Sprint Kayaking Performance Enhancement by Isometric Strength Training Inclusion: A Randomized Controlled Trial
Abstract
1. Introduction
2. Materials and Methods
2.1. Participants
2.2. Experimental Approach to the Problem
2.3. Testing Sessions
2.4. Training Program
2.5. Statistical Analysis
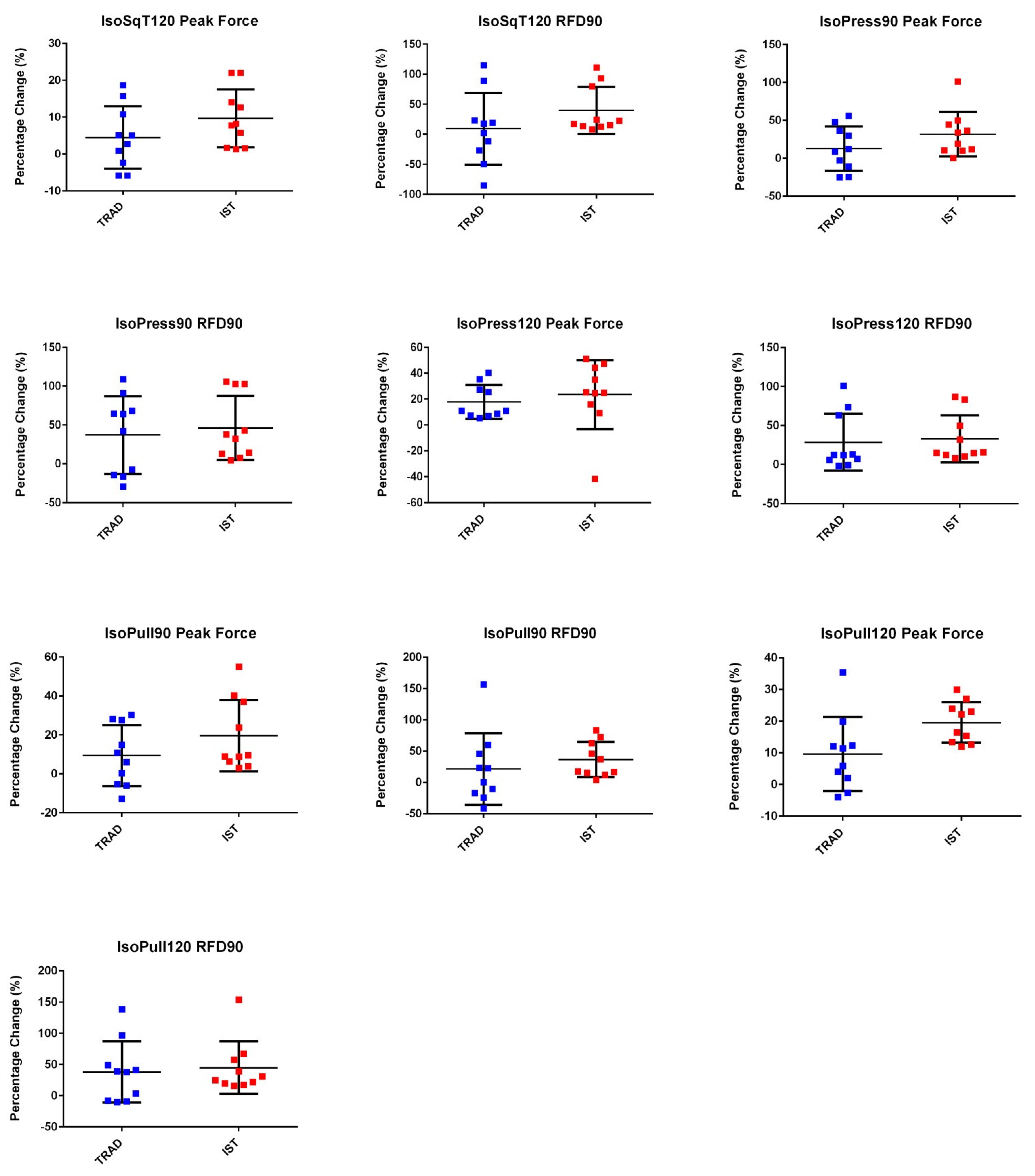
3. Results
3.1. Reliability of the Measures
3.2. Time X Group Interactions
3.3. Time Main and Simple Effects
3.4. Group Main Effects
3.5. Correlation Analysis
4. Discussion
5. Conclusions
Author Contributions
Funding
Institutional Review Board Statement
Informed Consent Statement
Data Availability Statement
Acknowledgments
Conflicts of Interest
Appendix A
| ICC | 95%CI | %TE | |
|---|---|---|---|
| 200mTT | 0.99 | 0.98–0.99 | 3.0 |
| IsoSqT90 Peak Force | 0.93 | 0.88–0.95 | 5.1 |
| IsoSqT90 RFD90 | 0.84 | 0.73–0.88 | 8.9 |
| IsoSqT120 Peak Force | 0.95 | 0.90–0.97 | 4.9 |
| IsoSqT120 RFD90 | 0.87 | 0.72–0.88 | 8.5 |
| IsoPress90 Peak Force | 0.99 | 0.97–0.99 | 3.6 |
| IsoPress90 RFD90 | 0.97 | 0.93–0.98 | 7.6 |
| IsoPress120 Peak Force | 0.97 | 0.94–0.98 | 4.0 |
| IsoPress120 RFD90 | 0.97 | 0.90–0.98 | 7.4 |
| IsoPull90 Peak Force | 0.98 | 0.93–0.99 | 3.4 |
| IsoPull90 RFD90 | 0.97 | 0.90–0.98 | 7.9 |
| IsoPull120 Peak Force | 0.99 | 0.98–0.99 | 3.8 |
| IsoPull120 RFD90 | 0.91 | 0.88–0.93 | 7.6 |
| IsoSqT90 PF | IsoSqT90 RFD90 | IsoSqT120 PF | IsoSqT120 RFD90 | IsoPress90 PF | IsoPress90 RFD90 | IsoPress120 PF | IsoPress120 RFD90 | IsoPull 90 PF | IsoPull 90 RFD90 | Isopull 120 PF | IsoPull 120 RFD90 | |
|---|---|---|---|---|---|---|---|---|---|---|---|---|
| Mean Power | 0.509 * | 0.246 | 0.340 | 0.117 | 0.333 | 0.339 | 0.013 | 0.152 | 0.325 | 0.316 | 0.522 * | 0.283 |
| 95%CI | 0.09; 0.78 | −0.22; 0.62 | −0.12; 0.68 | −0.34; 0.53 | −0.13; 0.68 | −0.12; 0.68 | −0.43; 0.45 | −0.31; 0.56 | −0.14; 0.67 | −0.142; 0.67 | 010; 0.78 | −0.18; 0.64 |
| p | 0.022 | 0.296 | 0.143 | 0.622 | 0.152 | 0.144 | 0.956 | 0.521 | 0.161 | 0.174 | 0.018 | 0.227 |
References
- Garcia-Pallares, J.; Sanchez-Medina, L.; Carrasco, L.; Diaz, A.; Izquierdo, M. Endurance and neuromuscular changes in world-class level kayakers during a periodized training cycle. Eur. J. Appl. Physiol. 2009, 106, 629–638. [Google Scholar] [CrossRef] [PubMed]
- Liow, D.K.; Hopkins, W.G. Velocity specificity of weight training for kayak sprint performance. Med. Sci. Sports Exerc. 2013, 35, 1232–1237. [Google Scholar] [CrossRef] [PubMed]
