Novel Hybridized Computational Paradigms Integrated with Five Stand-Alone Algorithms for Clinical Prediction of HCV Status among Patients: A Data-Driven Technique
Abstract
1. Introduction
2. Materials and Methods
2.1. Proposed Model Development Method
2.2. Gaussian Process Regression (GPR)
2.3. Support Vector Regression (SVR)
2.4. Interactive Linear Regression (ILR)
2.5. Generalized Regression Neural Network (GRNN)
2.6. Adaptive Neuro-Fuzzy Inference System (ANFIS)
2.7. Hybrid Techniques Development
2.8. Performance Objectives
2.9. Description of the Data Set and Model Validation
3. Results
4. Discussion
5. Conclusions
- 1.
- Based on the correlation matrix result, AST showed a strong correlation against the target hepatitis status, with a PCC-value equal to 0.65, while BIL and GGT showed relatively intermediate relation with the target, with both PCC values equal to 0.47. Moreover, all the other input variables depicts a weak correlation with PCC-value <0.4.
- 2.
- The quantitative performance of the models demonstrates that the non-linear techniques GRNN and GPR, as well as the linear ILR approach, were able to predict the hepatitis C status of the patients with a minimum DC-value of 0.8 in both the calibration and validation stages, while the ANFIS and SVR methods showed a DC-value lower than 0.8. This indicates that the GRNN, GPR, and ILR models have fulfilled the minimum requirements of HCV prediction from the patients’ blood serum, while ANFIS and SVR failed.
- 3.
- The performance skills of the single paradigms shown in the first scenario in terms of quantitative and visualization formats depict that the models failed at a certain stage in modelling the patients’ HCV statuses. Therefore, this led to the development of novel hybridized paradigms by coupling the linear and non-linear behavior of the single paradigms in order to capture and simulate the complex behavior of the hepatitis C status.
- 4.
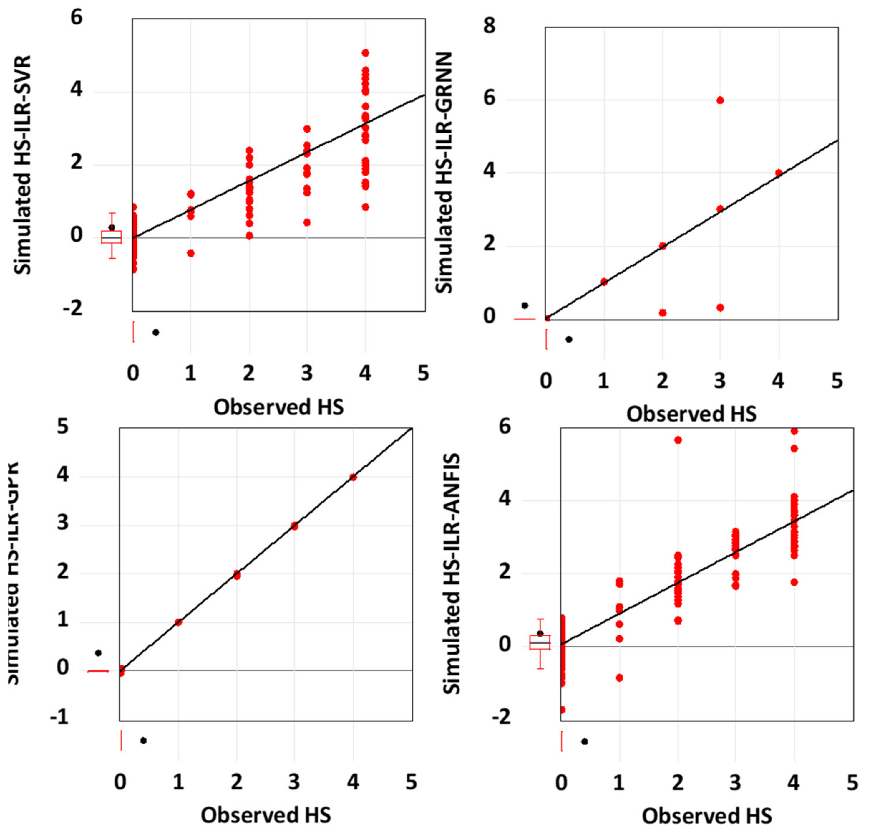
- Based on the quantitative prediction skills presented by the novel hybridized paradigms, it can be seen that the proposed techniques were able to enhance the performance efficiency of the single paradigms up to 44% and 45% in the calibration and validation phases, respectively.
