Reducing the Application Rate of Molluscicide Pellets for the Invasive Spanish Slug, Arion vulgaris
Abstract
:Simple Summary
Abstract
1. Introduction
2. Materials and Methods
2.1. Collection and Maintenance of Slugs
2.2. Laboratory Trials
2.3. Statistical Analysis
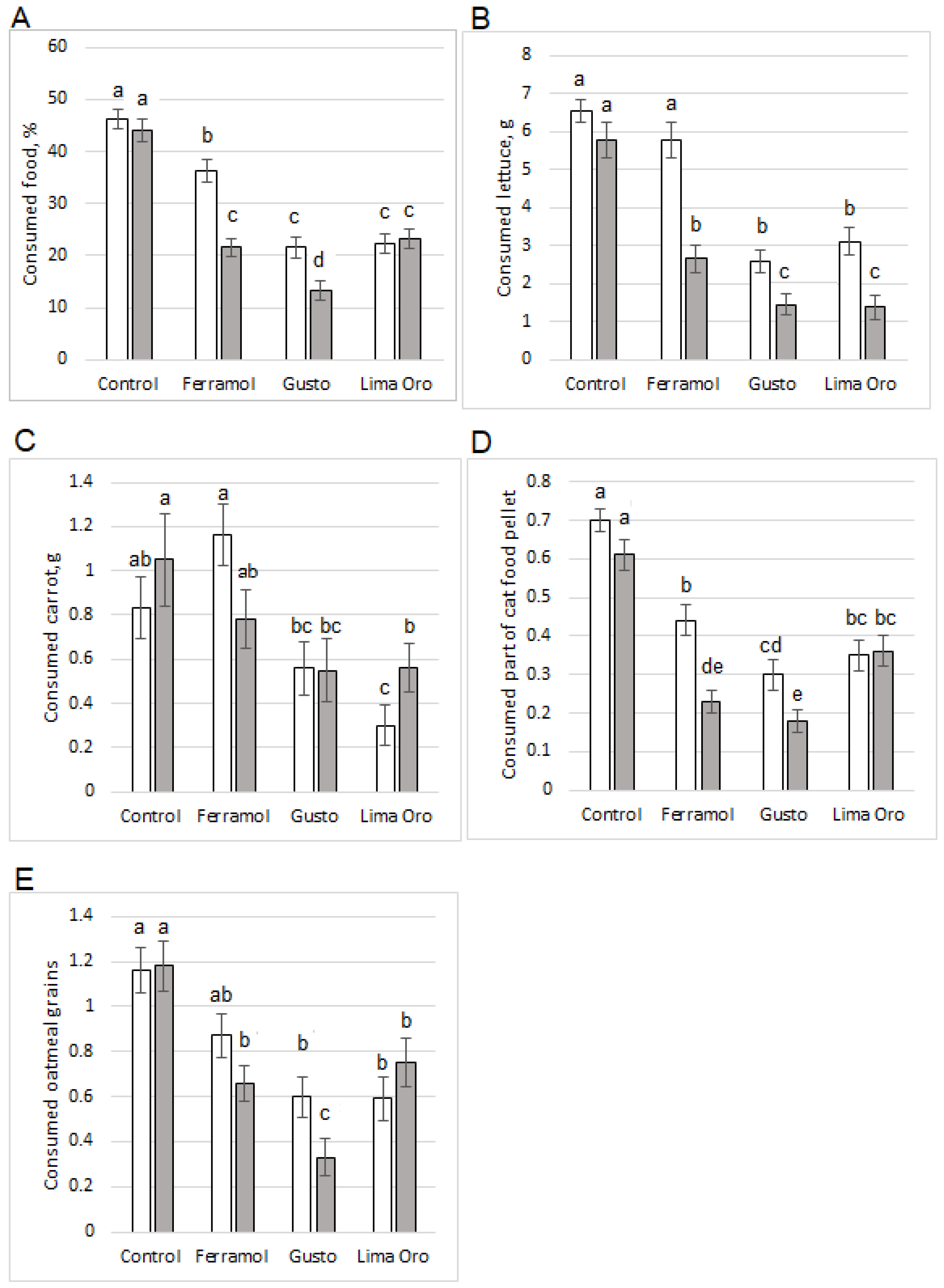
3. Results
4. Discussion
5. Conclusions
Author Contributions
Funding
Institutional Review Board Statement
Data Availability Statement
Acknowledgments
Conflicts of Interest
References
- Adomaitis, M.; Skujienė, G. Spreading Perspectives of Invasive Slug Arion lusitanicus (Mollusca, Pulmonata, Arionidae) in Lithuania. Biodivers. Lith. (Status Struct. Conserv.) 2016, 4, 41–49. [Google Scholar]
- Kozłowski, J.; Kozłowski, R.J. Expansion of the Invasive Slug Species Arion lusitanicus Mabille, 1868 (Gastropoda: Pulmonata: Stylomatophora) and Dangers to Garden Crops–A Literature Review with Some New Data. Folia Malac. 2011, 19, 249–258. [Google Scholar] [CrossRef] [Green Version]
- Sturm, R. The Effect of Various Environmental Factors on the Distribution of Terrestric Slugs (Gastropoda: Pulmonata: Arionidae)—An Exemplary Study. Linzer Biol. Beiträge 2007, 39, 1221–1232. [Google Scholar]
- Dörler, D.; Kropf, M.; Laaha, G.; Zaller, J.G. Occurrence of the Invasive Spanish Slug in Gardens: Can a Citizen Science Approach Help Deciphering Underlying Factors? BMC Ecol. 2018, 18, 23. [Google Scholar] [CrossRef] [PubMed] [Green Version]
- Jaagus, J.; Briede, A.; Rimkus, E.; Sepp, M. Changes in Precipitation Regime in the Baltic Countries in 1966–2015. Theor. Appl. Climatol. 2018, 131, 433–443. [Google Scholar] [CrossRef]
- Briner, T.; Frank, T. The Palatability of 78 Wildflower Strip Plants to the Slug Arion lusitanicus. Ann. Appl. Biol. 1998, 133, 123–133. [Google Scholar] [CrossRef]
- Kozłowski, J.; Jaskulska, M.; Kozłowska, M. Damage to the Legume (Fabacea) and Rapeseed (Brassicae) Plants Caused by Arion vulgaris Moquin-Tandon, 1855, A. rufus (Linnaeus, 1758) and Deroceras reticulatum (O. F. Müller, 1774). Folia Malac. 2018, 26, 207–211. [Google Scholar] [CrossRef]
- Honěk, A.; Martinková, Z. Floral Herbivory of an Invasive Slug on a Native Weed. Plant. Protect. Sci. 2014, 50, 151–156. [Google Scholar] [CrossRef] [Green Version]
