Diagnostic Role and Prognostic Impact of PSAP Immunohistochemistry: A Tissue Microarray Study on 31,358 Cancer Tissues
Abstract
:1. Introduction
2. Materials and Methods
3. Results
3.1. Technical Issues
3.2. PSAP in Normal Tissues
3.3. PSAP in Neoplastic Tissues
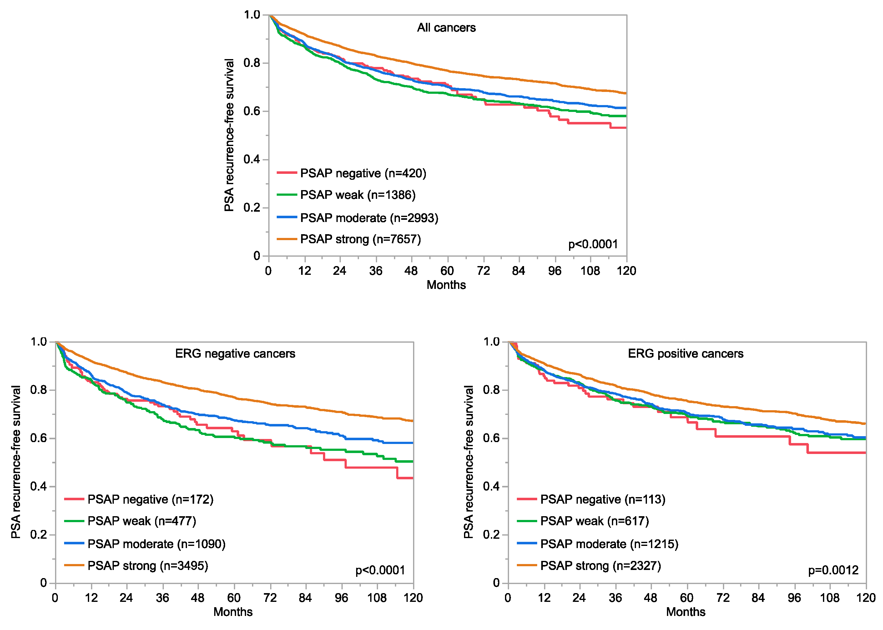
3.4. PSAP, Tumor Phenotype, and Patient Outcome in Prostate Cancer
3.5. Multivariate Analysis
4. Discussion
5. Conclusions
Supplementary Materials
Author Contributions
Funding
Institutional Review Board Statement
Informed Consent Statement
Data Availability Statement
Acknowledgments
Conflicts of Interest
References
- Vihko, P.; Kontturi, M.; Korhonen, L.K. Purification of human prostatic acid phosphatase by affinity chromatography and isoelectric focusing. Part I. Clin. Chem. 1978, 24, 466–470. [Google Scholar] [CrossRef]
- Zelivianski, S.; Comeau, D.; Lin, M.F. Cloning and analysis of the promoter activity of the human prostatic acid phosphatase gene. Biochem. Biophys. Res. Commun. 1998, 245, 108–112. [Google Scholar] [CrossRef]
- Kumar, V.; Kumar, P.G.; Yadav, J.K. Impact of semen-derived amyloid (SEVI) on sperm viability and motility: Its implication in male reproductive fitness. Eur. Biophys. J. 2019, 48, 659–671. [Google Scholar] [CrossRef]
- Kong, H.Y.; Byun, J. Emerging roles of human prostatic Acid phosphatase. Biomol. Ther. 2013, 21, 10–20. [Google Scholar] [CrossRef]
- Muniyan, S.; Ingersoll, M.A.; Batra, S.K.; Lin, M.F. Cellular prostatic acid phosphatase, a PTEN-functional homologue in prostate epithelia, functions as a prostate-specific tumor suppressor. Biochim. Biophys. Acta 2014, 1846, 88–98. [Google Scholar] [CrossRef]
- Genega, E.M.; Hutchinson, B.; Reuter, V.E.; Gaudin, P.B. Immunophenotype of high-grade prostatic adenocarcinoma and urothelial carcinoma. Mod. Pathol. 2000, 13, 1186–1191. [Google Scholar] [CrossRef]
- Yam, L.T.; Janckila, A.J.; Lam, W.K.; Li, C.Y. Immunohistochemistry of prostatic acid phosphatase. Prostate 1981, 2, 97–107. [Google Scholar] [CrossRef]
- Shevchuk, M.M.; Romas, N.A.; Ng, P.Y.; Tannenbaum, M.; Olsson, C.A. Acid phosphatase localization in prostatic carcinoma. A comparison of monoclonal antibody to heteroantisera. Cancer 1983, 52, 1642–1646. [Google Scholar] [CrossRef]
- Bates, R.J.; Chapman, C.M.; Prout, G.R.; Lin, C.W., Jr. Immunohistochemical identification of prostatic acid phosphatase: Correlation of tumor grade with acid phosphatase distribution. J. Urol. 1982, 127, 574–580. [Google Scholar] [CrossRef]
- Hara, M. Correlation of vessel invasion and bone metastasis in prostatic adenocarcinoma. A clinico-pathological and immunohistochemical study of 33 cases of total prostatectomy. Nihon Hinyokika Gakkai Zasshi 1989, 80, 1011–1016. [Google Scholar]
- Gunia, S.; Koch, S.; May, M.; Dietel, M.; Erbersdobler, A. Expression of prostatic acid phosphatase (PSAP) in transurethral resection specimens of the prostate is predictive of histopathologic tumor stage in subsequent radical prostatectomies. Virchows Arch. 2009, 454, 573–579. [Google Scholar] [CrossRef]
- Sakai, H.; Shiraishi, K.; Minami, Y.; Yushita, Y.; Kanetake, H.; Saito, Y. Immunohistochemical prostatic acid phosphatase level as a prognostic factor of prostatic carcinoma. Prostate 1991, 19, 265–272. [Google Scholar] [CrossRef]
- Mohler, J.L.; Partin, A.W.; Epstein, J.I.; Becker, R.L.; Mikel, U.V.; Sesterhenn, I.A.; Mostofi, F.K.; Gleason, D.F.; Sharief, Y.; Coffey, D.S. Prediction of prognosis in untreated stage A2 prostatic carcinoma. Cancer 1992, 69, 511–519. [Google Scholar] [CrossRef] [PubMed]
