CMV and HIV Coinfection in Women from a Region in Eastern Europe
Abstract
1. Introduction
2. Materials and Methods
2.1. Participants, Data Collection and Ethical Statement
2.2. Specimen Collection, HIV and CMV Serology
2.3. Statistical Analyses
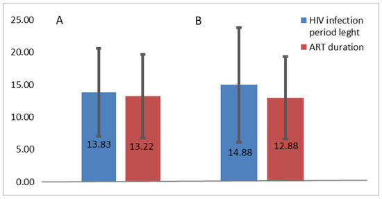
3. Results
3.1. Socio-Demographic Characterization of the Patients
3.2. Correlations between ART, HIV Viremia and CD4 Level of the Patients
3.3. IgG CMV, CMV Avidity, HIV Viremia and CD4 Values Correlations in the Studied Lot
4. Discussion
5. Conclusions
Author Contributions
Funding
Institutional Review Board Statement
Informed Consent Statement
Data Availability Statement
Acknowledgments
Conflicts of Interest
References
- Sufiawati, I.; Suniti, S.; Nelonda, R.; Wisaksana, R.; Rendati, A.R.; Amalia, R.; Tampubolon, I.D. Analysis of the relationship between human cytomegalovirus DNA and gB-1 genotype in the saliva of HIV/AIDS patients with xerostomia and salivary flow rate. Dent. J. 2019, 52, 197–203. [Google Scholar] [CrossRef][Green Version]
- Fowotade, A.; Okonko, I.O.; Agbede, O.O.; Suleiman, S.T. High seropositivity of IgG and IgM antibodies against cytomegalovirus (CMV) among HIV-1 seropositive patients in Ilorin, Nigeria. Afr. Health Sci. 2015, 15, 1–9. [Google Scholar] [CrossRef] [PubMed][Green Version]
- Hill, M.; Mostafa, S.; Muganda, P.M.; Jeffers-Francis, L.K.; Obeng-Gyasi, E. The Association of Cytomegalovirus and Allostatic Load by Country of Birth and Length of Time in the United States. Diseases 2023, 11, 101. [Google Scholar] [CrossRef]
- Nazim, F.; Kayani, H.A.; Nathwani, A.A.; Mir, F.; Abidi, S.H. CMV and EBV Co-Infection in HIV-Infected Children: Infection Rates and Analysis of Differential Expression of Cytokines in HIV Mono- and HIV–CMV–EBV Co-Infected Groups. Viruses 2022, 14, 1823. [Google Scholar] [CrossRef] [PubMed]
- Kiros, M.; Geteneh, A.; Andualem, H.; Alemu, D.; Tesfaye, A.; Tefera, D.A.; Mihret, A.; Alemayehu, D.H.; Mulu, A. Human cytomegalovirus infection among treatment-naive HIV-1 infected patients in Ethiopia. PLoS ONE 2021, 16, e0247264. [Google Scholar] [CrossRef] [PubMed]
- Markan, A.; Gupta, N.; Dogra, M.; Sharma, A.; Singh, R. Oral valganciclovir in human immunodeficiency virus-positive patients suffering from cytomegalovirus retinitis at a tertiary care hospital in North India. Indian J. Ophthalmol. 2022, 70, 2472–2475. [Google Scholar] [CrossRef]
- Palma, P.; Costa, A.; Duro, R.; Neves, N.; Abreu, C.; Sarmento, A. Mononeuritis multiplex: An uncommon neurological manifestation of cytomegalovirus reactivation in an HIV-infected patient. BMC Infect. Dis. 2018, 18, 554. [Google Scholar] [CrossRef]
- Cambrea, S.C.; Aschie, M.; Resul, G.; Mitroi, A.F.; Chisoi, A.; Nicolau, A.A.; Baltatescu, G.I.; Cretu, A.M.; Lupasteanu, G.; Serbanescu, L.; et al. HPV and HIV Coinfection in Women from a Southeast Region of Romania-PICOPIV Study. Medicina 2022, 58, 760. [Google Scholar] [CrossRef]
