Abstract
We report the results of molecular dynamics simulations of the frictional behavior of a Lennard–Jones fluid confined between two solid crystalline walls. To study the effects of commensurability on friction, different ratios of interatomic distances in walls and fluid were considered. In particular, numerical experiments with the same fluid confined between walls with five different lattice parameters were performed. System behavior was examined by analyzing calculated time dependencies of the friction force between fluid and solid walls and distributions of the velocities of fluid particles. Friction coefficients and slip length parameters were obtained as numerical characteristics of commensurability effects. Fluid behavior near the solid interface was analyzed through visualization of the atomistic configurations and calculation of radial distribution functions. In the performed simulations, a pronounced reduction in friction was observed for highly incommensurable configurations, when the ratio between fluid and wall interatomic distances is around 1.62.
1. Introduction
The interaction between a fluid and a bounding solid surface is of fundamental importance in fluid dynamics, governing a wide range of natural processes and technological applications [1,2]. Traditionally, the no-slip boundary condition, where the tangential component of the fluid velocity at the surface and corresponding component of wall velocity are equal, has served as a cornerstone in both theoretical and computational models of viscous flows [3,4]. While this assumption has been remarkably successful in describing macroscopic phenomena, growing evidence from micro and nanoscale studies suggests that it may not always hold [3,5]. In particular, the boundary condition may be different under conditions of strong confinement or high shear rates, or in the presence of chemically or topographically heterogeneous surfaces. In such contexts, deviations from the no-slip condition can emerge in the form of slip at the fluid–solid interface, whereby the fluid exhibits a finite tangential velocity relative to the wall. Conversely, stick conditions persist when molecular interactions enforce strong adhesion, effectively restoring the classical no-slip behavior. The transition between stick and slip regimes, as well as the parameters influencing this behavior, such as fluid properties, surface chemistry, roughness, and wettability remains a subject of intense investigation in both experimental and theoretical studies [6,7].
One of the most significant consequences of fluid slip is the reduction in interfacial friction. When slip occurs, the effective shear stress at the wall is diminished, substantially lowering energy dissipation in fluid transport systems [8]. This effect is particularly relevant in engineering applications where efficiency and energy savings are critical. By controlling or enhancing slip through various mechanisms, it becomes possible to minimize viscous losses and improve performance in systems operating at both macro and nanoscales [8,9].
Many reported studies of the behavior of fluids confined between rigid solid walls are based on computer simulations [4,10,11,12,13]. Molecular dynamics (MD) is typically used to describe the phenomena that occur at the nanoscale, where classical hydrodynamic equations cannot characterize the system behavior. As an illustrative example we can refer to classical studies [2,3,7], where ordering and flow of the Lennard–Jones (LJ) fluid near solid walls were described with MD simulations. Other notable examples of the characterization of fluid–wall interactions, based on molecular dynamics, are the description of solidification of LJ fluid near the wall [14], the study of the commensurability effects of nanoconfined water [15,16,17,18,19], and many others [20,21,22,23,24,25].
Even though interatomic distances are an important parameter in MD simulations of tribological systems, most of the reported studies focus on particular effects, emerging in certain lubricants and solids, without quantifying the general effect of commensurability at arbitrary solid–fluid interfaces. This is the research question that the present work is primarily aimed at.
Here we report the results of MD simulations of friction between an LJ fluid and solid walls at different conditions. We aim to study how the friction coefficient in such systems depends on the ratio of interatomic distances between fluid particles to those between wall atoms. We expect friction reduction at incommensurable interatomic distances, when the mentioned relationship is close to the golden ratio. To verify this assumption, we performed a set of numerical experiments where an LJ fluid is confined between two parallel walls with a face-centered cubic (fcc) crystal structure and different lattice parameters. Such an analysis may be useful in understanding how the atomic structure and relative interatomic distances in solid walls affect the slip conditions and, correspondingly, the friction in the system.
2. Materials and Methods
We consider a nanotribological system that consists of a Lennard–Jones fluid confined between two solid walls. The wall particles are arranged according to the fcc lattice while each wall has a thickness of three atomic layers and an atomically flat surface. The fluid phase consists of 17,576 particles, while the number of atoms in a single wall varies from 1260 to 8112 for walls with the smallest and largest lattice parameter, respectively. The distance between inner atomic layers of the walls equals 5.73 nm in each experiment, with approximate lateral sizes of the simulation box in the xy plane being
nm. Periodic boundary conditions were applied to the system. When choosing the simulation setup, we followed the classical configuration of MD experiments on fluid flow between solid walls [3]. The fluid particles interact with each other and with wall particles via the Lennard–Jones potential:
where
is the distance between particles,
and
are the parameters of the LJ potential, and
is a cutoff distance. As our aim was to analyze how the commensurability of the actual interatomic distances in fluid
and walls
affects the behavior of the system, we considered several configurations with different magnitudes of the
ratio. Also, it should be noted that introducing a particular (real) fluid at the current stage of the study is not suitable for examining a wide range of
ratios, as fluid–wall interaction is computed through empirical LJ parameters in that case. Therefore, in our experiments we chose a generic LJ fluid with reference parameters
Å and
eV for all considered cases with different lattice parameters of the fcc walls. Moreover, for each value of the lattice parameter, we also considered three different strengths of fluid–wall interactions, namely
and
, as in [3], while
remains the same in all experiments.