- Buhl, K.J.; Berman, F.J.; Stone, D.L. Reports of Metaldehyde and Iron Phosphate Exposures in Animals and Characterization of Suspected Iron Toxicosis in Dogs. J. Am. Vet. Med. A. 2013, 243, 478–480. [Google Scholar] [CrossRef]
- Castle, G.D.; Mills, G.A.; Bakir, A.; Gravell, A.; Schumacher, M.; Snow, K.; Fones, G.R. Measuring Metaldehyde in Surface Waters in the UK Using Two Monitoring Approaches. Environ. Sci. Process. Impacts 2018, 20, 1180–1190. [Google Scholar] [CrossRef] [Green Version]
- Davey, A.; Hall, T.; Horn, J.; Jönsson, J. Evidence Review of Catchment Strategies for Managing Metaldehyde; UK Water Industry Research: London, UK, 2014. [Google Scholar]
- Laznik, Ž.; Majić, I.; Horvat, A.; Trdan, S. Contact Efficacy of Different Wood Ashes against Spanish Slug, Arion vulgaris (Gastropoda: Arionidae). Appl. Sci. 2020, 10, 8564. [Google Scholar] [CrossRef]
- Ross, J.L. Riding the Slime Wave: Gathering Global Data on Slug Control; Nuffield Farming Scholarships Trust: Taunton, UK, 2019; ISBN 978-1-912059-04-1. [Google Scholar]
- Barua, A.; Williams, C.D.; Ross, J.L. A Literature Review of Biological and Bio-Rational Control Strategies for Slugs: Current Research and Future Prospects. Insects 2021, 12, 541. [Google Scholar] [CrossRef] [PubMed]
- Cragg, J.B.; Vincent, M.H. The Action of Metaldehyde on the Slug Agriolimax reticulatus (Müller). Ann. Appl. Biol. 1952, 39, 392–406. [Google Scholar] [CrossRef]
- Bourne, N.B.; Jones, G.W.; Bowen, I.D. Feeding Behaviour and Mortality of the Slug, Deroceras reticulatum, in Relation to Control with Molluscicidal Baits Containing Various Combinations of Metaldehyde with Methiocarb. Ann. Appl. Biol. 1990, 117, 455–468. [Google Scholar] [CrossRef]
- Friedli, J.; Frank, T. Reduced Applications of Metaldehyde Pellets for Reliable Control of the Slug Pests Arion lusitanicus and Deroceras reticulatum in Oilseed Rape Adjacent to Sown Wildflower Strips. J. Appl. Ecol. 1998, 35, 504–513. [Google Scholar] [CrossRef]
- Salvio, C.; Faberi, A.J.; López, A.N.; Manetti, P.L.; Clemente, N.L. The Efficacy of Three Metaldehyde Pellets Marketed in Argentina, on the Control of Deroceras reticulatum (Müller) (Pulmonata: Stylommatophora). Span. J. Agric. Res. 2008, 6, 70–77. [Google Scholar] [CrossRef] [Green Version]
- Hammond, R.B.; Smith, J.A.; Beck, T. Timing of Molluscicide Applications for Reliable Control in No-Tillage Field Crops. J. Econ. Entomol. 1996, 89, 1028–1032. [Google Scholar] [CrossRef]
