Effects of an L-Leucine-Rich Diet on Liver and Kidneys in a Doxorubicin Toxicity Model
Abstract
:1. Introduction
2. Material and Methods
2.1. Animals and Groups
2.2. L-Leucine-Rich Diet and Doxorubicin Treatment
2.3. Tissue Processing
2.4. Biomarkers of Oxidative Stress
2.4.1. Catalase
2.4.2. Superoxide Dismutase
2.4.3. Glutathione Peroxidase
2.4.4. Glutathione Reductase
2.4.5. Reduced Glutathione
2.4.6. Glucose-6-Phosphate Dehydrogenase
2.4.7. Lipid Peroxidation
2.4.8. Thiol Groups
2.5. Histological Analysis
2.6. Statistical Analysis
3. Results
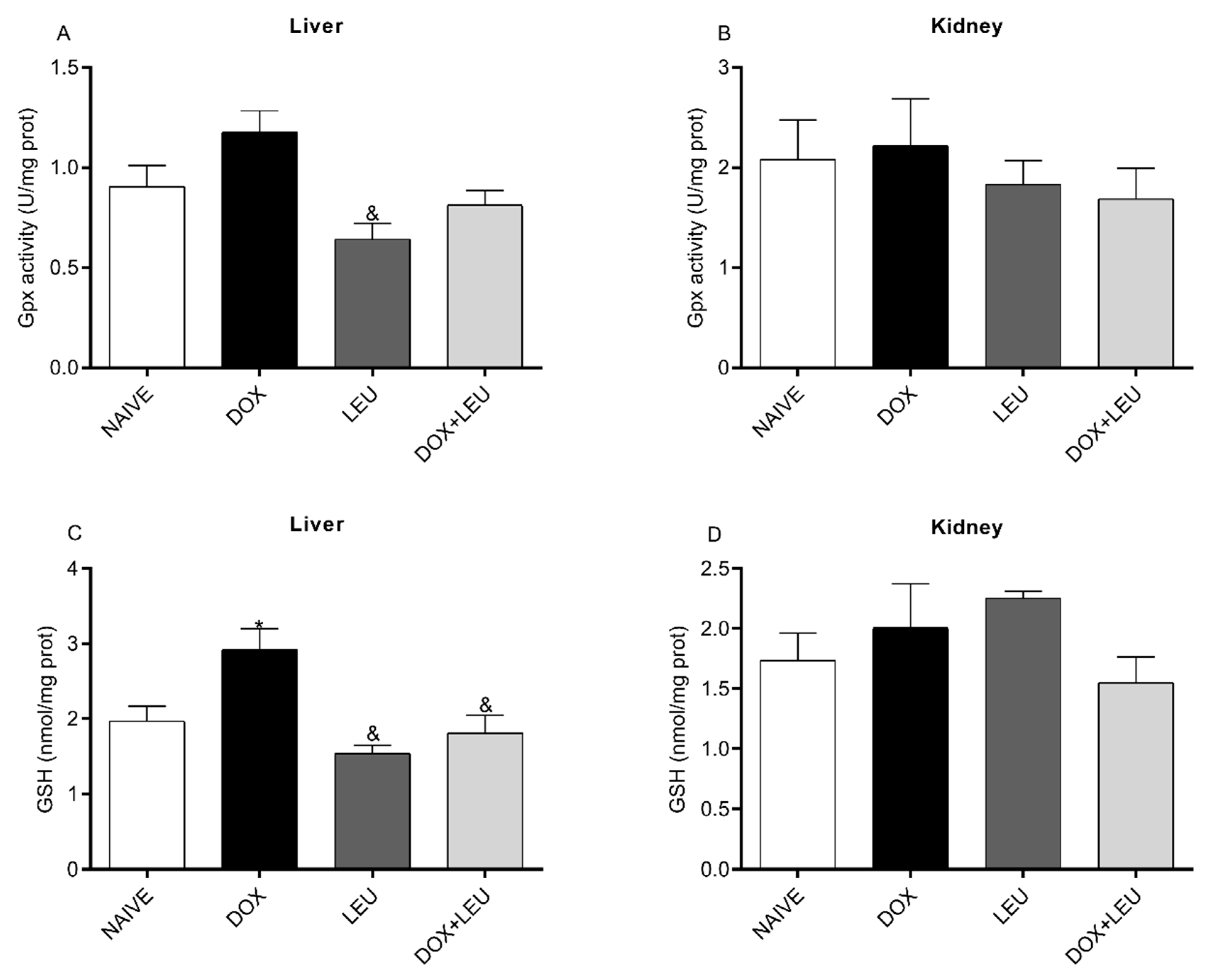
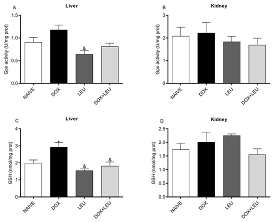
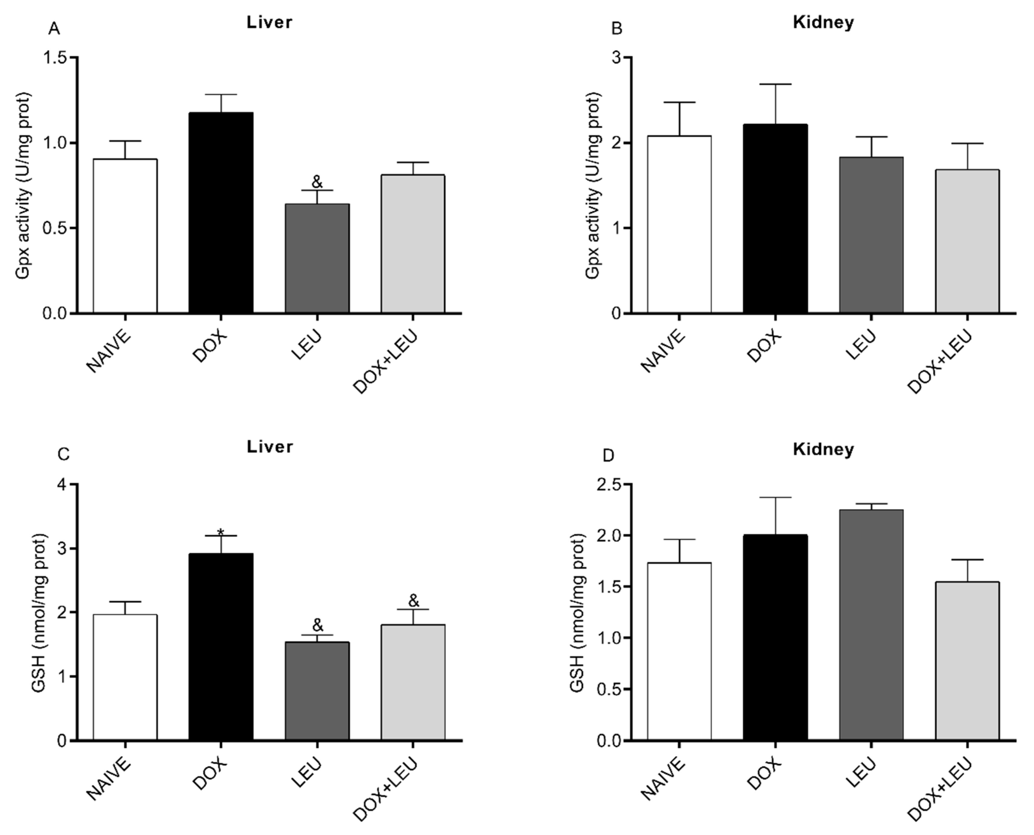
3.1. L-Leucine-Rich Diet Can Reduce the Antioxidant Defenses Activities
