Simple Summary
The apple leaf-curling midge is an invasive pest of apple. The pest can pupate on fruit and contaminate fresh fruit for export, causing biosecurity problems to many uninvaded regions such as Australia, California, China, India, Japan, and Taiwan. To generate critical knowledge for effective pest risk analysis, forecast and control of this pest, we tested the effects of five temperatures and five daylengths on its development and survival and developed a thermal model for the prediction of the number of generations per year under different climate conditions. We show that temperature but not daylength influenced its development and survival. The lower pupation and emergence rates at ≥25 °C may reduce the probability of its population build-up in regions where the average maximum temperature during the summer is over 25 °C. The model developed in this study can accurately predict the number of generations per year and the time of adult emergence in each generation under different thermal locations.
Abstract
The apple leaf-curling midge, Dasineura mali Kieffer (Diptera: Cecidomyiidae), is an invasive pest of apple, and can contaminate fresh fruit for export, causing biosecurity problems. To provide crucial information for its pest risk analysis, forecast, and management, we investigated the effects of temperatures (5, 10, 15, 20 and 25 °C) and daylengths (10, 11, 12, 13, 14 and 15 h) on its development and survival. The midge eggs failed to hatch at 5 °C and larvae could not complete development at 10 °C. Pupation and emergence rates were significantly higher at 20 °C than at 15 °C and 25 °C. Daylength had no effect on these parameters. The low temperature threshold and thermal requirement to complete development from eggs to adults were 3.7 °C and 627 degree-days, respectively. The midge had a significantly lower thermal requirement for the completion of its lifecycle at 20 °C (614.5 degree-days) than at 15 °C (650.1 degree-days) and 25 °C (634.8 degree-days). The thermal model developed in this study provided accurate predictions of the number of D. mali generations and adult emergence time in each generation in different regions of New Zealand. We suggest that the model could be used to predict population dynamics of this pest in other parts of the world.
1. Introduction
The apple leaf-curling midge, Dasineura mali Kieffer (Diptera: Cecidomyiidae), native to Europe, is a monophagous herbivore that attacks apple trees (Malus spp.) in Europe, South and North America, and New Zealand [1,2,3,4,5]. Its larvae feed on young leaves and shoots, reducing photosynthesis, resulting in poor shoot development, and potentially affecting the long-term yield [6]. Although the midge does not feed on fruit, its cocooned larvae can contaminate fresh fruit, causing quarantine problems [7,8]. Dasineura mali infestations in commercial orchards have raised concerns in the apple industry in New Zealand and some regions that trade with New Zealand, such as Australia, California, China, India, Japan, and Taiwan [9,10].
Dasineura mali adults emerge from the soil in the early morning and swarm around the emergence sites for mating, after which time females lay their eggs on growing apple shoots [11]. Eggs hatch in 3–5 days depending on the temperature and the larval feeding on young leaves causes them to roll or produce galls alongside their outer edges; mature larvae (3rd instar) leave the curled leaves and burrow in the soil (≤10 mm in depth) where they spin cocoons and pupate [12] but some can spin cocoons on fruit on their way to the ground [9,13]. The number of generations of D. mali per year varies depending on climate conditions, particularly temperature and availability of food, for example, there are three generations in Canada [5,14], three to six generations in Europe [15] and four to five generations in New Zealand [12,16,17,18].
Knowledge on the development, survival, and emergence of an insect species under different environmental conditions is vital to its pest risk analysis, forecast and management. Temperature is a main environmental factor significantly influencing these biological parameters [19]. Under optimal thermal conditions insects can complete their development with a high survival rate, but under extreme conditions such as high or low temperatures, they can have a high mortality rate and fail to complete a lifecycle [19,20]. The low temperature threshold (temperature below which no measurable development takes place) and thermal constant (the number of degree-days above the lower threshold temperature for the completion of development) are the two most important thermal parameters that determine how the temperature affects the developmental rate of ectotherms [5,21] and help predict pest phenology [22,23]. Some studies show that both temperature and photoperiod affect survival and development of cecidomyiid species [24,25,26,27,28,29,30,31,32,33,34,35,36].
Daylength is also a main environmental factor that can affect insect development, survival, and emergence [19]. However, photoperiod alone rarely affects the rate of development in insects [37,38]. For example, daylength does not appear to have any effect on development and survival in several dipteran species [27,30,38]. Although photoperiod is the most reliable cue of seasonal change in temperate regions, which may trigger diapause in some insects as unfavorable conditions approach [19,37,39], no diapause has been observed in D. mali, suggesting that daylength may not affect its developmental rate. Yet, how temperature and daylength influence survival and development of this midge pest have not been experimentally tested, making its risk analysis, forecast, and control difficult.
To generate critical information for the development of measures for effective pest risk analysis, forecast, and control of D. mali, we carried out experiments under a series of temperature and daylength conditions. We tested how temperature and daylength affected the development and survival of this pest. Based on our findings, we then calculated developmental thresholds and thermal requirements and developed a model for the prediction of the number of D. mali generations per year under different climate conditions in New Zealand. Our findings would help countries that trade with D. mali-infested regions perform pest risk analysis and develop forecast and management measures.