- 5.
- The findings of the study also recommend and open a new door for the applications of recent and robust techniques, such as non-linear ensemble paradigms and metaheuristic approaches, for the prediction of hepatitis C status.
Author Contributions
Funding
Institutional Review Board Statement
Data Availability Statement
Acknowledgments
Conflicts of Interest
References
- Shepard, C.W.; Finelli, L.; Alter, M.J. Global epidemiology of hepatitis C virus infection. Lancet Infect. Dis. 2005, 5, 558–567. [Google Scholar] [CrossRef] [PubMed]
- Alter, M.J. Epidemiology of hepatitis C virus infection. World J. Gastroenterol. 2007, 13, 2436. [Google Scholar] [CrossRef] [PubMed]
- Fang, R.; Pouyanfar, S.; Yang, Y.; Chen, S.-C.; Iyengar, S.S. Computational Health Informatics in the Big Data Age. ACM Comput. Surv. 2016, 49, 1–36. [Google Scholar] [CrossRef]
- Ravi, D.; Wong, C.; Deligianni, F.; Berthelot, M.; Andreu-Perez, J.; Lo, B.; Yang, G.-Z. Deep Learning for Health Informatics. IEEE J. Biomed. Health Inform. 2017, 21, 4–21. [Google Scholar] [CrossRef] [PubMed]
- Haga, H.; Sato, H.; Koseki, A.; Saito, T.; Okumoto, K.; Hoshikawa, K.; Katsumi, T.; Mizuno, K.; Nishina, T.; Ueno, Y. A machine learning-based treatment prediction model using whole genome variants of hepatitis C virus. PLoS ONE 2020, 15, 1–13. [Google Scholar] [CrossRef]
- Myers, R.P.; Benhamou, Y.; Imbert-Bismut, F.; Thibault, V.; Bochet, M.; Charlotte, F.; Ratziu, V.; Bricaire, F.; Katlama, C.; Poynard, T. Serum biochemical markers accurately predict liver fibrosis in hiv and hepatitis c virus co-infected patients. Aids 2003, 17, 721–725. [Google Scholar] [CrossRef]
- Safdari, R.; Deghatipour, A.; Gholamzadeh, M.; Maghooli, K. Applying data mining techniques to classify patients with suspected hepatitis C virus infection. Intell. Med. 2022, 2, 193–198. [Google Scholar] [CrossRef]
- Larrañaga, P.; Calvo, B.; Santana, R.; Bielza, C.; Galdiano, J.; Inza, I.; Lozano, J.A.; Armañanzas, R.; Santafé, G.; Pérez, A.; et al. Machine learning in bioinformatics. Brief. Bioinform. 2006, 7, 86–112. [Google Scholar] [CrossRef]
- Olson, R.S.; La Cava, W.; Mustahsan, Z.; Varik, A.; Moore, J.H. Data-driven advice for applying machine learning to bioinformatics problems. Pac. Symp. Biocomput. 2018, 192–203. [Google Scholar]
- Min, S.; Lee, B.; Yoon, S. Deep learning in bioinformatics. Brief. Bioinform. 2017, 18, 851–869. [Google Scholar] [CrossRef]
- Lai, K.; Twine, N.; O’Brien, A.; Guo, Y.; Bauer, D. Artificial Intelligence and Machine Learning in Bioinformatics. In Encyclopedia of Bioinformatics and Computational Biology; Elsevier: Amsterdam, The Netherlands, 2019; pp. 272–286. [Google Scholar]
- Setiawan, F.; Lin, C.W. A Deep Learning Framework for Automatic Sleep Apnea Classification Based on Empirical Mode Decomposition Derived from Single-Lead Electrocardiogram. Life 2022, 12, 1509. [Google Scholar] [CrossRef]
- Member, L. Continuous-Wave Doppler Radar Sensor and Convolutional Neural Network to Detect Cough. IEEE Sens. J. 2021, 21, 2921–2928. [Google Scholar]
- Ford, H.; Systems, H.; Re-, C.W. Early goal-directed therapy in the treatment of severe sepsis and septic shock. N. Eng. J. Med. 2001, 345, 1368–1377. [Google Scholar]
- Zhang, P.G. Time series forecasting using a hybrid ARIMA and neural network model. Neurocomputing 2003, 50, 159–175. [Google Scholar] [CrossRef]
