Influences of Cooling Conditions on the Liquation Cracking in Laser Metal Deposition of a Directionally Solidified Superalloy
Abstract
1. Introduction
2. Research Approaches
2.1. Experimental Investigation
2.2. Numerical Analysis
3. Results
3.1. Experimental Results
3.2. Numerical Results
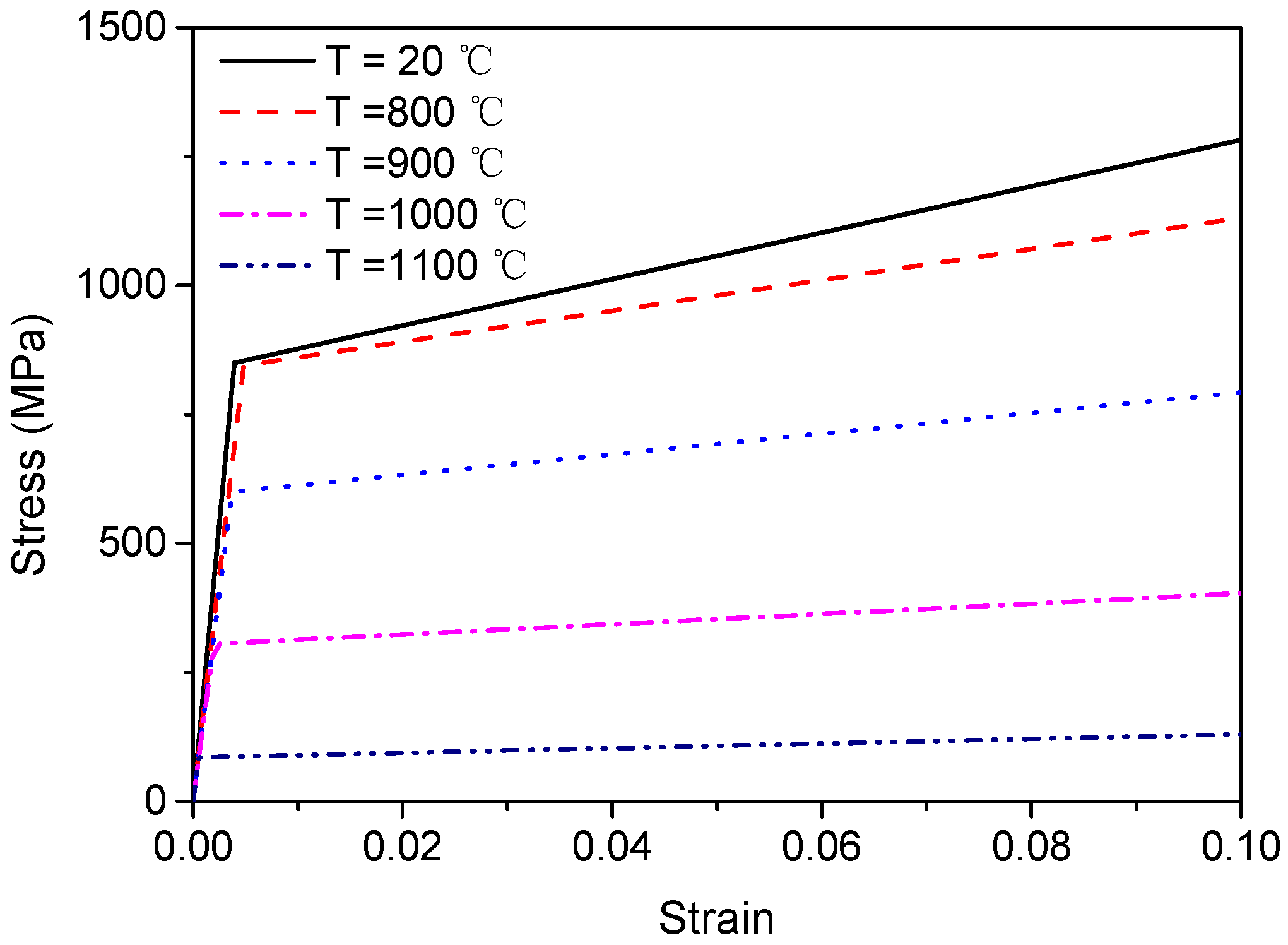
3.2.1. Results of Thermal Analysis
3.2.2. Results of Mechanical Analysis
4. Discussion
5. Conclusions
Author Contributions
Funding
Acknowledgments
Conflicts of Interest
References
- McNutt, P.A. An Investigation of Cracking in Laser Metal Deposited Nickel Superalloy CM247LC. EngD Thesis, University of Birmingham, Birmingham, UK, 2015. [Google Scholar]
- Xing, B.; Chang, B.H.; Yang, S.; Du, D. A study on the cracking behavior in laser metal deposition of IC10 directionally solidified nickel base superalloy. Mater. Res. Innov. 2015, 19, 281–285. [Google Scholar] [CrossRef]
- Chauvet, E.; Kontis, P.; Jägle, E.A.; Gault, B.; Raabe, D.; Tassin, C.; Blandin, J.J.; Dendievel, R.; Vayre, B.; Abed, S. Hot cracking mechanism affecting a non-weldable Ni-based superalloy produced by selective electron beam melting. Acta Mater. 2018, 142, 82–94. [Google Scholar] [CrossRef]
- Wang, N.; Mokadem, S.; Rappaz, M.; Kurz, W. Solidification cracking of superalloy single- and bi-crystals. Acta Mater. 2004, 52, 3173–3182. [Google Scholar] [CrossRef]
- Zhong, M.L.; Sun, H.Q.; Liu, W.J.; Zhu, X.F.; He, J.J. Boundary liquation and interface cracking characterization in laser deposition of Inconel 738 on directionally solidified Ni-based superalloy. Scr. Mater. 2005, 53, 159–164. [Google Scholar] [CrossRef]
- Sun, H.Q.; Zhong, M.L.; Liu, W.J.; He, J.J.; Li, X.L.; Zhu, X.F. Cracking Sensitivity on Laser Cladding Inconel 738 on Directionally Solidified Ni-base Superalloy. J. Aeronaut. Mater. 2005, 25, 26–31. (In Chinese) [Google Scholar]
- Li, L. Repair of directionally solidified superalloy GTD-111 by laser-engineered net shaping. J. Mater. Sci. 2006, 41, 7886–7893. [Google Scholar] [CrossRef]