2. Materials and Methods
2.1. Insects
We established a breeding colony in the laboratory from the field-collected mature larvae (3rd instar) in a mature organic apple orchard in Plant Growth Unit, Massey University, Palmerston North, New Zealand. The larvae were transferred to the rearing medium (vermiculite) in Petri dishes (5.5 cm in diameter × 1.3 cm in height) and maintained at 20 ± 1 °C, 65 ± 5% RH and 15:9 h (light:dark) for pupation. Newly emerged adults were released into an aluminium-framed experimental cage (43 × 42 × 40 cm) in which 10 apple seedlings (≈20 cm height, bred from rootstock MM 106 FSV) were maintained for oviposition. The cage had a fine metal mesh (aperture size = 0.25 mm) on the back and both sides and Perspex on the top and front and aluminium alloy on the bottom.
2.2. Effect of Temperature on Development and Survival
We investigated the effect of temperature on the development, survival, and emergence of D. mali at five constant temperatures (treatments): 5, 10, 15, 20 and 25 °C with a day length of 15 h in the laboratory. For each test temperature, at the onset of photophase we released 30 newly emerged D. mali adults from the above colony with a sex ratio of about 1:1 into an above-mentioned experimental cage for oviposition, where 10 apple seedlings (replicates) were maintained as above. We removed seedlings 12 h after oviposition, caged them individually using transparent permeable plastic bags (42 cm in length × 23 cm in width with aperture = 0.25 mm) and maintained them at the test temperature. Because midge adults laid few eggs at 5 and 10 °C, we allowed adults to lay eggs on seedlings at 20 °C for 12 h and then individually caged the oviposited seedlings as above and transferred them to these two temperature conditions.
The number of eggs laid on each seedling was counted under a stereomicroscope (Olympus, Tokyo, Japan). To determine the egg incubation duration and hatch rate, we made daily examinations of two infested shoots at each temperature under the stereomicroscope. All seedlings were maintained at the same temperature until larvae became mature (3rd instar, orange in colour). We started examining larval maturation by gently opening the curled leaves when they turned brown. We counted and removed mature larvae from leaves once a day until all larvae became mature. Egg hatch rate (no. of newly hatched larvae/no. of eggs) and larval survival rate (no. of mature larvae/no. of newly hatched larvae) were calculated. Developmental duration of eggs and immature larvae were recorded.
Because no eggs hatched at 5°C and no larvae completed development at 10 °C, we collected mature larvae from 10 seedlings under each of the rest of the test temperatures (15, 20 or 25 °C) and transferred them into Petri dishes with the rearing medium as mentioned above and maintained at the same temperature until adult emergence. There were 18, 20, and 20 dishes with 20, 30, and 25 larvae per dish established at 15, 20, and 25 °C, respectively. Newly emerged adults were counted and sexed daily according to Gagné and Harris [40]. After all adults had emerged, midge cocoons from each dish were examined under the microscope to determine the pupation rate of larvae (no. of pupae/no. of mature larvae) and the emergence rate of adults from the pupae (no. of emerged adults/no. of pupae).
2.3. Effect of Daylength on Development and Survival
In this experiment we tested the effect of daylength on the development, survival, and emergence of D. mali under six daylength conditions: 10, 11, 12, 13, 14, and 15 h light based on a 24-h cycle at 20 °C in the laboratory. This temperature is the optimal thermal condition for D. mali development (see Section 3). The experiment was carried out and data were recorded as in the temperature experiment. There were 13, 17, 15, 25, 25, and 20 dishes with 25 mature larvae per dish at above daylengths, respectively.
2.4. Low Temperature Thresholds and Thermal Constants
Based on the developmental time at test temperatures, we used the method of Campbell et al. [41] to estimate the low temperature threshold (t) and thermal constant (degree-days, K) for D. mali: r = a + bT, where r is the developmental rate [1/developmental duration (days)], T is the temperature, and a and b are estimates of the r intercept and slope, respectively. The low temperature threshold and thermal constant were calculated as t = −a/b and K = 1/b, respectively. The standard errors of t and K were calculated as and , respectively, where SE(b) is the SE of b, s2 is the residual mean square of r, is the sample mean, and N is the sample size. At a given constant temperature, the thermal requirement for D. mali to complete development from eggs to adults was calculated as: K = n × (T − t), where n is the number of days required to complete development.
2.5. Estimation of the Number of Generations in the Field
Based on the low temperature threshold and degree-days (see Section 3), we estimated the number of generations ALCM might have in four regions in New Zealand, Hawke’s Bay (latitude 39.6° S), Palmerston North (latitude 40.4° S), Nelson (latitude 41.3° S) and Central Otago (latitude 45.3° S), by developing a degree-day model [22]: , where Ti is the mean daily air temperature (1981–2010) [42] at day i after the midge emergence from the overwintered generation, and n is the number of days during the growing season. To avoid overestimation or underestimation, we calculated the degree-days since the mean date of the first adult emergence peak, i.e., 30 September (2004–2017) in Hawker’s Bay, 2 October (2004–2017) in Nelson and 11 October (2001–2017) in Central Otago [18] and 10 October (2005–2007) in Palmerston North [43]. Hawke’s Bay, Nelson, and Central Otago are the three main apple growing regions for export in New Zealand [44].