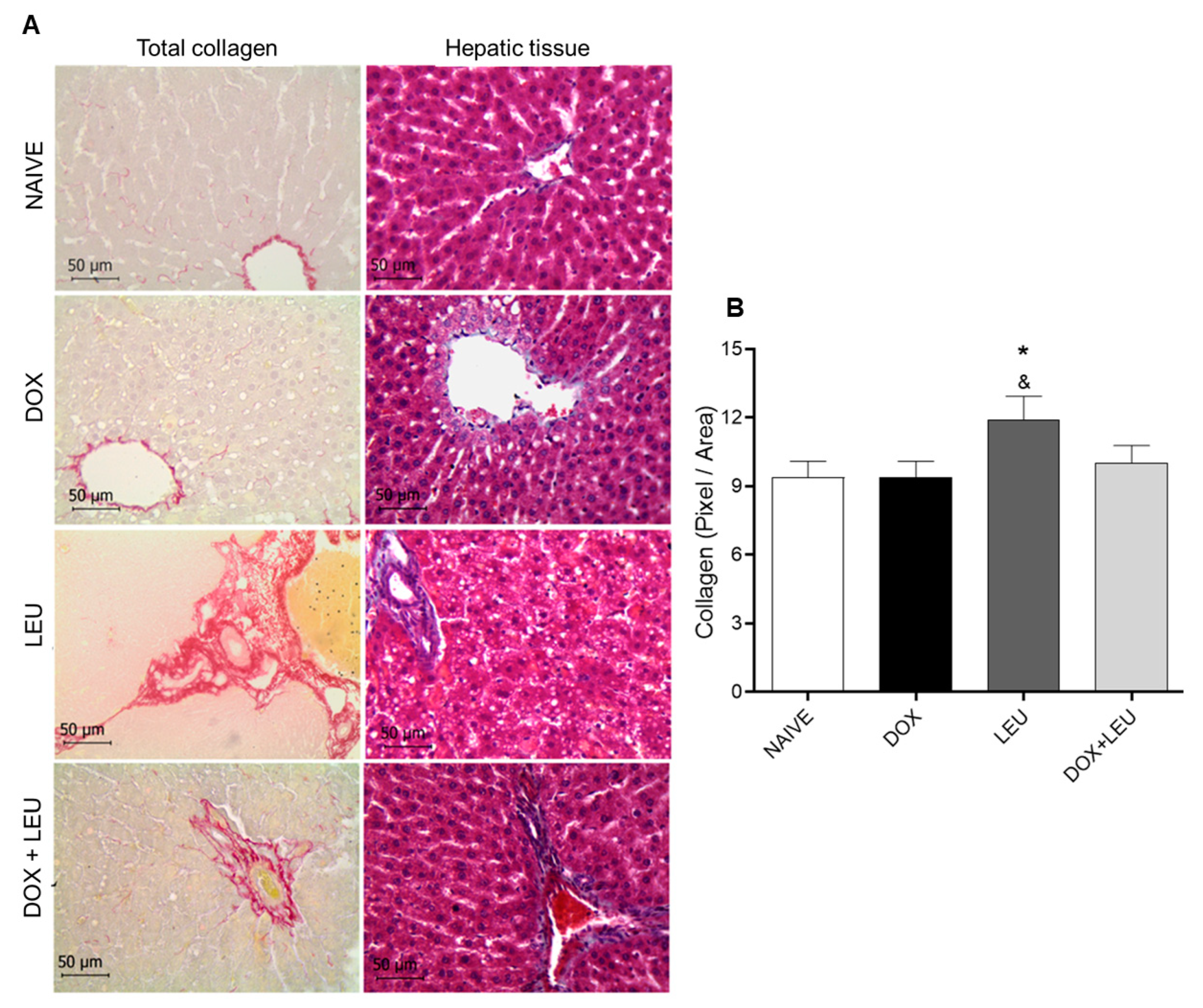
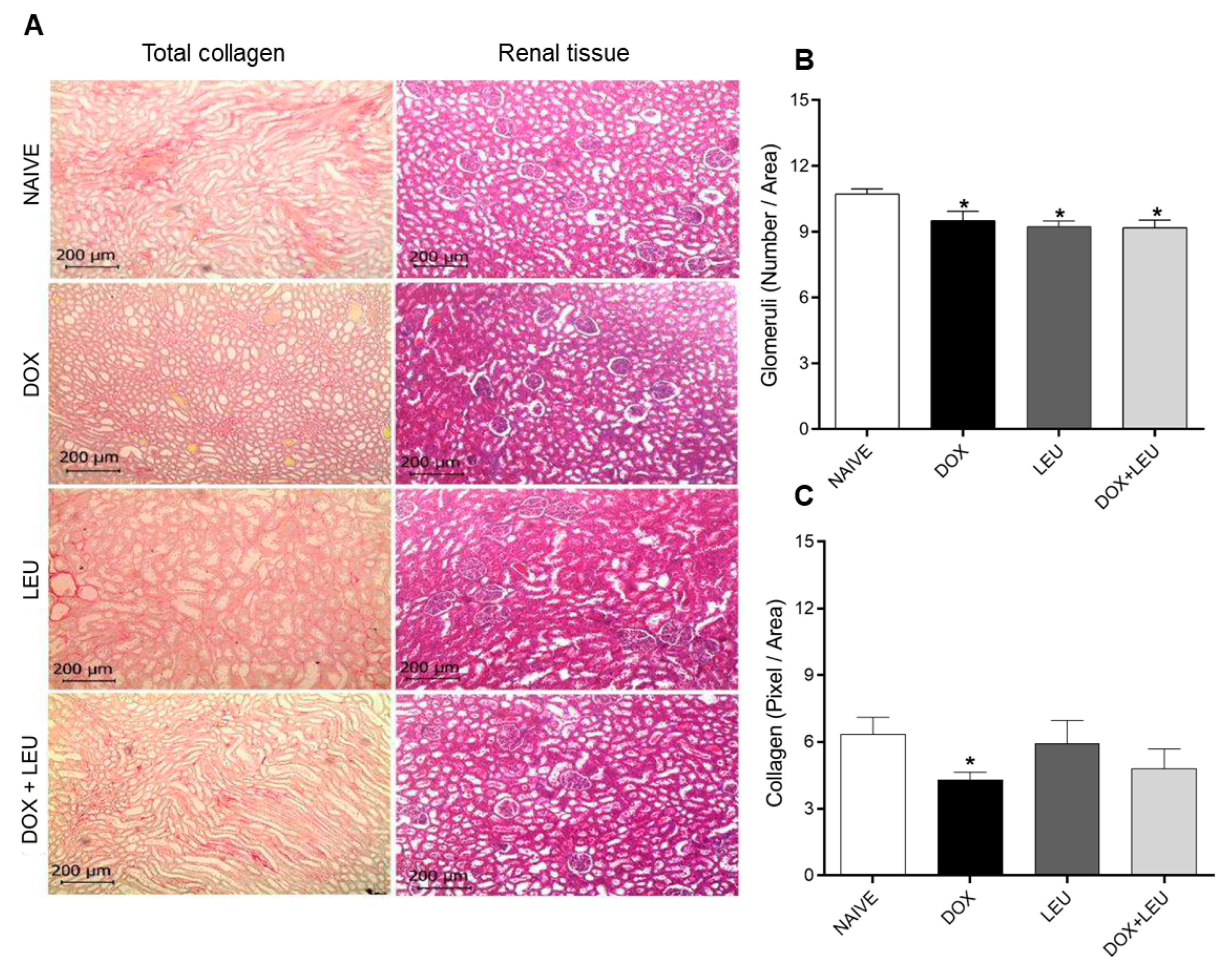
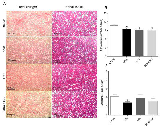
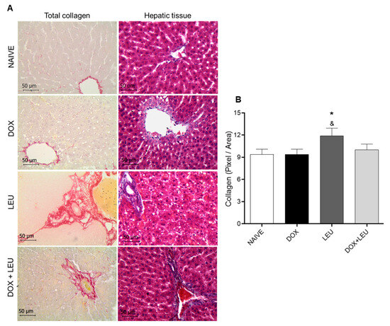
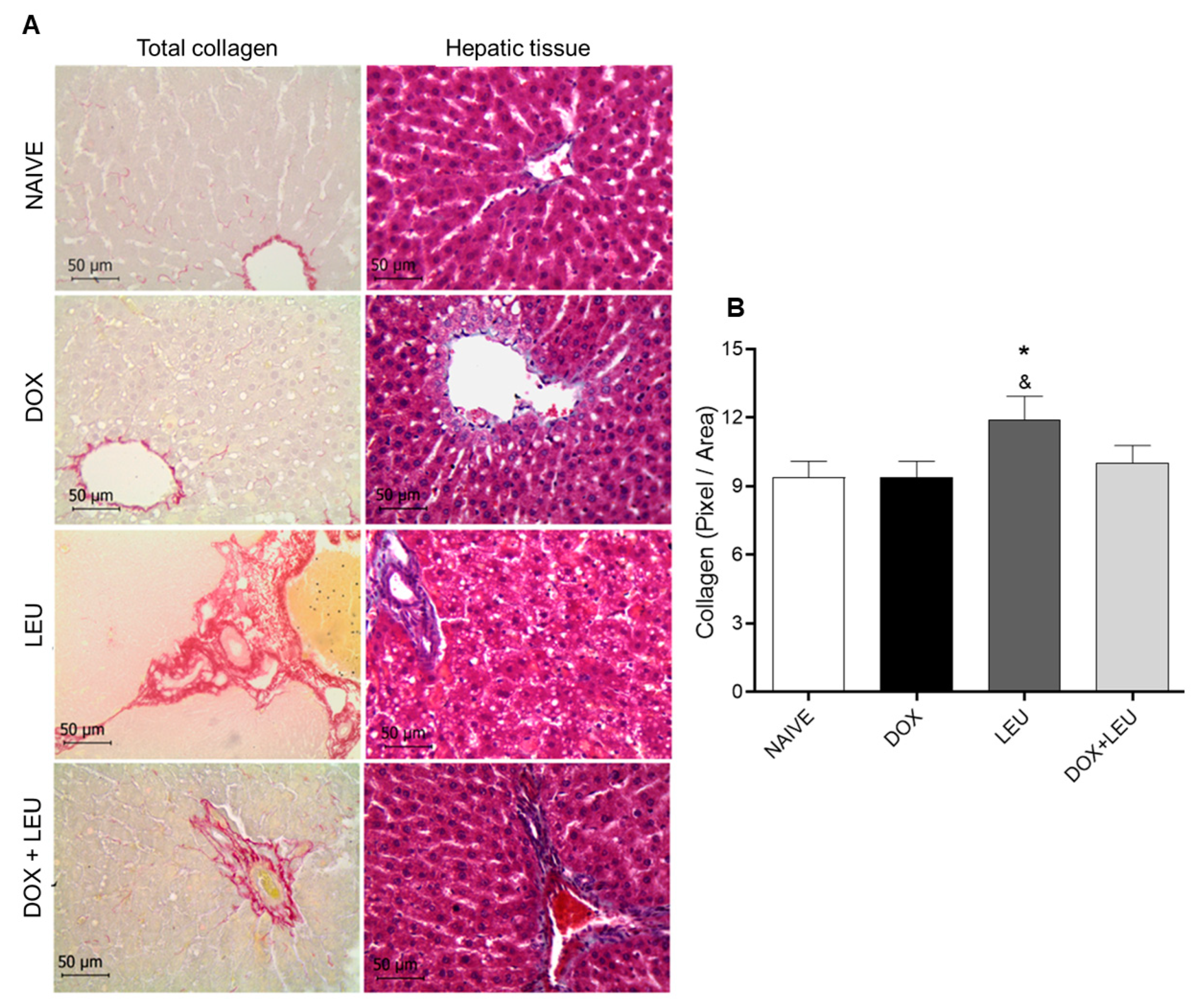
3.2. L-Leucine-Rich Diet May Alter Liver and Kidney Tissue Structure
4. Discussion
5. Conclusions
Supplementary Materials
Author Contributions
Funding
Institutional Review Board Statement
Informed Consent Statement
Data Availability Statement
Acknowledgments
Conflicts of Interest
References
- Ferlay, J.; Ervik, M.; Lam, F.; Colombet, M.; Mery, L.; Piñeros, M.; Znaor, A.; Soerjomataram, I. Global Cancer Observatory: Cancer Today; International Agency for Research on Cancer: Lyon, France, 2020; Volume 419, pp. 1–2.
