusivity of biomaterials measured with self-heated thermistors. Int. J. Thermophys. 1985, 6, 301–311. [Google Scholar] [CrossRef]
- Bhavaraju, N.; Cao, H.; Yuan, D.; Valvano, J.; Webster, J.G. Measurement of directional thermal properties of biomaterials. IEEE Trans. Biomed. Eng. 2001, 48, 261–267. [Google Scholar] [CrossRef]
- Maksimkin, A.; Senatov, F.; Anisimova, N.; Kiselevskii, M.V.; Zalepugin, D.; Chernyshova, I.; Tilkunova, N.; Kaloshkin, S. Multilayer porous UHMWPE scaffolds for bone defects replacement. Mater. Sci. Eng. C 2017, 73, 366–372. [Google Scholar] [CrossRef] [PubMed]
- Khorramirouz, R.; Go, J.; Noble, C.; Jana, S.; Maxson, E.; Lerman, A.; Young, M. A novel surgical technique for a rat subcutaneous implantation of a tissue engineered scaffold. Acta Histochem. 2018, 120, 282–291. [Google Scholar] [CrossRef] [PubMed]
- Noviana, D.; Paramitha, D.; Ulum, M.F.; Hermawan, H. The effect of hydrogen gas evolution of magnesium implant on the postimplantation mortality of rats. J. Orthop. Transl. 2015, 5, 9–15. [Google Scholar] [CrossRef] [PubMed] [Green Version]





| Samples | Young Modulus (MPa) | Tensile Strength (MPa) | Elongation (%) |
|---|---|---|---|
| PCL | 351 ± 20 | 15.2 ± 3 | 352 ± 70 |
| 50/50 composite | 1799 ± 60 | 12.7 ± 4.4 | 240 ± 60 |
| 75/25 composite | 822 ± 35 | 18.9 ± 1.7 | 462 ± 25 |
| 90/10 composite | 486 ± 45 | 18.6 ± 2.8 | 500 ± 55 |
| Metallic Glass | 31639 ± 75 | 150.2 ± 18.5 | 4 ± 0.2 |
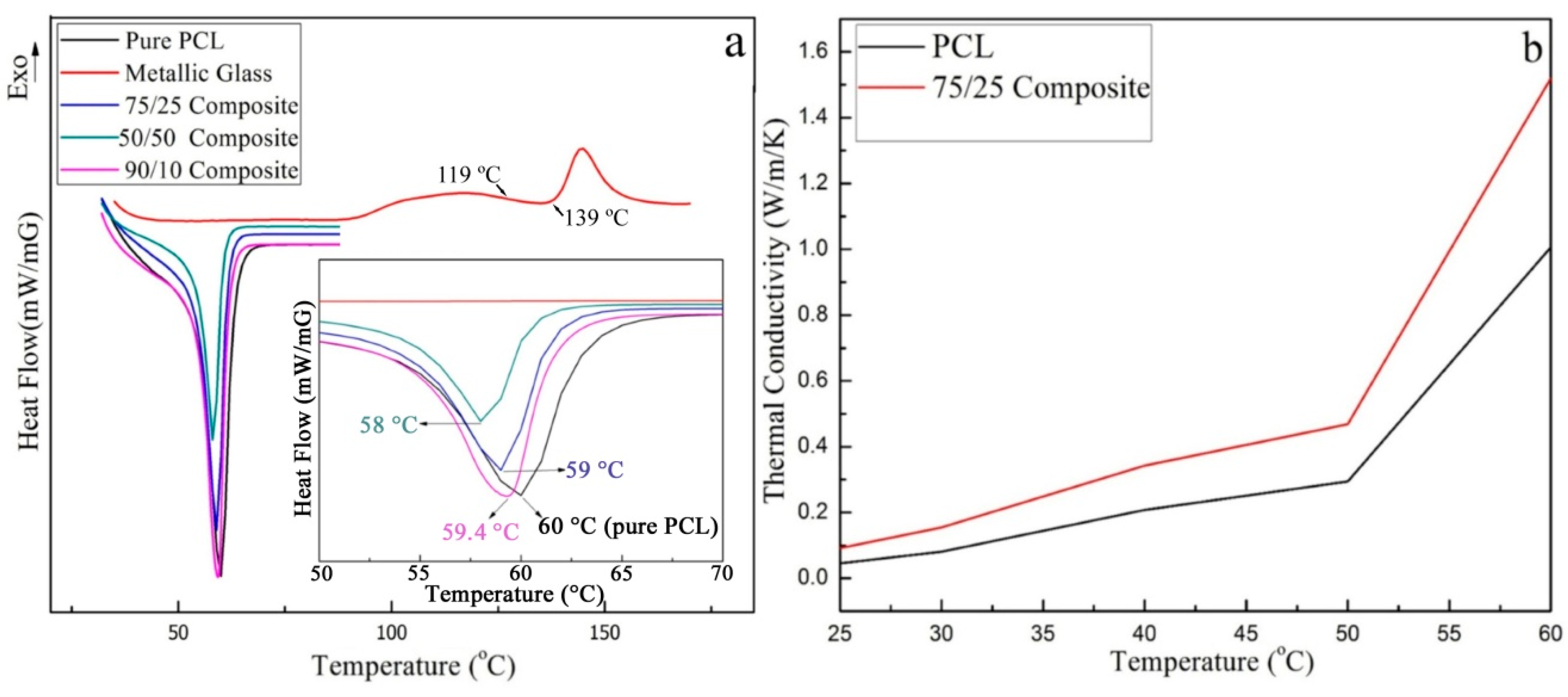
| Temperature Analysis, °C | 25 | 30 | 40 | 50 | 60 |
|---|---|---|---|---|---|
| PCL | |||||
| Thermal diffusivity, mm2/s | 0.103 ± 0.03 | 0.1 ± 0.03 | 0.098 ± 0.04 | 0.097 ± 0.02 | 0.096 ± 0.03 |
| Thermal conductivity, W/(m·K) | 0.05 ± 0.01 | 0.08 ± 0.01 | 0.21 ± 0.01 | 0.29 ± 0.01 | 1.01 ± 0.02 |
| Heat capacity, J/(g·K) | 0.4 ± 0.02 | 0.74 ± 0.03 | 1.92 ± 0.14 | 2.75 ± 0.17 | 9.53 ± 0.2 |
| Sample density, g/cm3 | 1.1 ± 0.02 | ||||
| Composite (75/25) | |||||
| Thermal diffusivity, mm2/s | 0.171 ± 0.04 | 0.165 ± 0.04 | 0.155 ± 0.03 | 0.1457 ± 0.04 | 0.135 ± 0.03 |
| Thermal conductivity, W/(m·K) | 0.09 ± 0.005 | 0.15 ± 0.007 | 0.35 ± 0.01 | 0.47 ± 0.012 | 1.52 ± 0025 |
| Heat capacity, J/(g·K) | 0.4 ± 0.03 | 0.7 ± 0.05 | 1.64 ± 0.12 | 2.4 ± 0.16 | 8.4 ± 0.22 |
| Sample density, g/cm3 | 1.34 ± 0.02 | ||||
| Composite (50/50) | |||||
| Thermal diffusivity, mm2/s | 0.187 ± 0.03 | 0.183 ± 0.03 | 0.171 ± 0.04 | 0.16 ± 0.05 | 0.145 ± 0.05 |
