Acute Changes on Left Atrial Function during Incremental Exercise in Patients with Heart Failure with Mildly Reduced Ejection Fraction: A Case-Control Study
Abstract
:1. Introduction
2. Materials and Methods
Statistical Analysis
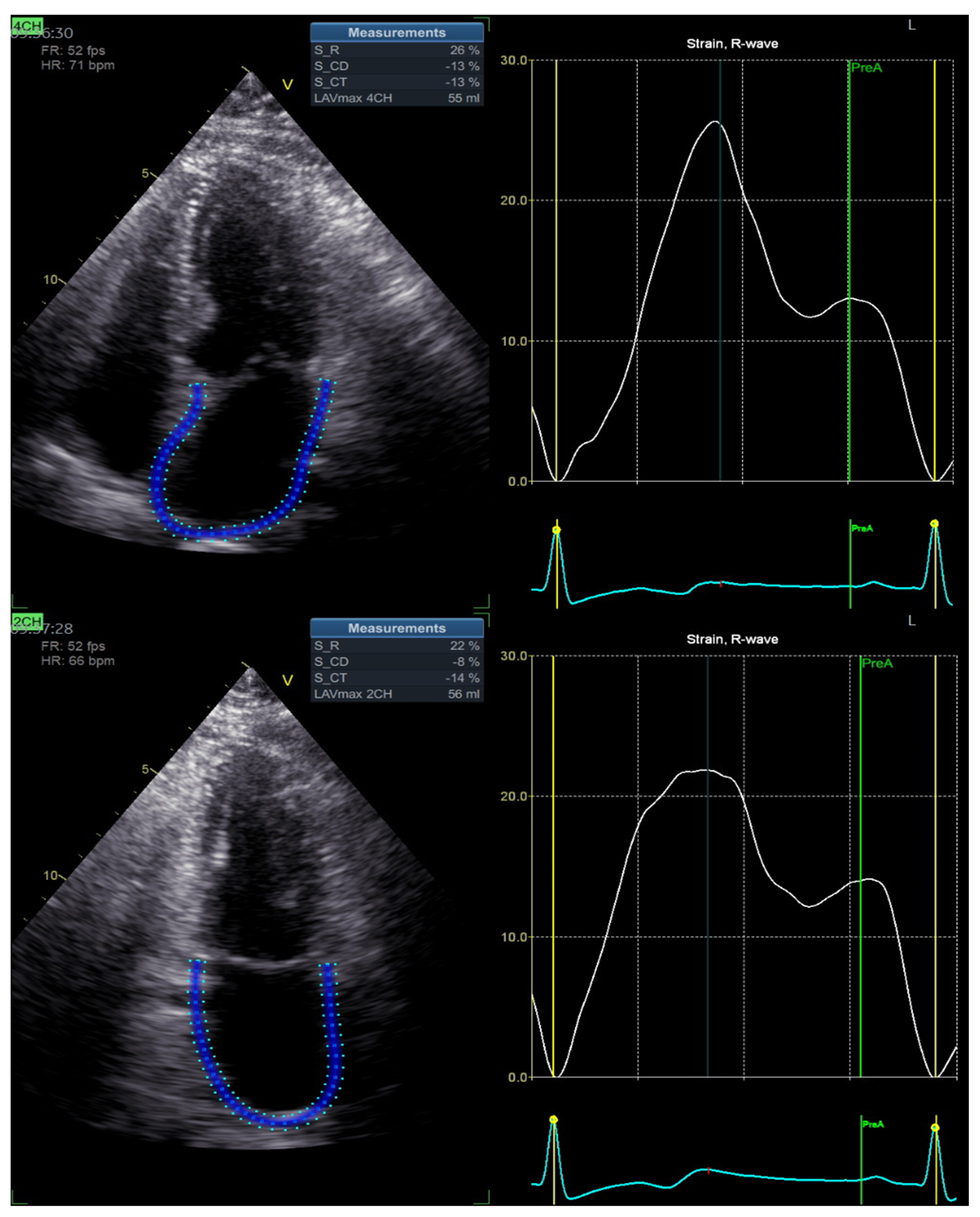
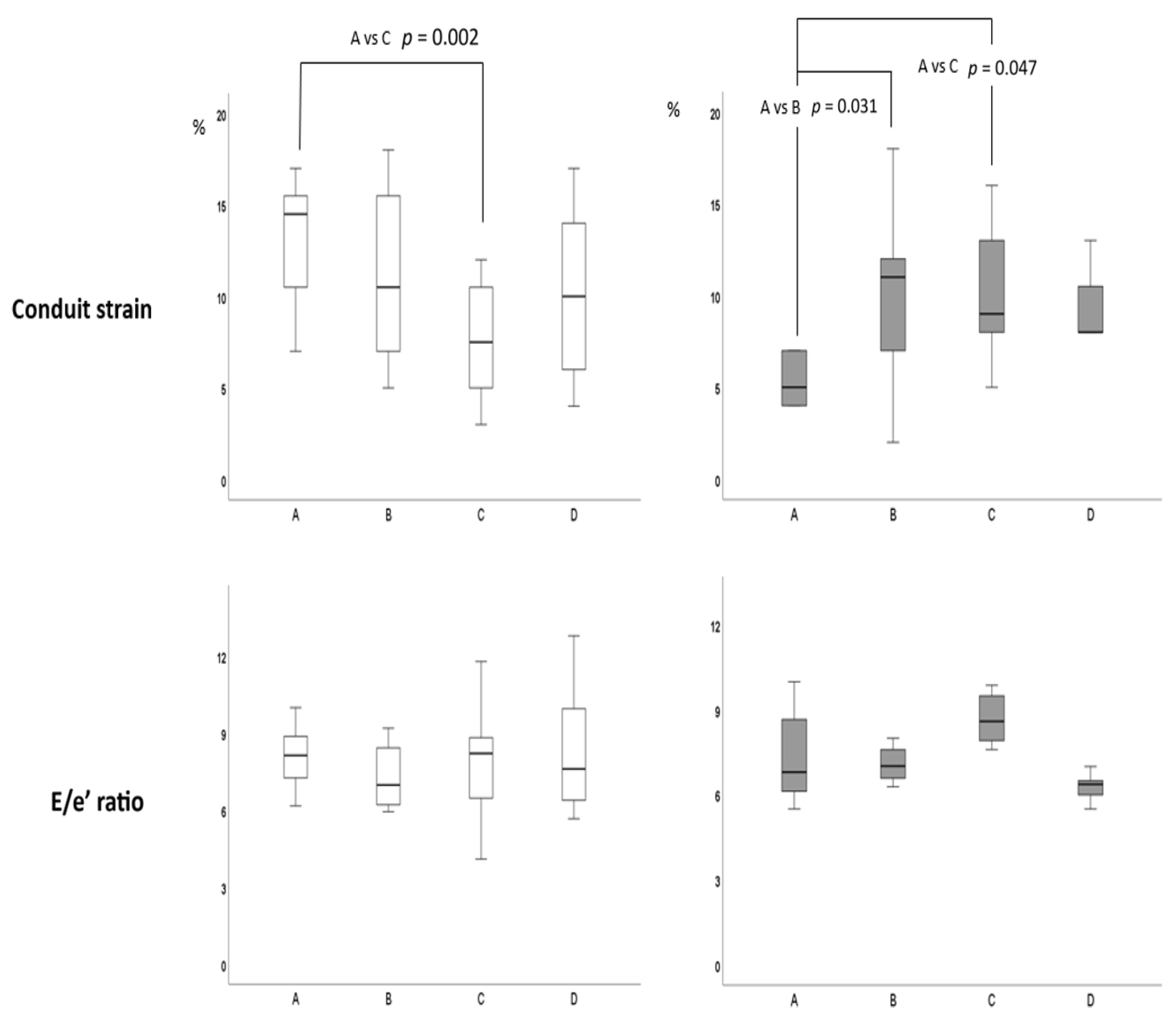
3. Results
4. Discussion
5. Conclusions
Author Contributions
Funding
Institutional Review Board Statement
Informed Consent Statement
Data Availability Statement
Conflicts of Interest
References
- Fang, F.; Lee, A.P.; Yu, C.M. Left atrial function in heart failure with impaired and preserved ejection fraction. Curr. Opin. Cardiol. 2014, 29, 430–436. [Google Scholar] [CrossRef]
- Jin, X.; Nauta, J.F.; Hung, C.L.; Ouwerkerk, W.; Teng, T.K.; Voors, A.A.; Lam, C.S.; Van Melle, J.P. Left atrial structure and function in heart failure with reduced (HFrEF) versus preserved ejection fraction (HFpEF): Systematic review and meta-analysis. Heart Fail. Rev. 2022, 27, 1933–1955. [Google Scholar] [CrossRef]
- Hohendanner, F.; Messroghli, D.; Bode, D.; Blaschke, F.; Parwani, A.; Boldt, L.H.; Heinzel, F.R. Atrial remodelling in heart failure: Recent developments and relevance for heart failure with preserved ejection fraction. ESC Heart Fail. 2018, 5, 211–221. [Google Scholar] [CrossRef]
- Carpenito, M.; Fanti, D.; Mega, S.; Benfari, G.; Bono, M.C.; Rossi, A.; Ribichini, F.L.; Grigioni, F. The Central Role of Left Atrium in Heart Failure. Front. Cardiovasc. Med. 2021, 8, 704762. [Google Scholar] [CrossRef]
- Zheng, R.; Kusunose, K. Linkage of Left Atrial Function to Heart Failure with Preserved Ejection Fraction. Int. Heart J. 2023, 64, 4–9. [Google Scholar] [CrossRef] [PubMed]
- Kreimer, F.; Gotzmann, M. Left Atrial Cardiomyopathy—A Challenging Diagnosis. Front. Cardiovasc. Med. 2022, 9, 942385. [Google Scholar] [CrossRef] [PubMed]
- Melenovsky, V.; Hwang, S.J.; Redfield, M.M.; Zakeri, R.; Lin, G.; Borlaug, B.A. Left atrial remodeling and function in advanced heart failure with preserved or reduced ejection fraction. Circ. Heart Fail. 2015, 8, 295–303. [Google Scholar] [CrossRef]
- Sanchis, L.; Gabrielli, L.; Andrea, R.; Falces, C.; Duchateau, N.; Perez-Villa, F.; Bijnens, B.; Sitges, M. Left atrial dysfunction relates to symptom onset in patients with heart failure and preserved left ventricular ejection fraction. Eur. Heart J. Cardiovasc. Imaging 2015, 16, 62–67. [Google Scholar] [CrossRef]