2.6. Statistical Analysis
We performed analyses using SAS v. 9.4 software (SAS Institute Inc., Cary, NC, USA). Data on the development of different stages at different temperatures and daylengths and the thermal requirement (degree-days) were not normally distributed (Shapiro-Wilk test, UNIVARIATE Procedure) and thus analyzed using a generalized linear model (GLMMIX Procedure) followed by a Tukey-Kramer test for multiple comparisons between temperature. The relationship between the developmental rate and temperature was estimated using a general linear model (GLM Procedure). The survival data were analyzed using a generalized linear model (GENMOD Procedure) with a Binomial distribution and logit function. Multiple comparisons between temperatures or between day lengths were performed using the Contrast statement.
3. Results
3.1. Effect of Temperature on Development and Survival
Eggs failed to hatch at 5 °C. At 10 °C eggs hatched but larvae failed to complete their development. The midge developed significantly faster with the increase of temperature (F3,127 = 70.72 for egg, F2,993 = 379.87 for larva, F2,993 = 812.80 for larva-adult, F2,993 = 1250.65 for total, F2,470 = 586.28 for male and F2,523 = 664.01 for female; p < 0.0001) (Table 1).
Table 1.
Mean (±SE) developmental duration (days) of Dasineura mali at different temperatures under daylength of 15 h.
Egg hatch and larval survival rates were higher at 20 °C but there was no significant difference between temperatures ( = 6.59, p = 0.0863 for egg hatch rate; = 3.49, p = 0.1747 for larval survival rates) (Figure 1). Significantly more mature larvae pupated and adults emerged at 20 °C than at 15 and 25 °C ( = 32.29 and 23.59 for pupation and emergence rates, respectively; p < 0.0001) (Figure 1).
Figure 1.
Mean (±SE) survival rate of four life stages in Dasineura mali at different temperatures. Columns with the same letters for each category are not significantly different (p > 0.05).
3.2. Effect of Daylength on Development and Survival
Our results show that daylength has no significant effect on the development of D. mali (F5,231 = 0.53 for egg, F5,207 = 0.18 for larva, F5,1743 = 1.55 for larva-adult, F5,1743 = 0.77 for complete lifecycle, F5,806 = 0.42 for male and F5,937 = 0.59 for female; p > 0.05) (Table 2). Similarly, daylength had no effect on the midge survival ( = 2.12, 7.18, 4.66 and 5.98 for egg hatch, larval survival, pupation, and emergence rates, respectively, p > 0.05) (Figure 2).
Table 2.
Mean (±SE) developmental duration (days) of Dasineura mali at different daylengths at 20 °C.
Figure 2.
Mean (±SE) survival rate of four life stages in Dasineura mali at different daylengths ranging from 10 to 15 h at 20 °C. Columns with the same letters for each category are not significantly different (p > 0.05).
3.3. Low Temperature Thresholds and Thermal Constants
The low temperature threshold was 6.7 °C for egg development, which was twice as high as that for larval (3.2 °C) and pupal (3.4 °C) development (Figure 3A–C). Thermal requirement for D. mali developing from eggs to adults was about 630 degree-days with a low temperature threshold of about 3.7 °C (Figure 3D–F). Thermal requirement for the midge to complete development from eggs to adults was significantly different between three test temperatures with the lowest thermal constant being at 20 °C (ANOVA: F2,993 = 151.09, p < 0.0001) (Figure 4).
Figure 3.
Linear regressions of developmental rate (r) on temperature (T), low temperature threshold (t) and thermal constant (K) for development of Dasineura mali: (A) egg, (B) larva, (C) mature larva-adult, (D) egg-adult, (E) male, and (F) female. All linear regressions are significant (p < 0.0001).
Figure 4.
Thermal requirement for completion of development from eggs to adults in Dasineura mali at different temperatures. Columns (±SE) with the same letters are not significantly different (p > 0.05).
