High-Resolution Optical Coherence Tomography Angiography Characteristics of Limbal Stem Cell Deficiency
Abstract
:1. Introduction
2. Materials and Methods
2.1. Study Design, Location, Duration and Participants
2.2. Details on Imaging and Diagnostic Procedures
2.3. Image Analysis for HR-OCTA Images
2.4. Statistical Analysis
3. Results
3.1. Demographics and Baseline Data
3.2. HR-OCT Imaging Parameters Diagnostic of LSCD
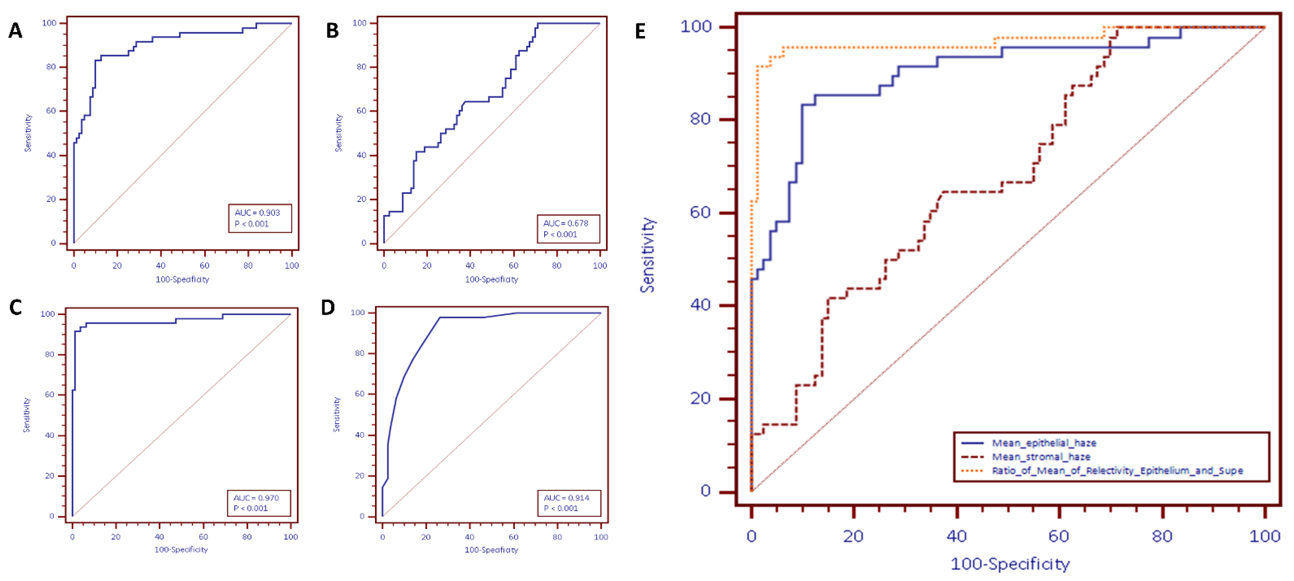
3.3. Sensitivity, Specificity, Positive and Negative Predictive Values of HR-OCT Angiography Parameters of LSCD
4. Discussion
5. Conclusions
Supplementary Materials
Author Contributions
Funding
Institutional Review Board Statement
Informed Consent Statement
Data Availability Statement
Acknowledgments
Conflicts of Interest
References
- Thoft, R.A.; Friend, J. The X, Y, Z hypothesis of corneal epithelial maintenance. Investig. Ophthalmol. Vis. Sci. 1983, 24, 1442–1443. [Google Scholar]
- Schermer, A.; Galvin, S.; Sun, T.-T. Differentiation-related expression of a major 64K corneal keratin in vivo and in culture suggests limbal location of corneal epithelial stem cells. J. Cell Biol. 1986, 103, 49–62. [Google Scholar] [CrossRef] [PubMed]
- Cotsarelis, G.; Cheng, S.Z.; Dong, G.; Sun, T.T.; Lavker, R.M. Existence of slow-cycling limbal epithelial basal cells that can be prefer-entially stimulated to proliferate: Implications on epithelial stem cells. Cell 1989, 57, 201–209. [Google Scholar] [CrossRef]
- Vazirani, J.; Nair, D.; Shanbhag, S.; Wurity, S.; Ranjan, A.; Sangwan, V. Limbal Stem Cell Deficiency—Demography and Underlying Causes. Am. J. Ophthalmol. 2018, 188, 99–103. [Google Scholar] [CrossRef]
- Le, Q.; Xu, J.; Deng, S.X. The diagnosis of limbal stem cell deficiency. Ocul. Surf. 2018, 16, 58–69. [Google Scholar] [CrossRef]
- Jawaheer, L.; Anijeet, D.; Ramaesh, K. Diagnostic criteria for limbal stem cell deficiency—A systematic literature review. Surv. Ophthalmol. 2017, 62, 522–532. [Google Scholar] [CrossRef]
- Donisi, P.M.; Rama, P.; Fasolo, A.; Ponzin, D. Analysis of Limbal Stem Cell Deficiency by Corneal Impression Cytology. Cornea 2003, 22, 533–538. [Google Scholar] [CrossRef]
- Deng, S.X.; Sejpal, K.D.; Tang, Q.; Aldave, A.J.; Lee, O.L.; Yu, F. Characterization of limbal stem cell deficiency by in vivo laser scanning confocal microscopy: A microstructural approach. Arch. Ophthalmol. 2012, 130, 440–445. [Google Scholar] [PubMed] [Green Version]
- Nelson, J.D.; Wright, J.C. Conjunctival Goblet Cell Densities in Ocular Surface Disease. Arch. Ophthalmol. 1984, 102, 1049–1051. [Google Scholar] [CrossRef]