- Sauvageot, J.; Epstein, J.I. Immunoreactivity for prostate-specific antigen and prostatic acid phosphatase in adenocarcinoma of the prostate: Relation to progression following radical prostatectomy. Prostate 1998, 34, 29–33. [Google Scholar] [CrossRef]
- Graddis, T.J.; McMahan, C.J.; Tamman, J.; Page, K.J.; Trager, J.B. Prostatic acid phosphatase expression in human tissues. Int. J. Clin. Exp. Pathol. 2011, 4, 295–306. [Google Scholar] [CrossRef]
- May, E.E.; Perentes, E. Anti-Leu 7 immunoreactivity with human tumours: Its value in the diagnosis of prostatic adenocarcinoma. Histopathology 1987, 11, 295–304. [Google Scholar] [CrossRef]
- Kimura, N.; Sasano, N. Prostate-specific acid phosphatase in carcinoid tumors. Virchows Arch. A Pathol. Anat. Histopathol. 1986, 410, 247–251. [Google Scholar] [CrossRef]
- Bubendorf, L.; Nocito, A.; Moch, H.; Sauter, G. Tissue microarray (TMA) technology: Miniaturized pathology archives for high-throughput in situ studies. J. Pathol. 2001, 195, 72–79. [Google Scholar] [CrossRef]
- Kononen, J.; Bubendorf, L.; Kallioniemi, A.; Barlund, M.; Schraml, P.; Leighton, S.; Torhorst, J.; Mihatsch, M.J.; Sauter, G.; Kallionimeni, O.-P. Tissue microarrays for high-throughput molecular profiling of tumor specimens. Nat. Med. 1998, 4, 844–847. [Google Scholar] [CrossRef]
- Freytag, M.; Kluth, M.; Bady, E.; Hube-Magg, C.; Makrypidi-Fraune, G.; Heinzer, H.; Höflmayer, D.; Weidemann, S.; Uhlig, R.; Huland, H.; et al. Epithelial splicing regulatory protein 1 and 2 (ESRP1 and ESRP2) upregulation predicts poor prognosis in prostate cancer. BMC Cancer 2020, 20, 1220. [Google Scholar] [CrossRef]
- Minner, S.; Enodien, M.; Sirma, H.; Luebke, A.M.; Krohn, A.; Mayer, P.S.; Simon, R.; Tennstedt, P.; Müller, J.; Scholz, L.; et al. ERG status is unrelated to PSA recurrence in radically operated prostate cancer in the absence of antihormonal therapy. Clin. Cancer Res. 2011, 17, 5878–5888. [Google Scholar] [CrossRef]
- Weischenfeldt, J.; Simon, R.; Feuerbach, L.; Schlangen, K.; Weichenhan, D.; Minner, S.; Wuttig, D.; Warnatz, H.-J.; Stehr, H.; Rausch, T.; et al. Integrative genomic analyses reveal an androgen-driven somatic alteration landscape in early-onset prostate cancer. Cancer Cell 2013, 23, 159–170. [Google Scholar] [CrossRef]
- Jenniskens, J.C.A.; Offermans, K.; Samarska, I.; Fazzi, G.E.; Simons, C.; Smits, K.M.; Schouten, L.J.; Weijenberg, M.P.; Brandt, P.A.v.D.; Grabsch, H.I. Validity and Reproducibility of Immunohistochemical Scoring by Trained Non-Pathologists on Tissue Microarrays. Cancer Epidemiol. Biomark. Prev. 2021, 30, 1867–1874. [Google Scholar] [CrossRef]
- Chung, Y.R.; Jang, M.H.; Park, S.Y.; Gong, G.; Jung, W.H. Korean Breast Pathology Ki-67 Study, G. Interobserver Variability of Ki-67 Measurement in Breast Cancer. J. Pathol. Transl. Med. 2016, 50, 129–137. [Google Scholar] [CrossRef]
- Turashvili, G.; Leung, S.; Turbin, D.; Montgomery, K.; Gilks, B.; West, R.; Carrier, M.; Huntsman, D.; Aparicio, S. Inter-observer reproducibility of HER2 immunohistochemical assessment and concordance with fluorescent in situ hybridization (FISH): Pathologist assessment compared to quantitative image analysis. BMC Cancer 2009, 9, 165. [Google Scholar] [CrossRef]
- Marin, C.; Beauchet, A.; Capper, D.; Zimmermann, U.; Julie, C.; Ilie, M.; Saiag, P.; von Deimling, A.; Hofman, P.; Emile, J.-F. Detection of BRAF p.V600E Mutations in Melanoma by Immunohistochemistry Has a Good Interobserver Reproducibility. Arch. Pathol. Lab. Med. 2014, 138, 71–75. [Google Scholar] [CrossRef]