In the initial configuration, fluid particles were placed in an ideal fcc crystal lattice, with a lattice parameter equivalent to an interatomic distance of 0.3 nm. The fluid was confined between solid walls, so that initial distances between fluid and wall particles equal
. After this, the system was left to reach an equilibrium configuration during the first
time steps, with the total length of each experiment being
time steps. All simulations used our previously developed in-house code for MD simulations on the GPU [13], which performs integration of the equations of motion and calculations of interatomic forces and corresponding particle trajectories. Simulations were performed in NVT ensemble. Equations of motion were integrated using the velocity Verlet algorithm with a time step
fs. The mentioned approach was successfully used in our earlier study of friction between nanomaterials [13].
Snapshots of typical configurations of the equilibrated fluid confined between rigid walls and the schematics of the experiments are shown in Figure 1 (all snapshots of atomistic configurations of the system were prepared with visual molecular dynamics software [26]).
Figure 1.
Example of the initial configuration of the studied system that consists of a Lennard–Jones fluid (orange atoms) confined between two parallel solid walls with fcc structure (blue atoms) moving in opposite directions with velocity V. Left and right panels show the system in different coordinate planes.
To track the process of the fluid reaching its equilibrium state, the normal components of the interaction force between fluid and walls were calculated during the equilibration of the system. Obtained time dependencies
are shown in Figure 2a. It can be seen that the evolution of normal force on both walls is characterized by damped oscillations in the initial stages, related to the recoil of fluid atoms from the rigid walls. As expected, the dependencies obtained for each wall are characterized by almost the same magnitudes with opposite signs, due to the symmetry of the system. Also, calculated dependencies indicate that forces between fluid and wall are repulsive, considering the scheme of the experiment with respect to direction of z axis (see Figure 1), which may indicate slight compression of the fluid. To obtain a quantitative characterization of the system structure, radial distribution functions (RDFs)
were calculated for both confined fluid and the solid walls. It is worth noting that RDFs are a fundamental structural characteristic in molecular dynamics simulations [27]. It provides direct insight into short- and long-range ordering within the system and is widely used to distinguish between liquid, crystalline, and amorphous states. RDFs, computed separately for the confined fluid and for the fcc structured atoms composing the solid walls, are shown in Figure 2b. As can be seen from the figure, the fluid RDF exhibits the typical form of a Lennard–Jones liquid: a pronounced first peak at the nearest-neighbor distance followed by damped oscillations that decay toward unity, reflecting short-range order without long-range correlations. In contrast, the RDF of the wall atoms shows the characteristic series of sharp peaks consistent with a face-centered cubic lattice. Both
are characterized by decreasing magnitude with the growth of the interatomic distance
ending with a sharp drop to zero due to the finite size of the system. Taken together, these results confirm that, after equilibration, the fluid is in a liquid state under confinement, while the walls maintain rigid crystal structure, as defined by simulation setup.
Figure 2.
(a) Time dependencies of the normal forces acting on the top and bottom walls. The inset shows an enlarged fragment during the first 105 time steps when initial damped oscillations are clearly visible. (b) Radial distribution functions of the LJ fluid and solid walls with crystal structure. The inset shows the range up to 1.5 nm in more detail.
Starting from this equilibrium configuration, atoms in the bottom and top walls were shifted in x and −x directions, respectively, for another
time steps in every studied configuration, simulating constant relative motion of the rigid walls. During the simulations all important parameters needed for characterization of the system behavior were recorded.
3. Results and Discussion
In this section, we present the main results of the performed molecular dynamics simulations. Our analysis focuses on several key quantities that characterize the fluid–wall interactions and the structural organization of the system. Specifically, we calculated the frictional forces between the fluid and moving walls. In each experiment, the friction force was computed as the total force exerted by fluid atoms on the confining walls, for the top and bottom walls separately. Normal components of the force acting on the walls also were calculated in order to estimate friction coefficients and normal pressure in the system. In addition, velocity distributions of the fluid particles were obtained to assess flow behavior and interfacial slip, while local atomistic configurations of the system were inspected to verify the structural states of the fluid near the crystalline walls.