- McKean, M.R.; Burkett, B. The Influence of Upper-Body Strength on Flat-Water Sprint Kayak Performance in Elite Athletes. Int. J. Sports Physiol. Perform. 2014, 9, 707–714. [Google Scholar] [CrossRef] [PubMed]
- Bjerkeforsa, A.; Tarassovaa, O.; Roséna, J.S.; Zakariaa, P.; Arndta, A. Three dimensional kinematic analysis and power output of elite flat-water kayakers. Sports Biomech. 2014, 17, 414–427. [Google Scholar] [CrossRef] [PubMed]
- Lum, D.; Aziz, A.R. Relationship between isometric force-time characteristics and sprint kayaking performance. Int. J. Sports Physiol. Perform. 2020. [Google Scholar] [CrossRef] [PubMed]
- Nilsson, J.E.; Rosdahl, H.G. Contribution of leg-muscle forces to paddle force and kayak speed during maximal-effort flat-water paddling. Int. J. Sports Physiol. Perform. 2016, 11, 22–27. [Google Scholar] [CrossRef]
- Burgess, K.E.; Connick, M.J.; Graham-Smith, P.; Pearson, S.J. Plyometric vs isometric training influences on tendon properties and muscle output. J. Strength Cond. Res. 2007, 21, 986–989. [Google Scholar] [CrossRef]
- Folland, J.P.; Hawker, K.; Leach, B.; Little, T.; Jones, D.A. Strength training: Isometric training at a range of joint angles versus dynamic training. J. Sports Sci. 2005, 23, 817–824. [Google Scholar] [CrossRef]
- Kubo, K.; Ishigaki, T.; Ikebukuro, T. Effects of plyometric and isometric training on muscle and tendon stiffness in vivo. Physiol. Rep. 2017, 5, 1–13. [Google Scholar] [CrossRef]
- Lum, D.; Barbosa, T.M. Brief review: Effects of isometric strength training on strength and dynamic performance. Int. J. Sports Med. 2019, 40, 363–375. [Google Scholar] [CrossRef]
- Lum, D.; Joseph, R. Relationship between isometric force-time characteristics and dynamic performance pre- and post-training. J. Sports Med. Phys. Fit. 2019, 60, 520–526. [Google Scholar]
- Oranchuk, D.J.; Storey, A.G.; Nelson, A.R.; Cronin, J.B. Isometric training and long-term adaptations: Effects of muscle length, intensity, and intent: A systematic review. Scand. J. Med. Sci. Sports 2019, 29, 484–503. [Google Scholar] [CrossRef] [PubMed]
- Kordi, M.; Folland, J.P.; Goodall, S.; Menzies, C.; Patel, T.S.; Evans, M.; Thomas, K.; Howatson, G. Cycling-specific isometric resistance training improves peak power output in elite sprint cyclists. Scand. J. Med. Sci. Sports 2020, 30, 1594–1604. [Google Scholar] [CrossRef] [PubMed]