- Abba, S.I.; Benaafi, M.; Usman, A.G.; Aljundi, I.H. Sandstone groundwater salinization modelling using physicochemical variables in Southern Saudi Arabia: Application of novel data intelligent algorithms. Ain Shams Eng. J. 2022, 101894. [Google Scholar] [CrossRef]
- Benaafi, M.; Tawabini, B.; Abba, S.I.; Humphrey, J.D.; Al-Areeq, A.M.; Alhulaibi, S.A.; Usman, A.G.; Aljundi, I.H. Integrated Hydrogeological, Hydrochemical, and Isotopic Assessment of Seawater Intrusion into Coastal Aquifers in Al-Qatif Area, Eastern Saudi Arabia. Molecules 2022, 27, 6841. [Google Scholar] [CrossRef]
- Abba, S.I.; Benaafi, M.; Usman, A.G.; Aljundi, I.H. Inverse groundwater salinization modeling in a sandstone’s aquifer using stand-alone models with an improved non-linear ensemble machine learning technique. J. King Saud Univ. Comput. Inf. Sci. 2022, 34, 8162–8175. [Google Scholar] [CrossRef]
- Abba, S.I.; Benaafi, M.; Usman, A.G.; Ozsahin, D.U.; Tawabini, B.; Aljundi, I.H. Mapping of groundwater salinization and modelling using meta-heuristic algorithms for the coastal aquifer of eastern Saudi Arabia. Sci. Total Environ. 2023, 858, 159697. [Google Scholar] [CrossRef]
- Usman, A.G.; Işik, S.; Abba, S.I. Hybrid data-intelligence algorithms for the simulation of thymoquinone in HPLC method development. J. Iran. Chem. Soc. 2021, 18, 1537–1549. [Google Scholar] [CrossRef]
- Veenaas, C.; Linusson, A.; Haglund, P. Retention-time prediction in comprehensive two-dimensional gas chromatography to aid identification of unknown contaminants. Anal. Bioanal. Chem. 2018, 410, 7931–7941. [Google Scholar] [CrossRef]
- Tewari, S.; Dwivedi, U.D. Ensemble-based big data analytics of lithofacies for automatic development of petroleum reservoirs. Comput. Ind. Eng. 2018, 128, 937–947. [Google Scholar] [CrossRef]
- Chuma, G.B.; Bora, F.S.; Ndeko, A.B.; Mugumaarhahama, Y.; Cirezi, N.C.; Mondo, J.M.; Bagula, E.M.; Karume, K.; Mushagalusa, G.N.; Schimtz, S. Estimation of soil erosion using RUSLE modeling and geospatial tools in a tea production watershed (Chisheke in Walungu), eastern Democratic Republic of Congo. Model. Earth Syst. Environ. 2021, 8, 1273–1289. [Google Scholar] [CrossRef]
- ArunKumar, K.E.; Kalaga, D.V.; Kumar, C.M.S.; Chilkoor, G.; Kawaji, M.; Brenza, T.M. Forecasting the dynamics of cumulative COVID-19 cases (confirmed, recovered and deaths) for top-16 countries using statistical machine learning models: Auto-Regressive Integrated Moving Average (ARIMA) and Seasonal Auto-Regressive Integrated Moving Averag. Appl. Soft Comput. 2021, 103, 107161. [Google Scholar] [CrossRef] [PubMed]
- Bagherzadeh, F.; Mehrani, M.; Basirifard, M.; Roostaei, J. Comparative study on total nitrogen prediction in wastewater treatment plant and effect of various feature selection methods on machine learning algorithms performance. J. Water Process Eng. 2021, 41, 102033. [Google Scholar] [CrossRef]
- Zeng, J.; Chai, Q.; Peng, X.; Li, S. Geographical Origin Identification for Tetrastigma Hemsleyanum Based on High Performance Liquid Chromatographic Fingerprint. In Proceedings of the 2019 Chinese Automation Congress (CAC), Hangzhou, China, 22–24 November 2019; pp. 1816–1820. [Google Scholar]
