Green-Emitting Carbon Quantum Dots: Highly Sensitive Temperature Sensing Probe in Nanocomposite and Lubrication System
Abstract
1. Introduction
2. Materials and Methods
2.1. Chemical
2.2. Synthesis of Green Carbon Quantum Dots
2.3. Fabrication of CQD/PVA Films
3. Results and Discussion
3.1. Structure and Luminescence Characterizations
3.2. Optical Characterizations of CQD/PVA Film Probe
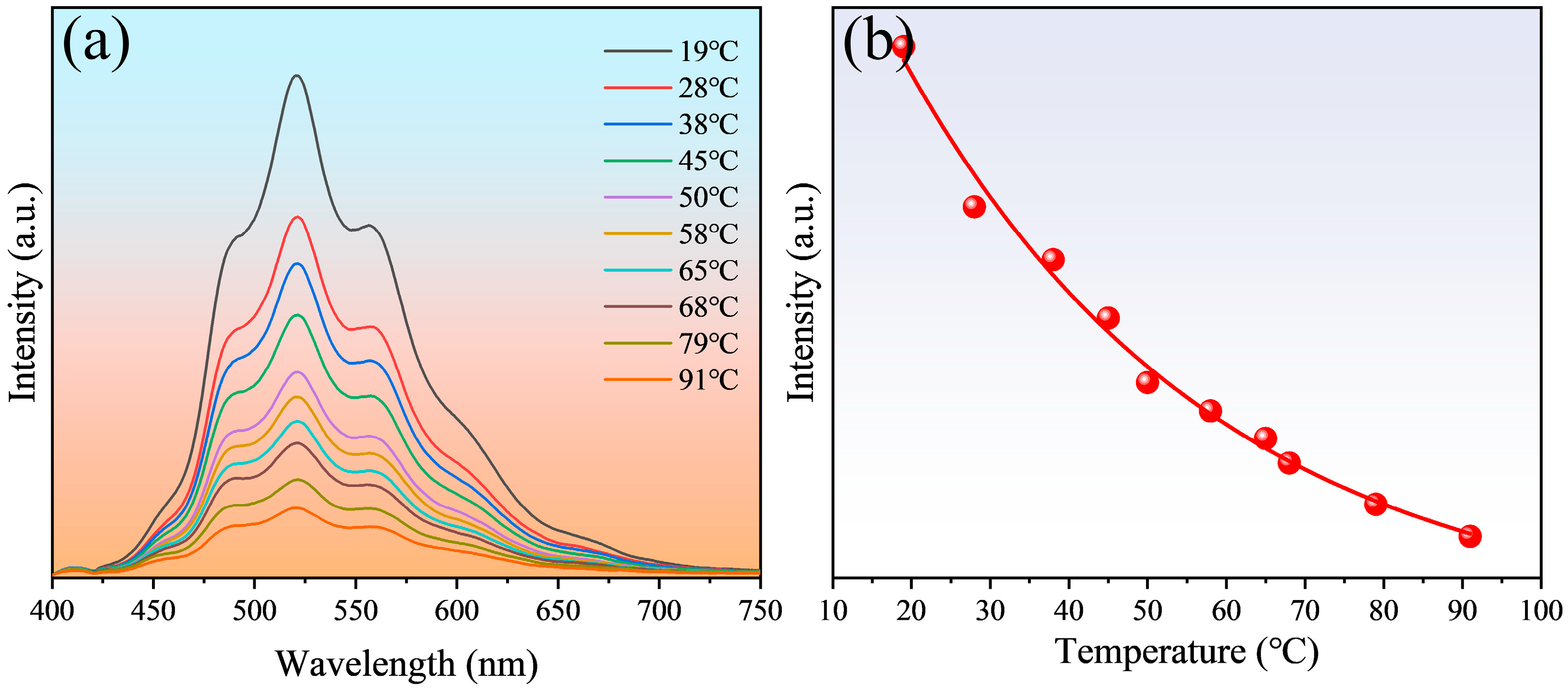
3.3. Temperature Sensing of CQD/PVA Film Probe
3.4. Behavior of Carbon Quantum Dots in Lubricant System
4. Conclusions
Supplementary Materials
Author Contributions
Funding
Data Availability Statement
Conflicts of Interest
References
- Zhang, J.; Drinkwater, B.W.; Dwyer-Joyce, R.S. Monitoring of Lubricant Film Failure in a Ball Bearing Using Ultrasound. J. Tribol. 2006, 128, 612–618. [Google Scholar] [CrossRef]
- Abdeljaber, O.; Sassi, S.; Avci, O.; Kiranyaz, S.; Ibrahim, A.A.; Gabbouj, M. Fault Detection and Severity Identification of Ball Bearings by Online Condition Monitoring. IEEE Trans. Ind. Electron. 2019, 66, 8136–8147. [Google Scholar] [CrossRef]
- Han, Y.; Song, Y.H. Condition monitoring techniques for electrical equipment-a literature survey. IEEE Trans. Power Deliv. 2003, 18, 4–13. [Google Scholar] [CrossRef]
- Singh, V.; Verma, N.K. Intelligent Condition-Based Monitoring Techniques for Bearing Fault Diagnosis. IEEE Sens. J. 2021, 21, 15448–15457. [Google Scholar] [CrossRef]
- Zhang, J.; Spikes, H. Measurement of EHD Friction at Very High Contact Pressures. Tribol. Lett. 2020, 68, 42. [Google Scholar] [CrossRef]
- Deolalikar, N.; Sadeghi, F.; Marble, S. Numerical Modeling of Mixed Lubrication and Flash Temperature in EHL Elliptical Contacts. J. Tribol. 2007, 130, 011004. [Google Scholar] [CrossRef]
- Liang, H.; Guo, D.; Reddyhoff, T.; Spikes, H.; Luo, J. Influence of thermal effects on elastohydrodynamic (EHD) lubrication behavior at high speeds. Sci. China Technol. Sci. 2015, 58, 551–558. [Google Scholar] [CrossRef]
- Turchina, V.; Sanborn, D.M.; Winer, W.O. Temperature Measurements in Sliding Elastohydrodynamic Point Contacts. J. Lubr. Technol. 1974, 96, 464–469. [Google Scholar] [CrossRef]
- Lauer, J.L.; Peterkin, M.E. Infrared Emission Spectra of Elastohydrodynamic Contacts. J. Lubr. Technol. 1976, 98, 230–235. [Google Scholar] [CrossRef]
- Cann, P.M.; Spikes, H.A. In Lubro Studies of Lubricants in EHD Contacts Using FTIR Absorption Spectroscopy. Tribol. Trans. 1991, 34, 248–256. [Google Scholar] [CrossRef]
- Reddyhoff, T.; Spikes, H.A.; Olver, A.V. Improved infrared temperature mapping of elastohydrodynamic contacts. Proc. Inst. Mech. Eng. Part J J. Eng. Tribol. 2009, 223, 1165–1177. [Google Scholar] [CrossRef]
- Le Rouzic, J.; Reddyhoff, T. Development of Infrared Microscopy for Measuring Asperity Contact Temperatures. J. Tribol. 2013, 135, 021504. [Google Scholar] [CrossRef]