- Lee, S.E.K.; de Lira, C.A.B.; Nouailhetas, V.L.A.; Vancini, R.L.; Andrade, M.S. Do isometric, isotonic and/or isokinetric strength trainings produce different strength outcomes? J. Bodyw. Move Ther. 2018, 22, 430–437. [Google Scholar] [CrossRef] [PubMed]
- Morrissey, M.C.; Harman, E.A.; Johnson, M.J. Resistance training modes: Specificity and effectiveness. Med. Sci. Sports Exerc. 1995, 27, 648–660. [Google Scholar] [CrossRef]
- Pavone, E.; Moffat, M. Isometric torque of the quadriceps femoris after concentric, eccentric and isometric training. Arch. Phys. Med. Rehab. 1985, 66, 168–170. [Google Scholar]
- Uali, I.; Herrero, A.J.; Garatachea, N.; Marin, P.J.; Alvear-Ordenes, I.; Garcia-Lopez, D. Maximal strength on different resistance training rowing exercises predicts start phase performance in elite kaykers. J. Strength Cond. Res. 2012, 26, 941–946. [Google Scholar] [CrossRef]
- van Someren, K.A.; Howatson, G. Prediction of flatwater kayaking performance. Int. J. Sports Physiol. Perform. 2008, 3, 207–218. [Google Scholar] [CrossRef]
- Dos’ Santos, T.; Jones, P.A.; Kelly, J.; McMahon, J.J.; Comfort, C.; Thomas, C. Effect of sampling frequency on isometric midthigh-pull kinetics. Int. J. Sports Physiol. Perform. 2019, 14, 525–530. [Google Scholar] [CrossRef]
- James, L.P.; Roberts, L.A.; Haff, G.G.; Kelly, V.G.; Beckman, E.M. Validity and reliability of a portable isometric mid-thigh clean pull. J. Strength Cond. Res. 2017, 31, 1378–1386. [Google Scholar] [CrossRef]
- Lum, D.; Barbosa, T.M.; Joseph, R.; Balasekaran, G. Effects of two isometric strength training methods on jump and sprint performances: A randomized controlled trial. J. Sci. Sport Exerc. 2020. accepted. [Google Scholar]
- Cortina, J. What is coefficient alpha? An examination of theory and applications. J. Appl. Psychol. 1993, 78, 98–104. [Google Scholar] [CrossRef]
- Peterson, M.D.; Rhea, M.R.; Alvar, B.A. Applications of the dose-response for muscular strength development: A review of meta-analytic eficacy and reliability for designing training. J. Strength Cond. Res. 2005, 19, 950–958. [Google Scholar] [CrossRef] [PubMed]
- Kraemer, W.J.; Ratamess, N.A. Fundamentals of resistance training: Progression and exercise prescription. Med. Sci. Sports Exerc. 2004, 36, 674–688. [Google Scholar] [CrossRef]
