Using Sentinel Plots to Monitor for Changes in Thrips Susceptibility to MON 88702 Cotton Containing the Cry51Aa2.834_16 Bt Protein
Abstract
Simple Summary
Abstract
1. Introduction
2. Materials and Methods
2.1. Sentinel Plots
2.2. Statistical Analysis
3. Results
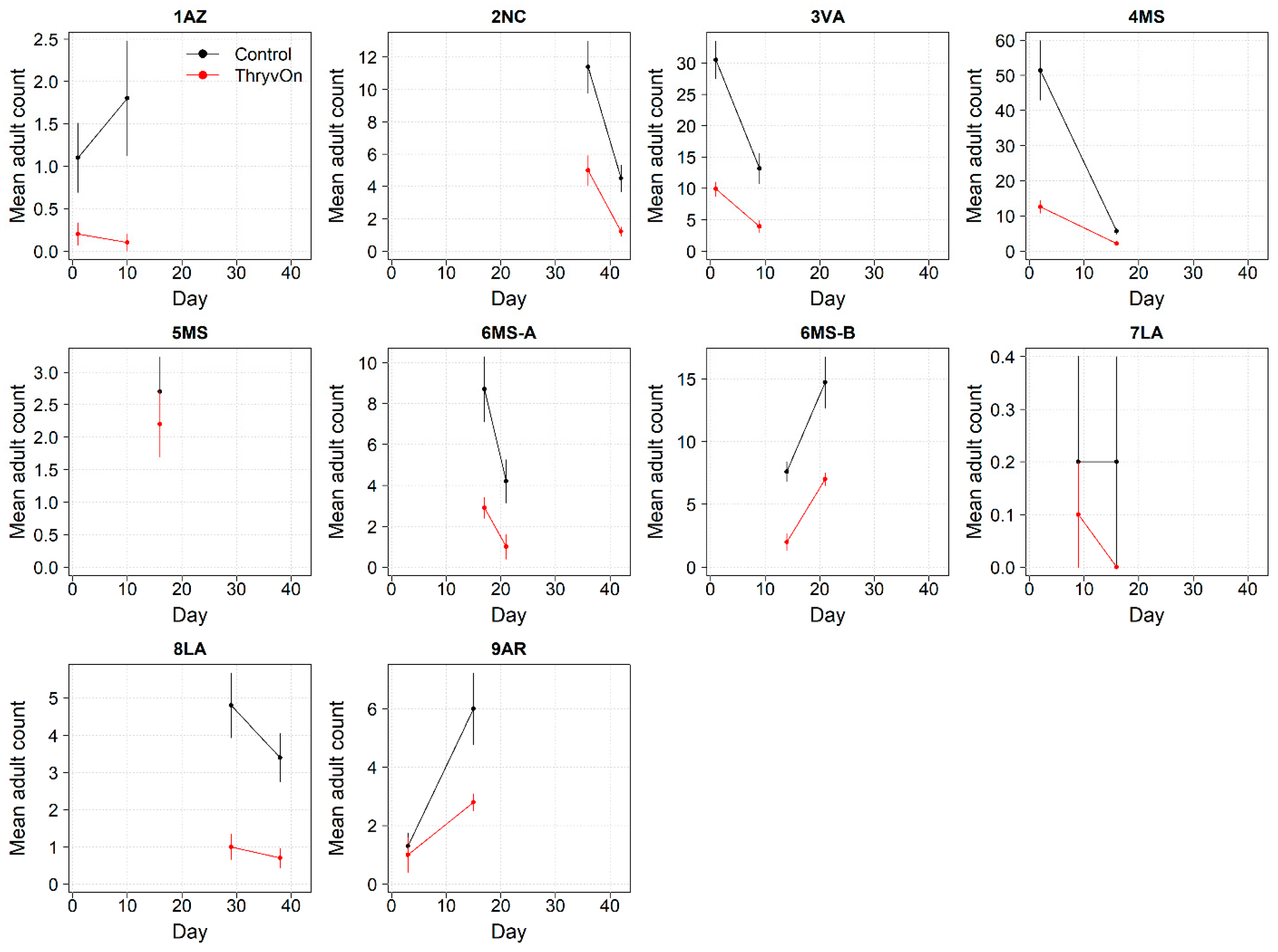
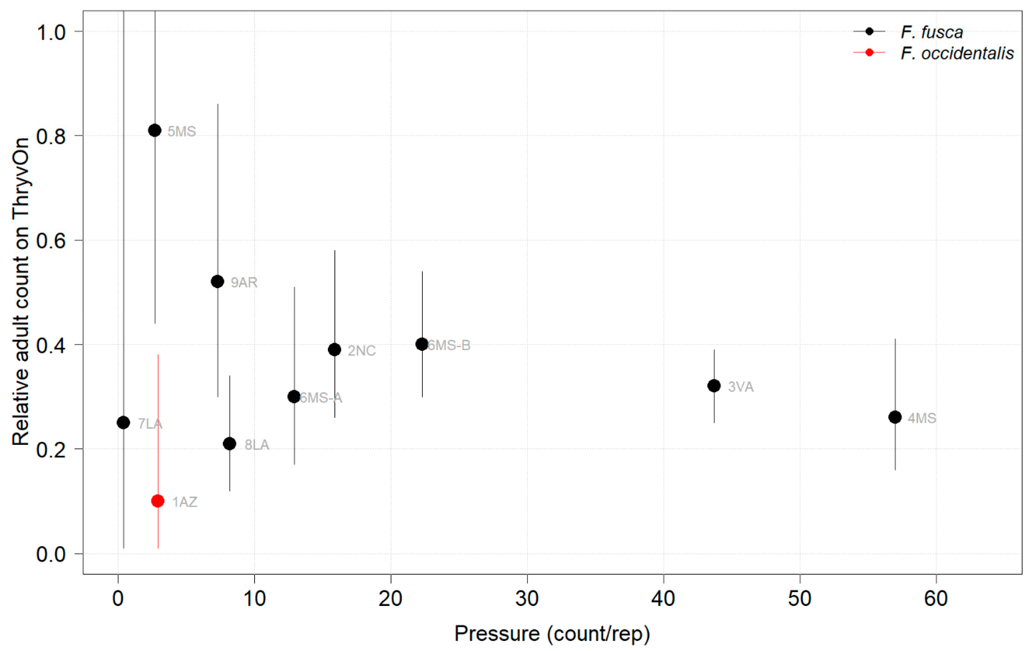
3.1. Thrips Immature Counts
3.2. Thrips Adult Counts
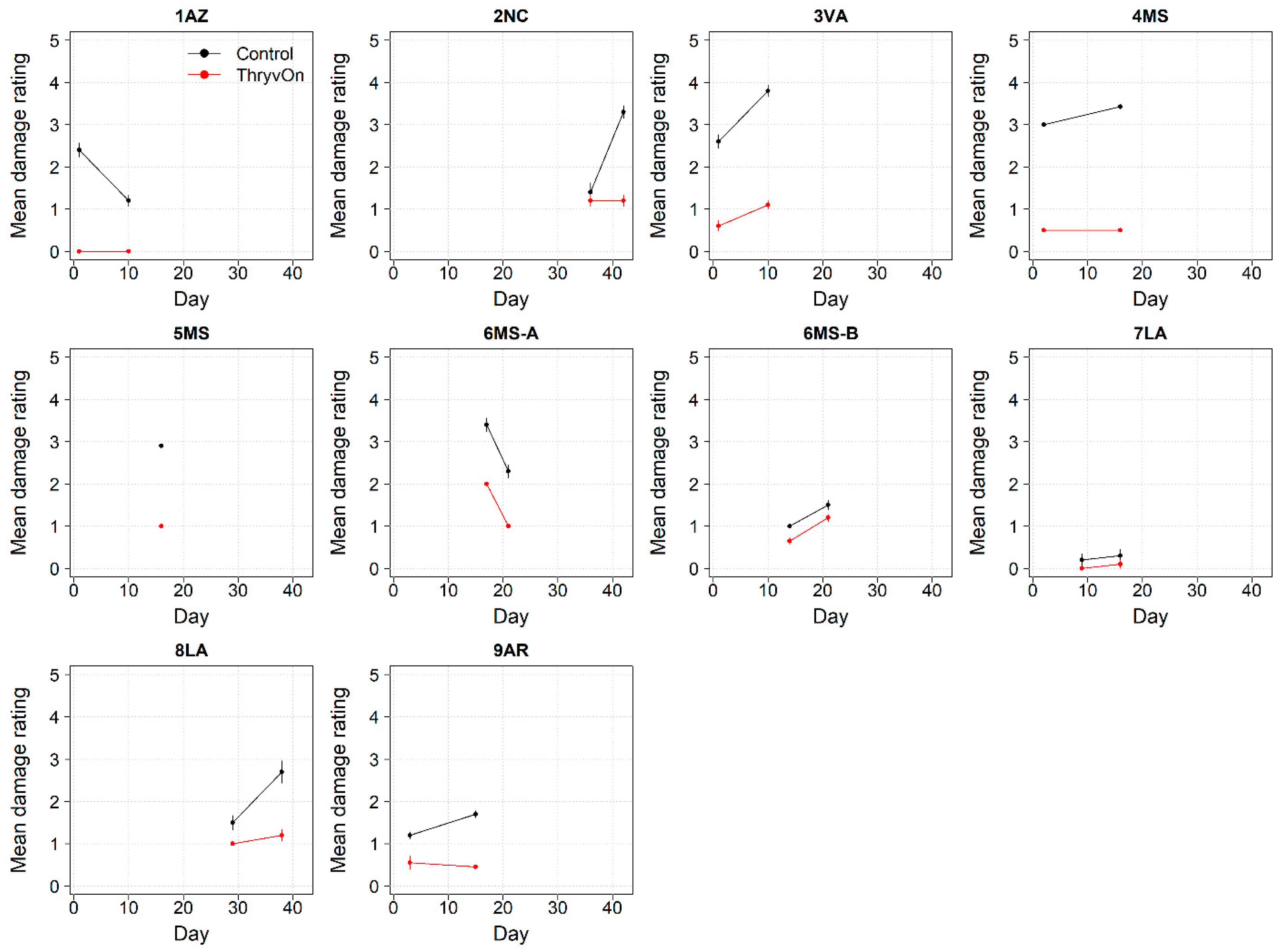
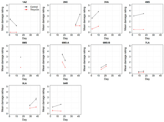
3.3. Thrips Damage Ratings
4. Discussion
Author Contributions
Funding
Data Availability Statement
Acknowledgments
Conflicts of Interest
References
- Schnepf, E.; Crickmore, N.; van Rie, J.; Lereclus, D.; Baum, J.; Feitelson, J.; Zeigler, D.R.; Dean, D.H. Bacillus thuringiensis and its pesticidal crystal proteins. Microbiol. Mol. Biol. Rev. 1998, 62, 775–806. [Google Scholar] [CrossRef]
- Romeis, J.; Meissle, M.; Bigler, F. Transgenic crops expressing Bacillus thuringiensis toxins and biological control. Nat. Biotechnol. 2006, 24, 63–71. [Google Scholar] [CrossRef]
- Head, G.P.; Greenplate, J. The design and implementation of insect resistance management programs for Bt crops. GM Crop. Food 2012, 3, 144–153. [Google Scholar] [CrossRef]