3.4. Estimation of the Number of Generations in the Field
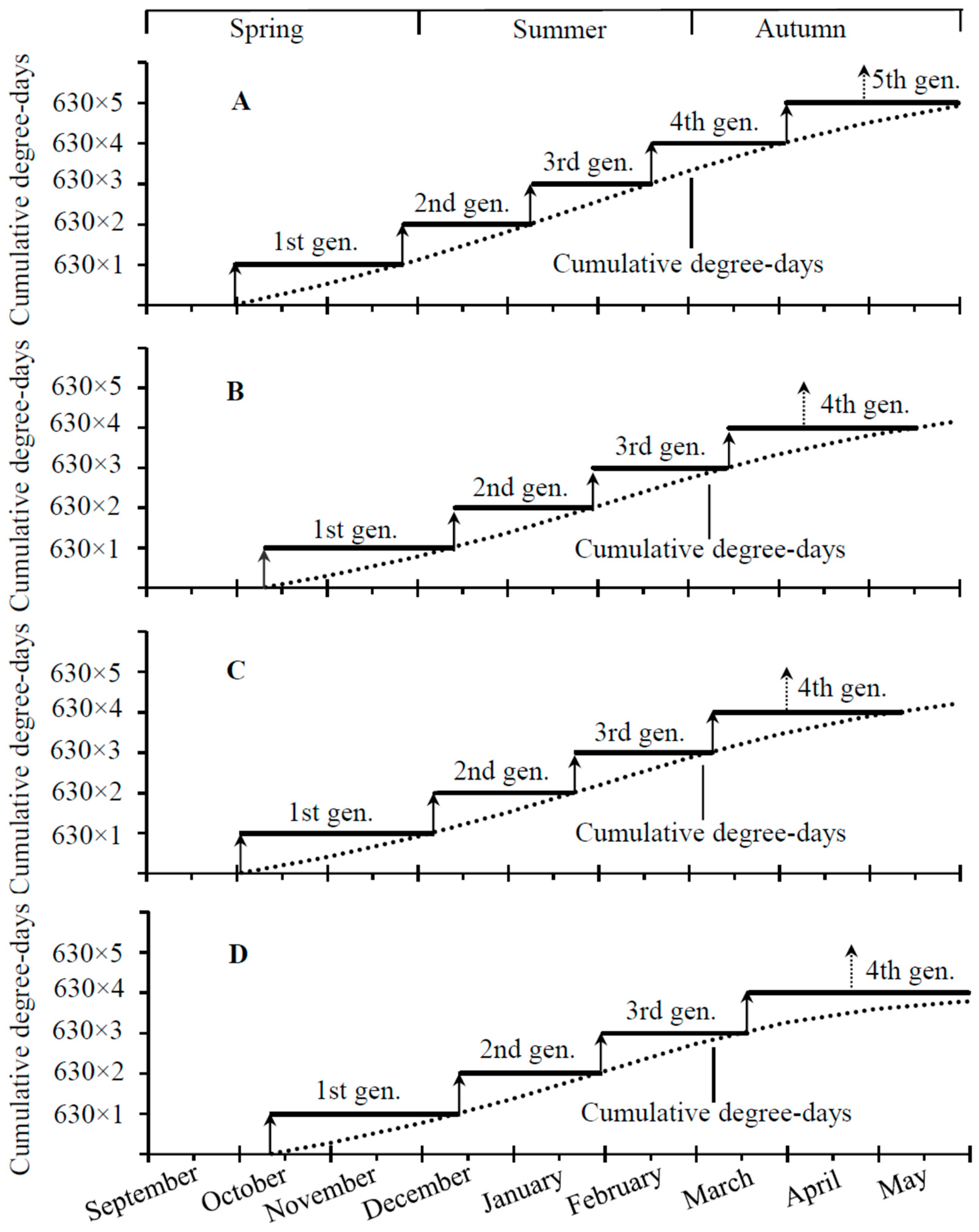
Our model predicts that D. mali should have five generations a year in Hawker’s Bay with four completed generations between October and late March/early May, and mature larvae produced by the 4th generation would enter overwintering during late April (Figure 5A). However, four generations should occur in Palmerston North, Nelson, and Central Otago, with three completed generations during the growing seasons (October–mid-March) and mature larvae made by adults of the 3rd generation entering overwintering during mid-April (Figure 5B–D).
Figure 5.
Predicted number of generations of Dasineura mali in different regions of New Zealand: (A) Hawker’s Bay, (B) Palmerston North, (C) Nelson, and (D) Central Otago. Arrows with a solid line indicate the time of adult emergence from the overwintered, 1st, 2nd, 3rd, and 4th generations, and arrows with a dotted line indicate the time of mature larvae entering overwintering.
4. Discussion
The midge had a significantly higher thermal requirement for the completion of its lifecycle at 25 °C than at 20 °C (Figure 4), suggesting that the temperature ≥ 25 °C may be less suitable for its development and explaining its summer outbreaks in New Zealand where the average maximum temperature rarely exceeds 25 °C [45]. Furthermore, the significantly lower pupation and emergence rates at 25 °C (Figure 1) or higher [46] may lower the probability of its population build-up in regions where the average maximum temperature during the summer is over 25 °C. The susceptibility to higher temperatures has also been reported in other cecidomyiid species such as the sorghum midge, Contarinia sorghicola (Coquillett) [25], and blackcurrant leaf midge, D. tetensi (Rübsaamen) [47]. These findings appear to match the fact that many plant-feeding cecidomyiid species are distributed in temperate regions [48].
The low temperature threshold of 6.7 °C for egg development in D. mali may explain why its eggs failed to hatch at 5 °C. The low temperature thresholds for the development of other D. mali stages were about 3.5 °C (Figure 3B–D), lower than the mean air temperatures during the winter in New Zealand [42], probably because this midge is native to colder Europe. Our results show that the low temperature threshold for larval development in D. mali was 3.2 °C (Figure 3B) but its larvae could not complete development at 10 °C. This is probably attributed to the fact that the higher mortality often occurs at lower temperatures due to the long developmental period [49]. Furthermore, larvae reduce their feeding activity at low temperatures [50], which may result in malnutrition and death.
Using thermal parameters of several midge pests, various authors have developed models for the prediction of their population dynamics in the field, providing powerful tools for decision making in pest management [24,29,47,51,52,53]. For example, the accurate prediction of adult emergence time is critical to the applications of pheromone traps and insecticides [54,55,56,57]. Based on our findings in the present study (Figure 3D) and long-history climate data [40], we have developed a thermal model to predict the number of generations and the adult emergence time of each generation in four locations in New Zealand. We show that the model provides an accurate prediction of five generations in Hawker’s Bay and four generations in Palmerston North, Nelson, and Central Otago (Figure 5), agreeing to the field data reported [16,18,43]. Like other gall-forming insects [58,59,60], the availability of host plants for D. mali is also a crucial factor for the occurrence of the number of generations per year. For example, the lack of food in the autumn [16] may prevent it from having the fifth generation in Palmerston North, Nelson, and Central Otago.