- Trevithick, B.A.; Ginn, K.A.; Halaki, M.; Balnave, R. Shoulder muscle recruitment patterns during a kayak stroke performed on a paddling ergometer. J. Electromyogr. Kinesiol. 2007, 17, 74–79. [Google Scholar] [CrossRef] [PubMed]
- Logan, S.M.; Holt, L.E. Sports performance series: The flatwater kayak stroke. Strength Cond. J. 1985, 7, 4–11. [Google Scholar] [CrossRef]
- Lum, D.; Aziz, L. Validity and reliability of the isometric prone bench pull test. Int. J. Sports Med. 2020, 41, 520–527. [Google Scholar] [CrossRef]
- Balshaw, T.; Massey, G.J.; Maden-Wilkinson, T.M.; Tillin, N.A.; Folland, J.P. Training-specific functional, neural, and hypertrophic adaptations to explosive- vs. sustained-contraction strength training. J. Appl. Physiol. 2016, 120, 1364–1373. [Google Scholar] [CrossRef]
- Behm, D.G.; Sale, D.G. Intended rather than actua movement velocity determines velocity-specific training response. J. Appl. Physiol. 1993, 74, 359–368. [Google Scholar] [CrossRef]
- Tillin, N.A.; Folland, J.P. Maximal and explosive strength training elicit distinct neuromuscular adaptations, specific to the training stimulus. Eur. J. Appl. Physiol. 2014, 114, 365–374. [Google Scholar] [CrossRef]





| Exercises | Sets × Repetitions | |||||
|---|---|---|---|---|---|---|
| TRAD | Week 1 | Week 2 | Week 3 | Week 4 | Week5 | Week 6 |
| Back Squat | 4 × 8 | 4 × 8 | 4 × 6 | 4 × 6 | 4 × 4 | 2 × 4 |
| Bench pull | 4 × 8 | 4 × 8 | 4 × 6 | 4 × 6 | 4 × 4 | 2 × 4 |
| Bench Press | 4 × 8 | 4 × 8 | 4 × 6 | 4 × 6 | 4 × 4 | 2 × 4 |
| Weighted pull up | 4 × 8 | 4 × 8 | 4 × 6 | 4 × 6 | 4 × 4 | 2 × 4 |
| Dumbbell shoulder press | 4 × 8 | 4 × 8 | 4 × 6 | 4 × 6 | 4 × 4 | 2 × 4 |
| Single arm seated row | 4 × 8 | 4 × 8 | 4 × 6 | 4 × 6 | 4 × 4 | 2 × 4 |
| IST | ||||||
| Back Squat | 2 × 8 | 2 × 8 | 2 × 6 | 2 × 6 | 2 × 4 | 1 × 4 |
| Isometric squat at 90° knee angle | 2 × 5 | 2 × 5 | 2 × 5 | 2 × 5 | 2 × 5 | 1 × 5 |
| Bench pull | 2 × 8 | 2 × 8 | 2 × 6 | 2 × 6 | 2 × 4 | 1 × 4 |
| Isometric bench pull at 120° elbow angle | 2 × 5 | 2 × 5 | 2 × 5 | 2 × 5 | 2 × 5 | 1 × 5 |
| Bench Press | 2 × 8 | 2 × 8 | 2 × 6 | 2 × 6 | 2 × 4 | 1 × 4 |
| Isometric bench press at 90° elbow angle | 2 × 5 | 2 × 5 | 2 × 5 | 2 × 5 | 2 × 5 | 1 × 5 |
| Weighted pull up | 4 × 8 | 4 × 8 | 4 × 6 | 4 × 6 | 4 × 4 | 2 × 4 |
| Dumbbell shoulder press | 4 × 8 | 4 × 8 | 4 × 6 | 4 × 6 | 4 × 4 | 2 × 4 |
| Single arm seated row | 4 × 8 | 4 × 8 | 4 × 6 | 4 × 6 | 4 × 4 | 2 × 4 |