- Omasta, M.; Adam, J.; Sperka, P.; Krupka, I.; Hartl, M. On the Temperature and Lubricant Film Thickness Distribution in EHL Contacts with Arbitrary Entrainment. Lubricants 2018, 6, 101. [Google Scholar] [CrossRef]
- Zhiyi, H.; Haidong, S.; Xiang, Z.; Yu, Y.; Junsheng, C. An intelligent fault diagnosis method for rotor-bearing system using small labeled infrared thermal images and enhanced CNN transferred from CAE. Adv. Eng. Inform. 2020, 46, 101150. [Google Scholar] [CrossRef]
- Li, Y.; Fan, A.; Zhang, X.; Zhang, X. A two-step in situ measurement method for temperature and thermal stress of power device based on a single Raman peak. Int. J. Heat Mass Transf. 2023, 216, 124555. [Google Scholar] [CrossRef]
- Kumar Saxena, M.; Sharma, R.K.; Kumar, S.; Kishore, J.; Nathwani, R.K.; Gupta, A.M.; Kumar, A.; Kumar, A.; Bhatnagar, V.K.; Prakash, O.; et al. Studies on thermal profile measurement and fire detection in a power supply cable of a synchrotron radiation source by Raman optical fiber distributed temperature sensor system. Opt. Fiber Technol. 2022, 73, 103020. [Google Scholar] [CrossRef]
- Jubault, I.; Mansot, J.L.; Vergne, P.; Mazuyer, D. In-situ Pressure Measurements Using Raman Microspectroscopy in a Rolling Elastohydrodynamic Contact. J. Tribol. 2001, 124, 114–120. [Google Scholar] [CrossRef]
- Cheong, C.U.A.; Stair, P.C. In Situ Measurements of Lubricant Temperature and Pressure at a Sliding Contact. J. Phys. Chem. C 2007, 111, 11314–11319. [Google Scholar] [CrossRef]
- Kannel, J.W.; Bell, J.C.; Allen, C.M. Methods for Determining Pressure Distributions in Lubricated Rolling Contact. ASLE Trans. 1965, 8, 250–270. [Google Scholar] [CrossRef]
- Ebner, M.; Ziegltrum, A.; Lohner, T.; Michaelis, K.; Stahl, K. Measurement of EHL temperature by thin film sensors—Thermal insulation effects. Tribol. Int. 2020, 149, 105515. [Google Scholar] [CrossRef]
- Smart, A.E.; Ford, R.A.J. Measurement of thin liquid films by a fluorescence technique. Wear 1974, 29, 41–47. [Google Scholar] [CrossRef]
- Gangwar, R.K.; Kumari, S.; Pathak, A.K.; Gutlapalli, S.D.; Meena, M.C. Optical Fiber Based Temperature Sensors: A Review. Optics 2023, 4, 171–197. [Google Scholar] [CrossRef]
- Zhou, J.; Xu, S.; Liu, J. Review of Photothermal Technique for Thermal Measurement of Micro-/Nanomaterials. Nanomaterials 2022, 12, 1884. [Google Scholar] [CrossRef] [PubMed]
- Reddyhoff, T.; Choo, J.H.; Spikes, H.A.; Glovnea, R.P. Lubricant Flow in an Elastohydrodynamic Contact Using Fluorescence. Tribol. Lett. 2010, 38, 207–215. [Google Scholar] [CrossRef]
- Ponjavic, A.; Chennaoui, M.; Wong, J.S.S. Through-Thickness Velocity Profile Measurements in an Elastohydrodynamic Contact. Tribol. Lett. 2013, 50, 261–277. [Google Scholar] [CrossRef]