- Uhlig, R.; Contreras, H.; Weidemann, S.; Gorbokon, N.; Menz, A.; Buscheck, F.; Luebke, A.M.; Kluth, M.; Hube-Magg, C.; Hinsch, A.; et al. Carboxypeptidase A1 (CPA1) Immunohistochemistry Is Highly Sensitive and Specific for Acinar Cell Carcinoma (ACC) of the Pancreas. Am. J. Surg. Pathol. 2022, 46, 97–104. [Google Scholar] [CrossRef]
- Steurer, S.; Schneider, J.; Buscheck, F.; Luebke, A.M.; Kluth, M.; Hube-Magg, C.; Hinsch, A.; Höflmayer, D.; Weidemann, S.; Fraune, C.; et al. Immunohistochemically detectable thyroglobulin expression in extrathyroidal cancer is 100% specific for thyroidal tumor origin. Ann. Diagn. Pathol. 2021, 54, 151793. [Google Scholar] [CrossRef]
- Epstein, J.I.; Feng, Z.; Trock, B.J.; Pierorazio, P.M. Upgrading and downgrading of prostate cancer from biopsy to radical prostatectomy: Incidence and predictive factors using the modified Gleason grading system and factoring in tertiary grades. Eur. Urol. 2012, 61, 1019–1024. [Google Scholar] [CrossRef]
- Haines, A.M.; Larkin, S.E.; Richardson, A.P.; Stirling, R.W.; Heyderman, E. A novel hybridoma antibody (PASE/4LJ) to human prostatic acid phosphatase suitable for immunohistochemistry. Br. J. Cancer 1989, 60, 887–892. [Google Scholar] [CrossRef]
- Seipel, A.H.; Samaratunga, H.; Delahunt, B.; Wiklund, P.; Clements, M.; Egevad, L. Immunohistochemistry of ductal adenocarcinoma of the prostate and adenocarcinomas of non-prostatic origin: A comparative study. APMIS 2016, 124, 263–270. [Google Scholar] [CrossRef]
- Ramos-Vara, J.A.; Miller, M.A. When tissue antigens and antibodies get along: Revisiting the technical aspects of immunohistochemistry—The red, brown, and blue technique. Vet. Pathol. 2014, 51, 42–87. [Google Scholar] [CrossRef]
- Steurer, S.; Riemann, C.; Buscheck, F.; Luebke, A.M.; Kluth, M.; Hube-Magg, C.; Hinsch, A.; Höflmayer, D.; Weidemann, S.; Fraune, C.; et al. p63 expression in human tumors and normal tissues: A tissue microarray study on 10,200 tumors. Biomark. Res. 2021, 9, 7. [Google Scholar] [CrossRef]
- Rico, S.D.; Mahnken, M.; Buscheck, F.; Dum, D.; Luebke, A.M.; Kluth, M.; Hube-Magg, C.; Hinsch, A.; Höflmayer, D.; Möller-Koop, C.; et al. MUC5AC Expression in Various Tumor Types and Nonneoplastic Tissue: A Tissue Microarray Study on 10 399 Tissue Samples. Technol. Cancer Res. Treat. 2021, 20, 15330338211043328. [Google Scholar] [CrossRef]
- Uhlen, M.; Bandrowski, A.; Carr, S.; Edwards, A.; Ellenberg, J.; Lundberg, E.; Rimm, D.L.; Rodriguez, H.; Hiltke, T.; Snyder, M.; et al. A proposal for validation of antibodies. Nat. Methods 2016, 13, 823–827. [Google Scholar] [CrossRef] [PubMed]
- Thul, P.J.; Akesson, L.; Wiking, M.; Mahdessian, D.; Geladaki, A.; Ait Blal, H.; Alm, T.; Asplund, A.; Björk, L.; Breckels, L.M.; et al. A subcellular map of the human proteome. Science 2017, 356, eaal3321. [Google Scholar] [CrossRef] [PubMed]
- Lizio, M.; Abugessaisa, I.; Noguchi, S.; Kondo, A.; Hasegawa, A.; Hon, C.C.; de Hoon, M.; Severin, J.; Oki, S.; Hayashizaki, Y.; et al. Update of the FANTOM web resource: Expansion to provide additional transcriptome atlases. Nucleic Acids Res. 2019, 47, D752–D758. [Google Scholar] [CrossRef] [PubMed]
- Consortium, G.T. The Genotype-Tissue Expression (GTEx) project. Nat. Genet. 2013, 45, 580–585. [Google Scholar]