- Bachman, P.M.; Ahmad, A.; Ahrens, J.E.; Akbar, W.; Baum, J.A.; Brown, S.; Clark, T.L.; Fridley, J.M.; Gowda, A.; Greenplate, J.T.; et al. Characterization of the activity spectrum of MON 88702 and the plant-incorporated protectant Cry51Aa2.834_16. PLoS ONE 2017, 12, e0169409. [Google Scholar] [CrossRef] [PubMed]
- Huseth, A.S.; D’Ambrosio, D.A.; Yorke, B.T.; Head, G.P.; Kennedy, G.G. Novel mechanism of thrips suppression by Cry51Aa2.834_16 Bt toxin expressed in cotton. Pest Manag. Sci. 2020, 76, 1492–1499. [Google Scholar] [CrossRef]
- Akbar, W.; Gowda, A.; Ahrens, J.E.; Stelzer, J.W.; Brown, R.S.; Bollman, S.L.; Greenplate, J.T.; Gore, J.; Catchot, A.L.; Lorenz, G.; et al. First transgenic trait for control of plant bugs and thrips in cotton. Pest Manag. Sci. 2018, 75, 867–877. [Google Scholar] [CrossRef]
- Gowda, A.; Rydel, T.J.; Wollacott, A.M.; Brown, R.S.; Akbar, W.; Clark, T.L.; Flasinski, S.; Nageotte, J.R.; Read, A.C.; Shi, X.; et al. A transgenic approach for controlling Lygus in cotton. Nat. Commun. 2016, 7, 12213. [Google Scholar] [CrossRef]
- Graham, S.H.; Stewart, S.D. Field Study Investigating Cry51Aa2.834_16 in Cotton for Control of Thrips (Thysanoptera: Thripidae) and Tarnished Plant Bugs (Hemiptera: Miridae). J. Econ. Entomol. 2018, 111, 2717–2726. [Google Scholar] [CrossRef] [PubMed]