- Mohammed, L.J.; Omer, K.M. Carbon Dots as New Generation Materials for Nanothermometer: Review. Nanoscale Res. Lett. 2020, 15, 182. [Google Scholar] [CrossRef] [PubMed]
- Llobet, E. Gas sensors using carbon nanomaterials: A review. Sens. Actuators B Chem. 2013, 179, 32–45. [Google Scholar] [CrossRef]
- Jayathilaka, W.A.D.M.; Qi, K.; Qin, Y.; Chinnappan, A.; Serrano-García, W.; Baskar, C.; Wang, H.; He, J.; Cui, S.; Thomas, S.W.; et al. Significance of Nanomaterials in Wearables: A Review on Wearable Actuators and Sensors. Adv. Mater. 2019, 31, 1805921. [Google Scholar] [CrossRef]
- Rahman, M.T.; Cheng, C.-Y.; Karagoz, B.; Renn, M.; Schrandt, M.; Gellman, A.; Panat, R. High Performance Flexible Temperature Sensors via Nanoparticle Printing. ACS Appl. Nano Mater. 2019, 2, 3280–3291. [Google Scholar] [CrossRef]
- Steinegger, A.; Klimant, I.; Borisov, S.M. Purely Organic Dyes with Thermally Activated Delayed Fluorescence—A Versatile Class of Indicators for Optical Temperature Sensing. Adv. Opt. Mater. 2017, 5, 1700372. [Google Scholar] [CrossRef]
- Gomez, G.E.; Kaczmarek, A.M.; Van Deun, R.; Brusau, E.V.; Narda, G.E.; Vega, D.; Iglesias, M.; Gutierrez-Puebla, E.; Monge, M.Á. Photoluminescence, Unconventional-Range Temperature Sensing, and Efficient Catalytic Activities of Lanthanide Metal–Organic Frameworks. Eur. J. Inorg. Chem. 2016, 2016, 1577–1588. [Google Scholar] [CrossRef]
- Li, X.; Yu, Y.; Hong, J.; Feng, Z.; Guan, X.; Chen, D.; Zheng, Z. Optical temperature sensing of Eu3+-doped oxyhalide glasses containing CsPbBr3 perovskite quantum dots. J. Lumin. 2020, 219, 116897. [Google Scholar] [CrossRef]
- Liang, R.; Tian, R.; Shi, W.; Liu, Z.; Yan, D.; Wei, M.; Evans, D.G.; Duan, X. A temperature sensor based on CdTe quantum dots–layered double hydroxide ultrathin films via layer-by-layer assembly. Chem. Commun. 2013, 49, 969–971. [Google Scholar] [CrossRef] [PubMed]
- Madhu, M.; Lu, C.-Y.; Tseng, W.-L. Phosphorescent MoS2 quantum dots as a temperature sensor and security ink. Nanoscale Adv. 2021, 3, 661–667. [Google Scholar] [CrossRef] [PubMed]
- Ahmed, S.R.; Sherazee, M.; Das, P.; Dondapati, J.; Srinivasan, S.; Rajabzadeh, A.R. Borophene Quantum Dots with Enhanced Nanozymatic Activity for the Detection of H2O2 and Cardiac Biomarkers. ACS Appl. Nano Mater. 2023, 6, 19939–19946. [Google Scholar] [CrossRef]
- Ganguly, S.; Margel, S. Fluorescent quantum dots-based hydrogels: Synthesis, fabrication and multimodal biosensing. Talanta Open 2023, 8, 100243. [Google Scholar] [CrossRef]
- Li, X.; Zhao, S.; Li, B.; Yang, K.; Lan, M.; Zeng, L. Advances and perspectives in carbon dot-based fluorescent probes: Mechanism, and application. Coord. Chem. Rev. 2021, 431, 213686. [Google Scholar] [CrossRef]
