Abstract
Performing isometric strength training (IST) can enhance various sports performance. This study compared the effects of including IST on sprint kayaking performance as compared to traditional strength training. Twenty sprint kayaking athletes (age 22 ± 4 year, stature 1.71 ± 0.09 m, body mass 72.0 ± 11.4 kg) performed a 200-m kayak ergometer time trial (200mTT), isometric squat (IsoSqT), isometric bench press (IsoPress) and isometric prone bench pull (IsoPull) during the pre- and post-tests. Athletes were randomly assigned to either traditional strength training (TRAD) or IST group. Both groups performed a similar strength training program twice a week for six weeks. However, half the volume for squat, bench press and prone bench pull were replaced by IsoSqT, IsoPress and IsoPull, respectively, for the IST group. IsoSqT was performed at 90° knee angle, while IsoPress and IsoPull were performed at 90° and 120° elbow angles, respectively. Each isometric contraction was performed with maximum intensity and sustained for three seconds. A significant main time effect was observed for 200mTT (p < 0.001, ƞ2p = 0.68) and all isometric strength measures (p = 0.001–0.032, ƞ2p = 0.24–0.76) except rate of force development at 0–90 ms (RFD90) obtained from IsoSqT120 and IsoPress90. A group main effect was observed in RFD90 obtained from IsoSqT120 and IsoPull120 (p = 0.003–0.004, ƞ2p = 0.37–0.39). Time x Group interaction was observed for 200mTT (p = 0.027, ƞ2p = 0.68), peak force obtained from IsoSqT90, IsoPress90, and IsoPull120 (p = 0.004–0.006, ƞ2p = 0.36–0.38) and RFD90 obtained from IsoSqT120 and IsoPull120 (p = 0.012–0.015, ƞ2p = 0.28–0.30). Inclusion of IST resulted in greater improvement for sprint kayaking and strength performances then TRAD alone.
1. Introduction
Strength training is an integral component in the physical preparation of sprint kayakers, and improvement in muscular strength has been associated with improved kayaking performance [1,2,3]. For example, McKean and Burkett [3] reported that a 6.5–13% increase in 1 repetition maximum bench press and a 2.3–10% increase in 1 repetition maximum pull up coincided with improvement of 1% in kayaking time. Several studies have also reported that force production of the lower limb is integral to kayaking performance [4,5,6]. For example. Nilsson and Rosdahl [6] reported that lower limb force contributed to about 21% of mean paddle stroke force and 16% of mean kayak speed. However, no study has reported the effects of lower limb strength training on kayaking performance. It would be of interest to know if strength training for the lower limb would further enhance kayaking performance.
To the authors’ knowledge, there is only one study available in the literature that conducted a randomized controlled trial to investigate the effects of different strength training methods on kayaking performance [2]. Liow and Hopkins [2] reported that bench press and bilateral dumbbell prone lifts performed with a slow concentric phase resulted in greater improvement in the initial acceleration phase as compared to performing the concentric phase rapidly. Despite this finding, a study that compares the effects of different modes of strength training with the traditional strength training (TRAD) method, which involves concentric and eccentric muscle action while lifting heavy weights (e.g., bench press and bench pull), is lacking.
Isometric strength training (IST) is a mode of strength training that involves the production of force by the skeletal muscles without any external movement [7,8,9,10,11,12]. This mode of strength training has been compared with isoinertial, isokinetic and plyometric training [7,8,9,13,14,15,16]. It was reported that IST has several advantages over the dynamic mode of strength training, and these include lower energy cost, greater improvement in tendon stiffness and joint angle-specific strength [8,9,10,12,14]. In addition, Kordi et al. [13] reported greater improvement in track cycling when IST was included as compared to traditional strength training alone. Similar to cycling, the stretch-shortening cycle has minimal contribution to force production during kayaking stroke due to the lack of eccentric contraction [2]. As such, a mode of strength training that enhances cycling performance might also have a positive effect on kayaking performance. To date, no study has investigated the effects of IST on kayaking performance. Furthermore, there is a paucity of randomized controlled trials conducted to investigate the effects of strength training on kayaking performance.
Isometric strength measures of various muscles have resulted in significant correlation to on-water sprint kayaking time and kayak ergometer mean power [5,17,18]. For example, Lum and Aziz [5] reported significant correlation between isometric strength measures obtained from isometric squat (IsoSqT), isometric prone bench pull (IsoPull), and isometric bench press (IsoPress) with 200-m on-water kayaking time and ergometer kayaking mean power, (−0.44 ≤ r ≤ −0.88). Furthermore, predicted 200-m on-water kayaking time using regression equation based on peak force (PF) obtained from IsoSqT, IsoPress and IsoPull resulted in only 1.3% standard error from actual 200-m on-water kayaking time. These findings showed that IsoSqT, IsoPress and IsoPull are suitable strength assessments for monitoring sprint kayaking athletes’ strength as peak force obtained from these assessments may help to predict athletes’ sprint kayaking performance.