- Xi, M.Z.; Gao, S.Y. Microstructures and mechanism of cracks forming of Rene 80 high-temperature slloy fabricated by laser rapid forming process. Chin. J. Lasers 2012, 39, 1–6. (In Chinese) [Google Scholar]
- Wang, D.S.; Tian, Z.J.; Wang, J.W.; Duan, Z.Y.; Shen, L.D.; Huang, Y.H. A method of crack control in laser cladding process with changing power density distribution of laser beam. Chin. J. Lasers 2011, 38, 82–86. (In Chinese) [Google Scholar]
- Wu, D.J.; Chu, Y.; Niu, F.Y.; Ma, G.Y.; Zhuang, J. Influence of temperature distribution of ceramic coating using top-hat assistant laser beam in dual-beam laser cladding. Chin. J. Lasers 2014, 41, 125–130. (In Chinese) [Google Scholar]
- Kaierle, S.; Overmeyer, L.; Alfred, I.; Rottwinkel, B.; Hermsdorf, J.; Wesling, V.; Weidlich, N. Single-crystal turbine blade tip repair by laser cladding and remelting. CIRP J. Manuf. Sci. Technol. 2017, 19, 196–199. [Google Scholar] [CrossRef]
- Liang, S.D.; Zhang, A.F.; Wang, T.; Li, D.C. Elimination of laser direct forming crack on DD4 parts by induction heating. Chin. J. Lasers 2017, 44, 234–243. (In Chinese) [Google Scholar]
- Chen, Y.; Lu, F.G.; Zhang, K.; Nie, P.L.; Hosseini, S.R.E.; Feng, K.; Li, Z.G. Dendritic microstructure and hot cracking of laser additive manufactured Inconel 718 under improved base cooling. J. Alloy. Compd. 2016, 670, 312–321. [Google Scholar] [CrossRef]
- Zhao, X.H.; Huang, Z.H.; Tan, Y.N.; Zhang, Q.; Yu, Q.; Xu, H.B. New Ni3Al-based directionally-solidified superalloy IC10. J. Aeronaut. Mater. 2006, 26, 20–24. (In Chinese) [Google Scholar]
- Zhao, X.H.; Huang, Z.H.; Tan, Y.N.; Zhang, Q.; Jia, X.Y.; Xu, H.B. Microstructure of IC10 superalloy. J. Aeronaut. Mater. 2008, 28, 28–33. (In Chinese) [Google Scholar]
- Xing, B.; Chang, B.H.; Du, D. Effects of process parameters on morphology of laser deposited layer on IC10 directionally solidified superalloy. Trans. China Weld. Inst. 2015, 36, 88–92. (In Chinese) [Google Scholar]
- Editorial Committee for the Handbook of Materials Data Used for Aeroengine Design; Aviation Industrial Publishing House: Beijing, China, 2014.