- Agrawal, P.; Ganesh, T.; Mohamed, A.W. A novel binary gaining–sharing knowledge-based optimization algorithm for feature selection. Neural Comput. Appl. 2021, 33, 5989–6008. [Google Scholar] [CrossRef]
- Yaseen, Z.M.; Deo, R.C.; Hilal, A.; Abd, A.M.; Bueno, L.C.; Salcedo-Sanz, S.; Nehdi, M.L. Predicting compressive strength of lightweight foamed concrete using extreme learning machine model. Adv. Eng. Softw. 2018, 115, 112–125. [Google Scholar] [CrossRef]
- Mohammadhassani, M.; Nezamabadi-Pour, H.; Jumaat, M.Z.; Jameel, M.; Arumugam, A.M.S. Application of artificial neural networks (ANNs) and linear regressions (LR) to predict the deflection of concrete deep beams. Comput. Concr. 2013, 11, 237–252. [Google Scholar] [CrossRef]
- Abba, S.I.; Hadi, S.J.; Sammen, S.S.; Salih, S.Q.; Abdulkadir, R.; Pham, Q.B.; Yaseen, Z.M. Evolutionary computational intelligence algorithm coupled with self-tuning predictive model for water quality index determination. J. Hydrol. 2020, 587, 124974. [Google Scholar] [CrossRef]
- Usman, A.G.; Ahmad, M.H.; Danraka, N.; Abba, S.I. The effect of ethanolic leaves extract of Hymenodictyon floribundun on inflammatory biomarkers: A data-driven approach. Bull. Natl. Res. Cent. 2021, 45, 1–12. [Google Scholar] [CrossRef]
- Mahmoud, K.; Bebiş, H.; Usman, A.G.; Salihu, A.N.; Gaya, M.S.; Dalhat, U.F.; Abdulkadir, R.A.; Jibril, M.B.; Abba, S.I. Prediction of the effects of environmental factors towards COVID-19 outbreak using AI-based models. IAES Int. J. Artif. Intell. 2021, 10, 35–42. [Google Scholar] [CrossRef]
- Uzun Ozsahin, D.; Balcioglu, O.; Usman, A.G.; Ikechukwu Emegano, D.; Uzun, B.; Abba, S.I.; Engin, C. Clinical Modelling of RVHF Using Pre-Operative Variables: A Direct and Inverse Feature Extraction Technique. Diagnostics 2022, 12, 3061. [Google Scholar] [CrossRef]
- Tabari, H.; Kisi, O.; Ezani, A.; Talaee, H.P. SVM, ANFIS, regression and climate based models for reference evapotranspiration modeling using limited climatic data in a semi-arid highland environment. J. Hydrol. 2012, 444–445, 78–89. [Google Scholar] [CrossRef]
- Usman, A.G.; Işik, S.; Abba, S.I.; Meriçli, F. Artificial intelligence–based models for the qualitative and quantitative prediction of a phytochemical compound using HPLC method. Turk. J. Chem. 2020, 44, 1339–1351. [Google Scholar] [CrossRef]
- Ruggieri, F.; D’Archivio, A.A.; Carlucci, G.; Mazzeo, P. Application of artificial neural networks for prediction of retention factors of triazine herbicides in reversed-phase liquid chromatography. J. Chromatogr. A 2005, 1076, 163–169. [Google Scholar] [CrossRef]
- Stangierski, J.; Weiss, D.; Kaczmarek, A. Multiple regression models and Artificial Neural Network (ANN) as prediction tools of changes in overall quality during the storage of spreadable processed Gouda cheese. Eur. Food Res. Technol. 2019, 245, 2539–2547. [Google Scholar] [CrossRef]
- Wiangkham, A.; Ariyarit, A.; Aengchuan, P. Prediction of the influence of loading rate and sugarcane leaves concentration on fracture toughness of sugarcane leaves and epoxy composite using artificial intelligence. Theor. Appl. Fract. Mech. 2022, 117, 103188. [Google Scholar] [CrossRef]
- Ardejanii, F.D.; Rooki, R.; Shokri, B.J.; Kish, T.E.; Aryafar, A.; Tourani, P. Prediction of Rare Earth Elements in Neutral Alkaline Mine Drainage from Razi Coal Mine, Golestan Province, Northeast Iran, Using General Regression Neural Network. J. Environ. Eng. 2013, 139, 896–907. [Google Scholar] [CrossRef]