- Bisbal, F.; Baranchuk, A.; Braunwald, E.; Bayés de Luna, A.; Bayés-Genís, A. Atrial Failure as a Clinical Entity: JACC Review Topic of the Week. J. Am. Coll. Cardiol. 2020, 75, 222–232. [Google Scholar] [CrossRef]
- Gan, G.C.H.; Ferkh, A.; Boyd, A.; Thomas, L. Left atrial function: Evaluation by strain analysis. Cardiovasc. Diagn. Ther. 2018, 8, 29–46. [Google Scholar] [CrossRef] [PubMed]
- Bhatt, A.; Flink, L.; Lu, D.Y.; Fang, Q.; Bibby, D.; Schiller, N.B. Exercise physiology of the left atrium: Quantity and timing of contribution to cardiac output. Am. J. Physiol. Heart Circ. Physiol. 2021, 320, H575–H583. [Google Scholar] [CrossRef] [PubMed]
- Agostoni, P.; Vignati, C.; Gentile, P.; Boiti, C.; Farina, S.; Salvioni, E.; Mapelli, M.; Magrì, D.; Paolillo, S.; Corrieri, N.; et al. Reference Values for Peak Exercise Cardiac Output in Healthy Individuals. Chest 2017, 151, 1329–1337. [Google Scholar] [CrossRef] [PubMed]
- Sugimoto, T.; Bandera, F.; Generati, G.; Alfonzetti, E.; Bussadori, C.; Guazzi, M. Left Atrial Function Dynamics During Exercise in Heart Failure: Pathophysiological Implications on the Right Heart and Exercise Ventilation Inefficiency. JACC Cardiovasc. Imaging 2017, 10 Pt B, 1253–1264. [Google Scholar] [CrossRef]
- Tan, Y.T.; Wenzelburger, F.; Lee, E.; Nightingale, P.; Heatlie, G.; Leyva, F.; Sanderson, J.E. Reduced left atrial function on exercise in patients with heart failure and normal ejection fraction. Heart 2010, 96, 1017–1023. [Google Scholar] [CrossRef] [PubMed]
- Maffeis, C.; Rossi, A.; Cannata, L.; Zocco, C.; Belyavskiy, E.; Radhakrishnan, A.K.; Feuerstein, A.; Morris, D.A.; Pieske-Kraigher, E.; Pieske, B.; et al. Left atrial strain predicts exercise capacity in heart failure independently of left ventricular ejection fraction. ESC Heart Fail. 2022, 9, 842–852. [Google Scholar] [CrossRef] [PubMed]
- Sun, P.; Cen, H.; Chen, S.; Chen, X.; Jiang, W.; Zhu, H.; Liu, Y.; Liu, H.; Lu, W. Left atrial dysfunction can independently predict exercise capacity in patients with chronic heart failure who use beta-blockers. BMC Cardiovasc. Disord. 2023, 23, 128. [Google Scholar] [CrossRef]