- Tabashnik, B.E.; Carrière, Y. Surge in insect resistance to transgenic crops and prospects for sustainability. Nat. Biotechnol. 2017, 35, 926–935. [Google Scholar] [CrossRef]
- Tabashnik, B.E.; Fabrick, J.A.; Carrière, Y. Global Patterns of Insect Resistance to Transgenic Bt Crops: The First 25 Years. J. Econ. Entomol. 2023, 116, 297–309. [Google Scholar] [CrossRef]
- IRAC. Industry Perspectives on Insect Resistance Monitoring for Transgenic Insect-Protected Crops. Available online: https://irac-online.org/documents/industry-perspectives-on-ir-monitoring/?ext=pdf (accessed on 14 April 2023).
- Bates, S.L.; Zhao, J.-Z.; Roush, R.T.; Shelton, A.M. Insect resistance management in GM crops: Past, present and future. Nat. Biotechnol. 2005, 23, 57–62. [Google Scholar] [CrossRef] [PubMed]
- Roush, R.T.; Miller, G.L. Considerations for design of insecticide resistance monitoring programs. J. Econ. Entomol. 1986, 79, 293–298. [Google Scholar] [CrossRef]
- Sivasupramaniam, S.; Head, G.P.; English, L.; Li, Y.J.; Vaughn, T.T. A global approach to resistance monitoring. J. Invertebr. Pathol. 2007, 95, 224–226. [Google Scholar] [CrossRef]