- Jang, J.R. ANFIS: Adap tive-Ne twork-Based Fuzzy Inference System. IEEE Trans. Syst. Man Cybern. 1993, 23, 665–685. [Google Scholar] [CrossRef]
- Nourani, V.; Elkiran, G.; Abba, S.I. Wastewater treatment plant performance analysis using artificial intelligence-An ensemble approach. Water Sci. Technol. 2018, 78, 2064–2076. [Google Scholar] [CrossRef]
- Elkiran, G.; Nourani, V.; Abba, S.I.; Abdullahi, J. Artificial intelligence-based approaches for multi-station modelling of dissolve oxygen in river. Glob. J. Environ. Sci. Manag. 2018, 4, 439–450. [Google Scholar]
- Ahmed, A.A.M.; Mustakim, S.; Shah, A. Application of adaptive neuro-fuzzy inference system (ANFIS) to estimate the biochemical oxygen demand (BOD) of Surma River. J. King Saud Univ.-Eng. Sci. 2017, 29, 237–243. [Google Scholar] [CrossRef]
- Pham, Q.B.; Abba, S.I.; Usman, A.G.; Linh, N.T.T.; Gupta, V.; Malik, A.; Costache, R.; Vo, N.D.; Tri, D.Q. Potential of Hybrid Data-Intelligence Algorithms for Multi-Station Modelling of Rainfall. Water Resour. Manag. 2019, 33, 5067–5087. [Google Scholar] [CrossRef]
- Yimen, N.; Tchotang, T.; Kanmogne, A.; Idriss, I.A.; Musa, B.; Aliyu, A.; Okonkwo, E.C.; Abba, S.I.; Tata, D.; Meva’a, L.; et al. Optimal sizing and techno-economic analysis of hybrid renewable energy systems—A case study of a photovoltaic/wind/battery/diesel system in Fanisau, Northern Nigeria. Processes 2020, 8, 1381. [Google Scholar] [CrossRef]
- Wu, J.; Long, J.; Liu, M. Neurocomputing Evolving RBF neural networks for rainfall prediction using hybrid particle swarm optimization and genetic algorithm. Neurocomputing 2015, 148, 136–142. [Google Scholar] [CrossRef]
- Melesse, A.M.; Khosravi, K.; Tiefenbacher, J.; Heddam, S.; Kim, S.; Mosavi, A.; Pham, B. River water salinity prediction using hybrid machine learning models. Water 2020, 12, 2951. [Google Scholar] [CrossRef]
- Maroufpoor, S.; Maroufpoor, E.; Bozorg-Haddad, O.; Shiri, J.; Yaseen, Z.M. Soil moisture simulation using hybrid artificial intelligent model: Hybridization of adaptive neuro fuzzy inference system with grey wolf optimizer algorithm. J. Hydrol. 2019, 575, 544–556. [Google Scholar] [CrossRef]
- Alamrouni, A.; Aslanova, F.; Mati, S.; Maccido, H.S.; Jibril, A.A. Multi-Regional Modeling of Cumulative COVID-19 Cases Integrated with Environmental Forest Knowledge Estimation: A Deep Learning Ensemble Approach. Int. J. Environ. Res. Public Health 2022, 19, 738. [Google Scholar] [CrossRef]
- Miraz, M.H.; Ali, M. Blockchain Enabled Smart Contract Based Applications: Deficiencies with the Software Development Life Cycle Models. arXiv 2020, arXiv:2001.10589. [Google Scholar]
- Alabdulrazzaq, H.; Alenezi, M.N.; Rawajfih, Y.; Alghannam, B.A.; Al-Hassan, A.A.; Al-Anzi, F.S. On the accuracy of ARIMA based prediction of COVID-19 spread. Results Phys. 2021, 27, 104509. [Google Scholar] [CrossRef]
- Usman, A.G.; Işik, S.; Abba, S.I.; Meriçli, F. Chemometrics-based models hyphenated with ensemble machine learning for retention time simulation of isoquercitrin in Coriander sativum L. using high-performance liquid chromatography. J. Sep. Sci. 2021, 2020, 1–7. [Google Scholar] [CrossRef]