- Henttu, P.; Vihko, P. Steroids inversely affect the biosynthesis and secretion of human prostatic acid phosphatase and prostate-specific antigen in the LNCaP cell line. J. Steroid Biochem. Mol. Biol. 1992, 41, 349–360. [Google Scholar] [CrossRef]
- Veeramani, S.; Yuan, T.C.; Chen, S.J.; Lin, F.F.; Petersen, J.E.; Shaheduzzaman, S.; Srivastava, S.; MacDonald, R.G.; Lin, M.-F. Cellular prostatic acid phosphatase: A protein tyrosine phosphatase involved in androgen-independent proliferation of prostate cancer. Endocr. Relat. Cancer 2005, 12, 805–822. [Google Scholar] [CrossRef]
- Tomlins, S.A.; Rhodes, D.R.; Perner, S.; Dhanasekaran, S.M.; Mehra, R.; Sun, X.W.; Varambally, S.; Cao, X.; Tchinda, J.; Kuefer, R.; et al. Recurrent fusion of TMPRSS2 and ETS transcription factor genes in prostate cancer. Science 2005, 310, 644–648. [Google Scholar] [CrossRef] [PubMed]
- Steurer, S.; Mayer, P.S.; Adam, M.; Krohn, A.; Koop, C.; Ospina-Klinck, D.; Tehrani, A.A.; Simon, R.; Tennstedt, P.; Graefen, M.; et al. TMPRSS2-ERG fusions are strongly linked to young patient age in low-grade prostate cancer. Eur. Urol. 2014, 66, 978–981. [Google Scholar] [CrossRef] [PubMed]
- Brase, J.C.; Johannes, M.; Mannsperger, H.; Falth, M.; Metzger, J.; Kacprzyk, L.A.; Andrasiuk, T.; Gade, S.; Meister, M.; Sirma, H.; et al. TMPRSS2-ERG -specific transcriptional modulation is associated with prostate cancer biomarkers and TGF-beta signaling. BMC Cancer 2011, 11, 507. [Google Scholar] [CrossRef]
- Kind, S.; Buscheck, F.; Hoflmayer, D.; Hube-Magg, C.; Kluth, M.; Tsourlakis, M.C.; Steurer, S.; Clauditz, T.S.; Luebke, A.M.; Burandt, E.; et al. Claudin-1 upregulation is associated with favorable tumor features and a reduced risk for biochemical recurrence in ERG-positive prostate cancer. World J. Urol. 2020, 38, 2185–2196. [Google Scholar] [CrossRef] [PubMed]
- Burdelski, C.; Bujupi, E.; Tsourlakis, M.C.; Hube-Magg, C.; Kluth, M.; Melling, N.; Lebok, P.; Minner, S.; Koop, C.; Graefen, M.; et al. Loss of SOX9 Expression Is Associated with PSA Recurrence in ERG-Positive and PTEN Deleted Prostate Cancers. PLoS ONE 2015, 10, e0128525. [Google Scholar] [CrossRef]
- Burdelski, C.; Menan, D.; Tsourlakis, M.C.; Kluth, M.; Hube-Magg, C.; Melling, N.; Minner, S.; Koop, C.; Graefen, M.; Heinzer, H.; et al. The prognostic value of SUMO1/Sentrin specific peptidase 1 (SENP1) in prostate cancer is limited to ERG-fusion positive tumors lacking PTEN deletion. BMC Cancer 2015, 15, 538. [Google Scholar] [CrossRef]
- Tsourlakis, M.C.; Eleftheriadou, A.; Stender, A.; Weigand, P.; Grupp, K.; Hube-Magg, C.; Kluth, M.; Schroeder, C.; Steurer, S.; Hinsch, A.; et al. FOXA1 expression is a strong independent predictor of early PSA recurrence in ERG negative prostate cancers treated by radical prostatectomy. Carcinogenesis 2017, 38, 1180–1187. [Google Scholar] [CrossRef]
- Sirma, H.; Broemel, M.; Stumm, L.; Tsourlakis, T.; Steurer, S.; Tennstedt, P.; Salomon, G.; Michl, U.; Haese, A.; Simon, R.; et al. Loss of CDKN1B/p27Kip1 expression is associated with ERG fusion-negative prostate cancer, but is unrelated to patient prognosis. Oncol. Lett. 2013, 6, 1245–1252. [Google Scholar] [CrossRef]
- Tan, W.C.C.; Nerurkar, S.N.; Cai, H.Y.; Ng, H.H.M.; Wu, D.; Wee, Y.T.F.; Lim, J.C.T.; Yeong, J.; Lim, T.K.H. Overview of multiplex immunohistochemistry/immunofluorescence techniques in the era of cancer immunotherapy. Cancer Commun. 2020, 40, 135–153. [Google Scholar] [CrossRef]




| PSAP Immunostaining Result | |||||||
|---|---|---|---|---|---|---|---|
| Tumor Entity | on TMA (n) | Analyzable (n) | Negative (%) | Weak (%) | Moderate (%) | Strong (%) | |