- Von Roeder, M.; Rommel, K.P.; Kowallick, J.T.; Blazek, S.; Besler, C.; Fengler, K.; Lotz, J.; Hasenfuß, G.; Lücke, C.; Gutberlet, M.; et al. Influence of Left Atrial Function on Exercise Capacity and Left Ventricular Function in Patients with Heart Failure and Preserved Ejection Fraction. Circ. Cardiovasc. Imaging 2017, 10, e005467. [Google Scholar] [CrossRef]
- Ponikowski, P.; Voors, A.A.; Anker, S.D.; Bueno, H.; Cleland, J.G.F.; Coats, A.J.S.; Falk, V.; González-Juanatey, J.R.; Harjola, V.P.; Jankowska, E.A.; et al. ESC Scientific Document Group. 2016 ESC Guidelines for the diagnosis and treatment of acute and chronic heart failure: The Task Force for the diagnosis and treatment of acute and chronic heart failure of the European Society of Cardiology (ESC) Developed with the special contribution of the Heart Failure Association (HFA) of the ESC. Eur. Heart J. 2016, 37, 2129–2200. [Google Scholar]
- Al Saikhan, L.; Hughes, A.D.; Chung, W.S.; Alsharqi, M.; Nihoyannopoulos, P. Left atrial function in heart failure with mid-range ejection fraction differs from that of heart failure with preserved ejection fraction: A 2D speckle-tracking echocardiographic study. Eur. Heart J. Cardiovasc. Imaging 2019, 20, 279–290. [Google Scholar] [CrossRef]
- Maffeis, C.; Morris, D.A.; Belyavskiy, E.; Kropf, M.; Radhakrishnan, A.K.; Zach, V.; Rozados da Conceicao, C.; Trippel, T.D.; Pieske-Kraigher, E.; Rossi, A.; et al. Left atrial function and maximal exercise capacity in heart failure with preserved and mid-range ejection fraction. ESC Heart Fail. 2021, 8, 116–128. [Google Scholar] [CrossRef]
- Caminiti, G.; Perrone, M.A.; Iellamo, F.; D’Antoni, V.; Catena, M.; Franchini, A.; Volterrani, M. Acute Left Atrial Response to Different Eccentric Resistance Exercise Loads in Patients with Heart Failure with Middle Range Ejection Fraction: A Pilot Study. J. Pers. Med. 2022, 12, 689. [Google Scholar] [CrossRef] [PubMed]
- Halliday, B.P.; Senior, R.; Pennell, D.J. Assessing left ventricular systolic function: From ejection fraction to strain analysis. Eur. Heart J. 2021, 42, 789–797. [Google Scholar] [CrossRef] [PubMed]