 - Radaic, A.; Ganther, S.; Kamarajan, P.; Grandis, J.; Yom, S.S.; Kapila, Y.L. Paradigm shift in the pathogenesis and treatment of oral cancer and other cancers focused on the oralome and antimicrobial-based therapeutics. Periodontology 2021, 87, 76–93. [Google Scholar] [CrossRef] [PubMed]
 - Kontomanolis, E.N.; Koutras, A.; Syllaios, A.; Schizas, D.; Mastoraki, A.; Garmpis, N.; Diakosavvas, M.; Angelou, K.; Tsatsaris, G.; Pagkalos, A. Role of oncogenes and tumor-suppressor genes in carcinogenesis: A review. Anticancer. Res. 2020, 40, 6009–6015. [Google Scholar] [CrossRef]
 - Ubellacker, J.M.; Tasdogan, A.; Ramesh, V.; Shen, B.; Mitchell, E.C.; Martin-Sandoval, M.S.; Gu, Z.; McCormick, M.L.; Durham, A.B.; Spitz, D.R. Lymph protects metastasizing melanoma cells from ferroptosis. Nature 2020, 585, 113–118. [Google Scholar] [CrossRef] [PubMed]
 - Sritharan, S.; Sivalingam, N. A comprehensive review on time-tested anticancer drug doxorubicin. Life Sci. 2021, 278, 119527. [Google Scholar] [CrossRef] [PubMed]
 - Thorn, C.F.; Oshiro, C.; Marsh, S.; Hernandez-Boussard, T.; McLeod, H.; Klein, T.E.; Altman, R.B. Doxorubicin pathways: Pharmacodynamics and adverse effects. Pharmacogenetics Genom. 2011, 21, 440. [Google Scholar] [CrossRef] [PubMed]
 - Varela-López, A.; Battino, M.; Navarro-Hortal, M.D.; Giampieri, F.; Forbes-Hernández, T.Y.; Romero-Márquez, J.M.; Collado, R.; Quiles, J.L. An update on the mechanisms related to cell death and toxicity of doxorubicin and the protective role of nutrients. Food Chem. Toxicol. 2019, 134, 110834. [Google Scholar] [CrossRef] [PubMed]
 - Gerson, S.L.; Caimi, P.F.; William, B.M.; Creger, R.J. Pharmacology and Molecular Mechanisms of Antineoplastic Agents for Hematologic Malignancies, Hematology; Elsevier: Amsterdam, The Netherlands, 2018; pp. 849–912. [Google Scholar]
 - Shivakumar, P.; Rani, M.U.; Reddy, A.G.; Anjaneyulu, Y. A study on the toxic effects of doxorubicin on the histology of certain organs. Toxicol. Int. 2012, 19, 241. [Google Scholar]
 - Geng, C.; Cui, C.; Wang, C.; Lu, S.; Zhang, M.; Chen, D.; Jiang, P. Systematic evaluations of doxorubicin-induced toxicity in rats based on metabolomics. ACS Omega 2020, 6, 358–366. [Google Scholar] [CrossRef]
 - Fidale, T.M.; Antunes, H.K.; Alex dos Santos, L.; Rodrigues de Souza, F.; Deconte, S.R.; Borges Rosa de Moura, F.; Mantovani, M.M.; Alves Duarte, P.R.; Roever, L.; Resende, E.S. Increased dietary leucine reduces doxorubicin-associated cardiac dysfunction in rats. Front. Physiol. 2018, 8, 1042. [Google Scholar] [CrossRef]
 - Zhang, X.-Y.; Yang, K.-L.; Li, Y.; Zhao, Y.; Jiang, K.-W.; Wang, Q.; Liu, X.-N. Can dietary nutrients prevent cancer chemotherapy-induced cardiotoxicity? an evidence mapping of human studies and animal models. Front. Cardiovasc. Med. 2022, 9, 921609. [Google Scholar] [CrossRef]
 - Kamei, Y.; Hatazawa, Y.; Uchitomi, R.; Yoshimura, R.; Miura, S. Regulation of skeletal muscle function by amino acids. Nutrients 2020, 12, 261. [Google Scholar] [CrossRef]
 - Tedesco, L.; Rossi, F.; Ragni, M.; Ruocco, C.; Brunetti, D.; Carruba, M.O.; Torrente, Y.; Valerio, A.; Nisoli, E. A special amino-acid formula tailored to boosting cell respiration prevents mitochondrial dysfunction and oxidative stress caused by doxorubicin in mouse cardiomyocytes. Nutrients 2020, 12, 282. [Google Scholar] [CrossRef]
 - Cruz, B.; Oliveira, A.; Viana, L.R.; Lopes-Aguiar, L.; Canevarolo, R.; Colombera, M.C.; Valentim, R.R.; Garcia-Fóssa, F.; de Sousa, L.M.; Castelucci, B.G. Leucine-rich diet modulates the metabolomic and proteomic profile of skeletal muscle during cancer cachexia. Cancers 2020, 12, 1880. [Google Scholar] [CrossRef]
 - Zhang, F.; Zhao, S.; Yan, W.; Xia, Y.; Chen, X.; Wang, W.; Zhang, J.; Gao, C.; Peng, C.; Yan, F. Branched chain amino acids cause liver injury in obese/diabetic mice by promoting adipocyte lipolysis and inhibiting hepatic autophagy. EBioMedicine 2016, 13, 157–167. [Google Scholar] [CrossRef] [PubMed]
