Energy Consumption of Water Running and Cycling at Four Exercise Intensities
Abstract
1. Introduction
2. Materials and Methods
2.1. Subjects
2.2. Procedure
2.3. Maximal Test
2.4. Water Tests
2.5. Data Analysis
2.6. Statistical Analysis
3. Results
4. Discussion
Author Contributions
Funding
Institutional Review Board Statement
Informed Consent Statement
Conflicts of Interest
References
- Haff, G.G. Aquatic Cross Training for Athletes: Part I. Strength Cond. J. 2008, 30, 18–26. [Google Scholar] [CrossRef]
- Nagle, E.F.; Sanders, M.E.; Shafer, A.; Gibbs, B.B.; Nagle, J.A.; Deldin, A.R.; Franklin, B.A.; Robertson, R.J. Energy Expenditure, Cardiorespiratory, and Perceptual Responses to Shallow-Water Aquatic Exercise in Young Adult Women. Physician Sportsmed. 2013, 41, 67–76. [Google Scholar] [CrossRef] [PubMed]
- Silva, M.F.; Dias, J.M.; Dela Bela, L.F.; Pelegrinelli, A.R.M.; Lima, T.B.; da Silva Carvalho, R.G.; Taglietti, M.; Batista Júnior, J.P.; Facci, L.M.; McVeigh, J.G.; et al. A Review on Muscle Activation Behaviour during Gait in Shallow Water and Deep-Water Running and Surface Electromyography Procedures. J. Bodyw. Mov. Ther. 2020, 24, 432–441. [Google Scholar] [CrossRef] [PubMed]
- D’Acquisto, L.J.; Miller, L.J.; D’Acquisto, D.M.; Roemer, K.; Fisher, M.G. Physiological and Psychophysical Aspects of Shallow Water Exercise. IJARE 2015, 9, 5. [Google Scholar] [CrossRef][Green Version]
- Colado, J.C.; Triplett, N.T.; Tella, V.; Saucedo, P.; Abellán, J. Effects of Aquatic Resistance Training on Health and Fitness in Postmenopausal Women. Eur. J. Appl. Physiol. 2009, 106, 113–122. [Google Scholar] [CrossRef]
- Cadmus, L.; Patrick, M.B.; Maciejewski, M.L.; Topolski, T.; Belza, B.; Patrick, D.L. Community-Based Aquatic Exercise and Quality of Life in Persons with Osteoarthritis. Med. Sci. Sports Exerc. 2010, 42, 8–15. [Google Scholar] [CrossRef]
- Benelli, P.; Ditroilo, M.; De Vito, G. Physiological responses to fitness activities: Acomparison between land-based and water aerobics exercise. J. Strength Cond. Res. 2004, 18, 719–722. [Google Scholar] [CrossRef]
- Pendergast, D.R.; Moon, R.E.; Krasney, J.J.; Held, H.E.; Zamparo, P. Human Physiology in an Aquatic Environment. In Comprehensive Physiology; Terjung, R., Ed.; Wiley: Hoboken, NJ, USA, 2015; pp. 1705–1750. ISBN 978-0-470-65071-4. [Google Scholar]
- Foster, C.; Rodriguez-Marroyo, J.A.; de Koning, J.J. Monitoring Training Loads: The Past, the Present, and the Future. Int. J. Sports Physiol. Perform. 2017, 12, S2-2–S2-8. [Google Scholar] [CrossRef]