| Tumors of the skin | Pilomatricoma | 35 | 33 | 100.0 | 0.0 | 0.0 | 0.0 |
| Basal cell carcinoma of the skin | 88 | 55 | 100.0 | 0.0 | 0.0 | 0.0 | |
| Benign nevus | 29 | 28 | 100.0 | 0.0 | 0.0 | 0.0 | |
| Squamous cell carcinoma of the skin | 90 | 76 | 100.0 | 0.0 | 0.0 | 0.0 | |
| Malignant melanoma | 48 | 46 | 100.0 | 0.0 | 0.0 | 0.0 | |
| Merkel cell carcinoma | 46 | 41 | 100.0 | 0.0 | 0.0 | 0.0 | |
| Tumors of the head and neck | Squamous cell carcinoma of the larynx | 110 | 96 | 100.0 | 0.0 | 0.0 | 0.0 |
| Squamous cell carcinoma of the pharynx | 60 | 47 | 100.0 | 0.0 | 0.0 | 0.0 | |
| Oral squamous cell carcinoma (floor of the mouth) | 130 | 116 | 100.0 | 0.0 | 0.0 | 0.0 | |
| Pleomorphic adenoma of the parotid gland | 50 | 48 | 100.0 | 0.0 | 0.0 | 0.0 | |
| Warthin tumor of the parotid gland | 104 | 98 | 100.0 | 0.0 | 0.0 | 0.0 | |
| Adenocarcinoma, NOS (papillary cystadenocarcinoma) | 14 | 13 | 100.0 | 0.0 | 0.0 | 0.0 | |
| Salivary duct carcinoma | 15 | 11 | 100.0 | 0.0 | 0.0 | 0.0 | |
| Acinic cell carcinoma of the salivary gland | 181 | 140 | 100.0 | 0.0 | 0.0 | 0.0 | |
| Adenocarcinoma NOS of the salivary gland | 109 | 74 | 100.0 | 0.0 | 0.0 | 0.0 | |
| Adenoid cystic carcinoma of the salivary gland | 180 | 105 | 100.0 | 0.0 | 0.0 | 0.0 | |
| Basal cell adenocarcinoma of the salivary gland | 25 | 23 | 100.0 | 0.0 | 0.0 | 0.0 | |
| Basal cell adenoma of the salivary gland | 101 | 90 | 100.0 | 0.0 | 0.0 | 0.0 | |
| Epithelial-myoepithelial carcinoma of the salivary gland | 53 | 51 | 100.0 | 0.0 | 0.0 | 0.0 | |
| Mucoepidermoid carcinoma of the salivary gland | 343 | 257 | 100.0 | 0.0 | 0.0 | 0.0 | |
| Myoepithelial carcinoma of the salivary gland | 21 | 20 | 100.0 | 0.0 | 0.0 | 0.0 | |
| Myoepithelioma of the salivary gland | 11 | 11 | 100.0 | 0.0 | 0.0 | 0.0 | |
| Oncocytic carcinoma of the salivary gland | 12 | 12 | 100.0 | 0.0 | 0.0 | 0.0 | |
| Polymorphous adenocarcinoma, low grade, of the salivary gland | 41 | 34 | 100.0 | 0.0 | 0.0 | 0.0 | |
| Pleomorphic adenoma of the salivary gland | 53 | 35 | 100.0 | 0.0 | 0.0 | 0.0 | |
| Tumors of the lung, pleura, and thymus | Adenocarcinoma of the lung | 246 | 167 | 100.0 | 0.0 | 0.0 | 0.0 |
| Squamous cell carcinoma of the lung | 130 | 60 | 100.0 | 0.0 | 0.0 | 0.0 | |
| Small cell carcinoma of the lung | 20 | 16 | 100.0 | 0.0 | 0.0 | 0.0 | |
| Mesothelioma, epithelioid | 39 | 31 | 100.0 | 0.0 | 0.0 | 0.0 | |
| Mesothelioma, biphasic | 76 | 64 | 100.0 | 0.0 | 0.0 | 0.0 | |
| Thymoma | 29 | 29 | 100.0 | 0.0 | 0.0 | 0.0 | |
| Lung, neuroendocrine tumor (NET) | 19 | 17 | 100.0 | 0.0 | 0.0 | 0.0 | |
| Tumors of the female genital tract | Squamous cell carcinoma of the vagina | 78 | 64 | 100.0 | 0.0 | 0.0 | 0.0 |
| Squamous cell carcinoma of the vulva | 130 | 117 | 100.0 | 0.0 | 0.0 | 0.0 | |
| Squamous cell carcinoma of the cervix | 130 | 124 | 100.0 | 0.0 | 0.0 | 0.0 | |
| Endometrioid endometrial carcinoma | 236 | 225 | 100.0 | 0.0 | 0.0 | 0.0 | |
| Endometrial serous carcinoma | 82 | 72 | 100.0 | 0.0 | 0.0 | 0.0 | |
| Carcinosarcoma of the uterus | 48 | 40 | 100.0 | 0.0 | 0.0 | 0.0 | |
| Endometrial carcinoma, high grade, G3 | 13 | 13 | 100.0 | 0.0 | 0.0 | 0.0 | |
| Endometrial clear cell carcinoma | 8 | 7 | 100.0 | 0.0 | 0.0 | 0.0 | |
| Endometrioid carcinoma of the ovary | 110 | 88 | 100.0 | 0.0 | 0.0 | 0.0 | |
| Serous carcinoma of the ovary | 559 | 451 | 100.0 | 0.0 | 0.0 | 0.0 | |
| Mucinous carcinoma of the ovary | 96 | 76 | 100.0 | 0.0 | 0.0 | 0.0 | |