- Xiong, X.; Fang, X.; Ou, Y.; Jiang, Y.; Huang, Z.; Zhang, Y. Artificial Neural Networks for Classification and Identification of Data of Biological Tissue Obtained by Mass-Spectrometry Imaging. Chin. J. Anal. Chem. 2012, 40, 43–49. [Google Scholar] [CrossRef]
- Usman, A.G.; Işik, S.; Abba, S.I. A Novel Multi-model Data-Driven Ensemble Technique for the Prediction of Retention Factor in HPLC Method Development. Chromatographia 2020, 83, 933–945. [Google Scholar] [CrossRef]
- Metekia, W.A.; Usman, A.G.; Ulusoy, B.H.; Abba, S.I.; Bali, K.C. Artificial intelligence-based approaches for modeling the effects of spirulina growth mediums on total phenolic compounds. Saudi J. Biol. Sci. 2021, 29, 1111–1117. [Google Scholar] [CrossRef]
- Amos, R.I.J.; Haddad, P.R.; Szucs, R.; Dolan, J.W.; Pohl, C.A. Molecular modeling and prediction accuracy in Quantitative Structure-Retention Relationship calculations for chromatography. TrAC-Trends Anal. Chem. 2018, 105, 352–359. [Google Scholar] [CrossRef]
- Chen, H.; Poon, J.; Poon, S.K.; Cui, L.; Fan, K.; Sze, D.M. Ensemble learning for prediction of the bioactivity capacity of herbal medicines from chromatographic fingerprints. BMC Bioinform. 2015, 16, S4. [Google Scholar] [CrossRef]
- Abba, S.I.; Abdulkadir, R.A.; Sammen, S.S.; Usman, A.G.; Meshram, S.G.; Malik, A.; Shahid, S. Comparative implementation between neuro-emotional genetic algorithm and novel ensemble computing techniques for modelling dissolved oxygen concentration. Hydrol. Sci. J. 2021, 66, 1584–1596. [Google Scholar] [CrossRef]
- Ahmad, M.H.; Usman, A.G.; Abba, S.I. Comparative performance of extreme learning machine and Hammerstein–Weiner models for modelling the intestinal hyper-motility and secretory inhibitory effects of methanolic leaf extract of Combretumhypopilinum Diels (Combretaceae). Silico Pharmacol. 2021, 9, 12–31. [Google Scholar] [CrossRef] [PubMed]
- Ghali, U.M.; Usman, A.G.; Degm, M.A.A.; Alsharksi, A.N.; Naibi, A.M.; Abba, S.I. Applications of Artificial Intelligence-Based Models and Multi- Linear Regression for the Prediction of Thyroid Stimulating Hormone Level in the Human Body. Int. J. Adv. Sci. Technol. 2020, 29, 3690–3699. [Google Scholar]
- Ghali, U.M.; Usman, A.G.; Chellube, Z.M.; Degm, M.A.A.; Hoti, K.; Umar, H.; Abba, S.I. Advanced chromatographic technique for performance simulation of anti-Alzheimer agent: An ensemble machine learning approach. SN Appl. Sci. 2020, 2, 1–12. [Google Scholar] [CrossRef]
- Khalid, G.M.; Usman, A.G. Application of data-intelligence algorithms for modeling the compaction performance of new pharmaceutical excipients. Futur. J. Pharm. Sci. 2021, 7, 1–11. [Google Scholar] [CrossRef]
- Nourani, V. An Emotional ANN (EANN) approach to modeling rainfall-runoff process. J. Hydrol. 2017, 544, 267–277. [Google Scholar] [CrossRef]
- Costache, R.; Pham, Q.B.; Sharifi, E.; Linh, N.T.T.; Abba, S.; Vojtek, M.; Vojteková, J.; Nhi, P.T.T.; Khoi, D.N. Flash-flood susceptibility assessment using multi-criteria decision making and machine learning supported by remote sensing and GIS techniques. Remote Sens. 2019, 12, 106. [Google Scholar] [CrossRef]
- Malik, A.; Tikhamarine, Y.; Sammen, S.S.; Abba, S.I.; Shahid, S. Prediction of meteorological drought by using hybrid support vector regression optimized with HHO versus PSO algorithms. Environ. Sci. Pollut. Res. 2021, 28, 39139–39158. [Google Scholar] [CrossRef]











| GRNN | GPR | SVR | ILR |