- Dörler, D.; Scheucher, A.; Zaller, J.G. Efficacy of Chemical and Biological Slug Control Measures in Response to Watering and Earthworms. Sci. Rep. 2019, 9, 2954. [Google Scholar] [CrossRef]
- Campbell, A.; Audsley, N.; Port, G. The Fate of Deroceras reticulatum Following Metaldehyde Poisoning. Insects 2021, 12, 344. [Google Scholar] [CrossRef]
- Kemp, N.J.; Newell, P.F. Laboratory Observations on the Effectiveness of Methiocarb and Metaldehyde Baits against the Slug Deroceras reticulatum (Mull). J. Moll. Stud. 1985, 51, 228–230. [Google Scholar]
- Gavin, W.E.; Mueller-Warrant, G.W.; Griffith, S.M.; Banowetz, G.M. Removal of Molluscicidal Bait Pellets by Earthworms and Its Impact on Control of the Gray Field Slug (Derocerus reticulatum Mueller) in Western Oregon Grass Seed Fields. Crop Prot. 2012, 42, 94–101. [Google Scholar] [CrossRef]
- Kozłowski, J.; Jaskulska, M.; Kozłowska, M. Evaluation of the Effectiveness of Iron Phosphate and the Parasitic Nematode Phasmarhabditis hermaphrodita in Reducing Plant Damage Caused by the Slug Arion vulgaris Moquin-Tandon, 1885. Folia Malac. 2014, 22, 293–300. [Google Scholar] [CrossRef] [Green Version]
- Grubišić, D.; Čuljak, T.G.; Mešić, A.; Juran, I.; Loparić, A.; Starčević, D.; Brmež, M.; Benković- Lačić, T. Slug Control in Leafy Vegetable Using Nematode Phasmarhabditis hermaphrodita (Schneider). Appl. Ecol. Env. Res. 2018, 16, 1739–1747. [Google Scholar] [CrossRef]
- Brooks, A.S.; Wilcox, A.; Cook, R.T.; Crook, M.J. A Laboratory-Based Comparison of a Molluscicide and an Alternative Food Source (Red Clover) as Means of Reducing Slug Damage to Winter Wheat. Pest. Manag. Sci. 2005, 61, 715–720. [Google Scholar] [CrossRef] [PubMed]
- Chabert, A. Active Duration of Molluscicides. In Slug and Snail Pests in Agriculture; British Crop Protection Council: Farnham, UK, 1996; pp. 173–180. [Google Scholar]
- Castle, G.D.; Mills, G.A.; Gravell, A.; Jones, L.; Townsend, I.; Cameron, D.G.; Fones, G.R. Review of the Molluscicide Metaldehyde in the Environment. Environ. Sci. Water Res. Technol. 2017, 3, 415–428. [Google Scholar] [CrossRef] [Green Version]
- Kozłowski, J. Host Plants and Harmfulness of the Arion lusitanicus Mabille, 1868 Slug. J. Plant. Prot. Res. 2005, 45, 221–233. [Google Scholar]