- United States Environmental Protection Agency. U.S. Pest Biology, Dose, Mechanisms/Genetics of Resistance, Cross Resistance, Refuge Strategies and Resistance Monitoring for Bt Corn, Cotton, and Potato; United States Environmental Protection Agency: Washington, DC, USA, 1998.
- Dively, G.P.; Kuhar, T.P.; Taylor, S.; Doughty, H.B.; Holmstrom, K.; Gilrein, D.; Nault, B.A.; Ingerson-Mahar, J.; Whalen, J.; Reisig, D.; et al. Sweet Corn Sentinel Monitoring for Lepidopteran Field-Evolved Resistance to Bt Toxins. J. Econ. Entomol. 2021, 114, 307–319. [Google Scholar] [CrossRef]
- Dively, G.P.; Venugopal, P.D.; Finkenbinder, C. Field-Evolved Resistance in Corn Earworm to Cry Proteins Expressed by Transgenic Sweet Corn. PLoS ONE 2016, 11, e0169115. [Google Scholar] [CrossRef]
- Crickmore, N.; Berry, C.; Panneerselvam, S.; Mishra, R.; Connor, T.R.; Bonning, B.C. A structure-based nomenclature for Bacillus thuringiensis and other bacteria-derived pesticidal proteins. J. Invertebr. Pathol. 2021, 186, 107438. [Google Scholar] [CrossRef] [PubMed]
- Cook, D.R. Cotton Crop Loss Data. Available online: https://www.biochemistry.msstate.edu/resources/cottoncrop.php (accessed on 10 March 2023).