| Clear cell carcinoma of the ovary | 50 | 38 | 100.0 | 0.0 | 0.0 | 0.0 | |
| Carcinosarcoma of the ovary | 47 | 38 | 100.0 | 0.0 | 0.0 | 0.0 | |
| Brenner tumor | 9 | 9 | 100.0 | 0.0 | 0.0 | 0.0 | |
| Tumors of the breast | Invasive breast carcinoma of no special type | 126 | 69 | 100.0 | 0.0 | 0.0 | 0.0 |
| Lobular carcinoma of the breast | 123 | 106 | 100.0 | 0.0 | 0.0 | 0.0 | |
| Medullary carcinoma of the breast | 15 | 15 | 100.0 | 0.0 | 0.0 | 0.0 | |
| Tubular carcinoma of the breast | 18 | 18 | 100.0 | 0.0 | 0.0 | 0.0 | |
| Mucinous carcinoma of the breast | 22 | 21 | 100.0 | 0.0 | 0.0 | 0.0 | |
| Phyllodes tumor of the breast | 50 | 50 | 100.0 | 0.0 | 0.0 | 0.0 | |
| Tumors of the digestive system | Adenomatous polyp, low-grade dysplasia | 50 | 49 | 100.0 | 0.0 | 0.0 | 0.0 |
| Adenomatous polyp, high-grade dysplasia | 50 | 49 | 100.0 | 0.0 | 0.0 | 0.0 | |
| Adenocarcinoma of the colon | 956 | 740 | 100.0 | 0.0 | 0.0 | 0.0 | |
| Adenocarcinoma of the small intestine | 10 | 6 | 100.0 | 0.0 | 0.0 | 0.0 | |
| Gastric adenocarcinoma, diffuse type | 226 | 129 | 99.2 | 0.0 | 0.0 | 0.8 | |
| Gastric adenocarcinoma, intestinal type | 224 | 130 | 100.0 | 0.0 | 0.0 | 0.0 | |
| Gastric adenocarcinoma, mixed type | 62 | 48 | 100.0 | 0.0 | 0.0 | 0.0 | |
| Adenocarcinoma of the esophagus | 133 | 65 | 100.0 | 0.0 | 0.0 | 0.0 | |
| Squamous cell carcinoma of the esophagus | 124 | 40 | 100.0 | 0.0 | 0.0 | 0.0 | |
| Squamous cell carcinoma of the anal canal | 91 | 74 | 100.0 | 0.0 | 0.0 | 0.0 | |
| Cholangiocarcinoma | 50 | 49 | 100.0 | 0.0 | 0.0 | 0.0 | |
| Hepatocellular carcinoma | 50 | 50 | 100.0 | 0.0 | 0.0 | 0.0 | |
| Ductal adenocarcinoma of the pancreas | 662 | 482 | 100.0 | 0.0 | 0.0 | 0.0 | |
| Pancreatic/Ampullary adenocarcinoma | 119 | 75 | 100.0 | 0.0 | 0.0 | 0.0 | |
| Acinar cell carcinoma of the pancreas | 15 | 14 | 100.0 | 0.0 | 0.0 | 0.0 | |
| Gastrointestinal stromal tumor (GIST) | 50 | 49 | 100.0 | 0.0 | 0.0 | 0.0 | |
| Appendix, neuroendocrine tumor (NET) | 22 | 12 | 100.0 | 0.0 | 0.0 | 0.0 | |
| Colorectal, neuroendocrine tumor (NET) | 11 | 9 | 100.0 | 0.0 | 0.0 | 0.0 | |
| Ileum, neuroendocrine tumor (NET) | 49 | 45 | 100.0 | 0.0 | 0.0 | 0.0 | |
| Pancreas, neuroendocrine tumor (NET) | 98 | 94 | 96.8 | 2.1 | 1.1 | 0.0 | |
| Colorectal, neuroendocrine carcinoma (NEC) | 12 | 8 | 100.0 | 0.0 | 0.0 | 0.0 | |
| Gallbladder, neuroendocrine carcinoma (NEC) | 4 | 4 | 100.0 | 0.0 | 0.0 | 0.0 | |
| Pancreas, neuroendocrine carcinoma (NEC) | 14 | 14 | 100.0 | 0.0 | 0.0 | 0.0 | |
| Tumors of the urinary system | Urothelial carcinoma, pT2-4 G3 | 1207 | 624 | 100.0 | 0.0 | 0.0 | 0.0 |
| Small cell neuroendocrine carcinoma of the bladder | 18 | 17 | 100.0 | 0.0 | 0.0 | 0.0 | |
| Sarcomatoid urothelial carcinoma | 25 | 24 | 100.0 | 0.0 | 0.0 | 0.0 | |
| Clear cell renal cell carcinoma | 858 | 731 | 100.0 | 0.0 | 0.0 | 0.0 | |
| Papillary renal cell carcinoma | 255 | 197 | 100.0 | 0.0 | 0.0 | 0.0 | |
| Clear cell (tubulo) papillary renal cell carcinoma | 21 | 18 | 100.0 | 0.0 | 0.0 | 0.0 | |
| Chromophobe renal cell carcinoma | 131 | 90 | 100.0 | 0.0 | 0.0 | 0.0 | |
| Oncocytoma of the kidney | 177 | 117 | 100.0 | 0.0 | 0.0 | 0.0 | |
| Tumors of the male genital organs | Adenocarcinoma of the prostate, Gleason 3 + 3 | 83 | 77 | 0.0 | 2.6 | 15.6 | 81.8 |
| Adenocarcinoma of the prostate, Gleason 4 + 4 | 80 | 67 | 4.5 | 7.5 | 20.9 | 67.2 | |
| Adenocarcinoma of the prostate, Gleason 5 + 5 | 85 | 78 | 9.0 | 20.5 | 25.6 | 44.9 | |