Although the correlation does not indicate a causation, there is a possibility that if IST were to be performed using IsoSqT, IsoPress and IsoPull, the increment of maximum force production at those joint positions may enhance athletes’ ability to overcome the drag force during each paddling stroke to move the boat faster. Therefore, the aim of the current study was to compare the effects of including IST on kayaking performance as compared to TRAD. As IST was performed at joint positions similar to that adopted during the initiation of the pull phase of kayak stroke, it would most likely result in greater strength increment in those positions than TRAD [10,12,13]—thus, further enhance the ability to overcome drag force during kayaking. Thus, it was hypothesized that performing IST would result in greater improvement to sprint kayaking performance than TRAD.
2. Materials and Methods
2.1. Participants
Sample power was computed (G*Power, v.3.1.9.2, University of Kiel, Kiel, Germany) assuming as inputs an expected large effect size (for instance, f = 0.4), 5% of error probability for 95% of power, two groups (i.e., 2 conditions), two measurements (i.e., pre- and post-test), correlation among repeated measures of 0.5 and non-sphericity correction of 1. Computation showed that a sample size of at least n = 16 was required to obtain a statistical power of 0.85.
Twenty (TRAD—8 male and 2 female, IST—8 male and 2 female) national and collegiate kayak athletes (TRAD—age 21 ± 4 year, stature 1.72 ± 0.10 m, body mass 75.1 ± 11.0 kg, IST—age 22 ± 4 year, stature 1.73 ± 0.05 m, body mass 76.1 ± 8.4 kg) were recruited for this study. These athletes had been performing resistance training at least twice a week and participating in kayaking competitively for at least 2 years; had been training for at least six hours per week for the last 6 months; did not sustain any injury for the last 6 months; and had been training regularly with a kayak ergometer.
Prior to participation, all participants were briefed on the requirements and risks involved with the study. Participants were required to sign a written informed consent prior to the initial testing session. Parental consent was sought for those under the age of 21 years old. The study was ethically cleared by the Nanyang Technological University and Singapore Sport Institute’s Institutional Review Board.
2.2. Experimental Approach to the Problem
A randomized controlled trial research design was selected. Participants attended a familiarization session 48–72 h prior to the pre-test session to be familiar with the isometric strength tests and to perform the 200-m ergometer kayaking time trial (200mTT) for reliability test analysis. The pre- and post-testing sessions included three maximum isometric strength tests, IsoSqT, IsoPull and IsoPress (Figure 1), followed by 200mTT. Participants were matched for 200mTT mean power before being randomly assigned to either the TRAD or IST group. Participants attended 2 training sessions per week for 6 weeks, each separated by 48–72 h.
Figure 1.
Testing set up for (A) isometric squat, (B) isometric prone bench pull, (C) isometric bench press.
2.3. Testing Sessions
All pre- and post-tests (72 h upon completion of last training session) were conducted prior to and after the intervention training. Each testing session began with a 5 min moderate-intensity paddle on the kayaking ergometer (Kayakpro Speedstroke Hi Res, Miami Beach, FL, USA), followed by dynamic stretches for upper and lower limb. One minute of recovery period was given prior to commencing the maximum isometric strength tests. Participants performed the IsoSqT, IsoPress and IsoPull tests in a randomized sequence, with a 5 min recovery period in between each test [5]. Upon the completion of the final isometric strength test, they were given a recovery period of 10 min prior to performing the 200mTT [5].
The IsoSqT, IsoPress and IsoPull were performed on the FT700 Isotronic Ballistic Measurement System (Fitness Technology, Adelaide, Australia), incorporating the 400 series force plate (sampling at 600 Hz). A sampling frequency of ≥500 Hz has previously been reported to provide accurate and reliable measurements of peak force, time-specific force values, and rate of force development (RFD) at pre-determined time bands during the IMTP [19]. The procedure of the tests follows that which was previously described by Lum and Aziz [5]. IsoSqT was performed at knee flexion angles of 90° (IsoSqT90) and 120° (IsoSqT120) (full knee extension being 180°); IsoPress was performed at 90° (IsoPress90) and 120° (IsoPress120) elbow flexion angles; and IsoPull was performed at 90° (IsoPull90) and 120° (IsoPull120) elbow angles. Participants performed the tests at each joint angle twice separated by a 2 min recovery period between attempts and a 5 min recovery period between tests. Peak force and rate of force development at 0–90 ms (RFD90) were recorded for all isometric tests. The initiation of contraction was identified as the time corresponding to a force of 20 N above baseline [20].