- Cook, D.; Herbert, A.; Akin, D.S.; Reed, J. Biology, crop injury, and management of thrips (Thysanoptera: Thripidae) infesting cotton seedlings in the United States. J. Integr. Pest Manag. 2011, 2, B1–B9. [Google Scholar] [CrossRef]
- Stewart, S.D.; Akin, S.D.; Reed, J.; Bacheler, J.; Catchot, A.; Cook, D.; Gore, J.; Greene, J.; Herbert, A.; Jackson, R.E.; et al. Arthropod management & applied ecology: Survey of thrips species infesting cotton across the southern U.S. cotton belt. J. Cotton Sci. 2013, 17, 263–269. [Google Scholar]
- USDA-NASS. Data and Statistics–Statistics by Subject. Available online: https://www.nass.usda.gov/Statistics_by_Subject/index.php?sector=CROPS (accessed on 10 February 2023).
- Swezey, S.L.; Nieto, D.J.; Bryer, J.A. Control of Western Tarnished Plant Bug Lygus hesperus Knight (Hemiptera: Miridae) in California Organic Strawberries Using Alfalfa Trap Crops and Tractor-Mounted Vacuums. Environ. Entomol. 2007, 36, 1457–1465. [Google Scholar] [CrossRef]
- UC IPM. Agriculture: Alfalfa Pest Management Guidelines-Thrips. Available online: https://ipm.ucanr.edu/agriculture/alfalfa/thrips/ (accessed on 28 March 2023).
- Darnell-Crumpton, C.; Catchot, A.L.; Cook, D.R.; Gore, J.; Dodds, D.M.; Morsello, S.C.; Musser, F.R. Neonicotinoid insecticide resistance in tobacco thrips (Thysanoptera: Thripidae) of Mississippi. J. Econ. Entomol. 2018, 111, 2824–2830. [Google Scholar] [CrossRef]
- Huseth, A.S.; Chappell, T.M.; Langdon, K.; Morsello, S.C.; Martin, S.; Greene, J.K.; Herbert, A.; Jacobson, A.L.; Reay-Jones, F.P.F.; Reed, T.; et al. Frankliniella fusca resistance to neonicotinoid insecticides: An emerging challenge for cotton pest management in the Eastern United States. Pest Manag. Sci. 2016, 10, 1934–1945. [Google Scholar] [CrossRef] [PubMed]
- Dorman, S.J.; Gross, A.D.; Musser, F.R.; Catchot, B.D.; Smith, R.H.; Reisig, D.D.; Reay-Jones, F.P.F.; Greene, J.K.; Roberts, P.M.; Taylor, S.V. Resistance monitoring to four insecticides and mechanisms of resistance in Lygus lineolaris Palisot de Beauvois (Hemiptera: Miridae) populations of southeastern USA cotton. Pest Manag. Sci. 2020, 76, 3935–3944. [Google Scholar] [CrossRef] [PubMed]
- Kerns, C.D.; Greene, J.K.; Reay-Jones, F.P.F.; Bridges, W.C. Effects of planting date on thrips (Thysanoptera: Thripidae) in cotton. J. Econ. Entomol. 2019, 112, 699–707. [Google Scholar] [CrossRef]
- R Core Team. R: A Language and Environment for Statistical Computing. Available online: https://www.R-project.org/ (accessed on 10 March 2023).
- Layton, B.; Reed, J. Biology and Control of Thrips on Seedling Cotton. Available online: http://extension.msstate.edu/sites/default/files/publications/publications/P2302.pdf (accessed on 16 March 2023).