| Mean Power (W) | IsoSqT 90 PF (N) | IsoSqT 120 PF (N) | IsoPress90 PF (N) | IsoPress 120 PF (N) | IsoPull 90 PF (N) | IsoPull 120 PF (N) | ||
|---|---|---|---|---|---|---|---|---|
| TRD | Pre | 220.8 (71.0) | 1699.1 (442.7) | 2471.4 (848.3) | 662.4 (198.9) | 1071.3 (260.8) | 644.2 (177.9) | 906.4 (242.0) |
| Post | 233.6 (71.6) | 1737.2 (432.6) | 2552.7 (831.7) | 722.2 (225.9) | 1245.7 (254.4) | 704.9 (221.2) | 986.7 (254.9) | |
| 95% CI | −25.2; −1.8 | −156.4; 80.2 | −214.6; 52.0 | −193.8; 74.2 | −257.4; −91.4 | −134.1; 12.7 | −146.0; −14.6 | |
| p | 0.028 | 0.485 | 0.201 | 0.339 | 0.001 | 0.094 | 0.022 | |
| d | 0.18 | 0.09 | 0.09 | 0.28 | 0.68 | 0.30 | 0.32 | |
| IST | Pre | 223.7 (66.9) | 1974.8 (289.9) | 2758.8 (421.0) | 710.3 (247.3) | 1213.2 (286.3) | 680.7 (120.0) | 1023.3 (238.1) |
| Post | 254.7 (69.8) | 2201.2 (302.0) | 3007.0 (610.3) | 916.4 (286.9) | 1484.4 (446.0) | 807.0 (155.6) | 1218.9 (273.8) | |
| 95% CI | −42.6; −19.5 | −276.2; −176.6 | −540.9; 44.3 | −327.7; −84.5 | −497.1; −45.3 | −210.3; −42.3 | −246.1; −145.1 | |
| p | <0.001 | <0.001 | 0.087 | 0.004 | 0.024 | 0.008 | <0.001 | |
| d | 0.45 | 0.76 | 1.04 | 0.77 | 0.72 | 0.90 | 0.76 | |
| Time × Group Interaction | F | 5.81 | 11.02 | 1.38 | 11.047 | 0.828 | 1.77 | 9.91 |
| p | 0.027 | 0.004 | 0.255 | 0.004 | 0.375 | 0.200 | 0.006 | |
| η2 p | 0.24 | 0.38 | 0.07 | 0.38 | 0.04 | 0.09 | 0.36 | |
| Time Main Effect | F | 37.50 | 21.74 | 5.38 | 11.05 | 17.55 | 14.39 | 56.73 |
| p | <0.001 | <0.001 | 0.032 | 0.004 | 0.001 | 0.001 | <0.001 | |
| η2 p | 0.68 | 0.55 | 0.23 | 0.16 | 0.49 | 0.44 | 0.76 | |
| Group Main Effect | F | 0.16 | 5.04 | 1.48 | 1.45 | 2.029 | 0.90 | 2.45 |
| p | 0.695 | 0.037 | 0.24 | 0.244 | 0.171 | 0.356 | 0.135 | |
| η2 p | 0.01 | 0.22 | 0.08 | 0.075 | 0.10 | 0.05 | 0.12 |
| IsoSqT90 RFD90 (N·s−1) | IsoSqT120 RFD90 (N·s−1) | IsoPress90 RFD90 (N·s−1) | IsoPress120 RFD90 (N·s−1) | IsoPull90 RFD90 (N·s−1) | IsoPull120 RFD90 (N·s−1) | ||
|---|---|---|---|---|---|---|---|
| TRAD | Pre | 2692.3 (1689.1) | 3048.4 (1844.2) | 3017.9 (1821.0) | 4557.0 (2282.0) | 3799.5 (1184.7) | 3655.4 (2533.4) |
| Post | 2586.9 (891.6) | 2813.8 (1027.2) | 3967.0 (2299.5) | 5487.5 (2615.7) | 4275.9 (1274.4) | 4456.0 (2291.2) | |
| 95% CI | −838.4; 1049.2 | −920.0; 1389.2 | −1890.1; 391.9 | −1852.2; −8.79 | −1523.3; 570.5 | −1706.4; 105.2 | |