- Nielsen, A.B.; Skaarup, K.G.; Hauser, R.; Johansen, N.D.; Lassen, M.C.H.; Jensen, G.B.; Schnohr, P.; Møgelvang, R.; Biering-Sørensen, T. Normal values and reference ranges for left atrial strain by speckle-tracking echocardiography: The Copenhagen City Heart Study. Eur. Heart J. Cardiovasc. Imaging 2021, 23, 42–51. [Google Scholar] [CrossRef]
- Sharifov, O.; Denney, T.S., Jr.; Girard, A.A.; Gupta, H.; Lloyd, S.G. Coronary artery disease is associated with impaired atrial function regardless of left ventricular filling pressure. Int. J. Cardiol. 2023, 387, 131102. [Google Scholar] [CrossRef]
- Inoue, K.; Khan, F.H.; Remme, E.W.; Ohte, N.; Garcia-Izquierdo, E.; Chetrit, M.; Monivas-Palomero, V.; Mingo-Santos, S.; Andersen, O.S.; Gude, E.; et al. Determinants of left atrial reservoir and pump strain and use of atrial strain for evaluation of left ventricular filling pressure. Eur. Heart J. Cardiovasc. Imaging 2021, 18, 61–70. [Google Scholar] [CrossRef]
- Egbe, A.C.; Connolly, H.M.; Anderson, J.H.; Oh, J.K.; Andi, K.; Goda, A.; Abozied, O.; Ramachandran, D.; Miranda, W.R. Estimation of Left Ventricular Filling Pressure Using Left Atrial Strain in Coarctation of Aorta. J. Invasive Cardiol. 2022, 34, E858–E865. [Google Scholar]
- Jarasunas, J.; Aidietis, A.; Aidietiene, S. Left atrial strain—An early marker of left ventricular diastolic dysfunction in patients with hypertension and paroxysmal atrial fibrillation. Cardiovasc. Ultrasound 2018, 16, 29. [Google Scholar] [CrossRef]
- Aga, Y.S.; AbouKamar, S.; Chin, J.F.; Van den Berg, V.J.; Strachinaru, M.; Bowen, D.; Frowijn, R.; Akkerhuis, M.K.; Constantinescu, A.A.; Umans, V.; et al. Potential role of left atrial strain in estimation of left atrial pressure in patients with chronic heart failure. ESC Heart Fail. 2023, 8, 2345–2353. [Google Scholar] [CrossRef]
- Gottfridsson, P.; Law, L.; A’roch, R.; Myrberg, T.; Hultin, M.; Lindqvist, P.; Haney, M. Left atrial contraction strain during a Valsalvamanoeuvre: A study in healthy humans. Clin. Physiol. Funct. Imaging 2023, 43, 165–169. [Google Scholar] [CrossRef]
- Cameli, M.; Mandoli, G.E.; Loiacono, F.; Dini, F.L.; Henein, M.; Mondillo, S. Left atrial strain: A new parameter for assessment of left ventricular filling pressure. Heart Fail. Rev. 2016, 21, 65–76. [Google Scholar] [CrossRef]