As mentioned above, to examine how structural commensurability and interfacial interaction strength affects the dynamics of the confined fluid, MD simulations were performed for different lattice parameters of the solid walls, as well as for several values of the LJ energy parameter governing fluid–wall interatomic forces. Figure 3 summarizes the time-dependent behavior of the confined system for four different ratios of the characteristic interatomic distances in the fluid and wall,
and
, with three different energy parameters for fluid–wall interaction (see previous section). The exact ratios
were chosen such that the lateral size of the system remained constant. As we intended to examine a wider range of commensurability by varying the lattice parameter of the fcc walls while maintaining the same size of the system, the ratios
have been chosen so that some integer number of lattice units of fcc wall provides the constant total length.
Figure 3.
(a) Time dependencies of the friction force between fluid and the bottom wall for different
ratios (values are shown in the figure) and for
. The inset shows normal components of the force exerted by the fluid on the wall. (b) Distributions (along the normal coordinate Z) of the average Vx components of velocities of fluid particles calculated at step
for the experiments shown in Panel (a). Panels (c,d) together with (e,f) show the same dependencies, calculated for the cases with
and
, respectively. The different
ratios are shown with the same coloring in all panels.
Figure 3a shows the evolution of the tangential and normal components (shown in the inset) of the force exerted by the fluid atoms on the bottom wall, while Figure 3b presents the distributions of the Vx components of velocities of fluid atoms along the normal coordinate Z, within the volume between confining walls, calculated at the end of each experiment. The dependencies shown in Figure 3a,b were obtained with
, while Figure 3c,d together with Figure 3e,f show similar data calculated for different values of
parameter, namely with
and
. Note that the friction force acting on the bottom wall is negative (i.e., directed opposite to its motion). Likewise, the normal component of the force is negative because it is directed toward the wall, consistent with the sign convention shown in Figure 2a. It should be noted that the similar dependencies obtained for the top wall are virtually identical and therefore are not shown here.
In all presented experiments the largest magnitude of the friction force was observed in the configuration with
. All presented dependencies have a similar stiction spike in the initial region related to static friction, and some fluctuation near the actual value. The normal components of the forces acting on walls exhibit similar behavior, with clearly visible damped oscillations due to recoil of the fluid from rigid walls. Such behavior of friction forces is common and typically observed in MD simulations of nanotribological systems [13]. The velocity distributions of the confined fluid for the
case displayed in Figure 3b reveal the characteristic shear-driven flow profile imposed by the counter-moving walls. Typically, in MD simulations of confined fluids, the degree of slip at the interfaces can be inferred from the extrapolation of these profiles toward the solid boundaries and strongly depend on the energy of the fluid–wall interaction and several other factors [3].
Furthermore, increasing the
ratio to
results in a significant decline in the initial stiction spike height, and a slight decrease in the friction force, while the normal component of the force shows a little bit stronger repulsion between the wall and fluid. A significant reduction in friction force is observed as the
ratio reaches
and above, reflecting the enhanced slip associated with increasing incommensurability. The velocity profiles in Panel 3b reveal a parallel structural trend: for
and slightly incommensurate configurations (), the velocity distribution exhibits a near-linear gradient characteristic of classical shear flow. As the ratio grows toward
, the profiles progressively flatten, approaching an almost constant distribution, indicating the strong slip and diminished shear within the fluid layer. This transition mirrors the reduction in friction and highlights the central role of interfacial commensurability in controlling flow behavior.
Increasing the LJ energy parameter of the fluid–wall interaction
leads to quantitative changes in system behavior. Thus, as may be seen from Figure 3c,d, similar dependencies obtained at
are characterized by a higher stiction spike height for highly commensurate surfaces
00 and
, as well as much stronger repulsion for
. At the same time the velocity profile for
starts to approach linear shear flow more closely, compared to the
case. This tendency continues with further increase in the fluid–wall interaction energy, with the appearance of a prominent stiction spike for
and increased linearity in the corresponding velocity distributions at
(Figure 3e,f). Such behavior demonstrates that stronger fluid–wall coupling can partially suppress slip and restore shear across the fluid layer despite significant incommensurability. However, the relative reduction in the friction force is still observable for
even at larger
magnitudes.
As seen in the inset panels of Figure 3, the average magnitude of the normal force component Fz depends on the ratio
for any given
. This behavior is caused by different numbers of wall atoms involved in the fluid–wall interaction. Therefore, a larger Fz is observed for denser walls as expected. These forces can be equilibrated either by applying an external load to the walls, while allowing wall atoms to move in the Z direction or by increasing the distance between walls and the corresponding volume of the simulation box. However, results obtained under such conditions may not always be comparable for different
and therefore the mentioned constraints are not considered in this study. Even though this feature and other simulation details may slightly affect calculated friction forces and velocity profiles, the obtained data are physically correct and were verified by additional simulations; therefore, we hope that it can be compared for different cases.
A detailed illustration of the changes in the shear induced velocity distribution of the fluid particles due to the incommensurability is shown in Figure 4 through the atomistic configuration of the studied system. The presented configurations relate to the corresponding dependencies, as shown in Figure 3b. Here the magnitude of the Vx component of the velocity of each particle is denoted by a different color (coloring scheme and legend are shown in the figure).