- Tian, Z.; Zhang, X.; Li, D.; Zhou, D.; Jing, P.; Shen, D.; Qu, S.; Zboril, R.; Rogach, A.L. Full-Color Inorganic Carbon Dot Phosphors for White-Light-Emitting Diodes. Adv. Opt. Mater. 2017, 5, 1700416. [Google Scholar] [CrossRef]
- Macairan, J.-R.; Jaunky, D.B.; Piekny, A.; Naccache, R. Intracellular ratiometric temperature sensing using fluorescent carbon dots. Nanoscale Adv. 2019, 1, 105–113. [Google Scholar] [CrossRef]
- Li, C.; Qin, Z.; Wang, M.; Liu, W.; Jiang, H.; Wang, X. Manganese oxide doped carbon dots for temperature-responsive biosensing and target bioimaging. Anal. Chim. Acta 2020, 1104, 125–131. [Google Scholar] [CrossRef]
- Zhu, A.; Qu, Q.; Shao, X.; Kong, B.; Tian, Y. Carbon-Dot-Based Dual-Emission Nanohybrid Produces a Ratiometric Fluorescent Sensor for In Vivo Imaging of Cellular Copper Ions. Angew. Chem. Int. Ed. 2012, 51, 7185–7189. [Google Scholar] [CrossRef] [PubMed]
- Sharma, V.; Tiwari, P.; Mobin, S.M. Sustainable carbon-dots: Recent advances in green carbon dots for sensing and bioimaging. J. Mater. Chem. B 2017, 5, 8904–8924. [Google Scholar] [CrossRef] [PubMed]
- Wang, C.; He, Y.; Huang, J.; Sui, L.; Ran, G.; Zhu, H.; Song, Q. Intramolecular hydrogen bond-tuned thermal-responsive carbon dots and their application to abnormal body temperature imaging. J. Colloid Interface Sci. 2023, 634, 221–230. [Google Scholar] [CrossRef] [PubMed]
- Zhang, Y.; Jia, X.; Tian, Q.; Yang, J.; Wang, S.; Li, Y.; Shao, D.; Feng, L.; Song, H. Nitrogen-Doped Carbon Dot as a Lubricant Additive in Polar and Non-polar Oils for Superior Tribological Properties via Condensation Reaction. Langmuir 2023, 39, 3589–3600. [Google Scholar] [CrossRef]
- Kumar, V.B.; Sahu, A.K.; Rao, K.B.S. Development of Doped Carbon Quantum Dot-Based Nanomaterials for Lubricant Additive Applications. Lubricants 2022, 10, 144. [Google Scholar] [CrossRef]
- Xue, S.; Cui, Y.; Chen, X.; Shi, J.; Liu, S.; Ye, Q.; Zhou, F. Zwitterionic dopamine sulfonate functionalized carbon quantum dots as water-based lubricant additive for friction and wear reduction. Appl. Surf. Sci. 2023, 615, 156411. [Google Scholar] [CrossRef]
- Liu, X.; Huang, Z.; Tang, W.; Wang, B. Remarkable Lubricating Effect of Ionic Liquid Modified Carbon Dots as a Kind of Water-Based Lubricant Additives. Nano 2017, 12, 1750108. [Google Scholar] [CrossRef]
- Zhang, H.; You, J.; Wang, J.; Dong, X.; Guan, R.; Cao, D. Highly luminescent carbon dots as temperature sensors and “off-on” sensing of Hg2+ and biothiols. Dye. Pigment. 2020, 173, 107950. [Google Scholar] [CrossRef]
- Chen, X.; Wang, X.; Fang, D. A review on C1s XPS-spectra for some kinds of carbon materials. Fullerenes, Nanotub. Carbon Nanostruct. 2020, 28, 1048–1058. [Google Scholar] [CrossRef]