- Beaudoin, A.L.P.; Kennedy, G.G. Management of Winter Weeds Affects Frankliniella fusca (Thysanoptera: Thripidae) Dispersal. Environ. Entomol. 2012, 41, 362–369. [Google Scholar] [CrossRef] [PubMed]
- Morsello, S.C.; Beaudoin, A.L.P.; Groves, R.L.; Nault, B.A.; Kennedy, G.G. The influence of temperature and precipitation on spring dispersal of Frankliniella fusca changes as the season progresses. Entomol. Exp. Appl. 2010, 134, 260–271. [Google Scholar] [CrossRef]
- Efron, B.; Morris, C. Stein’s Paradox in Statistics. Sci. Am. 1977, 236, 119–127. [Google Scholar] [CrossRef]
- D’Ambrosio, D.A.; Kennedy, G.G.; Huseth, A.S. Frankliniella fusca and Frankliniella occidentalis response to thrips-active Cry51Aa2.834_16 Bt cotton with and without neonicotinoid seed treatment. Crop Prot. 2020, 129, 105042. [Google Scholar] [CrossRef]










| Site Code | Institution | Academic Cooperator(s) | Plot County/ Parish, State | Species |
|---|---|---|---|---|
| 1AZ | University of Arizona | Peter Ellsworth | Pinal Co., AZ | Frankliniella occidentalis |
| 2NC | North Carolina State University | Dominic Reisig | Washington Co., NC | Frankliniella fusca |
| 3VA | Virginia Tech | Sally Taylor | Suffolk 1, VA | Frankliniella fusca |
| 4MS | Mississippi State University | Angus Catchot | Tallahatchie Co., MS | Frankliniella fusca |
| 5MS | Mississippi State University | Angus Catchot | Leflore Co., MS | Frankliniella fusca |
| 6MS-A/6MS 2 | Mississippi State University | Whitney Crow, Jeff Gore, Don Cook | Washington Co., MS | Frankliniella fusca |
| 6MS-B 3 | Mississippi State University | Whitney Crow, Jeff Gore, Don Cook | Coahoma Co., MS | Frankliniella fusca |
| 7LA 3,4 | Louisiana State University | Sebe Brown | Rapides Parish, LA | Frankliniella fusca |
| 7TN 4 | University of Tennessee | Sebe Brown | Madison Co., TN | Frankliniella fusca |
| 8LA | Louisiana State University | Tyler Towles | Tensas Parish, LA | Frankliniella fusca |
| 9AR 3 | University of Arkansas | Gus Lorenz, Ben Thrash | Lee Co., AR | Frankliniella fusca |
Disclaimer/Publisher’s Note: The statements, opinions and data contained in all publications are solely those of the individual author(s) and contributor(s) and not of MDPI and/or the editor(s). MDPI and/or the editor(s) disclaim responsibility for any injury to people or property resulting from any ideas, methods, instructions or products referred to in the content. |
© 2023 by the authors. Licensee MDPI, Basel, Switzerland. This article is an open access article distributed under the terms and conditions of the Creative Commons Attribution (CC BY) license (https://creativecommons.org/licenses/by/4.0/).
Share and Cite
Yates-Stewart, A.D.; Yorke, B.T.; Willse, A.; Fridley, J.; Head, G.P. Using Sentinel Plots to Monitor for Changes in Thrips Susceptibility to MON 88702 Cotton Containing the Cry51Aa2.834_16 Bt Protein. Insects 2023, 14, 497. https://doi.org/10.3390/insects14060497
Yates-Stewart AD, Yorke BT, Willse A, Fridley J, Head GP. Using Sentinel Plots to Monitor for Changes in Thrips Susceptibility to MON 88702 Cotton Containing the Cry51Aa2.834_16 Bt Protein. Insects. 2023; 14(6):497. https://doi.org/10.3390/insects14060497
Chicago/Turabian StyleYates-Stewart, Ashley D., Benjamin T. Yorke, Alan Willse, Jennifer Fridley, and Graham P. Head. 2023. "Using Sentinel Plots to Monitor for Changes in Thrips Susceptibility to MON 88702 Cotton Containing the Cry51Aa2.834_16 Bt Protein" Insects 14, no. 6: 497. https://doi.org/10.3390/insects14060497
APA StyleYates-Stewart, A. D., Yorke, B. T., Willse, A., Fridley, J., & Head, G. P. (2023). Using Sentinel Plots to Monitor for Changes in Thrips Susceptibility to MON 88702 Cotton Containing the Cry51Aa2.834_16 Bt Protein. Insects, 14(6), 497. https://doi.org/10.3390/insects14060497