Figure 4.
Examples of the atomistic configuration of the studied system at the end of the experiment (at
time steps) for two different cases with matching (left panel) and incommensurate (right panel) interatomic distances in fluid and walls. Fluid atoms are colored with respect to the magnitude of Vx component of velocities while wall atoms are shown in green. The snapshots were prepared with OVITO software (version 3.8.2) [28].
The presented atomistic configuration map illustrates the above-mentioned behavior, where the incommensurability of interatomic distances destroys the shear flow, and fluid particles no longer follow the moving walls.
In the experiments presented in Figure 3, the wall density parameter is in the range
. However, to explore the effect of incommensurability in the other direction, we also performed simulations with more sparse walls
. Moreover, to verify the assumption that reductions in friction force also can be achieved by increasing the repulsion between walls and fluid at commensurate interatomic distances, we also considered the case with a larger equilibrium distance
with
. Figure 5 shows the comparison of the obtained time dependencies of the friction forces (Panel 5a) and velocity distributions (inset panel) with the reference configuration
.
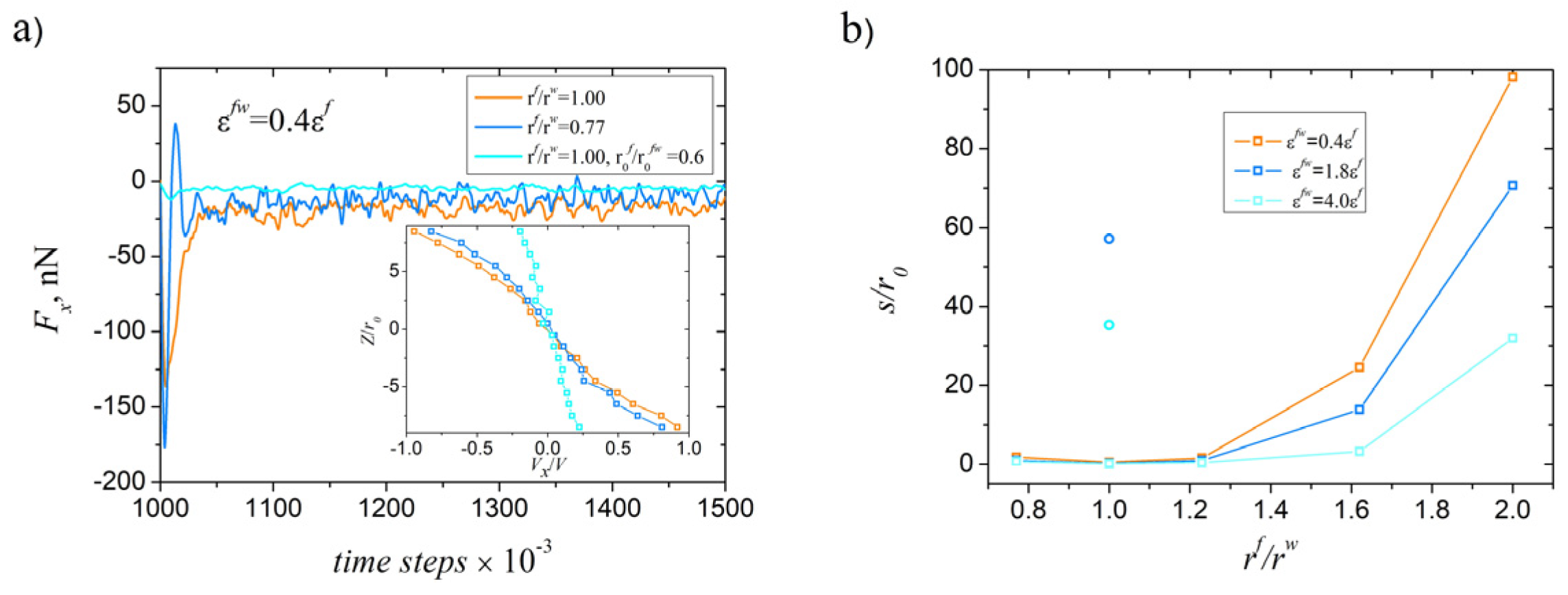
Figure 5.
(a) Time dependencies of the friction force between fluid and bottom walls for different
ratios (values are shown in the figure) and different magnitudes of
parameter at
. The inset shows distributions of the Vx components of fluid particle velocities along the normal coordinate Z calculated at
time steps (end state) for the same three experiments. (b) Slip length parameter
, calculated as in [19], for the experiments presented in Figure 3 and Figure 5a (circular points at
show the friction coefficients for the “hydrophobic” case).