After completing the isometric strength tests, a 10 min passive rest ensued. Subsequently, athletes performed a 10 min self-paced warm up on the same kayak ergometer. After 2 min of passive recovery, they were instructed to complete a 200 m distance in the shortest time possible. The mean power attained during the 200mTT was used as the criterion measure of kayak performance with a higher mean power indicating a better performance [5]. The 200mTT was selected as a criterion measure to eliminate the effects of weather conditions. Previous study by Lum and Aziz [5] reported very strong correlation between 200mTT mean power and 200-m on-water sprint time (r = −0.90).
2.4. Training Program
Participants attended 2 training sessions per week for 6 weeks, each separated by 48–72 h. Both TRAD and IST group performed similar strength training program (Table 1). However, for IST, two sets of dynamic squats, bench press and prone bench pull were replaced by IsoSqT, IsoPress and IsoPull, respectively. The IsoSqT, IsoPress and IsoPull involved participants exerting maximal force against a stationary bar as fast and as hard as they could. Each repetition was held for 3 s with 3 s rest in between repetitions [21]. Participants performed the IsoSqT at similar knee flexion angle (~100°), IsoPress (~90°) and IsoPull (~120°) at similar elbow flexion angles, as they adopted when they were initiating the pull phase during 200mTT. Intensity of all dynamic exercises was set as two repetitions in reserve for each set. In addition, the eccentric phase was performed with a 2 s tempo while the concentric phase was performed with the intent to lift as hard and as fast as possible.
Table 1.
Strength training program.
All participants were performing similar training program as TRAD for 4 weeks leading up to the commencement of the study. All participants recruited for the study completed every training session and post-tests (i.e., no dropouts).
2.5. Statistical Analysis
All tested variables are expressed by Mean (±1 SD) and 95% confidence interval. Between and within session, test-retest reliability was assessed using two-way mixed intraclass correlation coefficients (ICC) and typical error (TE) for 200mTT and all other measured variables, respectively. ICC values were deemed as highly reliable if r ≥ 0.80 [22].
Data were analyzed using mixed ANOVAs (between- × within-participant analysis; 2 training groups × 2 testing times; p ≤ 0.05) with Bonferroni’s post hoc comparisons using one between-group factor (TRAD and IST) and one within-group factor (pre-training and post-training). Effect size was computed by partial eta-squared (ƞ2p) and deemed—without effect if 0 < ƞ2p ≤ 0.01; small if 0.01 < ƞ2p ≤ 0.06; medium if 0.06 < ƞ2p ≤ 0.14 and; strong if ƞ2p > 0.14. All assumptions to run ANOVAs were checked beforehand, including normality and sphericity. Degrees of freedom were corrected whenever sphericity’s assumption was violated. An independent T-test was used to determine if there were any between-group differences in percentage change for all variables. Cohen’s d was calculated as standardized effect size for mean comparisons, and deemed as—(i) trivial effect size if 0 ≤ d ≤ 0.2; (ii) small effect size if 0.2 < d ≤ 0.5 and; (iii) moderate effect size if 0.5 < d ≤ 0.8; (iv) large effect size if d > 0.8.
Associations between change in mean power and change in all isometric strength measures were determined using Pearson’s product-moment correlation (p < 0.05). Correlational indices were set at—(i) small, if 0.1 ≤ r ≤ 0.29; (ii) moderate, if 0.3 < r≤ 0.49; (iii) large, if 0.5 ≤ r ≤ 0.69; (iv) very large, if 0.7 ≤ r ≤ 0.89; (v) near perfect, if 0.9 ≤ r ≤ 0.99; and (vi) perfect, if r = 1.
3. Results
3.1. Reliability of the Measures
The ICC data for 200mTT and all isometric tests measures showed very high repeatability (Appendix A, Table A1). Test-retest data indicted a typical error of 3.0% for 200mTT and 3.6–8.9% for all isometric strength measures.
3.2. Time X Group Interactions
Table 2 displays the results of 200mTT and PF from all isometric tests, while Table 3 displays the results of RFD from all isometric tests. Significant large time x group interactions were observed in 200mTT mean power (p = 0.027, ƞ2p = 0.24), IsoSqT90 PF (p = 0.004, ƞ2p = 0.38), IsoSqT120 RFD90 (p = 0.015, ƞ2p = 0.28), IsoPress90 PF (p = 0.004, ƞ2p = 0.38), IsoPull120 PF (p = 0.006, ƞ2p = 0.36) and IsoPull120 RFD90 (p = 0.012, ƞ2p = 0.30). There was no time x group interactions in other measured variables, though small-to-large standardized effect sizes were observed (0.04 ≤ ƞ2p ≤ 0.29).
Table 2.
Analysis of 200-m kayak ergometer mean power and isometric peak force.
Table 3.
Analysis of isometric rate of force development.