| Adenocarcinoma of the prostate (recurrence) | 261 | 210 | 6.2 | 21.0 | 23.8 | 49.0 | |
| Small cell neuroendocrine carcinoma of the prostate | 17 | 16 | 68.8 | 12.5 | 18.8 | 0.0 | |
| Seminoma | 621 | 427 | 100.0 | 0.0 | 0.0 | 0.0 | |
| Embryonal carcinoma of the testis | 50 | 34 | 100.0 | 0.0 | 0.0 | 0.0 | |
| Yolk sac tumor | 50 | 38 | 100.0 | 0.0 | 0.0 | 0.0 | |
| Teratoma | 50 | 45 | 100.0 | 0.0 | 0.0 | 0.0 | |
| Squamous cell carcinoma of the penis | 80 | 61 | 100.0 | 0.0 | 0.0 | 0.0 | |
| Tumors of endocrine organs | Adenoma of the thyroid gland | 114 | 106 | 100.0 | 0.0 | 0.0 | 0.0 |
| Papillary thyroid carcinoma | 392 | 339 | 100.0 | 0.0 | 0.0 | 0.0 | |
| Follicular thyroid carcinoma | 158 | 133 | 100.0 | 0.0 | 0.0 | 0.0 | |
| Medullary thyroid carcinoma | 107 | 96 | 100.0 | 0.0 | 0.0 | 0.0 | |
| Anaplastic thyroid carcinoma | 45 | 42 | 100.0 | 0.0 | 0.0 | 0.0 | |
| Adrenal cortical adenoma | 50 | 39 | 100.0 | 0.0 | 0.0 | 0.0 | |
| Adrenal cortical carcinoma | 26 | 25 | 100.0 | 0.0 | 0.0 | 0.0 | |
| Pheochromocytoma | 50 | 50 | 100.0 | 0.0 | 0.0 | 0.0 | |
| Tumors of hematopoetic and lymphoid tissues | Hodgkin lymphoma | 103 | 69 | 100.0 | 0.0 | 0.0 | 0.0 |
| Non-Hodgkin lymphoma | 62 | 55 | 100.0 | 0.0 | 0.0 | 0.0 | |
| Small lymphocytic lymphoma, B-cell type (B-SLL/B-CLL) | 50 | 22 | 100.0 | 0.0 | 0.0 | 0.0 | |
| Diffuse large B cell lymphoma (DLBCL) | 114 | 81 | 100.0 | 0.0 | 0.0 | 0.0 | |
| Follicular lymphoma | 88 | 51 | 100.0 | 0.0 | 0.0 | 0.0 | |
| T-cell non-Hodgkin lymphoma | 24 | 11 | 100.0 | 0.0 | 0.0 | 0.0 | |
| Mantle cell lymphoma | 18 | 7 | 100.0 | 0.0 | 0.0 | 0.0 | |
| Marginal zone lymphoma | 16 | 8 | 100.0 | 0.0 | 0.0 | 0.0 | |
| Diffuse large B-cell lymphoma (DLBCL) in the testis | 16 | 13 | 100.0 | 0.0 | 0.0 | 0.0 | |
| Burkitt lymphoma | 5 | 3 | 100.0 | 0.0 | 0.0 | 0.0 | |
| Tumors of soft tissue and bone | Tendosynovial giant cell tumor | 45 | 43 | 100.0 | 0.0 | 0.0 | 0.0 |
| Granular cell tumor | 53 | 43 | 100.0 | 0.0 | 0.0 | 0.0 | |
| Leiomyoma | 50 | 49 | 100.0 | 0.0 | 0.0 | 0.0 | |
| Leiomyosarcoma | 87 | 85 | 100.0 | 0.0 | 0.0 | 0.0 | |
| Liposarcoma | 132 | 114 | 100.0 | 0.0 | 0.0 | 0.0 | |
| Malignant peripheral nerve sheath tumor (MPNST) | 13 | 12 | 100.0 | 0.0 | 0.0 | 0.0 | |
| Myofibrosarcoma | 26 | 26 | 100.0 | 0.0 | 0.0 | 0.0 | |
| Angiosarcoma | 73 | 65 | 100.0 | 0.0 | 0.0 | 0.0 | |
| Angiomyolipoma | 91 | 90 | 100.0 | 0.0 | 0.0 | 0.0 | |
| Dermatofibrosarcoma protuberans | 21 | 18 | 100.0 | 0.0 | 0.0 | 0.0 | |
| Ganglioneuroma | 14 | 13 | 100.0 | 0.0 | 0.0 | 0.0 | |
| Kaposi sarcoma | 8 | 6 | 100.0 | 0.0 | 0.0 | 0.0 | |
| Neurofibroma | 117 | 89 | 100.0 | 0.0 | 0.0 | 0.0 | |
| Sarcoma, not otherwise specified (NOS) | 75 | 72 | 100.0 | 0.0 | 0.0 | 0.0 | |
| Paraganglioma | 41 | 35 | 100.0 | 0.0 | 0.0 | 0.0 | |
| Ewing sarcoma | 23 | 16 | 100.0 | 0.0 | 0.0 | 0.0 | |
| Rhabdomyosarcoma | 7 | 7 | 100.0 | 0.0 | 0.0 | 0.0 | |
| Schwannoma | 121 | 95 | 100.0 | 0.0 | 0.0 | 0.0 | |
| Synovial sarcoma | 12 | 11 | 100.0 | 0.0 | 0.0 | 0.0 | |
| Osteosarcoma | 43 | 38 | 100.0 | 0.0 | 0.0 | 0.0 | |
| Chondrosarcoma | 38 | 26 | 100.0 | 0.0 | 0.0 | 0.0 | |
| PSAP Immunostaining Result | ||||||
|---|---|---|---|---|---|---|
| n Evaluable | Negative (%) | Weak (%) | Moderate (%) | Strong (%) | p-Value | |
| All cancers | 15,455 | 3.1 | 10.7 | 25.1 | 61.1 | |
| Tumor stage | ||||||
| pT2 | 9896 | 3.2 | 8.6 | 23.4 | 64.8 | <0.0001 |
| pT3a | 3413 | 2.3 | 12 | 27.3 | 58.3 | |