- Nubile, M.; Lanzini, M.; Miri, A.; Pocobelli, A.; Calienno, R.; Curcio, C.; Mastropasqua, R.; Dua, H.S.; Mastropasqua, L. In Vivo Confocal Microscopy in Diagnosis of Limbal Stem Cell Deficiency. Am. J. Ophthalmol. 2013, 155, 220–232. [Google Scholar] [CrossRef]
- Napoli, P.E.; Nioi, M.; D’Aloja, E.; Fossarello, M. The Bull’s Eye Pattern of the Tear Film in Humans during Visual Fixation on En-Face Optical Coherence Tomography. Sci. Rep. 2019, 9, 1–9. [Google Scholar] [CrossRef]
- Napoli, P.E.; Nioi, M.; D’Aloja, E.; Loy, F.; Fossarello, M. The architecture of corneal stromal striae on optical coherence tomography and histology in an animal model and in humans. Sci. Rep. 2020, 10, 1–8. [Google Scholar] [CrossRef]
- Liang, Q.; Le, Q.; Cordova, D.W.; Tseng, C.H.; Deng, S.X. Corneal Epithelial Thickness Measured Using AS-OCT as a Diagnostic Pa-rameter for Limbal Stem Cell Deficiency. Am. J. Ophthalmol. 2020, 216, 132–139. [Google Scholar] [CrossRef]
- Espandar, L.; Steele, J.F.; Lathrop, K.L. Optical Coherence Tomography Imaging of the Palisades of Vogt to Assist Clinical Evaluation and Surgical Planning in a Case of Limbal Stem-Cell Deficiency. Eye Contact Lens 2017, 43, e19–e21. [Google Scholar] [CrossRef] [PubMed]
- Haagdorens, M.; Behaegel, J.; Rozema, J.; Van Gerwen, V.; Michiels, S.; Dhubhghaill, S.N.; Tassignon, M.-J.; Zakaria, N. A method for quantifying limbal stem cell niches using OCT imaging. Br. J. Ophthalmol. 2017, 101, 1250–1255. [Google Scholar] [CrossRef] [PubMed]
- Ang, M.; Sim, D.A.; Keane, P.A.; Sng, C.; Egan, C.; Tufail, A.; Wilkins, M. Optical Coherence Tomography Angiography for Anterior Segment Vasculature Imaging. Ophthalmology 2015, 122, 1740–1747. [Google Scholar] [CrossRef] [PubMed]
- Patel, C.N.; Antony, A.K.; Kommula, H.; Shah, S.; Singh, V.; Basu, S. Optical coherence tomography angiography of perilimbal vas-culature: Validation of a standardized imaging algorithm. Br. J. Ophthalmol. 2020, 104, 404–409. [Google Scholar] [CrossRef]
- Poli, M.; Janin, H.; Justin, V.; Auxenfans, C.; Burillon, C.; Damour, O. Keratin 13 Immunostaining in Corneal Impression Cytology for the Diagnosis of Limbal Stem Cell Deficiency. Investig. Opthalmology Vis. Sci. 2011, 52, 9411–9415. [Google Scholar] [CrossRef] [PubMed] [Green Version]
- Nelson, J.D. Impression Cytology. Cornea 1988, 7, 71–81. [Google Scholar] [CrossRef]
- Schindelin, J.; Arganda-Carreras, I.; Frise, E.; Kaynig, V.; Longair, M.; Pietzsch, T.; Preibisch, S.; Rueden, C.; Saalfeld, S.; Schmid, B.; et al. Fiji: An open-source platform for biological-image analysis. Nat. Methods 2012, 9, 676–682. [Google Scholar] [CrossRef] [Green Version]
- Raybaut, P. Spyder-Documentation. 2009. Available online: https://pythonhosted.org (accessed on 19 June 2021).