- Kalagatur, N.K.; Karthick, K.; Allen, J.A.; Nirmal Ghosh, O.S.; Chandranayaka, S.; Gupta, V.K.; Krishna, K.; Mudili, V. Application of Activated Carbon Derived from Seed Shells of Jatropha curcas for Decontamination of Zearalenone Mycotoxin. Front. Pharmacol. 2017, 8, 760. [Google Scholar] [CrossRef]
- Wang, L.; Zhu, S.-J.; Wang, H.-Y.; Qu, S.-N.; Zhang, Y.-L.; Zhang, J.-H.; Chen, Q.-D.; Xu, H.-L.; Han, W.; Yang, B.; et al. Common Origin of Green Luminescence in Carbon Nanodots and Graphene Quantum Dots. ACS Nano 2014, 8, 2541–2547. [Google Scholar] [CrossRef]
- Ding, H.; Yu, S.-B.; Wei, J.-S.; Xiong, H.-M. Full-Color Light-Emitting Carbon Dots with a Surface-State-Controlled Luminescence Mechanism. ACS Nano 2016, 10, 484–491. [Google Scholar] [CrossRef] [PubMed]
- Ghosh, S.; Chizhik, A.M.; Karedla, N.; Dekaliuk, M.O.; Gregor, I.; Schuhmann, H.; Seibt, M.; Bodensiek, K.; Schaap, I.A.T.; Schulz, O.; et al. Photoluminescence of Carbon Nanodots: Dipole Emission Centers and Electron–Phonon Coupling. Nano Lett. 2014, 14, 5656–5661. [Google Scholar] [CrossRef] [PubMed]
- Nguyen, V.; Si, J.; Yan, L.; Hou, X. Direct demonstration of photoluminescence originated from surface functional groups in carbon nanodots. Carbon 2016, 108, 268–273. [Google Scholar] [CrossRef]
- Cerón, E.N.; Ortgies, D.H.; del Rosal, B.; Ren, F.; Benayas, A.; Vetrone, F.; Ma, D.; Sanz-Rodríguez, F.; Solé, J.G.; Jaque, D.; et al. Hybrid Nanostructures for High-Sensitivity Luminescence Nanothermometry in the Second Biological Window. Adv. Mater. 2015, 27, 4781–4787. [Google Scholar] [CrossRef] [PubMed]
- Chen, D.; Fang, G.; Chen, X.; Lei, L.; Zhong, J.; Mao, Q.; Zhou, S.; Li, J. Mn-Doped CsPbCl3 perovskite nanocrystals: Solvothermal synthesis, dual-color luminescence and improved stability. J. Mater. Chem. C 2018, 6, 8990–8998. [Google Scholar] [CrossRef]
- Zhou, Y.; Zhang, D.; Zeng, J.; Gan, N.; Cuan, J. A luminescent Lanthanide-free MOF nanohybrid for highly sensitive ratiometric temperature sensing in physiological range. Talanta 2018, 181, 410–415. [Google Scholar] [CrossRef]
- da Silva, L.E.; Calado, O.L.d.L.; de Oliveira Silva, S.F.; da Silva, K.R.M.; Henrique Almeida, J.; de Oliveira Silva, M.; Viana, R.d.S.; de Souza Ferro, J.N.; de Almeida Xavier, J.; Barbosa, C.D.A.E.S. Lemon-derived carbon dots as antioxidant and light emitter in fluorescent films applied to nanothermometry. J. Colloid Interface Sci. 2023, 651, 678–685. [Google Scholar] [CrossRef] [PubMed]
- Monteiro, J.H.S.K.; Sigoli, F.A.; de Bettencourt-Dias, A. A water-soluble TbIII complex as a temperature-sensitive luminescent probe. Can. J. Chem. 2018, 96, 859–864. [Google Scholar] [CrossRef]
- Ananias, D.; Brites, C.D.S.; Carlos, L.D.; Rocha, J. Cryogenic Nanothermometer Based on the MIL-103(Tb,Eu) Metal–Organic Framework. Eur. J. Inorg. Chem. 2016, 2016, 1967–1971. [Google Scholar] [CrossRef]