|---|---|---|---|
| Network type: Generalized regression | Cross Validation: 10-folds | Cross Validation: 10-folds | Cross Validation: 5-folds |
| Spread Constant: 1.0 | Regression Learner View: Exponential GPR | Regression Learner View: Medium Gaussian SVR | Regression Learner View: Interaction linear |
| Epoch: 200 iterations | Feature selection: PCA deactivated | Feature selection: PCA deactivated | Feature selection: PCA deactivated |
| Learning time: 0.000001 | |||
| Training: Levenberg–Marquardt | |||
| Validation checks: 8 |
| Calibration | ||||
|---|---|---|---|---|
| Models | DC | PCC | RMSE | MSE |
| ANFIS | 0.70 | 0.84 | 0.58 | 0.33 |
| GRNN | 0.82 | 0.90 | 0.45 | 0.20 |
| GPR | 0.86 | 0.93 | 0.40 | 0.16 |
| SVR | 0.55 | 0.74 | 0.70 | 0.49 |
| ILR | 0.86 | 0.92 | 0.40 | 0.16 |
| Validation | ||||
| ANFIS | 0.69 | 0.82 | 0.60 | 0.34 |
| GRNN | 0.92 | 0.95 | 0.31 | 0.11 |
| GPR | 0.81 | 0.89 | 0.51 | 0.27 |
| SVR | 0.53 | 0.69 | 0.88 | 0.53 |
| ILR | 0.81 | 0.87 | 0.43 | 0.19 |
| Calibration | ||||
|---|---|---|---|---|
| Techniques | DC | PCC | RMSE | MSE |
| ILR-ANFIS | 0.84 | 0.92 | 0.42 | 0.17 |
| ILR-GRNN | 0.95 | 0.98 | 0.23 | 0.05 |
| ILR-GPR | 0.99 | 0.99 | 0.00662 | 0.00004 |
| ILR-SVR | 0.82 | 0.90 | 0.45 | 0.20 |
| Validation | ||||
| ILR-ANFIS | 0.83 | 0.91 | 0.44 | 0.21 |
| ILR-GRNN | 0.96 | 0.99 | 0.02 | 0.00 |
| ILR-GPR | 0.98 | 0.99 | 0.01 | 0.00006 |
| ILR-SVR | 0.80 | 0.85 | 0.83 | 0.55 |
Disclaimer/Publisher’s Note: The statements, opinions and data contained in all publications are solely those of the individual author(s) and contributor(s) and not of MDPI and/or the editor(s). MDPI and/or the editor(s) disclaim responsibility for any injury to people or property resulting from any ideas, methods, instructions or products referred to in the content. |
© 2022 by the authors. Licensee MDPI, Basel, Switzerland. This article is an open access article distributed under the terms and conditions of the Creative Commons Attribution (CC BY) license (https://creativecommons.org/licenses/by/4.0/).
Share and Cite
Madaki, Z.; Abacioglu, N.; Usman, A.G.; Taner, N.; Sehirli, A.O.; Abba, S.I. Novel Hybridized Computational Paradigms Integrated with Five Stand-Alone Algorithms for Clinical Prediction of HCV Status among Patients: A Data-Driven Technique. Life 2023, 13, 79. https://doi.org/10.3390/life13010079
Madaki Z, Abacioglu N, Usman AG, Taner N, Sehirli AO, Abba SI. Novel Hybridized Computational Paradigms Integrated with Five Stand-Alone Algorithms for Clinical Prediction of HCV Status among Patients: A Data-Driven Technique. Life. 2023; 13(1):79. https://doi.org/10.3390/life13010079
Chicago/Turabian StyleMadaki, Zachariah, Nurettin Abacioglu, A. G. Usman, Neda Taner, Ahmet. O. Sehirli, and S. I. Abba. 2023. "Novel Hybridized Computational Paradigms Integrated with Five Stand-Alone Algorithms for Clinical Prediction of HCV Status among Patients: A Data-Driven Technique" Life 13, no. 1: 79. https://doi.org/10.3390/life13010079
APA StyleMadaki, Z., Abacioglu, N., Usman, A. G., Taner, N., Sehirli, A. O., & Abba, S. I. (2023). Novel Hybridized Computational Paradigms Integrated with Five Stand-Alone Algorithms for Clinical Prediction of HCV Status among Patients: A Data-Driven Technique. Life, 13(1), 79. https://doi.org/10.3390/life13010079