- Zera, J.; Nagle, E.; Gibbs, B.; Abt, J.; Jakicic, J. Energy Cost of Land and Shallow Water Walking in Females Who Are Overweight and Obese. IJARE 2019, 12, 8. [Google Scholar] [CrossRef][Green Version]
- McDaniel, B.B.; Naquin, M.R.; Sirikul, B.; Kraemer, R.R. Five Weeks of Aquatic-Calisthenic High Intensity Interval Training Improves Cardiorespiratory Fitness and Body Composition in Sedentary Young Adults. J. Sports Sci. Med. 2020, 19, 187. [Google Scholar]
- ACSM, American College of Sports Medicine. ACSM’s Guidelines for Exercise Testing and Prescription, 11th ed.; Wolters Kluwer: Alphen aan den Rijn, The Netherlands, 2021; ISBN 9781975150198. [Google Scholar]
- Bouchard, C.; Godbout, P.; Mondor, J.-C.; Leblanc, C. Specificity of Maximal Aerobic Power. Europ. J. Appl. Physiol. 1979, 40, 85–93. [Google Scholar] [CrossRef] [PubMed]
- Stromme, S.B.; Ingjer, F.; Meen, H.D. Assessment of Maximal Aerobic Power in Specifically Trained Athletes. J. Appl. Physiol. 1977, 42, 833–837. [Google Scholar] [CrossRef] [PubMed]
- Killgore, G.L. Deep-Water Running: A Practical Review of the Literature with an Emphasis on Biomechanics. Physician Sportsmed. 2012, 40, 116–126. [Google Scholar] [CrossRef]
- Barela, A.M.F.; Duarte, M. Biomechanical Characteristics of Elderly Individuals Walking on Land and in Water. J. Electromyogr. Kinesiol. 2008, 18, 446–454. [Google Scholar] [CrossRef]
- Ogonowska-Slodownik, A.; Richley Geigle, P.; Morgulec-Adamowicz, N. Head-Out Water-Based Protocols to Assess Cardiorespiratory Fitness—Systematic Review. IJERPH 2020, 17, 7215. [Google Scholar] [CrossRef] [PubMed]
- Minganti, C.; Demarie, S.; Comotto, S.; Meeusen, R.; Piacentini, M.F. Evaluation of Critical Swimming Velocity in Young Amateur Swimmers. Sport Sci. Health 2012, 7, 87–91. [Google Scholar] [CrossRef]
- Chirico, E.; Tessitore, A.; Demarie, S. Physiological Swimming Test for Water Polo Players in the Last Twenty Years: A Systematic Review. J. Sports Med. Phys. Fit. 2021. [Google Scholar] [CrossRef]
- Demarie, S.; Chirico, E.; Gianfelici, A.; Vannozzi, G. Anaerobic Capacity Assessment in Elite Swimmers through Inertial Sensors. Physiol. Meas. 2019, 40, 064003. [Google Scholar] [CrossRef]
- Raffaelli, C.; Lanza, M.; Zanolla, L.; Zamparo, P. Exercise Intensity of Head-out Water-Based Activities (Water Fitness). Eur. J. Appl. Physiol. 2010, 109, 829–838. [Google Scholar] [CrossRef]