3.3. Time Main and Simple Effects
A significant large main effect for time was observed for 200mTT mean power (p < 0.001, ƞ2p = 0.68). In addition, a significant large effect for time was observed for all isometric PF (0.0001 ≤ p ≤ 0.032, 0.16 ≤ ƞ2p ≤ 0.76) and RFD90 (0.001 ≤ p ≤ 0.028, 0.24 ≤ ƞ2p ≤ 0.65), except RFD90 obtained from IsoSqT120 and IsoPress90. Significant improvement in 200mTT mean power for was observed in both groups (TRAD: p = 0.028, d = 0.18), IST: p < 0.001, d = 0.45) (Figure 2). A significant increase in PF and RFD90 obtained from all isometric tests was observed in the IST group (0.001 ≤ p ≤ 0.024, 0.57 ≤ d ≤ 0.76 and 0.001 ≤ p ≤ 0.008, d = 0.52, respectively) except for IsoSqT120 PF (p = 0.087, d = 1.04). However, the only isometric strength measures that were significantly increased in TRAD were IsoPress120 PF (p = 0.001, d = 0.68), IsoPress120 RFD90 (p = 0.048, d = 0.38) and IsoPull120 PF (p = 0.022, d = 0.32).

Figure 2.
Pre- and post-test measures for 200mTT and all isometric strength variables. * Denotes significant difference (p < 0.05). ** Denotes significant difference (p < 0.01). Grey cube = TRAD – Pre, black cube = TRAD – Post, blue cube = IST – Pre, red cube = IST – Post.
3.4. Group Main Effects
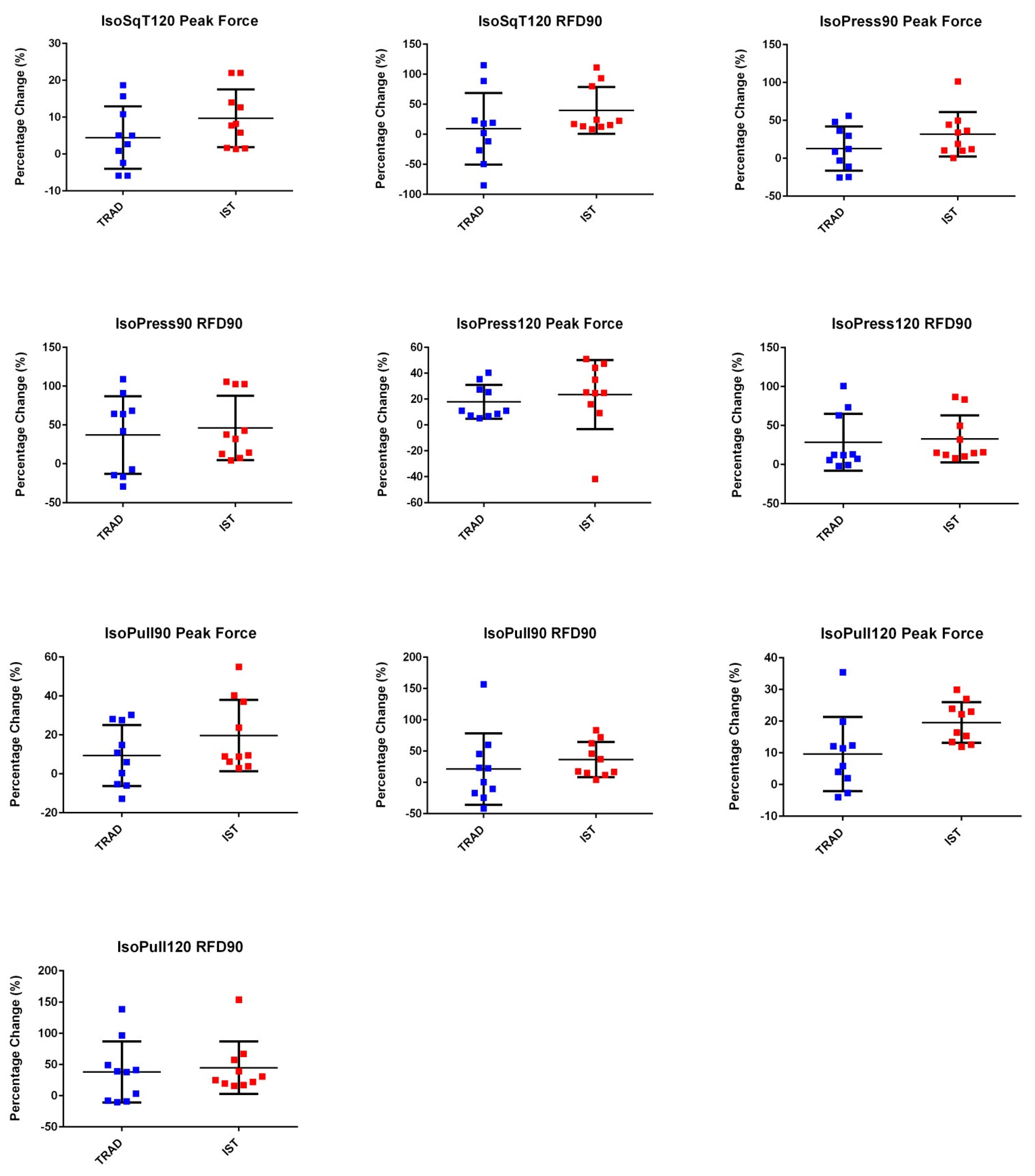
There was no significant group main effect for 200mTT mean power (p = 0.695, ƞ2p = 0.01). Significant large group main effect was observed for IsoSqT90 PF (p = 0.037, ƞ2p = 0.22), IsoSqT120 RFD90 (p = 0.004, ƞ2p = 0.37) and IsoPull120 FD90 (p < 0.001, ƞ2p = 0.39). No significant group main effect was observed for other isometric strength measures (0.053 ≤ p ≤ 0.356, 0.05 ≤ ƞ2p ≤ 0.19).