| Thermal conductivity, W/(m·K) | 0.16 ± 0.02 | 0.3 ± 0.04 | 0.42 ± 0.05 | 0.55 ± 0.09 | 1.57 ± 0.11 |
| Heat capacity, J/(g·K) | 0.5 ± 0.05 | 0.95 ± 0.07 | 1.45 ± 0.13 | 2.02 ± 0.21 | 6.44 ± 0.26 |
| Sample density, g/cm3 | 1.68 ± 0.02 | ||||
| Experimental Group | Resorption | Inflammation | Gas Production | Summary |
|---|---|---|---|---|
| PCL 20 days | - | - | - | Perspective sample, for further studies |
| PCL 90 days | - | - | - | |
| Composite 20 days | - | - | - | Perspective sample, for further studies |
| Composite 90 days | - | - | - | |
| Mg-Glass 10 days | Resorbed | Large abscess | Microscopic gas bubbles in the zone of implantation | Cannot be used as a biomaterial for an implant because of excessive inflammation |
| Mg-Glass 90 days | Resorbed | Small abscess | - |
© 2020 by the authors. Licensee MDPI, Basel, Switzerland. This article is an open access article distributed under the terms and conditions of the Creative Commons Attribution (CC BY) license (http://creativecommons.org/licenses/by/4.0/).
Share and Cite
Sharma, A.; Kopylov, A.; Zadorozhnyy, M.; Stepashkin, A.; Kudelkina, V.; Wang, J.-Q.; Ketov, S.; Churyukanova, M.; Louzguine-Luzgin, D.; Sarac, B.; et al. Mg-Based Metallic Glass-Polymer Composites: Investigation of Structure, Thermal Properties, and Biocompatibility. Metals 2020, 10, 867. https://doi.org/10.3390/met10070867
Sharma A, Kopylov A, Zadorozhnyy M, Stepashkin A, Kudelkina V, Wang J-Q, Ketov S, Churyukanova M, Louzguine-Luzgin D, Sarac B, et al. Mg-Based Metallic Glass-Polymer Composites: Investigation of Structure, Thermal Properties, and Biocompatibility. Metals. 2020; 10(7):867. https://doi.org/10.3390/met10070867
Chicago/Turabian StyleSharma, Adit, Alexey Kopylov, Mikhail Zadorozhnyy, Andrei Stepashkin, Vera Kudelkina, Jun-Qiang Wang, Sergey Ketov, Margarita Churyukanova, Dmitri Louzguine-Luzgin, Baran Sarac, and et al. 2020. "Mg-Based Metallic Glass-Polymer Composites: Investigation of Structure, Thermal Properties, and Biocompatibility" Metals 10, no. 7: 867. https://doi.org/10.3390/met10070867
APA StyleSharma, A., Kopylov, A., Zadorozhnyy, M., Stepashkin, A., Kudelkina, V., Wang, J.-Q., Ketov, S., Churyukanova, M., Louzguine-Luzgin, D., Sarac, B., Eckert, J., Kaloshkin, S., Zadorozhnyy, V., & Kato, H. (2020). Mg-Based Metallic Glass-Polymer Composites: Investigation of Structure, Thermal Properties, and Biocompatibility. Metals, 10(7), 867. https://doi.org/10.3390/met10070867