- Zhang, Y.; Liu, J.; Zhang, H.; He, Q.; Liang, X.; Xiang, W. Ultra-stable Tb3+: CsPbI3 nanocrystal glasses for wide-range high-sensitivity optical temperature sensing. J. Eur. Ceram. Soc. 2020, 40, 6023–6030. [Google Scholar] [CrossRef]







| Measurement Method | Equation | R2 | Temperature Range [°C] | Maximum Relative Sensitivity SR-max [% K−1] |
|---|---|---|---|---|
| PL Intensity | 0.9915 | 20–130 | 1.74 | |
| Intensity ratio | 0.996 | 20–90 | 1.39 |
| Measurement Method | Equation | R2 | Temperature Range [°C] | Maximum Relative Sensitivity SR-max [% K−1] |
|---|---|---|---|---|
| PL Intensity | 0.9902 | 20–90 | 2.84 |
| Material | Temperature Range | Maximum Relative Sensitivity SR-max [% K−1] | Ref |
|---|---|---|---|
| PbS/CdS/ZnS QDs | 10−60 °C | 2.5 | [55] |
| CsPbI3: Mn2+ | 25–60 °C | 1.4 | [56] |
| Rh101@UiO-67 | 25–45 °C | 1.19 | [57] |
| Lemon-derived Carbon QDs | 25–60 °C | 2.69 | [58] |
| [Tb(dipicCbz)3]3− | 5–70 °C | 0.39 | [59] |
| Tb0.95Eu0.05(btb) | 10–320 K | 2.85 | [60] |
| Tb3+: CsPbI3 | 80–480 K | 1.78 | [61] |
| Carbon QDs | 20–90 °C | 2.84 | this work |
Disclaimer/Publisher’s Note: The statements, opinions and data contained in all publications are solely those of the individual author(s) and contributor(s) and not of MDPI and/or the editor(s). MDPI and/or the editor(s) disclaim responsibility for any injury to people or property resulting from any ideas, methods, instructions or products referred to in the content. |
© 2024 by the authors. Licensee MDPI, Basel, Switzerland. This article is an open access article distributed under the terms and conditions of the Creative Commons Attribution (CC BY) license (https://creativecommons.org/licenses/by/4.0/).
Share and Cite
Sun, J.; Yan, K.; Zhang, P.; Pan, A.; Chen, X.; Shi, X. Green-Emitting Carbon Quantum Dots: Highly Sensitive Temperature Sensing Probe in Nanocomposite and Lubrication System. Lubricants 2024, 12, 88. https://doi.org/10.3390/lubricants12030088
Sun J, Yan K, Zhang P, Pan A, Chen X, Shi X. Green-Emitting Carbon Quantum Dots: Highly Sensitive Temperature Sensing Probe in Nanocomposite and Lubrication System. Lubricants. 2024; 12(3):88. https://doi.org/10.3390/lubricants12030088
Chicago/Turabian StyleSun, Jiannan, Ke Yan, Pan Zhang, Aizhao Pan, Xuehang Chen, and Xinyi Shi. 2024. "Green-Emitting Carbon Quantum Dots: Highly Sensitive Temperature Sensing Probe in Nanocomposite and Lubrication System" Lubricants 12, no. 3: 88. https://doi.org/10.3390/lubricants12030088
APA StyleSun, J., Yan, K., Zhang, P., Pan, A., Chen, X., & Shi, X. (2024). Green-Emitting Carbon Quantum Dots: Highly Sensitive Temperature Sensing Probe in Nanocomposite and Lubrication System. Lubricants, 12(3), 88. https://doi.org/10.3390/lubricants12030088