Figure 3 illustrates the individual changes for all measured variables. Change in IsoSqT90 PF was significantly higher in the IST than the TRAD group (p = 0.002, d = 1.03). A non-significant difference was observed for other variables. However, compared to TRAD, IST resulted in large effects sizes for changes in 200mTT mean power (p = 0.351, d = 0.81), IsoSqT120 PF (p = 0.17, d = 0.64), IsoPull120 PF (p = 0.248, d = 1.06); moderate effect sizes for change in IsoSqT90 RFD90 (p = 0.605, d = 0.76), IsoSqT120 RFD90 (p = 0.442, d = 0.61), IsoPress90 PF (p = 0.758, d = 0.65) and IsoPull90 PF (p = 0.481, d = 0.60); and small effect sizes for change in IsoPress90 RFD90 (p = 0.348, d = 0.20), IsoPress120 PF (p = 0.356, d = 0.28) and IsoPull90 RFD100 (p = 0.215, d = 0.34).

Figure 3.
Percentage change for 200mTT and all isometric strength measures. Centre bar represents the mean and error bars represent the standard deviation. * Denotes significant difference (p < 0.01). Blue cube = TRAD, red cube = IST.
3.5. Correlation Analysis
Significant and large associations were observed between change in 200mTT mean power and IsoSqT90 PF (r = 0.51, p = 0.022), and change in 200mTT mean power and IsoPull120 PF (r = 0.52, p = 0.018) (Appendix A, Table A2). There was no significant correlation between change in 200mTT mean power and other isometric strength measures (0.01 ≤ r ≤ 0.34, 0.144 ≤ p ≤ 0.956).
4. Discussion
The current findings showed that the inclusion of IST resulted in a larger effect for the improvement of 200mTT mean power and all isometric strength measures than TRAD. The greater improvement in both sports-specific performances in the IST group was in corroboration with a previous finding that reported greater improvement in cycling performance in elite sprint cyclists who included IST in their training [13]. In addition, there was an association between improvement in 200mTT mean power with improved lower limb pushing and upper limb pulling strength.
Previous studies have reported that IST is superior in improving joint angle-specific force generation ability than other modes of strength training [8,14]. Therefore, when IST was performed at the joint angle that corresponded to the initiation of concentric phase of an exercise, it resulted in greater force generation at that specific joint angle [10]. Although the current study did not adopt a kayaking position during IST, the hip, knee and elbow positions adopted while performing IsoSqT and, IPB and IsoPull, respectively, were similar to the joint angle adopted during the initiation of pulling phase of the kayak stroke [5]. This probably led to the ability to generate a greater amount of force and greater ability to overcome inertial during kayaking on the ergometer.
Another possible reason for the greater improvement in IST could be because of the diminishing return of training after having performed a certain type of training for extended period of time [23]. In the current study, all the participants performed the same training program as TRAD prior to the commencement of the intervention. The smaller magnitude in strength improvement in TRAD was possibly due to the lack of change in training stimulus. In the case of the IST group, the inclusion of IST acted as a form of variation in training that resulted in greater strength adaptation [24].
In concordance with the significantly greater improvement in IsoSqT90 PF, and larger effect in the improvement of 200mTT and IsoPull120 PF in favor of IST, the results also showed significantly large associations between improvement in 200mTT mean power and improvement in PF achieved from IsoSqT90 and IsoPull120. Similarly, a previous study also reported significant correlation between PF achieved from IsoSqT90 and IsoPull120 with both 200-m ergometer kayaking mean power and on-water kayaking time [5]. A possible reason for these observations could be because the pulling phase of the kayak stroke is the result of a summation of forces that is initiated by simultaneous hip extension, knee extension and ankle plantar flexion [25]. This explains why there was a significant correlation between the improvement in 200mTT mean power and improvement in PF achieved from IsoSqT90. In addition, during the pulling phase, the shoulder joint also performs a forceful extension and internal rotation action by increasing the activation of the latissimus dorsi muscles [26]. Similarly, latissimus dorsi activity is high while performing IsoPull [27]. This explains why there was a significant correlation between the improvement in 200mTT mean power and improvement in PF achieved from IsoPull120. Overall, these findings suggest that the improvement in lower limb strength and upper limb pulling strength may be integral to the improvement in kayaking performance.