- Prince, H.E.; Lapé-Nixon, M. Role of cytomegalovirus (CMV) IgG avidity testing in diagnosing primary CMV infection during pregnancy. Clin. Vaccine Immunol. 2014, 21, 1377–1384. [Google Scholar] [CrossRef]
- Palav, H.C.; Bhonde, G.; Padwal, V.; Velhal, S.; Pereira, J.; Singh, A.K.; Ghosh, S.; Karandikar, K.; Satoskar, P.; Bhor, V.; et al. Integrated immune monitoring of HCMV infection in pregnant women with complications and its association with adverse pregnancy outcomes. Microb. Pathog. 2023, 179, 106109. [Google Scholar] [CrossRef]
- Hazell, S.L. Clinical utility of avidity assays. Expert Opin. Med. Diagn. 2007, 1, 511–519. [Google Scholar] [CrossRef] [PubMed]
- Omosigho, O.; Izevbuwa, O.; Ibrahim, O.; Adetunji, O.; Otojareri, K. Seroprevalence of cytomegalovirus among human immunodeficiency virus (HIV) postiev patients attending HAART clinic in Kawar State, north-central Nigeria. Microbes Infect. Dis. 2023, 4, 68–76. [Google Scholar] [CrossRef]
- Lopo, S.; Vinagre, E.; Palminha, P.; Paixão, M.T.; Nogueira, P.; Freitas, M.G. Seroprevalence to cytomegalovirus in the Portuguese population, 2002–2003. Euro Surveill. 2011, 16, 19896. [Google Scholar] [CrossRef] [PubMed]
- Phinius, B.B.; Anderson, M.; Gobe, I.; Mokomane, M.; Choga, W.T.; Mutenga, S.R.; Mpebe, G.; Pretorius-Holme, M.; Musonda, R.; Gaolathe, T.; et al. High Prevalence of Hepatitis B Virus Infection Among People With HIV in Rural and Periurban Communities in Botswana. Open Forum Infect. Dis. 2023, 10, ofac707. [Google Scholar] [CrossRef]
- De La Mata, N.L.; Ly, P.S.; Ng, O.T.; Nguyen, K.V.; Merati, T.P.; Pham, T.T.; Lee, M.P.; Choi, J.Y.; Sohn, A.H.; Law, M.G.; et al. Trends in CD4 cell count response to first-line antiretroviral treatment in HIV-positive patients from Asia, 2003-2013: TREAT Asia HIV Observational Database Low Intensity Transfer. Int. J. STD AIDS 2017, 28, 1282–1291. [Google Scholar] [CrossRef]
- Mrudula, N.D.; Suwarna, U.P.; Khadse, R.; Minal, P.; Shubhangi, D.K. Statistical Analysis and Evaluation of CD4 Count after 6 Months on ART. Indian J. Community Med. Off. Publ. Indian Assoc. Prev. Soc. Med. 2012, 37, 266–267. [Google Scholar] [CrossRef]
- Berry, N.; Jaffar, S.; Schim van der Loeff, M.; Ariyoshi, K.; Harding, E.; N’Gom, P.T.; Dias, F.; Wilkins, A.; Ricard, D.; Aaby, P.; et al. Low level viremia and high CD4% predict normal survival in a cohort of HIV type-2-infected villagers. AIDS Res. Hum. Retroviruses 2002, 18, 1167–1173. [Google Scholar] [CrossRef]
- Liu, P.; You, Y.; Liao, L.; Feng, Y.; Shao, Y.; Xing, H.; Lan, G.; Li, J.; Ruan, Y.; Li, D. Impact of low-level viremia with drug resistance on CD4 cell counts among people living with HIV on antiretroviral treatment in China. BMC Infect. Dis. 2022, 22, 426. [Google Scholar] [CrossRef]