- Colado, J.C.; Tella, V.; Triplett, N.T. A Method for Monitoring Intensity During Aquatic Resistance Exercises. J. Strength Cond. Res. 2008, 22, 2045–2049. [Google Scholar] [CrossRef]
- Miyoshi, T.; Shirota, T.; Yamamoto, S.-I.; Nakazawa, K.; Akai, M. Functional Roles of Lower-Limb Joint Moments While Walking in Water. Clin. Biomech. 2005, 20, 194–201. [Google Scholar] [CrossRef] [PubMed]
- Masumoto, K.; Shono, T.; Hotta, N.; Fujishima, K. Muscle Activation, Cardiorespiratory Response, and Rating of Perceived Exertion in Older Subjects While Walking in Water and on Dry Land. J. Electromyogr. Kinesiol. 2008, 18, 581–590. [Google Scholar] [CrossRef] [PubMed]
- Verstappen, F.; Huppertz, R.; Snoeckx, L.H. Effect of Training Specificity on Maximal Treadmill and Bicycle Ergometer Exercise. Int. J. Sports Med. 1982, 3, 43–46. [Google Scholar] [CrossRef] [PubMed]
- Colado, J.C.; Borreani, S.; Pinto, S.S.; Tella, V.; Martin, F.; Flandez, J.; Kruel, L.F. Neuromuscular Responses During Aquatic Resistance Exercise With Different Devices and Depths. J. Strength Cond. Res. 2013, 27, 3384–3390. [Google Scholar] [CrossRef]
- Galvani, C.; Bruseghini, P.; Annoni, I.; Demarie, S.; Salvati, A.; Faina, M. Excess Post-Exercise Oxygen Consumption after Different Moderate Physical Activities in a Healthy Female Population. Med. Dello Sport 2013, 66, 17. [Google Scholar]
- Tiberi, M. Energy Cost of Water Running in Shallow and Deep Water. Act. Scie. Ortho. 2021, 4, 81–86. [Google Scholar] [CrossRef]
- Giacomini, F.; Ditroilo, M.; Lucertini, F.; De Vito, G.; Gatta, G.; Benelli, P. The cardiovascular response to underwater pedaling at different intensities: A comparison of 4 different water stationary bikes. J. Sports Med. Phys. Fit. 2009, 49, 432–439. [Google Scholar]
- Jamnick, N.A.; Pettitt, R.W.; Granata, C.; Pyne, D.B.; Bishop, D.J. An Examination and Critique of Current Methods to Determine Exercise Intensity. Sports Med. 2020, 50, 1729–1756. [Google Scholar] [CrossRef]
- Rodriguez, E. Maximal oxygen uptake and cardiorespiratory response to maximal 400-m free swimming. J. Sports Med. Phys. Fit. 2000, 40, 87–95. [Google Scholar]
- Sousa, A.; Figueiredo, P.; Pendergast, D.; Kjendlie, P.-L.; Vilas-Boas, J.P.; Fernandes, R.J. Critical Evaluation of Oxygen-Uptake Assessment in Swimming. Int. J. Sports Physiol. Perform. 2014, 9, 190–202. [Google Scholar] [CrossRef]