Daylength is the most reliable cue of seasonal changes regulating temporal patterns of insect development, survival, and behavior [19,37,39], however its effect on insect life history traits may be species-specific. For example, studies on the sibling mosquitos, Aedes aegypti (Linnaeus) and A. albopictus (Skuse), reveal that daylength does not significantly affect the development and survival of the former species and the development of the latter species but the latter species has higher survival rate under short daylength [38]. In the present study, daylength had no effect on D. mali development (Table 2) and survival (Figure 2) under one temperature, 20 °C, which was optimal for the growth and development of the midge during the apple growing season. Our findings suggest that D. mali does not respond to daylength change and adjust its development and survival at the optimal temperature.
However, both daylength and temperature change over the season in most parts of the world, particularly temperate regions. As a result, the effect of these environmental factors on developmental rate may be inter-dependent [61,62]. For example, the effect of short-day length on some midge species is associated with low temperatures [30,31,34]. In the predatory gall midge, Feltiella acarisuga (Vallot), photoperiod alone does not induce larval diapause, but diapause may occur when it feeds on the diapausing prey [29]. Although diapause has not been observed for D. mali anywhere in the world, it enters hibernation in winter due to the simultaneous decline of temperature, photoperiod, and food [16,43]. It may thus be worth investigating whether varying daylength and temperature would have combined effects on development, survival, and reproduction in this midge pest.
In conclusion, we show that temperature significantly affects D. mali development and survival. We suggest that countries or regions with temperatures of ≥25 °C during the growing seasons may be less suitable for D. mali population build-up in apple orchards. Although we have not detected any effect of daylength on development and survival under one temperature, in future studies it may be worth testing whether associations of dynamic daylength and temperature would influence these parameters. The thermal model developed in this study can accurately predict the number of generations a year and the time of adult emergence in each generation in different locations of New Zealand. We recommend that this model be used to predict population dynamics of the pest in other parts of the world. Information generated in the present study can be used for pest risk analysis, forecast and control.
Author Contributions
Conceptualization, X.Z.H. and Q.W.; experimental design, X.Z.H. and Q.W.; data collection, X.Z.H.; data analysis, X.Z.H. and Q.W.; manuscript preparation and revision, X.Z.H. and Q.W. All authors have read and agreed to the published version of the manuscript.
Funding
The work reported here was funded by a Massey University Research Fund (Funder: Massey University and funding number: RM22963) to QW.
Data Availability Statement
All data are included in the manuscript.
Acknowledgments
We thank the Plant Growth Unit, Massey University for allowing us to collect insects from the apple orchards and providing apple seedlings for experiment. We also thank the handling editor and two anonymous reviewers for constructive comments which have improved the paper.
Conflicts of Interest
The authors declare no conflict of interest.
References
- Marrison, L.G. Apple leaf-curling midge in New Zealand. N. Z. J. Agric. 1953, 86, 565–566. [Google Scholar]
- Carl, K.P. Observations on the apple leaf-curling midge, Dasineura mali Kieffer and a new species from apple leaf-galls, Macrolabis sp. (Dipt. Cecidomyiidae). Anz. Schädlingskund. Pfl. Umweltschutz 1980, 53, 99–102. [Google Scholar] [CrossRef]
- Gagné, R. The Plant-Feeding Gall Midges of North America; Cornell University Press: Ithaca, NY, USA, 1989; 356p. [Google Scholar]
- CABI/EPPO. Dasineura mali. Distribution Maps of Plant Pests No. 711. 2008. Available online: https://www.cabidigitallibrary.org/doi/10.1079/DMPP/20083279226 (accessed on 25 February 2023).
- Cossentine, J.; Brauner, A.; Franklin, J.; Robertson, M.; Buhl, P.; Blatt, S.; Gariepy, T.D.; Fraser, H.; Appleby, M.; Grigg-McGuffin, K.; et al. Parasitism and phenology of Dasineura mali (Diptera: Cecidomyiidae) in Canadian apple (Rosaceae) orchards. Can. Entomol. 2020, 152, 355–373. [Google Scholar] [CrossRef]
- Allison, P.A.; Meekings, J.A.; Tomkins, R.; Wilson, D.J. Effects of leaf damage by apple leafcurling midge (Dasyneura mali) on photosynthesis of apple leaves. In Proceedings of the 48th New Zealand Plant Protection, Hastings, New Zealand, 8–10 August 1995; pp. 121–124. [Google Scholar] [CrossRef]
- Tomkins, A.R.; Wilson, D.J.; Hutchings, S.O.; June, S. A survey of apple leafcurling midge (Dasyneura mali) management in Waikato orchards. In Proceedings of the 47th New Zealand Plant Protection, Waitangi, New Zealand, 9–11 August 1994; pp. 346–349. [Google Scholar] [CrossRef]
- Bayer CropScience. Apple Leaf Curling Midge Dasineura mali. 2019. Available online: https://www.cropscience.bayer.co.nz/pests/insects/apple-leaf-curling-midge (accessed on 25 February 2023).
- Lowe, S. Apple Leafcurling Midge; Pipmark Technical Bulletin; New Zealand Apple and Pear Marketing Board: Palmerston North, New Zealand, 1993; 5p. [Google Scholar]
- New Zealand Government. Australia—Measures Affecting the Importation of Apples from New Zealand (WT/DS367). First Written Submission of New Zealand to WTO, 20 June 2008, Geneva. Available online: https://www.mfat.govt.nz/assets/Trade-General/WTO-Disputes/Australia-Apples/australia-apples-4-first-submission.pdf (accessed on 25 February 2023).