- Ariyanto, I.A.; Estiasari, R.; Karim, B.; Wijaya, I.P.; Bela, B.; Soebandrio, A.; Price, P.; Lee, S. Which NK cell populations mark the high burden of CMV present in all HIV patients beginning ART in Indonesia? AIDS Res. Ther. 2022, 19, 16. [Google Scholar] [CrossRef]
- Udeze, A.; Odebisi-Omokanye, M.; Ajileye, T. Cytomegalovirus infection among Human Immunodeficiency Virus (HIV) infected individuals on highly active anti-retroviral therapy in North-Central Nigeria. Afr. Health Sci. 2018, 18, 1057–1065. [Google Scholar] [CrossRef]
- Gómez-Mora, E.; Massanella, M.; García, E.; Giles, D.; Bernadó, M.; Urrea, V.; Carrillo, J.; Ouchi, D.; Puig, J.; Negredo, E.; et al. Elevated humoral response to cytomegalovirus in HIV-infected individuals with poor CD4+ T-cell immune recovery. PLoS ONE 2017, 12, e0184433. [Google Scholar] [CrossRef] [PubMed]
- Barabona, G.; Mahiti, M.; Toyoda, M.; Kamori, D.; Masoud, S.; Judicate, G.P.; Sunguya, B.; Lyamuya, E.; Ueno, T. Advanced baseline immunosuppression is associated with elevated levels of plasma markers of fungal translocation and inflammation in long-term treated HIV-infected Tanzanians. AIDS Res. Ther. 2021, 18, 55. [Google Scholar] [CrossRef] [PubMed]
- Debnath, S.K.; Debnath, M.; Srivastava, R. Opportunistic etiological agents causing lung infections: Emerging need to transform lung-targeted delivery. Heliyon 2022, 8, e12620. [Google Scholar] [CrossRef]
- Osman, M.; Mahjoob; Mohammed-Elfatih, O.; Hussein, O. Detection-of-cytomegalovirus-glycoprotein-b-genotypes-among-early-and-late-stages-of-hiv-infected-sudanese-patients. J. AIDS Clin. Res. 2019, 10, 1000791. Available online: https://www.researchgate.net/publication/337565873_detection-of-cytomegalovirus-glycoprotein-b-genotypes-among-early-and-late-stages-of-hiv-infected-sudanese-patients (accessed on 26 September 2023).
- Jentzer, A.; Veyrard, P.; Roblin, X.; Saint-Sardos, P.; Rochereau, N.; Paul, S.; Bourlet, T.; Pozzetto, B.; Pillet, S. Cytomegalovirus and Inflammatory Bowel Diseases (IBD) with a Special Focus on the Link with Ulcerative Colitis (UC). Microorganisms 2020, 8, 1078. [Google Scholar] [CrossRef]
- Booiman, T.; Wit, F.W.; Girigorie, A.F.; Maurer, I.; De Francesco, D.; Sabin, C.A.; Harskamp, A.M.; Prins, M.; Franceschi, C.; Deeks, S.G.; et al. Terminal differentiation of T cells is strongly associated with CMV infection and increased in HIV-positive individuals on ART and lifestyle matched controls. PLoS ONE 2017, 12, e0183357. [Google Scholar] [CrossRef]
- Slyker, J.A.; Rowland-Jones, S.L.; Dong, T.; Reilly, M.; Richardson, B.; Emery, V.C.; Atzberger, A.; Mbori-Ngacha, D.; Lohman-Payne, B.L.; John-Stewart, G.C. Acute cytomegalovirus infection is associated with increased frequencies of activated and apoptosis-vulnerable T cells in HIV-1-infected infants. J. Virol. 2012, 86, 11373–11379. [Google Scholar] [CrossRef]