In contrast to the pronounced friction reduction observed for incommensurate cases with
, the systems with
exhibit no significant decrease in friction force. A slight reduction is detected relative to the commensurate case (), but the magnitude of this effect remains modest and does not approach the strong reduction seen for larger ratios. This trend persists across the different values of the Lennard–Jones energy parameter
considered (see data presented below), indicating that simply increasing the spacing of the wall atoms beyond that of the fluid is insufficient to induce the large-scale interfacial slip. The velocity profiles likewise remain close to the near-linear form characteristic of classical shear flow, with only minor indications of increased slip at the walls.
The same figure also includes the results for a “hydrophobic” configuration, in which the interatomic distance ratio
is kept at unity but the equilibrium separation between wall and fluid atoms is increased by a factor of 1.67. In this case, a pronounced reduction in friction force is observed, comparable in magnitude to that of the strongly incommensurate systems (2). The velocity profile exhibits correspondingly enhanced slip, with significant flattening relative to the commensurate baseline. These findings clearly demonstrate that a stronger effective wall–fluid repulsion, achieved here by increasing the equilibrium separation
can promote interfacial slip to a degree similar to that produced by structural incommensurability.
It also should be noted that more substantial lowering of the
ratio led to a complete rearrangement of the system configuration as, starting from certain value of the wall lattice parameter, the fluid particles penetrate the walls and fill available spaces within the fcc crystal. Thus, configurations with
are not considered in this study. Nevertheless, since some reduction in friction is observed for sparser walls, additional study of such configurations may be warranted.
To quantify the slip between the wall and the fluid in the system, the slip length parameter
was calculated according to the method described in [19] for all performed experiments. The obtained results are summarized in Figure 5b. According to the definition in [19], smaller slip lengths relate to the larger friction between fluid and solid walls, and, as expected, small
values were observed for the cases
2, while at increased separation and strong incommensurability, the system exhibits an extremely large slip length. This tendency was observed for all three values of
.
To further explore the system behavior at different conditions, four distinctive atomistic configurations of the fluid–wall interface at different simulation parameters are visualized below. Figure 6a shows the bottom wall and first neighboring layer of fluid particles in the xy plane for the commensurate case
. This is the most typical configuration, indicating partial solidification of the fluid near the interface [14]. Here fluid particles are arranged according to the periodic wall structure due to the strong fluid–wall interaction and commensurability of interatomic distances.
Figure 6.
Examples of the atomistic configuration of the bottom wall and neighboring layer of fluid for the case with
and different
ratios:
(a),
with greater repulsion
(b),
(c), and
(d). Panels (e–h) show RDF of wall and fluid atoms, calculated for the configurations from Panels (a–d), respectively. Coloring of the particles in panels (a–d) is the same as in Figure 1.
Panel 6b presents the snapshots of the system with the same interatomic distances in the wall, but with a larger
parameter. In this case, the neighboring fluid layer is offset from the wall, which results in a reduction in the friction forces (see Figure 5). Figure 6c,d shows incommensurate cases with
and
, respectively. The latter case is similar to the configuration from Figure 6b with prominent separation of the fluid from the wall and is also characterized by the reduction in friction. In contrast to this, in the case with sparse walls, fluid atoms stick between the nodes of the fcc lattice; however, the characteristic interatomic distance between the fluid and walls does not change. All atomistic configurations shown in Figure 6 are for the
case.
To obtain quantitative characteristics of the structure of the system at the fluid–wall interface, the in-plane RDF for fluid
and wall
were calculated for all presented configurations. The obtained data is shown in Figure 6e–h. The calculated
are fully consistent with the visualized atomistic configurations. Thus, for the commensurate case
(Figure 6h), the boundary fluid layer mirrors the crystal structure of the wall, and
, characterized by matching peaks (the third peak in
, relates to the interatomic distance between the atoms in the top and bottom plane of the wall, and therefore is absent for the single layer of fluid particles). The
calculated for the commensurate case with larger repulsion (Figure 6f) has a typical fluid form (see Figure 2b). The dependencies shown in Figure 6g relate to the incommensurate case
. In this case the fluid layer also resembles the structure of the solid wall (the first peak in
relates to the interatomic distance
and is absent in
as the wall lattice parameter and corresponding distance
are larger). The
in the
case (Figure 6h) is similar to Figure 6f, with respect to shorter interatomic distances between the wall atoms.