This study has some limitations that should be acknowledged. Firstly, the magnitude of strength gain while performing TRAD and IST is influenced by the amount and rate of force produced during each repetition [10,28,29,30]. Therefore, participants’ compliance to perform each repetition with maximal effort would greatly affect the magnitude of strength gain. As force and rate of force development were not measured during training, these factors could have resulted in the individual differences observed in the current findings. Secondly, the current results only reflect the outcome of a six-week training period. The long-term effects of including IST into a training program are still not known. Thirdly, although the total number of sets for all exercises were the same, the intensity and time under tension were not equated. While IST was performed at maximal intensity, TRAD was performed at submaximal intensity. This could be a reason for the greater improvement observed in IST. Finally, IST resulted in improved 200mTT mean power, which has been shown to be highly correlated to 200-m on-water sprint time, actual on-water performance was not assessed and would require further investigation.
5. Conclusions
The current study showed that the inclusion of IST resulted in greater improvement in both sprint kayaking and strength performance as compared to TRAD. One possible reason for the current finding was possibly because IST was performed at joint positions similar to those adopted during the initiation of pulling phase of the kayak stroke, resulting in enhanced ability to overcome inertial and/or drag force during kayaking. Another reason could be because the inclusion of IST acted as a form of variation in training that resulted in greater strength adaptation. Together with the significant association between improvement in sprint kayaking performance with the improvement of lower limb strength and upper limb pulling strength, the greater effect in strength improvement observed in IST suggests that strength increment was one of the reasons contributing to enhance mean paddling power.
Author Contributions
Conceptualization, all authors.; methodology, all authors; formal analysis, D.L.; investigation, D.L.; writing—original draft preparation, D.L.; writing—review and editing, all authors. All authors have read and agreed to the published version of the manuscript.
Funding
This research received no external funding.
Institutional Review Board Statement
The study was conducted according to the guidelines of the Declaration of Helsinki, and approved by the Institutional Review Board of Nanyang Technological University (IRB-2019-06-069-01, 14 November 2019) and Singapore Sport Institute.
Informed Consent Statement
Informed consent was obtained from all subjects involved in the study.
Data Availability Statement
The data presented in this study are available on request from the corresponding author. The data are not publicly available as it has not been approved by the Institutional Review Board.
Acknowledgments
The authors would like to thank all athletes who participated in this study.
Conflicts of Interest
The authors declare no conflict of interest.
Appendix A
Table A1.
Reliability data for 200-m kayak ergometer mean power and isometric strength measures.
Table A1.
Reliability data for 200-m kayak ergometer mean power and isometric strength measures.
| ICC | 95%CI | %TE | |
|---|---|---|---|
| 200mTT | 0.99 | 0.98–0.99 | 3.0 |
| IsoSqT90 Peak Force | 0.93 | 0.88–0.95 | 5.1 |
| IsoSqT90 RFD90 | 0.84 | 0.73–0.88 | 8.9 |
| IsoSqT120 Peak Force | 0.95 | 0.90–0.97 | 4.9 |
| IsoSqT120 RFD90 | 0.87 | 0.72–0.88 | 8.5 |
| IsoPress90 Peak Force | 0.99 | 0.97–0.99 | 3.6 |
| IsoPress90 RFD90 | 0.97 | 0.93–0.98 | 7.6 |
| IsoPress120 Peak Force | 0.97 | 0.94–0.98 | 4.0 |
| IsoPress120 RFD90 | 0.97 | 0.90–0.98 | 7.4 |
| IsoPull90 Peak Force | 0.98 | 0.93–0.99 | 3.4 |
| IsoPull90 RFD90 | 0.97 | 0.90–0.98 | 7.9 |
| IsoPull120 Peak Force | 0.99 | 0.98–0.99 | 3.8 |
| IsoPull120 RFD90 | 0.91 | 0.88–0.93 | 7.6 |
IsoPress90 = isometric bench press at 90° elbow angle, IsoPress120 = isometric bench press at 120° elbow angle, IsoPull90 = isometric bench pull at 90° elbow angle, IsoPull120 = isometric bench pull at 120° elbow angle, IsoSqT90 = isometric squat at 90° knee angle, IsoSqT120 = isometric squat at 120° knee angle, 200mTT = 200-m kayak ergometer mean power, RFD90 = rate of force development at 0–90 ms, %TE = relative typical error.
Table A2.
Correlation between 200-m kayak ergometer mean power and isometric strength measures.
Table A2.