- Stringer, W.W.; Whipp, B.J.; Wasserman, K.; Porszasz, J.; Christenson, P.; French, W.J. Non-linear cardiac output dynamics during ramp-incremental cycle ergometry. Eur. J. Appl. Physiol. 2005, 93, 634–639. [Google Scholar] [CrossRef] [PubMed]
- Zhou, B.; Conlee, R.K.; Jensen, R.; Fellingham, G.W.; George, J.D.; Fisher, A.G. Stroke volume does not plateau during graded exercise in elite male distance runners. Med. Sci. Sports Exerc. 2001, 33, 1849–1854. [Google Scholar] [CrossRef] [PubMed]
- Rosenbaum, P.; Rubin, D. The Central Role of the Propensity Score in Observational Studies for Causal Effects. Biometrika 1983, 70, 41–55. [Google Scholar] [CrossRef]



| HFmrEF (N = 20) | HS (N = 10) | p | |
|---|---|---|---|
| Anthropometric characteristics | |||
| Age, years | 51.4 ± 10.3 | 53.3 ± 12.5 | 0.342 |
| Males/females, n | 18/2 | 8/2 | 0.422 |
| BMI, kg/m2 | 27.8 ± 6.3 | 28.1 ± 7.4 | 0.277 |
| Waist circumference, mm | 106.8 ± 16.1 | 108.0 ± 14.3 * | 0.351 |
| Previous AMI, n (%) | 17 (85) | - | |
| Previous PCI/CABG, n (%) | 16 (80)/13 (65) | - | |
| Resting HR, bpm | 72 ± 16.3 | 91 ± 12,4 | 0.006 |
| Systolic BP, mmHg | 107 ± 27.6 | 129 ± 34.4 | 0.011 |
| Diastolic BP, mmHg | 72 ± 13.6 | 78 ± 15.2 * | 0.344 |
| Comorbidities | |||
| Hypertension, n (%) | 18 (88) | - | |
| Diabetes, n (%) | 4 (37) | - | |
| Hypercholesterolemia, n (%) | 19 (82) | 3 (30) | 0.004 |
| Previous smoke habit/Current smokers, n (%) | 12 (60)/0 (0) | 3 (30)/2 (20) | |
| Obstruptive sleep apnoea, n (%) | 2 (10) | - | |
| Echocardiography parameters | |||
| PALS, % | 20 | 27 | 0.002 |
| PACS, % | 14 | 15 | 0.318 |
| LAVI, mL/m2 | 28.6 ± 5.1 | 27.2 ± 4.9 | 0.042 |
| E/A ratio | 0.97 ± 0.3 | 0.95 ± 0.6 * | 0.128 |
| E/e’ ratio | 9.1 ± 2.2 | 8.0 ± 3.1 | 0.240 |
| TRV, m/s | 2.38 ± 0.3 | 2.41 ± 0.1 | 0.131 |
| LV GLS, % | −11.6 ± 4.7 | −19.3 ± 3.2 | 0.028 |
| LVEDV, mL | 88 ± 16.8 | 89.4 ± 14.2 | 0.086 |
| LVESV, mL | 47.2 ± 9.3 | 39.3 ± 13.5 | 0.044 |
| LVEF, % | 46.1 ± 6.7 | 56.1 ± 11.4 | 0.018 |
| SV, mL | 41.± 14.8 | 50.1 ± 12.3 | 0.003 |
| CO, mL/min | 3034.3 ± 189.5 | 4550.8 ± 232.8 | 0.001 |
| Treatment | |||
| Antiplatelet therapy, n (%) | 20 (100) | - | |
| ACE-Is/ARBs, n (%) | 20 (100) | - | |
| Beta blockers, n (%) | 20 (100) | - | |
| MRAs, n (%) | 7 (35) | - | |
| Nitrates, n (%) | 3 (15) | - | |
| Furosemide n (%) | 4 (20) | - | |