- Vanhatalo, A.; Jones, A.M.; Burnley, M. Application of Critical Power in Sport. Int. J. Sports Physiol. Perform. 2011, 6, 128–136. [Google Scholar] [CrossRef] [PubMed]
- di Prampero, P.E.; Dekerle, J.; Capelli, C.; Zamparo, P. The Critical Velocity in Swimming. Eur. J. Appl. Physiol. 2008, 102, 165–171. [Google Scholar] [CrossRef] [PubMed]
- Barker, T.; Poole, D.C.; Noble, M.L.; Barstow, T.J. Human Critical Power-Oxygen Uptake Relationship at Different Pedalling Frequencies: Critical Power-Oxygen Uptake Relationship. Exp. Physiol. 2006, 91, 621–632. [Google Scholar] [CrossRef] [PubMed]


| 30 cpm | 40 cpm | 50 cpm | 60 cpm | ||
|---|---|---|---|---|---|
| HR (bpm) | HB | 115 ± 12 | 140 ± 15 | 170 ± 19 *** | 188 ± 18 *** |
| RC | 110 ± 13 | 134 ± 15 | 149 ± 18 ** | 166 ± 17 ** | |
| RS | 103 ± 6 * | 123 ± 11 * | 138 ± 8 * | 149 ± 188 * | |
| VO2 (mL·kg−1·min−1) | HB | 24.8 ± 3.2 | 28.1 ± 3.5 | 34.8 ± 3.4 *** | 38.1 ± 3.6 *** |
| RC | 23.8 ± 2.2 | 26.5 ± 2.5 ** | 30.3 ± 2.6 ** | 33.7 ± 2.9 ** | |
| RS | 22.0 ± 2.0 * | 25.3 ± 3.3 * | 28.7 ± 3.3 * | 32.6 ± 3.5 * | |
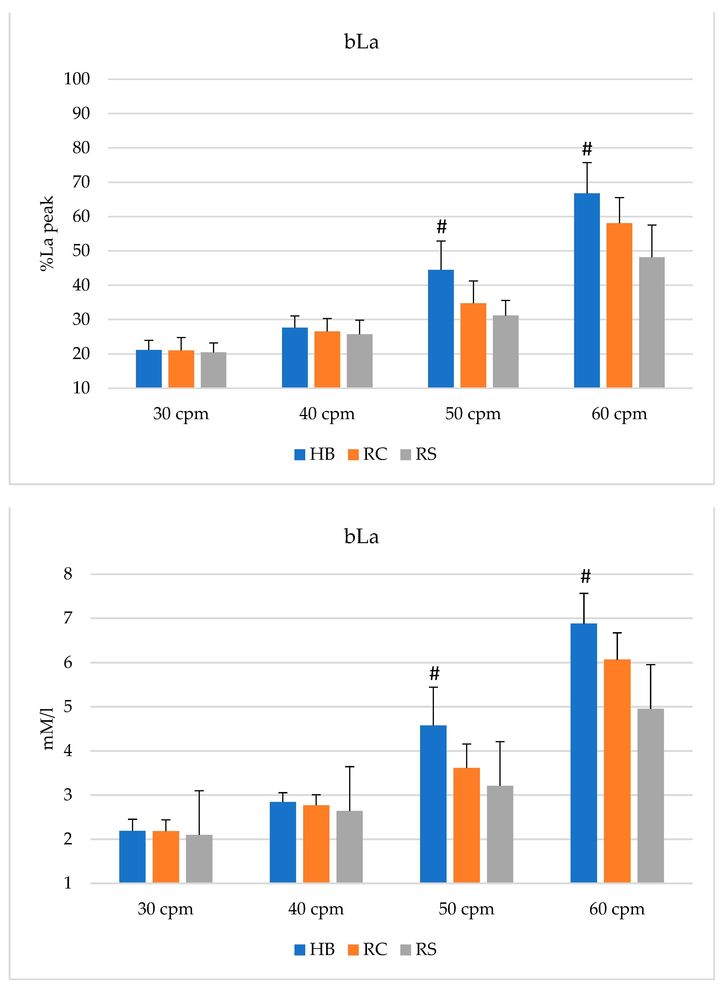
| bLa (mM/L) | HB | 2.2 ± 0.4 | 2.8 ± 0.2 | 4.6 ± 0.9 *** | 6.9 ± 0.7 *** |
| RC | 2.2 ± 0.3 | 2.8 ± 0.3 | 3.6 ± 0.5 | 6.1 ± 0.6 | |
| RS | 2.1 ± 0.2 | 2.6 ± 0.1 | 3.2 ± 0.4 * | 5.0 ± 0.9 * |
Publisher’s Note: MDPI stays neutral with regard to jurisdictional claims in published maps and institutional affiliations. |
© 2022 by the authors. Licensee MDPI, Basel, Switzerland. This article is an open access article distributed under the terms and conditions of the Creative Commons Attribution (CC BY) license (https://creativecommons.org/licenses/by/4.0/).
Share and Cite
Demarie, S.; Chirico, E.; Bratta, C.; Cortis, C. Energy Consumption of Water Running and Cycling at Four Exercise Intensities. Sports 2022, 10, 90. https://doi.org/10.3390/sports10060090
Demarie S, Chirico E, Bratta C, Cortis C. Energy Consumption of Water Running and Cycling at Four Exercise Intensities. Sports. 2022; 10(6):90. https://doi.org/10.3390/sports10060090
Chicago/Turabian StyleDemarie, Sabrina, Emanuele Chirico, Cecilia Bratta, and Cristina Cortis. 2022. "Energy Consumption of Water Running and Cycling at Four Exercise Intensities" Sports 10, no. 6: 90. https://doi.org/10.3390/sports10060090
APA StyleDemarie, S., Chirico, E., Bratta, C., & Cortis, C. (2022). Energy Consumption of Water Running and Cycling at Four Exercise Intensities. Sports, 10(6), 90. https://doi.org/10.3390/sports10060090