- Heath, J.J.; Zhang, A.; Roelofs, W.L.; Smith, R.F. Flight activity and further evidence for a female-produced sex pheromone of the apple leaf midge, Dasineura mali, in Nova Scotia. Northeast. Nat. 2005, 12, 93–102. [Google Scholar] [CrossRef]
- Todd, D.H. A preliminary account of Dasyneura mali Kieffer (Cecidomyiidae: Dipt.) and an associated hymenopterous parasite in New Zealand. N. Z. J. Sci. Technol. A 1956, 37, 462–464. [Google Scholar]
- Smith, J.T. Aspects of the Ecology and Management of Apple Leafcurling Midge (Dasineura mali) (Diptera: Cecidomyiidae) on the Waimea Plains, Nelson, New Zealand. Ph.D. Thesis, Lincoln University, Lincoln, New Zealand, 2000; 192p. [Google Scholar]
- Laroche, M.; Provost, C. Suivi Des Populations de Cécidomyie du Pommier et Méthodes de Captures. Rapport Final, MAPAQ, Prime-Vert. 2015. 13p. Available online: https://www.mapaq.gouv.qc.ca/SiteCollectionDocuments/Agroenvironnement/1596_Fiche.pdf (accessed on 25 February 2023).
- Cross, J.V.; Solomon, M.G.; Brabandreier, D.; Blommers, L.; Easterbrook, M.A.; Jay, C.N.; Jenser, G.; Jolly, R.L.; Kuhlmann, U.; Lilley, R.; et al. Biocontrol of pests of apples and pears in Northern and Central Europe: 2. Parasitoids. Biocont. Sci. Technol. 1999, 9, 277–314. [Google Scholar] [CrossRef]
- Shaw, P.W.; Wallis, D.R.; Alspach, P.A.; Sandanayaka, W.R.M. Phenology of apple leafcurling midge (Dasineura mali) in relation to parasitism by Platygaster demades. N. Z. Plant Prot. 2005, 58, 306–310. [Google Scholar] [CrossRef][Green Version]
- Wearing, C.H.; Marshall, R.R.; Attfield, B.; Colhoun, C. Phenology and distribution of the apple leafcurling midge (Dasineura mali (Kieffer)) (Diptera: Cecidomyiidae) and its natural enemies on apples under biological and integrated pest management in Central Otago, New Zealand. N. Z. Entomol. 2013, 36, 87–106. [Google Scholar] [CrossRef]
- Lo, P.L.; Walker, J.T.S. Annual and regional variability in adult Dasineura mali (apple leafcurling midge) emergence in New Zealand. N. Z. Plant Prot. 2017, 70, 131–136. [Google Scholar] [CrossRef]
- Tauber, M.J.; Tauber, C.A.; Masaki, S. Seasonal Adaptations of Insects; Oxford University Press: Oxford, UK, 1986; 411p. [Google Scholar]
- Régnière, J.; Powell, J.; Bentz, B.; Nealis, V. Effects of temperature on development, survival and reproduction of insects: Experimental design, data analysis and modeling. J. Insect Physiol. 2012, 58, 634–647. [Google Scholar] [CrossRef]
- Higley, L.G.; Pedigo, L.P.; Ostile, K.R. DEGDAY: A program for calculating degree-days, and assumptions behind the degree-day approach. Environ. Entomol. 1986, 15, 999–1016. [Google Scholar] [CrossRef]
- Muñiz, M.; Zalom, F.G. Developmental rate and number of generation estimates for Ceratitis capitata (Weiedemann) in fruit growing regions of California. IOBC/Wprs Bull. 1997, 20, 55–66. Available online: http://hdl.handle.net/10261/11643 (accessed on 25 February 2023).