 - Guo, F.; Chen, R.; Kong, L.; Wei, P.; Liu, Z.; Wang, X.; Hao, H.; Lu, Y.; Hu, W. Effects of serum branched-chain amino acids on nonalcoholic fatty liver disease and subsequent cardiovascular disease. Hepatol. Int. 2022, 16, 1424–1434. [Google Scholar] [CrossRef] [PubMed]
 - Lake, A.D.; Novak, P.; Shipkova, P.; Aranibar, N.; Robertson, D.G.; Reily, M.D.; Lehman-McKeeman, L.D.; Vaillancourt, R.R.; Cherrington, N. Branched chain amino acid metabolism profiles in progressive human nonalcoholic fatty liver disease. Amino Acids 2015, 47, 603–615. [Google Scholar] [CrossRef] [PubMed]
 - Pillai, S.M.; Herzog, B.; Seebeck, P.; Pellegrini, G.; Roth, E.; Verrey, F. Differential impact of dietary branched chain and aromatic amino acids on chronic kidney disease progression in rats. Front. Physiol. 2019, 10, 1460. [Google Scholar] [CrossRef]
 - Zhenyukh, O.; González-Amor, M.; Rodrigues-Diez, R.R.; Esteban, V.; Ruiz-Ortega, M.; Salaices, M.; Mas, S.; Briones, A.M.; Egido, J. Branched-chain amino acids promote endothelial dysfunction through increased reactive oxygen species generation and inflammation. J. Cell. Mol. Med. 2018, 22, 4948–4962. [Google Scholar] [CrossRef]
 - Cruz, B.; Gomes-Marcondes, M.C. Leucine-rich diet supplementation modulates foetal muscle protein metabolism impaired by Walker-256 tumour. Reprod. Biol. Endocrinol. 2014, 12, 2. [Google Scholar] [CrossRef]
 - Campos, E.C.; O’Connell, J.L.; Malvestio, L.M.; Romano, M.M.D.; Ramos, S.G.; Celes, M.R.N.; Prado, C.M.; Simões, M.V.; Rossi, M.A. Calpain-mediated dystrophin disruption may be a potential structural culprit behind chronic doxorubicin-induced cardiomyopathy. Eur. J. Pharmacol. 2011, 670, 541–553. [Google Scholar] [CrossRef]
 - Franco, R.R.; de Almeida Takata, L.; Chagas, K.; Justino, A.B.; Saraiva, A.L.; Goulart, L.R.; de Melo Rodrigues Ávila, V.; Otoni, W.C.; Espindola, F.S.; da Silva, C.R. A 20-hydroxyecdysone-enriched fraction from Pfaffia glomerata (Spreng.) pedersen roots alleviates stress, anxiety, and depression in mice. J. Ethnopharmacol. 2021, 267, 113599. [Google Scholar] [CrossRef]
 - Diniz Vilela, D.; Gomes Peixoto, L.; Teixeira, R.R.; Belele Baptista, N.; Carvalho Caixeta, D.; Vieira de Souza, A.; Machado, H.L.; Pereira, M.N.; Sabino-Silva, R.; Espindola, F.S. The role of metformin in controlling oxidative stress in muscle of diabetic rats. Oxidative Med. Cell. Longev. 2016, 2016, 9. [Google Scholar] [CrossRef] [PubMed]
 - Teixeira, R.R.; de Souza, A.V.; Peixoto, L.G.; Machado, H.L.; Caixeta, D.C.; Vilela, D.D.; Baptista, N.B.; Franci, C.R.; Espindola, F.S. Royal jelly decreases corticosterone levels and improves the brain antioxidant system in restraint and cold stressed rats. Neurosci. Lett. 2017, 655, 179–185. [Google Scholar] [CrossRef] [PubMed]
 - Cariaco, Y.; Almeida, M.P.O.; Araujo, E.C.B.; Briceño, M.P.P.; Durán-Rodriguez, A.T.; Franco, R.R.; Espindola, F.S.; Silva, N.M. Inhibition of Heme Oxygenase-1 by Zinc Protoporphyrin IX Improves Adverse Pregnancy Outcomes in Malaria During Early Gestation. Front. Immunol. 2022, 13, 879158. [Google Scholar] [CrossRef]
 - Franco, R.R.; Zabisky, L.F.R.; de Lima Júnior, J.P.; Alves, V.H.M.; Justino, A.B.; Saraiva, A.L.; Goulart, L.R.; Espindola, F.S. Antidiabetic effects of Syzygium cumini leaves: A non-hemolytic plant with potential against process of oxidation, glycation, inflammation and digestive enzymes catalysis. J. Ethnopharmacol. 2020, 261, 113132. [Google Scholar] [CrossRef]
 - Hormoznejad, R.; Zare Javid, A.; Mansoori, A. Effect of BCAA supplementation on central fatigue, energy metabolism substrate and muscle damage to the exercise: A systematic review with meta-analysis. Sport Sci. Health 2019, 15, 265–279. [Google Scholar] [CrossRef]
 - Malafarina, V.; Uriz-Otano, F.; Iniesta, R.; Gil-Guerrero, L. Effectiveness of nutritional supplementation on muscle mass in treatment of sarcopenia in old age: A systematic review. J. Am. Med. Dir. Assoc. 2013, 14, 10–17. [Google Scholar] [CrossRef] [PubMed]
 - Zeng, Z.; Mishuk, A.U.; Qian, J. Safety of dietary supplements use among patients with cancer: A systematic review. Crit. Rev. Oncol. Hematol. 2020, 152, 103013. [Google Scholar] [CrossRef]