| pT3b-4 | 2081 | 3.9 | 18.4 | 29.7 | 48 | |
| Gleason score | ||||||
| ≤3 + 3 | 2983 | 3.3 | 8.2 | 20.9 | 67.7 | <0.0001 |
| 3 + 4 | 8159 | 2.7 | 9.9 | 24.9 | 62.6 | |
| 3 + 4 Tert.5 | 714 | 2.5 | 10.4 | 27.9 | 59.2 | |
| 4 + 3 | 1504 | 3.6 | 12.2 | 25.9 | 58.3 | |
| 4 + 3 Tert.5 | 1069 | 3 | 15.1 | 31.5 | 50.4 | |
| ≥4 + 4 | 877 | 5.5 | 19.3 | 30.6 | 44.7 | |
| quantitative Gleason score | ||||||
| 3 + 4 ≤ 5% | 2101 | 3.9 | 8.8 | 23.2 | 64.1 | <0.0001 |
| 3 + 4 6–10% | 2016 | 2.4 | 9.1 | 23.7 | 64.8 | |
| 3 + 4 11–20% | 1760 | 2.1 | 9.4 | 26.2 | 62.3 | |
| 3 + 4 21–30% | 904 | 2 | 12.7 | 24.1 | 61.2 | |
| 3 + 4 31–49% | 754 | 1.6 | 12.2 | 26.7 | 59.5 | |
| 4 + 3 50–60% | 592 | 2.5 | 10.4 | 27.9 | 59.2 | |
| 4 + 3 61–80% | 551 | 2.5 | 11 | 24 | 62.5 | |
| 4 + 3 > 80% | 136 | 4.2 | 13.2 | 26.7 | 55.9 | |
| Lymph node metastasis | ||||||
| N0 | 9228 | 2.9 | 10.8 | 26.4 | 59.9 | <0.0001 |
| N+ | 1146 | 4.3 | 18 | 30.4 | 47.4 | |
| Preoperative PSA level (ng/mL) | ||||||
| <4 | 1886 | 4.4 | 12.6 | 25.5 | 57.5 | <0.0001 |
| 4–10 | 1120 | 3.5 | 15.1 | 27.1 | 54.3 | |
| 10–20 | 9108 | 2.9 | 9.6 | 24.5 | 63 | |
| >20 | 3244 | 2.7 | 11.1 | 25.9 | 60.4 | |
| Surgical margin | ||||||
| negative | 12,348 | 3.3 | 9.8 | 24.7 | 62.2 | <0.0001 |
| positive | 3050 | 2.4 | 14.1 | 26.9 | 56.6 | |
Disclaimer/Publisher’s Note: The statements, opinions and data contained in all publications are solely those of the individual author(s) and contributor(s) and not of MDPI and/or the editor(s). MDPI and/or the editor(s) disclaim responsibility for any injury to people or property resulting from any ideas, methods, instructions or products referred to in the content. |
© 2023 by the authors. Licensee MDPI, Basel, Switzerland. This article is an open access article distributed under the terms and conditions of the Creative Commons Attribution (CC BY) license (https://creativecommons.org/licenses/by/4.0/).
Share and Cite
Tribian, L.S.; Lennartz, M.; Höflmayer, D.; de Wispelaere, N.; Dwertmann Rico, S.; von Bargen, C.; Kind, S.; Reiswich, V.; Viehweger, F.; Lutz, F.; et al. Diagnostic Role and Prognostic Impact of PSAP Immunohistochemistry: A Tissue Microarray Study on 31,358 Cancer Tissues. Diagnostics 2023, 13, 3242. https://doi.org/10.3390/diagnostics13203242
Tribian LS, Lennartz M, Höflmayer D, de Wispelaere N, Dwertmann Rico S, von Bargen C, Kind S, Reiswich V, Viehweger F, Lutz F, et al. Diagnostic Role and Prognostic Impact of PSAP Immunohistochemistry: A Tissue Microarray Study on 31,358 Cancer Tissues. Diagnostics. 2023; 13(20):3242. https://doi.org/10.3390/diagnostics13203242
Chicago/Turabian StyleTribian, Laura Sophie, Maximilian Lennartz, Doris Höflmayer, Noémi de Wispelaere, Sebastian Dwertmann Rico, Clara von Bargen, Simon Kind, Viktor Reiswich, Florian Viehweger, Florian Lutz, and et al. 2023. "Diagnostic Role and Prognostic Impact of PSAP Immunohistochemistry: A Tissue Microarray Study on 31,358 Cancer Tissues" Diagnostics 13, no. 20: 3242. https://doi.org/10.3390/diagnostics13203242
APA StyleTribian, L. S., Lennartz, M., Höflmayer, D., de Wispelaere, N., Dwertmann Rico, S., von Bargen, C., Kind, S., Reiswich, V., Viehweger, F., Lutz, F., Bertram, V., Fraune, C., Gorbokon, N., Weidemann, S., Hube-Magg, C., Menz, A., Uhlig, R., Krech, T., Hinsch, A., ... Bernreuther, C. (2023). Diagnostic Role and Prognostic Impact of PSAP Immunohistochemistry: A Tissue Microarray Study on 31,358 Cancer Tissues. Diagnostics, 13(20), 3242. https://doi.org/10.3390/diagnostics13203242