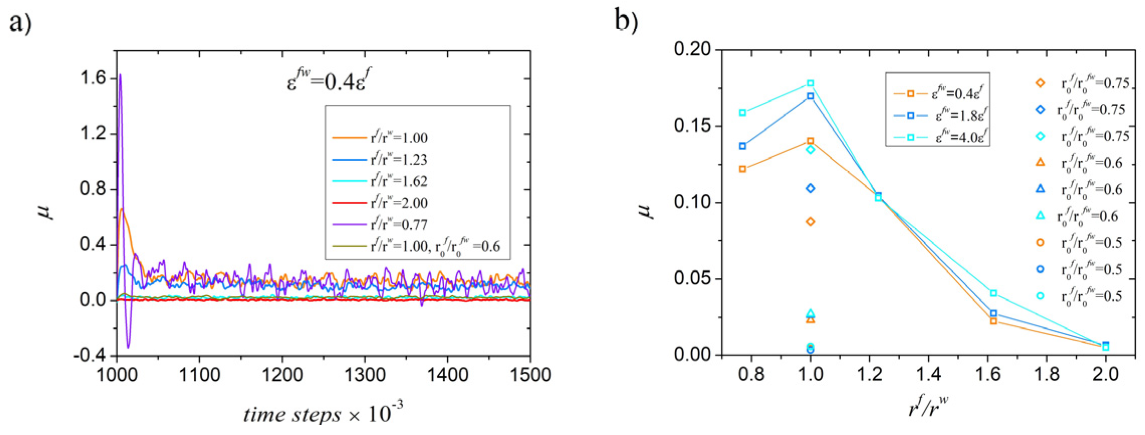
Finally, to generalize the obtained results, friction coefficients were calculated for all considered configurations. Figure 7a shows the time dependencies of the friction coefficients
, defined as the ratio of the tangential component (friction) of the force between wall and fluid to the corresponding normal force, while Figure 7b represents the mean values estimated through time averaging of the corresponding dependencies from Figure 7a for the last
time steps. The resented dependencies display trends that are fully consistent with the direct force measurements described above. The highest coefficients are observed for the commensurate case (), reflecting the strong coupling and minimal slip at the fluid–wall interface. A minor reduction in the friction coefficients is observed in cases where the commensurability ratio
moderately differs from unity in both directions. A pronounced decrease occurs as the ratio of interatomic distances increases to 1.62 and beyond, confirming the substantial friction reduction induced by structural incommensurability. The “hydrophobic” configuration, in which the equilibrium wall–fluid separation is increased while maintaining a
ratio, exhibits friction coefficients nearly as low as those of the strongly incommensurate systems, demonstrating that greater repulsion also can promote slip to a comparable extent.
Figure 7.
(a) Time dependencies of the friction coefficient between fluid and bottom wall for different
ratios (values are shown in figure) and for
. (b) Averaged friction coefficient between fluid and walls as a function of
ratio for three different magnitudes of energy parameter of interaction between fluid and walls
. Circular points at
show the friction coefficients for the “hydrophobic” case with different separation
.
Moreover, friction reduction and enhanced slip at hydrophobic surfaces in similar conditions was observed in both experiments [29] and MD simulations [30,31], and the dependence
preserves its form at different values of the
parameter, thus increasing confidence in the repeatability of the obtained results.
It should be noted that, because we used arbitrary parameters of the interatomic potential, the obtained data should be seen as qualitative rather than quantitative, while the estimated numerical values of friction coefficient require further experimental [32,33,34] verification. Nevertheless, we believe that the obtained results may provide valid insights into friction processes at fluid–solid interfaces that occur on the atomic level and may become useful in further studies in various areas of nanotribology. Moreover, future studies may extend these findings to more complex fluids and surfaces, which can be studied by more accurate MD simulations with precise interatomic force fields, to explore how the interplay of structure and surface chemistry can be exploited to develop novel low-friction coatings and lubricants. Solvation of surface atoms may also occur in some circumstances, depending on the molecular diameter of the fluid, thickness of the lubricant layer, surface roughness, etc. [35,36]. This may also be taken into account in more precise future studies.
4. Conclusions
The presented molecular dynamics simulations demonstrate that the ratio of characteristic interatomic distances in the fluid and solid walls is one of the primary parameters that affects interfacial friction and slip. When the fluid and wall are commensurate, the friction force and corresponding friction coefficient reach their maximum values. This behavior reflects enhanced coupling between the two phases, which promotes efficient momentum transfer across the interface and suppresses slip. In the opposite case, when interatomic distances are incommensurate (their relation is close to golden ratio), a marked reduction in friction force and friction coefficient is observed, accompanied by progressive flattening of the velocity profiles from a near linear shear gradient toward an almost even distribution. Importantly, these trends remain robust across the considered range of LJ energy parameters, indicating that lattice mismatch alone can effectively lower the friction during the movement of the walls. Such incommensurate interfaces therefore represent a promising strategy for reducing boundary friction in lubricated contacts.
A distinct mechanism of friction reduction is found in the “hydrophobic” configuration, where the equilibrium separation between wall and fluid atoms is increased while maintaining the commensurability of interatomic distances. This scenario produces a significant decrease in friction force, comparable to that observed in strongly incommensurate systems. This result suggests that reducing effective adhesion through chemical modification, surface coatings, or tailored surface energies can promote interfacial slip even when the underlying lattice remains matched.