 - Ronis, M.J.; Pedersen, K.B.; Watt, J. Adverse effects of nutraceuticals and dietary supplements. Annu. Rev. Pharmacol. Toxicol. 2018, 58, 583–601. [Google Scholar] [CrossRef]
 - Bordon, Y. Leucine restriction limits pro-cancer B cell responses. Nat. Rev. Immunol. 2022, 22, 408–409. [Google Scholar] [CrossRef]
 - Peng, H.; Wang, Y.; Luo, W. Multifaceted role of branched-chain amino acid metabolism in cancer. Oncogene 2020, 39, 6747–6756. [Google Scholar] [CrossRef]
 - Viana, L.R.; Tobar, N.; Busanello, E.N.B.; Marques, A.C.; de Oliveira, A.G.; Lima, T.I.; Machado, G.; Castelucci, B.G.; Ramos, C.D.; Brunetto, S.Q. Leucine-rich diet induces a shift in tumour metabolism from glycolytic towards oxidative phosphorylation, reducing glucose consumption and metastasis in Walker-256 tumour-bearing rats. Sci. Rep. 2019, 9, 15529. [Google Scholar] [CrossRef]
 - Lieu, E.L.; Nguyen, T.; Rhyne, S.; Kim, J. Amino acids in cancer. Exp. Mol. Med. 2020, 52, 15–30. [Google Scholar] [CrossRef]
 - Vettore, L.; Westbrook, R.L.; Tennant, D.A. New aspects of amino acid metabolism in cancer. Br. J. Cancer 2020, 122, 150–156. [Google Scholar] [CrossRef]
 - Sivanand, S.; Vander Heiden, M.G. Emerging roles for branched-chain amino acid metabolism in cancer. Cancer Cell 2020, 37, 147–156. [Google Scholar] [CrossRef] [PubMed]
 - Bhagat, J.; Ingole, B.; Singh, N. Glutathione S-transferase, catalase, superoxide dismutase, glutathione peroxidase, and lipid peroxidation as biomarkers of oxidative stress in snails: A review. Invertebr. Surviv. J. 2016, 13, 336–349. [Google Scholar]
 - Khan, J.Y.; Black, S.M. Developmental changes in murine brain antioxidant enzymes. Pediatr. Res. 2003, 54, 77–82. [Google Scholar] [CrossRef] [PubMed]
 - Son, S.M.; Park, S.J.; Stamatakou, E.; Vicinanza, M.; Menzies, F.M.; Rubinsztein, D.C. Leucine regulates autophagy via acetylation of the mTORC1 component raptor. Nat. Commun. 2020, 11, 3148. [Google Scholar] [CrossRef]
 - Damiano, S.; Sozio, C.; La Rosa, G.; Guida, B.; Faraonio, R.; Santillo, M.; Mondola, P. Metabolism regulation and redox state: Insight into the role of superoxide dismutase 1. Int. J. Mol. Sci. 2020, 21, 6606. [Google Scholar] [CrossRef]
 - Prasanna, P.L.; Renu, K.; Gopalakrishnan, A.V. New molecular and biochemical insights of doxorubicin-induced hepatotoxicity. Life Sci. 2020, 250, 117599. [Google Scholar] [CrossRef] [PubMed]
 - Asensio-López, M.C.; Soler, F.; Sánchez-Más, J.; Pascual-Figal, D.; Fernández-Belda, F.; Lax, A. Early oxidative damage induced by doxorubicin: Source of production, protection by GKT137831 and effect on Ca2+ transporters in HL-1 cardiomyocytes. Arch. Biochem. Biophys. 2016, 594, 26–36. [Google Scholar] [CrossRef] [PubMed]
 - Galasso, M.; Gambino, S.; Romanelli, M.G.; Donadelli, M.; Scupoli, M.T. Browsing the oldest antioxidant enzyme: Catalase and its multiple regulation in cancer. Free. Radic. Biol. Med. 2021, 172, 264–272. [Google Scholar] [CrossRef] [PubMed]
 - Aoyama, K. Glutathione in the Brain. Int. J. Mol. Sci. 2021, 22, 5010. [Google Scholar] [CrossRef] [PubMed]
 - Yang, H.-C.; Wu, Y.-H.; Yen, W.-C.; Liu, H.-Y.; Hwang, T.-L.; Stern, A.; Chiu, D.T.-Y. The redox role of G6PD in cell growth, cell death, and cancer. Cells 2019, 8, 1055. [Google Scholar] [CrossRef]
 - Neinast, M.; Murashige, D.; Arany, Z. Branched chain amino acids. Annu. Rev. Physiol. 2019, 81, 139–164. [Google Scholar] [CrossRef]
 - Chen, L.; Zhang, Z.; Hoshino, A.; Zheng, H.D.; Morley, M.; Arany, Z.; Rabinowitz, J.D. NADPH production by the oxidative pentose-phosphate pathway supports folate metabolism. Nat. Metab. 2019, 1, 404–415. [Google Scholar] [CrossRef]
 - Khan, Z.; Ali, S.A. Oxidative stress-related biomarkers in Parkinson’s disease: A systematic review and meta-analysis. Iran. J. Neurol. 2018, 17, 137. [Google Scholar] [CrossRef]
 - Kösem, A.; Yücel, Ç.; Titiz, A.P.; Sezer, S.; Neşelioğlu, S.; Erel, Ö.; Turhan, T. Evaluation of serum thiol-disulphide homeostasis parameters as oxidative stress markers in epilepsy patients. Acta Neurol. Belg. 2021, 121, 1555–1559. [Google Scholar] [CrossRef]