- Iglesias, J.; Speiser, B. Consumption Rate and Susceptibility to Parasitic Nematodes and Chemical Molluscicides of the Pest Slugs Arion hortensis s. s. and A. distinctus. J. Pest. Sci 2001, 74, 159–166. [Google Scholar]
- Rae, R.G.; Robertson, J.F.; Wilson, M.J. Optimization of Biological (Phasmarhabditis hermaphrodita) and Chemical (Iron Phosphate and Metaldehyde) Slug Control. Crop Prot. 2009, 28, 765–773. [Google Scholar] [CrossRef]
- Speiser, B.; Kistler, C. Field Tests with a Molluscicide Containing Iron Phosphate. Crop Prot. 2002, 21, 389–394. [Google Scholar] [CrossRef]
- Triebskorn, R.; Christensen, K.; Heim, G. Effects of Orally and Dermally Applied Metaldehyde on Mucus Cells of Slugs (Deroceras reticulatum) Depending on Temperature and Duration of Exposure. J. Moll. Stud. 1998, 64, 467–487. [Google Scholar] [CrossRef] [Green Version]
- Salmijah, S.; Chan, M.K.; Kong, B.H.; Maimon, A.; Ismail, B.S. Development of Resistance in Achatina fulica Fer. and Bradybaena similaris Fer. towards Metaldehyde. Plant. Prot. Q. 2000, 15, 4. [Google Scholar]




| Product | Active Ingredient, Concentration | Recommended Rate, g/m2 | A single Dose, 1 or 5 Pellets, g |
|---|---|---|---|
| Ferramol® (Neudorff, Germany) | Iron phosphate, 1% | 2.5 (16 pellets) | 0.16 or 0.8 |
| Gusto® (Adama, The Netherlands) | Metaldehyde, 3% | 0.6 (10 pellets) | 0.06 or 0.3 |
| Lima Oro® (Sharda, Spain) | Metaldehyde, 5% | 0.7 (4 pellets) | 0.18 or 0.9 |
| Day | 1 | 2 | 3 | 4 | 5 | 6 | 7 | |
|---|---|---|---|---|---|---|---|---|
| Activity | ||||||||
| Trial setup | x | |||||||
| Addition of new pellet(s) | x | x | x | |||||
| Addition of new food portion | x | x | x | |||||
| Cleaning and moistening the slug | x | x | x | |||||
| Assessment of slug herbivory (separately for each food type) | x | x | x | |||||
| Assessment of pellet ingestion by the slug | x | x | x | |||||
| Toxicity assessment | x | x | x | |||||
| Weighing | x | x | x | x | ||||
| Removal of old pellets | x | x | x | |||||
| Removal of old food portion | x | x | x | |||||
| Cleaning container | x | x | x | |||||
| Slug removal | x | |||||||
| Factors | Df | Sum Sq | F Value | Pr (>F) | Sum Sq | F Value | Pr (>F) |
|---|---|---|---|---|---|---|---|
| Herbivory | Weight | ||||||