| Statins, n (%) | 16 (80) | - |
Disclaimer/Publisher’s Note: The statements, opinions and data contained in all publications are solely those of the individual author(s) and contributor(s) and not of MDPI and/or the editor(s). MDPI and/or the editor(s) disclaim responsibility for any injury to people or property resulting from any ideas, methods, instructions or products referred to in the content. |
© 2023 by the authors. Licensee MDPI, Basel, Switzerland. This article is an open access article distributed under the terms and conditions of the Creative Commons Attribution (CC BY) license (https://creativecommons.org/licenses/by/4.0/).
Share and Cite
Perrone, M.A.; Iellamo, F.; D’Antoni, V.; Gismondi, A.; Di Biasio, D.; Vadalà, S.; Marazzi, G.; Morsella, V.; Volterrani, M.; Caminiti, G. Acute Changes on Left Atrial Function during Incremental Exercise in Patients with Heart Failure with Mildly Reduced Ejection Fraction: A Case-Control Study. J. Pers. Med. 2023, 13, 1272. https://doi.org/10.3390/jpm13081272
Perrone MA, Iellamo F, D’Antoni V, Gismondi A, Di Biasio D, Vadalà S, Marazzi G, Morsella V, Volterrani M, Caminiti G. Acute Changes on Left Atrial Function during Incremental Exercise in Patients with Heart Failure with Mildly Reduced Ejection Fraction: A Case-Control Study. Journal of Personalized Medicine. 2023; 13(8):1272. https://doi.org/10.3390/jpm13081272
Chicago/Turabian StylePerrone, Marco Alfonso, Ferdinando Iellamo, Valentino D’Antoni, Alessandro Gismondi, Deborah Di Biasio, Sara Vadalà, Giuseppe Marazzi, Valentina Morsella, Maurizio Volterrani, and Giuseppe Caminiti. 2023. "Acute Changes on Left Atrial Function during Incremental Exercise in Patients with Heart Failure with Mildly Reduced Ejection Fraction: A Case-Control Study" Journal of Personalized Medicine 13, no. 8: 1272. https://doi.org/10.3390/jpm13081272
APA StylePerrone, M. A., Iellamo, F., D’Antoni, V., Gismondi, A., Di Biasio, D., Vadalà, S., Marazzi, G., Morsella, V., Volterrani, M., & Caminiti, G. (2023). Acute Changes on Left Atrial Function during Incremental Exercise in Patients with Heart Failure with Mildly Reduced Ejection Fraction: A Case-Control Study. Journal of Personalized Medicine, 13(8), 1272. https://doi.org/10.3390/jpm13081272