 - Kükürt, A.; Gelen, V.; Başer, Ö.F.; Deveci, H.A.; Karapehlivan, M. Thiols: Role in oxidative stress-related disorders. In Accenting Lipid Peroxidation; IntechOpen: London, UK, 2021; pp. 27–47. [Google Scholar]
 - Ibtissem, B.A.; Hajer, B.S.; Ahmed, H.; Awatef, E.; Choumous, K.; Ons, B.; Mounir, Z.K.; Najiba, Z. Oxidative stress and histopathological changes induced by methylthiophanate, a systemic fungicide, in blood, liver and kidney of adult rats. Afr. Health Sci. 2017, 17, 154–163. [Google Scholar] [CrossRef]
 - Selvarajah, B.; Azuelos, I.; Platé, M.; Guillotin, D.; Forty, E.J.; Contento, G.; Woodcock, H.V.; Redding, M.; Taylor, A.; Brunori, G. mTORC1 amplifies the ATF4-dependent de novo serine-glycine pathway to supply glycine during TGF-β1–induced collagen biosynthesis. Sci. Signal. 2019, 12, eaav3048. [Google Scholar] [CrossRef]
 - Arif, I.; Hooper, C.; Greco, F.; Williams, A.; Boateng, S. Increasing doxorubicin activity against breast cancer cells using PPAR γ-ligands and by exploiting circadian rhythms. Br. J. Pharmacol. 2013, 169, 1178–1188. [Google Scholar] [CrossRef] [PubMed]
 - Günzler, V.; Hanauske-Abel, H.; Myllylä, R.; Kaska, D.; Hanauske, A.; Kivirikko, K. Syncatalytic inactivation of prolyl 4-hydroxylase by anthracyclines. Biochem. J. 1988, 251, 365–372. [Google Scholar] [CrossRef] [PubMed]
 - Sasaki, T.; Holeyfield, K.; Uitto, J. Doxorubicin-induced inhibition of prolyl hydroxylation during collagen biosynthesis in human skin fibroblast cultures. Relevance to imparied wound healing. J. Clin. Investig. 1987, 80, 1735–1741. [Google Scholar] [CrossRef] [PubMed]
 - Afsar, T.; Razak, S.; Almajwal, A.; Al-Disi, D. Doxorubicin-induced alterations in kidney functioning, oxidative stress, DNA damage, and renal tissue morphology; Improvement by Acacia hydaspica tannin-rich ethyl acetate fraction. Saudi J. Biol. Sci. 2020, 27, 2251–2260. [Google Scholar] [CrossRef]
 






Disclaimer/Publisher’s Note: The statements, opinions and data contained in all publications are solely those of the individual author(s) and contributor(s) and not of MDPI and/or the editor(s). MDPI and/or the editor(s) disclaim responsibility for any injury to people or property resulting from any ideas, methods, instructions or products referred to in the content.  | 
© 2023 by the authors. Licensee MDPI, Basel, Switzerland. This article is an open access article distributed under the terms and conditions of the Creative Commons Attribution (CC BY) license (https://creativecommons.org/licenses/by/4.0/).
Share and Cite
Duarte, P.R.A.; Franco, R.R.; Vilela, D.D.; Caixeta, D.C.; de Souza, A.V.; Deconte, S.R.; Mendes-Rodrigues, C.; Fidale, T.M.; Espindola, F.S.; Teixeira, R.R.; et al. Effects of an L-Leucine-Rich Diet on Liver and Kidneys in a Doxorubicin Toxicity Model. Life 2023, 13, 1823. https://doi.org/10.3390/life13091823
Duarte PRA, Franco RR, Vilela DD, Caixeta DC, de Souza AV, Deconte SR, Mendes-Rodrigues C, Fidale TM, Espindola FS, Teixeira RR, et al. Effects of an L-Leucine-Rich Diet on Liver and Kidneys in a Doxorubicin Toxicity Model. Life. 2023; 13(9):1823. https://doi.org/10.3390/life13091823
Chicago/Turabian StyleDuarte, Poliana Rodrigues Alves, Rodrigo Rodrigues Franco, Danielle Diniz Vilela, Douglas Carvalho Caixeta, Adriele Vieira de Souza, Simone Ramos Deconte, Clesnan Mendes-Rodrigues, Thiago Montes Fidale, Foued Salmen Espindola, Renata Roland Teixeira, and et al. 2023. "Effects of an L-Leucine-Rich Diet on Liver and Kidneys in a Doxorubicin Toxicity Model" Life 13, no. 9: 1823. https://doi.org/10.3390/life13091823
APA StyleDuarte, P. R. A., Franco, R. R., Vilela, D. D., Caixeta, D. C., de Souza, A. V., Deconte, S. R., Mendes-Rodrigues, C., Fidale, T. M., Espindola, F. S., Teixeira, R. R., & Resende, E. S. (2023). Effects of an L-Leucine-Rich Diet on Liver and Kidneys in a Doxorubicin Toxicity Model. Life, 13(9), 1823. https://doi.org/10.3390/life13091823
        