- Lee, S.; van den Berg, N.; Castley, A.; Divitini, M.; Knuiman, M.; Price, P.; Nolan, D.; Sanfilippo, F.; Dwivedi, G. Long-Term Associations between Human Cytomegalovirus Antibody Levels with All-Cause Mortality and Cardiovascular Outcomes in an Australian Community-Based Cohort. Viruses 2022, 14, 2676. [Google Scholar] [CrossRef] [PubMed]
- Moseley, P.; Klenerman, P.; Kadambari, S. Indirect effects of cytomegalovirus infection: Implications for vaccine development. Rev. Med. Virol. 2023, 33, e2405. [Google Scholar] [CrossRef]
- Bazmjoo, A.; Bagherzadeh, M.A.; Raoofi, R.; Taghipour, A.; Mazaherifar, S.; Sotoodeh, H.; Ostadi, Z.; Shadmand, E.; Jahromi, M.A.M.; Abdoli, A. Toxoplasma gondii, HBV, and HCV co-infection and their correlation with CD4 cells among Iranian HIV-positive patients. Immun. Inflamm. Dis. 2023, 11, e794. [Google Scholar] [CrossRef]
- Jobarteh, M.; Malfroy, M.; Peterson, I.; Jeng, A.; Sarge-Njie, R.; Alabi, A.; Peterson, K.; Cotten, M.; Hall, A.; Rowland-Jones, S.; et al. Seroprevalence of hepatitis B and C virus in HIV-1 and HIV-2 infected Gambians. Virol. J. 2010, 7, 230. [Google Scholar] [CrossRef] [PubMed]
- Maksoud, S.; El Hokayem, J. The cytokine/chemokine response in Leishmania/HIV infection and co-infection. Heliyon 2023, 9, e15055. [Google Scholar] [CrossRef] [PubMed]
- Kuschnir, R.C.; Pereira, L.S.; Dutra, M.R.T.; de Paula, L.; Silva-Freitas, M.L.; Corrêa-Castro, G.; Silva, S.d.C.C.; Cota, G.; Santos-Oliveira, J.R.; Da-Cruz, A.M. High levels of anti-Leishmania IgG3 and low CD4+ T cells count were associated with relapses in visceral leishmaniasis. BMC Infect. Dis. 2021, 21, 369. [Google Scholar] [CrossRef] [PubMed]
- Ford, B.N.; Savitz, J. Effect of Cytomegalovirus on the Immune System: Implications for Aging and Mental Health. Curr. Top. Behav. Neurosci. 2023, 61, 181–214. [Google Scholar] [CrossRef]
- Schnittman, S.R.; Lu, M.T.; Mayrhofer, T.; Burdo, T.H.; Fitch, K.V.; McCallum, S.; Fulda, E.S.; Zanni, M.V.; Foldyna, B.; Malvestutto, C.; et al. Cytomegalovirus Immunoglobulin G (IgG) Titer and Coronary Artery Disease in People with Human Immunodeficiency Virus (HIV). Clin. Infect. Dis. Off. Publ. Infect. Dis. Soc. Am. 2023, 76, e613–e621. [Google Scholar] [CrossRef]
- Routy, J.P.; Royston, L.; Isnard, S. Aging with Grace for People Living with HIV: Strategies to Overcome Leaky Gut and Cytomegalovirus Coinfection. J. Acquir. Immune Defic. Syndr. (1999) 2022, 89 (Suppl. S1), S29–S33. [Google Scholar] [CrossRef]
- Ballegaard, V.; Brændstrup, P.; Pedersen, K.K.; Kirkby, N.; Stryhn, A.; Ryder, L.P.; Gerstoft, J.; Nielsen, S.D. Cytomegalovirus-specific T-cells are associated with immune senescence, but not with systemic inflammation, in people living with HIV. Sci. Rep. 2018, 8, 3778. [Google Scholar] [CrossRef]



| Parameter | Social Data/Paraclinical Data | N/Value (SD) |
|---|---|---|
| Provenience area | Rural | 18 |
| Urban | 32 | |
| Patients’ first sexual intercourse age | Under 14 yo | 3 |
| 15–18 yo | 25 | |
| Over 19 yo | 2 | |
| Sexual partner number | 1 partner | 10 |