- Shanbhag, S.S.; Nikpoor, N.; Rao Donthineni, P.; Singh, V.; Chodosh, J.; Basu, S. Autologous limbal stem cell transplantation: A sys-tematic review of clinical outcomes with different surgical techniques. Br. J. Ophthalmol. 2020, 104, 247–253. [Google Scholar] [CrossRef] [PubMed]
- Joshi, V.P.; Vaishnavi, K.S.; Ojha, S.K.; Singh, V.; Basu, S. A reliable animal model of corneal stromal opacity: Development and val-idation using in vivo imaging. Ocul. Surf. 2020, 18, 681–688. [Google Scholar] [CrossRef] [PubMed]
- Karp, C.L.; Mercado, C.; Venkateswaran, N. Use of High-Resolution Optical Coherence Tomography in the Surgical Man-agement of Ocular Surface Squamous Neoplasia: A Pilot Study. Am. J. Ophthalmol. 2019, 206, 17–31. [Google Scholar] [CrossRef] [PubMed]
- Binotti, W.W.; Nosé, R.M.; Koseoglu, N.D.; Dieckmann, G.M.; Kenyon, K.; Hamrah, P. The utility of anterior segment optical coherence tomography angiography for the assessment of limbal stem cell deficiency. Ocul. Surf. 2021, 19, 94–103. [Google Scholar] [CrossRef] [PubMed]
- Napoli, P.E.; Nioi, M.; Gabiati, L.; Laurenzo, M.; De-Giorgio, F.; Scorcia, V.; Grassi, S.; d’Aloja, E.; Fossarello, M. Repeatability and repro-ducibility of post-mortem central corneal thickness measurements using a portable optical coherence tomography system in humans: A prospective multicenter study. Sci. Rep. 2020, 10, 14508. [Google Scholar] [CrossRef]






Publisher’s Note: MDPI stays neutral with regard to jurisdictional claims in published maps and institutional affiliations. |
© 2021 by the authors. Licensee MDPI, Basel, Switzerland. This article is an open access article distributed under the terms and conditions of the Creative Commons Attribution (CC BY) license (https://creativecommons.org/licenses/by/4.0/).
Share and Cite
Varma, S.; Shanbhag, S.S.; Donthineni, P.R.; Mishra, D.K.; Singh, V.; Basu, S. High-Resolution Optical Coherence Tomography Angiography Characteristics of Limbal Stem Cell Deficiency. Diagnostics 2021, 11, 1130. https://doi.org/10.3390/diagnostics11061130
Varma S, Shanbhag SS, Donthineni PR, Mishra DK, Singh V, Basu S. High-Resolution Optical Coherence Tomography Angiography Characteristics of Limbal Stem Cell Deficiency. Diagnostics. 2021; 11(6):1130. https://doi.org/10.3390/diagnostics11061130
Chicago/Turabian StyleVarma, Shobhit, Swapna S. Shanbhag, Pragnya Rao Donthineni, Dilip Kumar Mishra, Vivek Singh, and Sayan Basu. 2021. "High-Resolution Optical Coherence Tomography Angiography Characteristics of Limbal Stem Cell Deficiency" Diagnostics 11, no. 6: 1130. https://doi.org/10.3390/diagnostics11061130
APA StyleVarma, S., Shanbhag, S. S., Donthineni, P. R., Mishra, D. K., Singh, V., & Basu, S. (2021). High-Resolution Optical Coherence Tomography Angiography Characteristics of Limbal Stem Cell Deficiency. Diagnostics, 11(6), 1130. https://doi.org/10.3390/diagnostics11061130