Author Contributions
Conceptualization, supervision, project administration, writing—review and editing, V.L.P.; methodology, software, simulation, data analysis, visualization, writing—original draft preparation, V.B.; data analysis, validation, writing—original draft preparation, M.P. All authors have read and agreed to the published version of the manuscript.
Funding
This research was partially funded by Deutsche Forschungsgemeinschaft (DFG-Projekt PO 810/73-1).
Data Availability Statement
The datasets generated for this study are available on request to the corresponding author.
Conflicts of Interest
The authors declare no conflicts of interest.
References
- Batchelor, G.K. An Introduction to Fluid Dynamics; Cambridge University Press: Cambridge, UK, 2000. [Google Scholar] [CrossRef]
- Thompson, P.; Troian, S. A general boundary condition for liquid flow at solid surfaces. Nature 1997, 389, 360–362. [Google Scholar] [CrossRef]
- Thompson, P.A.; Robbins, M.O. Shear flow near solids: Epitaxial order and flow boundary conditions. Phys. Rev. A 1990, 41, 6830–6837. [Google Scholar] [CrossRef]
- Vakis, A.I.; Yastrebov, V.A.; Scheibert, J.; Nicola, L.; Dini, D.; Minfray, C.; Almqvist, A.; Paggi, M.; Lee, S.; Limbert, G.; et al. Modeling and simulation in tribology across scales: An overview. Tribol. Int. 2018, 125, 169–199. [Google Scholar] [CrossRef]
- Israelachvili, J.N. Measurement of the viscosity of liquids in very thin films. J. Colloid Interface Sci. 1986, 110, 263–271. [Google Scholar] [CrossRef]
- Robbins, M.O.; Thompson, P.A. Origin of Stick-Slip Motion in Boundary Lubrication. Science 1990, 250, 792. [Google Scholar] [CrossRef]
- Robbins, M.O.; Thompson, P.A. Critical velocity of stick-slip motion. Science 1991, 253, 916. [Google Scholar] [CrossRef][Green Version]
- Zhu, Y.; Granick, S. Limits of the Hydrodynamic No-Slip Boundary Condition. Phys. Rev. Lett. 2002, 88, 106102. [Google Scholar] [CrossRef]
- Rothstein, J.P. Slip on Superhydrophobic Surfaces. Annu. Rev. Fluid Mech. 2010, 42, 89–109. [Google Scholar] [CrossRef]
- Vanossi, A.; Manini, N.; Urbakh, M.; Zapperi, S.; Tosatti, E. Colloquium: Modeling friction: From nanoscale to mesoscale. Rev. Mod. Phys. 2013, 85, 529–552. [Google Scholar] [CrossRef]
- Lyashenko, I.A.; Popov, V.L.; Borysiuk, V. Experimental Verification of the Boundary Element Method for Adhesive Contacts of a Coated Elastic Half-Space. Lubricants 2023, 11, 84. [Google Scholar] [CrossRef]
- Kałużny, J.; Świetlicka, A.; Wojciechowski, Ł.; Boncel, S.; Kinal, G.; Runka, T.; Nowicki, M.; Stepanenko, O.; Gapiński, B.; Leśniewicz, J.; et al. Machine Learning Approach for Application-Tailored Nanolubricants’ Design. Nanomaterials 2022, 12, 1765. [Google Scholar] [CrossRef]
- Borysiuk, V.; Lyashenko, I.A.; Popov, V.L. Molecular Dynamics Study of Friction between Ag Nanoparticle and Two-Dimensional Titanium Carbide Ti2C (MXene). Crystals 2024, 14, 272. [Google Scholar] [CrossRef]
- Nakamura, K.; Ookawa, R.; Yasuda, S. Solidification of the Lennard–Jones fluid near a wall in thermohydrodynamic lubrication. Phys. Rev. E 2019, 100, 033109. [Google Scholar] [CrossRef] [PubMed]
- Neek-Amal, M.; Peeters, F.M.; Grigorieva, I.V.; Geim, A.K. Commensurability effects in viscosity of nanoconfined water. ACS Nano 2016, 10, 3685–3692. [Google Scholar] [CrossRef] [PubMed]
- Restuccia, P.; Ferrario, M.; Sivestrelli, P.L.; Mistura, G.; Righi, M.C. Size-dependent commensurability and its possible role in determining the frictional behavior of adsorbed systems. Phys. Chem. Chem. Phys. 2016, 18, 28997. [Google Scholar] [CrossRef] [PubMed]
- Dong, Y.; Duan, Z.; Tao, Y.; Wei, Z.; Gueye, B.; Zhang, Y.; Chen, Y. Friction evolution with transition from commensurate to incommensurate contacts between graphene layers. Tribol. Int. 2019, 136, 259–266. [Google Scholar] [CrossRef]
- Zhu, C.; Shenai, P.M.; Zhao, Y. Investigation of the effects of commensurability on friction between concentric carbon nanotubes. Nanotechnology 2012, 23, 015702. [Google Scholar] [CrossRef]