- Rowley, C.; Cherrill, A.; Leather, S.R.; Pope, T.W. Degree-day based phenological forecasting model of saddle gall midge (Haplodiplosis marginata) (Diptera: Cecidomyiidae) emergence. Crop Prot. 2017, 102, 154–160. [Google Scholar] [CrossRef]
- Baxendale, F.P.; Teetes, G.L.; Sharpe, P.J.H. Temperature-dependent model for sorghum midges (Diptera, Cecidomyiidae) spring emergence. Environ. Entomol. 1984, 13, 1566–1571. [Google Scholar] [CrossRef]
- Baxendale, F.P.; Teetes, G.L.; Sharpe, P.J.H.; Wu, H. Temperature-dependent model for development of nondiapausing sorghum midges (Diptera, Cecidomyiidae). Environ. Entomol. 1984, 13, 1572–1576. [Google Scholar] [CrossRef]
- Moore, A.D. Effects of temperature and length of photophase on development and diapause in Cystiphora schmidti (Rübsaamen) (Diptera: Cecidomyiidae). J. Aust. Entomol. Soc. 1987, 26, 349–354. [Google Scholar] [CrossRef]
- Wellso, S.G. Aestivation and phenology of the Hessian fly (Diptera: Cecidomyiidae) in Indiana. Environ. Entomol. 1991, 20, 795–801. [Google Scholar] [CrossRef]
- Gillespie, D.R.; Opit, G.; Roitberg, B. Effects of temperature and relative humidity on development, reproduction, and predation in Feltiella acarisuga (Vallot) (Diptera: Cecidomyiidae). Biol. Cont. 2000, 17, 132–138. [Google Scholar] [CrossRef]
- Hellqvist, S. Phenology of the blackcurrant leaf midge (Dasineura tetensi) in northern Sweden. Acta Agric. Scand. Section B Soil Plant Sci. 2001, 51, 84–90. [Google Scholar] [CrossRef]
- Gillespie, D.R.; Quiring, D.M.J. Effects of photoperiod on induction of diapause in Feltiella acarisuga (Diptera: Cecidomyiidae). Can. Entomol. 2002, 134, 69–75. [Google Scholar] [CrossRef]
- Wise, I.L.; Lamb, R.J. Diapause and emergence of Sitodiplosis mosellana (Diptera: Cecidomyiidae) and its parasitoid Macroglenes penetrans (Hymenoptera: Pteromalidae). Can. Entomol. 2004, 136, 77–90. [Google Scholar] [CrossRef]
- Son, Y.; Lee, J.H.; Chung, Y.J. Temperature-dependent post-diapause development and prediction of spring emergence of the pine needle gall midge (Dipt., Cecidomyiidae). J. Appl. Entomol. 2007, 131, 674–683. [Google Scholar] [CrossRef]
- Des Marteaux, L.E.; Habash, M.B.; Schmidt, J.M.; Hallett, R.H. A method for induction and quantification of diapause entry in the swede midge (Diptera: Cecidomyiidae). Can. Entomol. 2012, 144, 792–800. [Google Scholar] [CrossRef]
- Yamane, M.; Yano, E.; Matsumoto, Y.; Yoshioka, S.; Kawai, T.; Toyonishi, H.; Nakamura, T. Effect of photoperiod and temperature on the induction of diapause in a Japanese strain of Aphidoletes aphidimyza (Diptera: Cecidomyiidae). Appl. Entomol. Zool. 2012, 47, 17–26. [Google Scholar] [CrossRef]
- Yukawa, J.; Ichinose, M.; Kim, W.; Uechi, N.; Gyoutoku, N.; Fujii, T. Lower development threshold temperatures and thermal constants for four species of Asphondylia (Diptera: Cecidomyiidae) in Japan and their larval developmental delay caused by heat stress. Appl. Entomol. Zool. 2016, 51, 71–80. [Google Scholar] [CrossRef]
- Cheng, W.; Long, Z.; Zhang, Y.; Liang, T.; Zhu-Salzman, K. Effects of temperature, soil moisture and photoperiod on diapause termination and post-diapause development of the wheat blossom midge, Sitodiplosis mosellana (Géhin) (Diptera: Cecidomyiidae). J. Insect Physiol. 2017, 103, 78–85. [Google Scholar] [CrossRef] [PubMed]
- Saunders, D.S. Insect Clocks, 3rd ed.; Elsevier: Amsterdam, The Netherlands, 2002; 576p. [Google Scholar]
- Costanzo, K.S.; Schelble, S.; Jerz, K.; Keenan, M. The effect of photoperiod on life history and blood-feeding activity in Aedes albopictus and Aedes aegypti (Diptera: Culicidae). J. Vector Ecol. 2015, 40, 164–171. [Google Scholar] [CrossRef]
- Huffaker, C.B.; Gutierrez, A.P. Ecological Entomology, 2nd ed.; John Wiley & Sons, Inc.: Hoboken, NJ, USA, 1999; 756p. [Google Scholar]
- Gagné, R.J.; Harris, M.O. The distinction between dasineura spp. (Diptera: Cecidomyiidae) from apple and pear. Proc. Entomol. Soc. Wash. 1998, 100, 445–448. [Google Scholar]
- Campbell, A.; Frazier, B.D.; Gilbert, N.; Guitierrez, A.P.; Mackauer, M. Temperature requirements of some aphids and their parasites. J. Appl. Ecol. 1974, 11, 431–438. [Google Scholar] [CrossRef]
- NIWA. Mean Monthly Temperatures (°C) 1981–2010. Available online: https://niwa.co.nz/education-and-training/schools/resources/climate/meanairtemp (accessed on 28 February 2023).
- He, X.Z.; Wang, Q. Phenological dynamics of Dasineura mali Kieffer (Diptera: Cecidomyiidae) and its parasitoid Platygaster demades Walker (Hymenoptera: Platygasteridae) in apple orchards. J. Econ. Entomol. 2011, 104, 1640–1646. [Google Scholar] [CrossRef]
- Anon. Statistical Annual 2016; Pipfruit New Zealand Incorporated: Hastings, New Zealand, 2017; 27p. [Google Scholar]
- New Zealand Meteorological Service. Daily Climatological Observations: Monthly Reports; Massey University: Palmerston North, New Zealand, 2005–2007. [Google Scholar]
- Sandanayaka, W.R.M.; Ramankutty, P. Temperature dependent emergence and survival of Platygaster demades (Hymenoptera: Platygastridae), parasitoid of apple leaf curling midge. Biol. Cont. 2007, 42, 41–47. [Google Scholar] [CrossRef]
- Cross, J.V.; Crook, D.J. Predicting spring emergence of blackcurrant leaf midge (Dasineura tetensi) from air temperatures. Entomol. Exp. Appl. 1999, 91, 421–430. [Google Scholar] [CrossRef]
- Gagné, R.J.; Jaschhof, M. A Catalog of the Cecidomyiidae (Diptera) of the World, 5th ed.; Systematic Entomology Laboratory, Agricultural Research Service, U.S. Department of Agriculture: Washington, DC, USA, 2021; 816p. Available online: https://www.ars.usda.gov/ARSUserFiles/80420580/Gagne_Jaschhof_2021_World_Cat_5th_Ed.pdf (accessed on 23 May 2023).