Correlation between 200-m kayak ergometer mean power and isometric strength measures.
| IsoSqT90 PF | IsoSqT90 RFD90 | IsoSqT120 PF | IsoSqT120 RFD90 | IsoPress90 PF | IsoPress90 RFD90 | IsoPress120 PF | IsoPress120 RFD90 | IsoPull 90 PF | IsoPull 90 RFD90 | Isopull 120 PF | IsoPull 120 RFD90 | |
|---|---|---|---|---|---|---|---|---|---|---|---|---|
| Mean Power | 0.509 * | 0.246 | 0.340 | 0.117 | 0.333 | 0.339 | 0.013 | 0.152 | 0.325 | 0.316 | 0.522 * | 0.283 |
| 95%CI | 0.09; 0.78 | −0.22; 0.62 | −0.12; 0.68 | −0.34; 0.53 | −0.13; 0.68 | −0.12; 0.68 | −0.43; 0.45 | −0.31; 0.56 | −0.14; 0.67 | −0.142; 0.67 | 010; 0.78 | −0.18; 0.64 |
| p | 0.022 | 0.296 | 0.143 | 0.622 | 0.152 | 0.144 | 0.956 | 0.521 | 0.161 | 0.174 | 0.018 | 0.227 |
IsoPress90 = isometric bench press at 90° elbow angle, IsoPress120 = isometric bench press at 120° elbow angle, IsoPull90 = isometric bench pull at 90° elbow angle, IsoPull120 = isometric bench pull at 120° elbow angle, IsoSqT90 = isometric squat at 90° knee angle, IsoSqT120 = isometric squat at 120° knee angle, RFD90 = rate of force development (0–90 ms). * Denotes significant correlation (p < 0.05).
References
- Garcia-Pallares, J.; Sanchez-Medina, L.; Carrasco, L.; Diaz, A.; Izquierdo, M. Endurance and neuromuscular changes in world-class level kayakers during a periodized training cycle. Eur. J. Appl. Physiol. 2009, 106, 629–638. [Google Scholar] [CrossRef] [PubMed]
- Liow, D.K.; Hopkins, W.G. Velocity specificity of weight training for kayak sprint performance. Med. Sci. Sports Exerc. 2013, 35, 1232–1237. [Google Scholar] [CrossRef] [PubMed]
- McKean, M.R.; Burkett, B. The Influence of Upper-Body Strength on Flat-Water Sprint Kayak Performance in Elite Athletes. Int. J. Sports Physiol. Perform. 2014, 9, 707–714. [Google Scholar] [CrossRef] [PubMed]
- Bjerkeforsa, A.; Tarassovaa, O.; Roséna, J.S.; Zakariaa, P.; Arndta, A. Three dimensional kinematic analysis and power output of elite flat-water kayakers. Sports Biomech. 2014, 17, 414–427. [Google Scholar] [CrossRef] [PubMed]
- Lum, D.; Aziz, A.R. Relationship between isometric force-time characteristics and sprint kayaking performance. Int. J. Sports Physiol. Perform. 2020. [Google Scholar] [CrossRef] [PubMed]
- Nilsson, J.E.; Rosdahl, H.G. Contribution of leg-muscle forces to paddle force and kayak speed during maximal-effort flat-water paddling. Int. J. Sports Physiol. Perform. 2016, 11, 22–27. [Google Scholar] [CrossRef]
- Burgess, K.E.; Connick, M.J.; Graham-Smith, P.; Pearson, S.J. Plyometric vs isometric training influences on tendon properties and muscle output. J. Strength Cond. Res. 2007, 21, 986–989. [Google Scholar] [CrossRef]
- Folland, J.P.; Hawker, K.; Leach, B.; Little, T.; Jones, D.A. Strength training: Isometric training at a range of joint angles versus dynamic training. J. Sports Sci. 2005, 23, 817–824. [Google Scholar] [CrossRef]
- Kubo, K.; Ishigaki, T.; Ikebukuro, T. Effects of plyometric and isometric training on muscle and tendon stiffness in vivo. Physiol. Rep. 2017, 5, 1–13. [Google Scholar] [CrossRef]
- Lum, D.; Barbosa, T.M. Brief review: Effects of isometric strength training on strength and dynamic performance. Int. J. Sports Med. 2019, 40, 363–375. [Google Scholar] [CrossRef]
- Lum, D.; Joseph, R. Relationship between isometric force-time characteristics and dynamic performance pre- and post-training. J. Sports Med. Phys. Fit. 2019, 60, 520–526. [Google Scholar]
- Oranchuk, D.J.; Storey, A.G.; Nelson, A.R.; Cronin, J.B. Isometric training and long-term adaptations: Effects of muscle length, intensity, and intent: A systematic review. Scand. J. Med. Sci. Sports 2019, 29, 484–503. [Google Scholar] [CrossRef] [PubMed]
- Kordi, M.; Folland, J.P.; Goodall, S.; Menzies, C.; Patel, T.S.; Evans, M.; Thomas, K.; Howatson, G. Cycling-specific isometric resistance training improves peak power output in elite sprint cyclists. Scand. J. Med. Sci. Sports 2020, 30, 1594–1604. [Google Scholar] [CrossRef] [PubMed]