| 2–6 partners | 39 | |
| Over 6 partners | 1 | |
| Median age at HIV diagnostic | 18.82 (SD = 11.82) | |
| HIV infection period length (in years) | 14.5 (SD = 8.09) | |
| HIV infection path | Parenteral | 21 |
| Sexual | 29 | |
| ART duration (median, in years) | 13 (SD = 6.32) | |
| HIV viremia (number of cases) | <50 copies/mL (undetectable) | 41 |
| >50 copies/mL (detectable) | 9 | |
| IgG CMV median value | 215.71 (SD = 71.29) | |
| CMV avidity median value | 64.40 (SD = 20.95) | |
| CMV avidity (number of cases) | <40% (negative) | 3 |
| 40–50% (borderline) | 6 | |
| >50% (positive) | 41 | |
| CD4 median value | 659.30 (SD = 318.71) | |
| CD4 values (number of cases) | 200 cells/µL or less | 3 |
| Over 200 cells/µL | 47 |
| rho | p | ||
|---|---|---|---|
| HIV viremia (copies/mL) | –CD4 (cells/µL) | −0.393 | 0.005 |
| ART therapy (years) | –IgG CMV values (U/mL) | 0.024 | 0.869 |
| CD 4 values (cells/µL) | –IgG CMV values (U/mL) | −0.350 | 0.013 |
Disclaimer/Publisher’s Note: The statements, opinions and data contained in all publications are solely those of the individual author(s) and contributor(s) and not of MDPI and/or the editor(s). MDPI and/or the editor(s) disclaim responsibility for any injury to people or property resulting from any ideas, methods, instructions or products referred to in the content. |
© 2023 by the authors. Licensee MDPI, Basel, Switzerland. This article is an open access article distributed under the terms and conditions of the Creative Commons Attribution (CC BY) license (https://creativecommons.org/licenses/by/4.0/).
Share and Cite
Halichidis, S.; Aschie, M.; Cozaru, G.C.; Manea, M.; Dobrin, N.; Vlad, S.E.; Matei, E.; Baltatescu, G.I.; Mitroi, A.F.; Rosu, M.C.; et al. CMV and HIV Coinfection in Women from a Region in Eastern Europe. J. Pers. Med. 2023, 13, 1539. https://doi.org/10.3390/jpm13111539
Halichidis S, Aschie M, Cozaru GC, Manea M, Dobrin N, Vlad SE, Matei E, Baltatescu GI, Mitroi AF, Rosu MC, et al. CMV and HIV Coinfection in Women from a Region in Eastern Europe. Journal of Personalized Medicine. 2023; 13(11):1539. https://doi.org/10.3390/jpm13111539
Chicago/Turabian StyleHalichidis, Stela, Mariana Aschie, Georgeta Camelia Cozaru, Mihaela Manea, Nicolae Dobrin, Sabina E. Vlad, Elena Matei, Gabriela Izabela Baltatescu, Anca Florentina Mitroi, Mihai Catalin Rosu, and et al. 2023. "CMV and HIV Coinfection in Women from a Region in Eastern Europe" Journal of Personalized Medicine 13, no. 11: 1539. https://doi.org/10.3390/jpm13111539
APA StyleHalichidis, S., Aschie, M., Cozaru, G. C., Manea, M., Dobrin, N., Vlad, S. E., Matei, E., Baltatescu, G. I., Mitroi, A. F., Rosu, M. C., Nitu, B. F., Resul, G., Nicolau, A. A., Cretu, A. M., & Chisoi, A. (2023). CMV and HIV Coinfection in Women from a Region in Eastern Europe. Journal of Personalized Medicine, 13(11), 1539. https://doi.org/10.3390/jpm13111539