- Rwomushana, I.; Ekesi, S.; Ogol, C.K.P.O.; Gordon, I. Effect of temperature on development and survival of immature stages of Bactrocera invadens (Diptera: Tephritidae). J. Appl. Entomol. 2008, 132, 832–839. [Google Scholar] [CrossRef]
- Hannigan, S.; Nendel, C.; Krull, M. Effects of temperature on the movement and feeding behaviour of the large lupine beetle, Sitona gressorius. J. Pest. Sci. 2023, 96, 389–402. [Google Scholar] [CrossRef]
- Gordon, S.C.; Barrie, I.A.; Woodford, J.A.T. Predicting spring oviposition by raspberry cane midge from accumulated derived soil temperatures. Ann. Appl. Biol. 1989, 114, 419–427. [Google Scholar] [CrossRef]
- Oakley, J.N.; Cumbleton, P.C.; Corbett, S.J.; Saunders, P.; Green, D.I.; Young, J.E.B.; Rodgers, R. Prediction of orange wheat blossom midge activity and risk of damage. Crop Prot. 1998, 17, 145–149. [Google Scholar] [CrossRef]
- Hallett, R.H.; Goodfellow, S.A.; Weiss, R.M.; Olfert, O. MidgEmerge, a new predictive tool, indicates the presence of multiple emergence phenotypes of the overwintered generation of swede midge. Entomol. Exp. Appl. 2009, 130, 81–97. [Google Scholar] [CrossRef]
- Burnip, G.M.; Gibb, A.R.; Suckling, D.M. Target and non-target impacts from diazinon applied against Dasineura mali in a Canterbury apple orchard. In Proceedings of the 51st New Zealand Plant Protection, Hamilton, New Zealand, 11–13 August 1998; pp. 143–147. [Google Scholar] [CrossRef]
- Walker JT, S.; Wearing, C.H.; Bradley, S.J.; Shaw, P.W.; Burnip, G.M.; Tokins, A.R.; Richardson, C.A.; Hodson, A.J. Integrated fruit production (IFP) for New Zealand pipfruit: Pest management recommendations. In Proceedings of the 51st New Zealand Plant Protection, Hamilton, New Zealand, 11–13 August 1998; pp. 166–172. [Google Scholar] [CrossRef]
- Cross, J.V.; Hall, D.R.; Shaw, P.; Anfora, G. Exploitation of the sex pheromone of apple leaf midge Dasineura mali Kieffer (Diptera: Cecidomyiidae): Part 2. Use of sex pheromone traps for pest monitoring. Crop Prot. 2009, 28, 128–133. [Google Scholar] [CrossRef]
- Jacquemin, G.; Chavalle, S.; De Proft, M. Forecasting the emergence of the adult orange wheat blossom midge, Sitodiplosis mosellana (Géhin) (Diptera: Cecidomyiidae) in Belgium. Crop Prot. 2014, 58, 6–13. [Google Scholar] [CrossRef]
- Price, P.W.; Roininen, H.; Tahvanainen, J. Plant age and attack by the bud galler, Euura mucronata. Oecologia 1987, 73, 334–337. [Google Scholar] [CrossRef]
- Yukawa, J. Synchronization of gallers with host plant phenology. Popul. Ecol. 2000, 42, 105–113. [Google Scholar] [CrossRef]
- Yukawa, J.; Akimoto, K. Influence of synchronization between adult emergence and host plant phenology on the population density of Pseudasphondylia neolitseae (Diptera: Cecidomyiidae) inducing leaf galls on Neolitsea sericea (Lauraceae). Popul. Ecol. 2006, 48, 13–21. [Google Scholar] [CrossRef]
- Kipyatkov, V.E.; Lopatina, E.B. Intraspecific variation of thermal reaction norms for development in insects: New approaches and prospects. Entmol. Rev. 2010, 90, 163–184. [Google Scholar] [CrossRef]
- Lopatina, E.B.; Balashov, S.V.; Kipyatkov, V.E. First demonstration of the influence of photoperiod on the thermal requirements for development in insects and in particular the linden-bug, Pyrrhocoris apterus (Heteroptera, Pyrrhocoridae). Eur. J. Entomol. 2007, 104, 23–31. [Google Scholar] [CrossRef]
Disclaimer/Publisher’s Note: The statements, opinions and data contained in all publications are solely those of the individual author(s) and contributor(s) and not of MDPI and/or the editor(s). MDPI and/or the editor(s) disclaim responsibility for any injury to people or property resulting from any ideas, methods, instructions or products referred to in the content. |
© 2023 by the authors. Licensee MDPI, Basel, Switzerland. This article is an open access article distributed under the terms and conditions of the Creative Commons Attribution (CC BY) license (https://creativecommons.org/licenses/by/4.0/).