- Yang, S.; Chang, B.H.; Du, D. Studies of the influence of beam profile and cooling conditions on the laser deposition of a directionally solidified superalloy. Materials 2018, 11, 240. [Google Scholar] [CrossRef] [PubMed]
- Ghidelli, M.; Idrissi, H.; Gravier, S.; Blandin, J.J.; Raskin, J.P.; Schryvers, D.; Pardoen, T. Homogeneous flow and size dependent mechanical behavior in highly ductile Zr65Ni35 metallic glass films. Acta Mater. 2017, 131, 246–259. [Google Scholar] [CrossRef]
- Ast, J.; Ghidelli, M.; Durst, K.; Göken, M.; Sebastiani, M.; Korsunsky, A.M. A review of experimental approaches to fracture toughness evaluation at the micro-scale. Mater. Des. 2019, 173, 107762. [Google Scholar] [CrossRef]














| Elements | Co | Cr | Ta | Al | W | Mo | Hf | C | B | Ni |
|---|---|---|---|---|---|---|---|---|---|---|
| Content, wt. % | 12.0 | 7.0 | 7.0 | 5.9 | 5.0 | 1.5 | 1.5 | 0.1 | 0.015 | Balance |
| Process Parameters, unit | Values |
|---|---|
| Laser power, W | 600 |
| Scanning speed, mm/s | 3.5 |
| Focal position, mm | +25 |
| laser spot diameter, mm | 2.5 |
| Powder feed rate, g/min | 9.0 |
| Increment in height for each layer, mm | 0.5 |
| Flow rate of argon gas, L/min. | 7.0 |
| Property, unit | Values |
|---|---|
| Density, kg/m3 | 8290 |
| Specific heat, J/kg·°C | 360 + 0.04 × T (℃) |
| Thermal conductivity, W/m·°C | 8.43 + 0.0178 × T (℃) |
| Young’s modulus, GPa | 218.7 − 0.0655 × T (℃) |
| Poisson’s ratio | 0.32 |
| Linear thermal expansion coefficient, 10−6/°C | 10.321 + 0.007 × T (℃) |
| Cooling Conditions | Total Lengths of Cracks in Five Sections, μm | Average Lengths of Cracks, μm | Numbers of Cracks |
|---|---|---|---|
| Conventional cooling, CC | 1650 | 126.9 ± 28.1 | 13 |
| Forced cooling, FC | 780 | 97.5 ± 34.2 | 8 |
© 2020 by the authors. Licensee MDPI, Basel, Switzerland. This article is an open access article distributed under the terms and conditions of the Creative Commons Attribution (CC BY) license (http://creativecommons.org/licenses/by/4.0/).
Share and Cite
Chang, B.; Yang, S.; Liu, G.; Li, W.; Du, D.; Ma, N. Influences of Cooling Conditions on the Liquation Cracking in Laser Metal Deposition of a Directionally Solidified Superalloy. Metals 2020, 10, 466. https://doi.org/10.3390/met10040466
Chang B, Yang S, Liu G, Li W, Du D, Ma N. Influences of Cooling Conditions on the Liquation Cracking in Laser Metal Deposition of a Directionally Solidified Superalloy. Metals. 2020; 10(4):466. https://doi.org/10.3390/met10040466
Chicago/Turabian StyleChang, Baohua, Shuo Yang, Guan Liu, Wangnan Li, Dong Du, and Ninshu Ma. 2020. "Influences of Cooling Conditions on the Liquation Cracking in Laser Metal Deposition of a Directionally Solidified Superalloy" Metals 10, no. 4: 466. https://doi.org/10.3390/met10040466
APA StyleChang, B., Yang, S., Liu, G., Li, W., Du, D., & Ma, N. (2020). Influences of Cooling Conditions on the Liquation Cracking in Laser Metal Deposition of a Directionally Solidified Superalloy. Metals, 10(4), 466. https://doi.org/10.3390/met10040466