| SC | 3 | 3.027 | 87.999 | <0.001 *** | 242.07 | 61.083 | <0.001 *** |
| D | 1 | 0.318 | 27.754 | <0.001 *** | 39.31 | 29.757 | <0.001 *** |
| T | 1 | 0.478 | 41.691 | <0.001 *** | 40.83 | 30.909 | <0.001 *** |
| SC-D Int. | 3 | 0.243 | 7.077 | <0.001 *** | 21.28 | 5.370 | 0.001 ** |
| SC-T Int. | 3 | 0.107 | 3.110 | 0.0269 * | 5.35 | 1.351 | 0.258 |
| D-T Int. | 1 | 0.015 | 1.284 | 0.258 | 11.51 | 8.711 | 0.003 ** |
| SC-D-T Int. | 3 | 0.073 | 2.129 | 0.0969 | 7.69 | 1.941 | 0.123 |
| Control Measure | Slug Mass | Damaged Slugs | Lettuce | Carrot | Cat Food | Oat-Meal | All Food |
|---|---|---|---|---|---|---|---|
| Ferramol 1 | +0.34 * | −0.18 | +0.36 * | −0.04 | +0.23 | +0.21 | +0.39 * |
| Gusto 1 | −0.14 | −0.09 | +0.15 | −0.09 | −0.14 | −0.22 | −0.16 |
| Lima Oro 1 | −0.49 * | +0.54 * | −0.24 | −0.11 | −0.42 * | −0.21 | −0.37 * |
| Ferramol 5 | +0.21 | +0.16 | +0.21 | +0.12 | +0.16 | −0.06 | +0.11 |
| Gusto 5 | +0.06 | +0.42 * | +0.16 | −0.12 | −0.02 | +0.14 | +0.06 |
| Lima Oro 5 | −0.08 | +0.41 * | +0.41 * | +0.21 | −0.21 | −0.31 * | −0.15 |
Publisher’s Note: MDPI stays neutral with regard to jurisdictional claims in published maps and institutional affiliations. |
© 2022 by the authors. Licensee MDPI, Basel, Switzerland. This article is an open access article distributed under the terms and conditions of the Creative Commons Attribution (CC BY) license (https://creativecommons.org/licenses/by/4.0/).
Share and Cite
Adomaitis, M.; Skujienė, G.; Račinskas, P. Reducing the Application Rate of Molluscicide Pellets for the Invasive Spanish Slug, Arion vulgaris. Insects 2022, 13, 301. https://doi.org/10.3390/insects13030301
Adomaitis M, Skujienė G, Račinskas P. Reducing the Application Rate of Molluscicide Pellets for the Invasive Spanish Slug, Arion vulgaris. Insects. 2022; 13(3):301. https://doi.org/10.3390/insects13030301
Chicago/Turabian StyleAdomaitis, Mantas, Grita Skujienė, and Paulius Račinskas. 2022. "Reducing the Application Rate of Molluscicide Pellets for the Invasive Spanish Slug, Arion vulgaris" Insects 13, no. 3: 301. https://doi.org/10.3390/insects13030301
APA StyleAdomaitis, M., Skujienė, G., & Račinskas, P. (2022). Reducing the Application Rate of Molluscicide Pellets for the Invasive Spanish Slug, Arion vulgaris. Insects, 13(3), 301. https://doi.org/10.3390/insects13030301