| p | 0.806 | 0.657 | 0.172 | 0.048 | 0.330 | 0.077 | |
| d | 0.08 | 0.16 | 0.46 | 0.38 | 0.39 | 0.33 | |
| IST | Pre | 3067.8 (1509.0) | 4962.5 (2403.6) | 4054.3 (2339.8) | 6242.6 (2548.1) | 4656.0 (1999.9) | 6856.7 (2934.6) |
| Post | 4620.0 (2139.6) | 6296.8 (2298.1) | 5695.9 (2733.2) | 8134.9 (3129.4) | 6045.7 (2139.9) | 9171.6 (2816.9) | |
| 95% CI | −2550.1; −554.3 | −1988.6; −680.0 | −2654.8; −628.4 | −3160.2; −624.4 | −2131.2; −648.2 | −3139.4; −1490.4 | |
| p | 0.007 | <0.001 | 0.005 | 0.008 | 0.002 | <0.001 | |
| d | 0.84 | 0.57 | 0.65 | 0.66 | 0.67 | 0.80 | |
| Time × Group Interaction | F | 7.45 | 0.715 | 1.59 | 1.93 | 2.59 | 7.82 |
| p | 0.14 | 0.015 | 0.224 | 0.182 | 0.125 | 0.012 | |
| η2p | 0.29 | 0.28 | 0.08 | 0.10 | 0.13 | 0.30 | |
| Time Main Effect | F | 5.68 | 3.51 | 0.03 | 16.60 | 10.83 | 33.11 |
| p | 0.028 | 0.077 | 0.867 | 0.001 | 0.004 | <0.001 | |
| η2p | 0.24 | 0.16 | 0.002 | 0.48 | 0.38 | 0.65 | |
| Group Main Effect | F | 3.35 | 10.56 | 4.27 | 3.62 | 3.45 | 11.72 |
| p | 0.084 | 0.004 | 0.053 | 0.073 | 0.080 | 0.003 | |
| η2p | 0.16 | 0.37 | 0.19 | 0.17 | 0.16 | 0.39 |
Publisher’s Note: MDPI stays neutral with regard to jurisdictional claims in published maps and institutional affiliations. |
© 2021 by the authors. Licensee MDPI, Basel, Switzerland. This article is an open access article distributed under the terms and conditions of the Creative Commons Attribution (CC BY) license (http://creativecommons.org/licenses/by/4.0/).
Share and Cite
Lum, D.; Barbosa, T.M.; Balasekaran, G. Sprint Kayaking Performance Enhancement by Isometric Strength Training Inclusion: A Randomized Controlled Trial. Sports 2021, 9, 16. https://doi.org/10.3390/sports9020016
Lum D, Barbosa TM, Balasekaran G. Sprint Kayaking Performance Enhancement by Isometric Strength Training Inclusion: A Randomized Controlled Trial. Sports. 2021; 9(2):16. https://doi.org/10.3390/sports9020016
Chicago/Turabian StyleLum, Danny, Tiago M. Barbosa, and Govindasamy Balasekaran. 2021. "Sprint Kayaking Performance Enhancement by Isometric Strength Training Inclusion: A Randomized Controlled Trial" Sports 9, no. 2: 16. https://doi.org/10.3390/sports9020016
APA StyleLum, D., Barbosa, T. M., & Balasekaran, G. (2021). Sprint Kayaking Performance Enhancement by Isometric Strength Training Inclusion: A Randomized Controlled Trial. Sports, 9(2), 16. https://doi.org/10.3390/sports9020016