- Lee, S.E.K.; de Lira, C.A.B.; Nouailhetas, V.L.A.; Vancini, R.L.; Andrade, M.S. Do isometric, isotonic and/or isokinetric strength trainings produce different strength outcomes? J. Bodyw. Move Ther. 2018, 22, 430–437. [Google Scholar] [CrossRef] [PubMed]
- Morrissey, M.C.; Harman, E.A.; Johnson, M.J. Resistance training modes: Specificity and effectiveness. Med. Sci. Sports Exerc. 1995, 27, 648–660. [Google Scholar] [CrossRef]
- Pavone, E.; Moffat, M. Isometric torque of the quadriceps femoris after concentric, eccentric and isometric training. Arch. Phys. Med. Rehab. 1985, 66, 168–170. [Google Scholar]
- Uali, I.; Herrero, A.J.; Garatachea, N.; Marin, P.J.; Alvear-Ordenes, I.; Garcia-Lopez, D. Maximal strength on different resistance training rowing exercises predicts start phase performance in elite kaykers. J. Strength Cond. Res. 2012, 26, 941–946. [Google Scholar] [CrossRef]
- van Someren, K.A.; Howatson, G. Prediction of flatwater kayaking performance. Int. J. Sports Physiol. Perform. 2008, 3, 207–218. [Google Scholar] [CrossRef]
- Dos’ Santos, T.; Jones, P.A.; Kelly, J.; McMahon, J.J.; Comfort, C.; Thomas, C. Effect of sampling frequency on isometric midthigh-pull kinetics. Int. J. Sports Physiol. Perform. 2019, 14, 525–530. [Google Scholar] [CrossRef]
- James, L.P.; Roberts, L.A.; Haff, G.G.; Kelly, V.G.; Beckman, E.M. Validity and reliability of a portable isometric mid-thigh clean pull. J. Strength Cond. Res. 2017, 31, 1378–1386. [Google Scholar] [CrossRef]
- Lum, D.; Barbosa, T.M.; Joseph, R.; Balasekaran, G. Effects of two isometric strength training methods on jump and sprint performances: A randomized controlled trial. J. Sci. Sport Exerc. 2020. accepted. [Google Scholar]
- Cortina, J. What is coefficient alpha? An examination of theory and applications. J. Appl. Psychol. 1993, 78, 98–104. [Google Scholar] [CrossRef]
- Peterson, M.D.; Rhea, M.R.; Alvar, B.A. Applications of the dose-response for muscular strength development: A review of meta-analytic eficacy and reliability for designing training. J. Strength Cond. Res. 2005, 19, 950–958. [Google Scholar] [CrossRef] [PubMed]
- Kraemer, W.J.; Ratamess, N.A. Fundamentals of resistance training: Progression and exercise prescription. Med. Sci. Sports Exerc. 2004, 36, 674–688. [Google Scholar] [CrossRef]
- Trevithick, B.A.; Ginn, K.A.; Halaki, M.; Balnave, R. Shoulder muscle recruitment patterns during a kayak stroke performed on a paddling ergometer. J. Electromyogr. Kinesiol. 2007, 17, 74–79. [Google Scholar] [CrossRef] [PubMed]
- Logan, S.M.; Holt, L.E. Sports performance series: The flatwater kayak stroke. Strength Cond. J. 1985, 7, 4–11. [Google Scholar] [CrossRef]
- Lum, D.; Aziz, L. Validity and reliability of the isometric prone bench pull test. Int. J. Sports Med. 2020, 41, 520–527. [Google Scholar] [CrossRef]
- Balshaw, T.; Massey, G.J.; Maden-Wilkinson, T.M.; Tillin, N.A.; Folland, J.P. Training-specific functional, neural, and hypertrophic adaptations to explosive- vs. sustained-contraction strength training. J. Appl. Physiol. 2016, 120, 1364–1373. [Google Scholar] [CrossRef]
- Behm, D.G.; Sale, D.G. Intended rather than actua movement velocity determines velocity-specific training response. J. Appl. Physiol. 1993, 74, 359–368. [Google Scholar] [CrossRef]
- Tillin, N.A.; Folland, J.P. Maximal and explosive strength training elicit distinct neuromuscular adaptations, specific to the training stimulus. Eur. J. Appl. Physiol. 2014, 114, 365–374. [Google Scholar] [CrossRef]
Publisher’s Note: MDPI stays neutral with regard to jurisdictional claims in published maps and institutional affiliations. |
© 2021 by the authors. Licensee MDPI, Basel, Switzerland. This article is an open access article distributed under the terms and conditions of the Creative Commons Attribution (CC BY) license (http://creativecommons.org/licenses/by/4.0/).