- Galea, T.M.; Attard, P. Molecular dynamics study of the effect of atomic roughness on the slip length at the fluid-solid boundary during shear flow. Langmuir 2004, 20, 3477–3482. [Google Scholar] [CrossRef]
- Geysermans, P.; Gorse, D.; Pontikis, V. Molecular dynamics study of the solid-liquid interface. J. Chem. Phys. 2000, 113, 6382–6389. [Google Scholar] [CrossRef]
- Men, H.; Fan, Z. Molecular Dynamics Simulations on Effect of Surface Roughness of Amorphous Substrate on Nucleation in Liquid Al. Metals 2022, 12, 1529. [Google Scholar] [CrossRef]
- Xu, L.; Ma, T.B.; Hu, Y.Z.; Wang, H. Molecular dynamics simulation of the interlayer sliding behavior in few-layer graphene. Carbon 2012, 50, 1025–1032. [Google Scholar] [CrossRef]
- Cui, S.T.; Cummings, P.T.; Cochran, H.D. Molecular simulation of the transition from liquidlike to solidlike behavior in complex fluids confined to nanoscale gaps. J. Chem. Phys. 2001, 114, 7189–7195. [Google Scholar] [CrossRef]
- Lazarenko, D.; Khabaz, F. A Molecular Dynamics Study on the Tribological Performance of Imidazolium−Based Ionic Liquids Mixed with Oil in Comparison to Pure Liquids. Fluids 2022, 7, 384. [Google Scholar] [CrossRef]
- Stella, M.; Lorenz, C.D.; Righi, M.C. Effects of intercalated water on the lubricity of sliding layers under load: A theoretical investigation on MoS2. 2D Mater. 2021, 8, 035052. [Google Scholar] [CrossRef]
- Humphrey, W.; Dalke, A.; Schulten, K. VMD: Visual molecular dynamics. J. Mol. Graph. 1996, 14, 33–38. [Google Scholar] [CrossRef] [PubMed]
- Rapaport, D.C. The Art of Molecular Dynamics Simulation; Cambridge University Press: Cambridge, UK, 2004. [Google Scholar] [CrossRef]
- Stukowski, A. Visualization and Analysis of Atomistic Simulation Data with OVITO–the Open Visualization Tool. Modelling Simul. Mater. Sci. Eng. 2010, 18, 015012. [Google Scholar] [CrossRef]
- Tretheway, D.C.; Meinhart, C.D. Apparent fluid slip at hydrophobic microchannel walls. Phys. Fluids 2002, 14, L9–L12. [Google Scholar] [CrossRef]
- Yang, S.C.; Fang, L.B. Effect of surface roughness on slip flows in hydrophobic and hydrophilic microchannels by molecular dynamics simulation. Mol. Simul. 2005, 31, 971–977. [Google Scholar] [CrossRef]
- Barrat, J.; Bocquet, L. Large Slip Effect at a Nonwetting Fluid-Solid Interface. Phys. Rev. Lett. 1999, 82, 4671–4674. [Google Scholar] [CrossRef]
- Chan, M.; Neu, C.; Duraine, G.; Komvopoulos, K.; Reddi, A. Atomic force microscope investigation of the boundary-lubricant layer in articular cartilage. Osteoarthr. Cartil. 2010, 18, 956. [Google Scholar] [CrossRef]
- Wang, Y.; Wang, J. Friction Determination by Atomic Force Microscopy in Field of Biochemical Science. Micromachines 2018, 9, 313. [Google Scholar] [CrossRef]
- Lyashenko, I.A.; Popov, V.L.; Pohrt, R.; Borysiuk, V. High-Precision Tribometer for Studies of Adhesive Contacts. Sensors 2023, 23, 456. [Google Scholar] [CrossRef] [PubMed]
- Matsuoka, H.; Kato, T. An Ultrathin Liquid Film Lubrication Theory—Calculation Method of Solvation Pressure and Its Application to the EHL Problem. ASME J. Tribol. 1997, 119, 217–226. [Google Scholar] [CrossRef]
- Al-Samieh, M.; Rahnejat, H. Ultra-thin lubricating films under transient conditions. J. Phys. D Appl. Phys. 2001, 34, 2610. [Google Scholar] [CrossRef]
Disclaimer/Publisher’s Note: The statements, opinions and data contained in all publications are solely those of the individual author(s) and contributor(s) and not of MDPI and/or the editor(s). MDPI and/or the editor(s) disclaim responsibility for any injury to people or property resulting from any ideas, methods, instructions or products referred to in the content. |
© 2025 by the authors. Licensee MDPI, Basel, Switzerland. This article is an open access article distributed under the terms and conditions of the Creative Commons Attribution (CC BY) license (https://creativecommons.org/licenses/by/4.0/).






