Integrating Proper Orthogonal Decomposition with the Crank–Nicolson Finite Element Method for Efficient Solutions of the Schrödinger Equation
Abstract
1. Introduction
2. Preliminaries
2.1. Sobolev Spaces and Required Lemmas
- (1) When ,
- (2) When ,
2.2. The Basic Theory of POD
3. The Crank–Nicolson Finite Element Method of the Schrödinger Equation
3.1. The CNFE Scheme
3.2. The Stability and Convergence of the CNFE Solution
4. The Reduced-Dimension Crank–Nicolson Finite Element Method of the Schrödinger Equation
4.1. Constructing POD Bases
4.2. Formulating the RDCNFE Scheme
4.3. Establishing the Uniqueness, Stability, and Convergence of the RDCNFE Solution
- Proving the uniqueness of the RDCNFE solution.When , Theorem 1 ensures that the CNFE solution of Problem 3 is unique. Consequently, derived from the first and third equations of Problem 4, the RDCNFE solution must also exhibit uniqueness.When , the RDCNFE scheme is also given bySince the POD basis vectors are orthonormal, the matrix is the identity matrix. The matrix is symmetric and positive definite, so is also a symmetric positive definite matrix.Therefore, the coefficient matrix of the linear system (69) remains symmetric and positive definite. Consequently, the coefficient matrix is invertible, which ensures that there exists a unique solution to problem 4.
- Demonstrating the stability of the RDCNFE solution.When , based on the orthonormal property of vectors in and Theorem 1, imply thatWhen , by employing , we can transform the final two equations of Problem 4 intoTaking the inner product of (71) and , and taking the imaginary part, we obtainEmploying Gronwall’s inequality yieldsGiven that , we obtainFrom (76), the RDCNFE solution has stability.
- Analyzing the convergence of the RDCNFE solution.For , given that and from (58), we haveComputing the inner product of (78) and yieldsExtracting the imaginary part, we havethat isComputing the inner product of (78) and yieldsExtracting the real part, it follows thatthat issoFurther, given that , we have
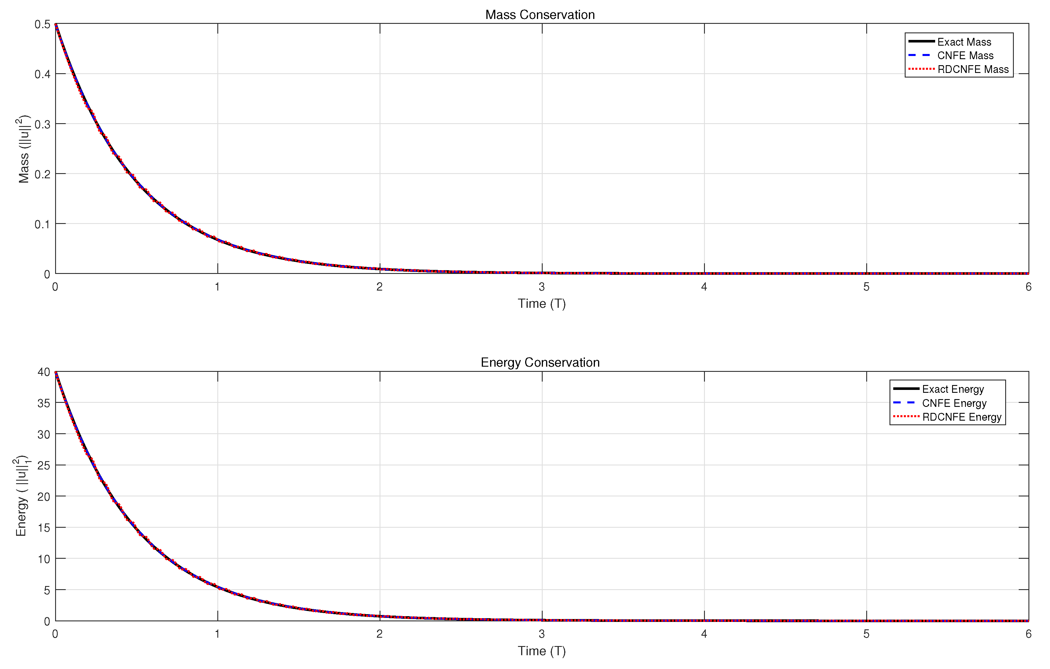
5. Conducting the Numerical Experiments for the Schrödinger Equations
- By addressing Problem 3, the first CNFE solution vectors are derived to establish the snapshot matrix .
- Compute the positive eigenvalues of the matrix and arrange them in descending order, along with their corresponding eigenvectors .
- By estimation, it is observed that . Consequently, the first six eigenvectors of can be selected to generate POD bases using the formula .
- Insert the provided data into Problem 4 and compute the RDCNFE solution of (88) using the framework gived in Problem 4.
6. Conclusions, Limitations, and Prospects
6.1. Conclusions
6.2. Limitations
6.3. Future Works
Author Contributions
Funding
Data Availability Statement
Acknowledgments
Conflicts of Interest
Abbreviations
| POD | proper orthogonal decomposition |
| CNFE | Crank–Nicolson finite element |
| RDCNFE | reduced-dimension Crank–Nicolson finite element |
References
- Liu, Y.; Li, H.; Wang, J. Error estimates of H1-Galerkin mixed finite element method for Schrödinger equation. Appl. Math. Ser. B. 2009, 24, 83–89. [Google Scholar]
- Henning, P.; Peterseim, D. Crank-Nicolson Galerkin approximations to nonlinear Schrödinger equations with rough potentials. Math. Mod. Meth. Appl. Sci. 2017, 27, 2147–2184. [Google Scholar] [CrossRef]
- Shi, D.; Liao, X.; Wang, L. Superconvergence analysis of conforming finite element method for nonlinear Schrödinger equation. Appl. Math. Comput. 2016, 289, 298–310. [Google Scholar] [CrossRef]
- Shi, D.; Wang, J. Unconditional superconvergence analysis of a Crank-Nicolson Galerkin FEM for nonlinear Schrödinger equation. J. Sci. Comput. 2017, 72, 1093–1118. [Google Scholar]
- Shi, D.; Yang, H. Unconditionally optimal error estimates of a new mixed FEM for nonlinear Schrödinger equations. Adv. Comput. Math. 2019, 45, 3173–3194. [Google Scholar] [CrossRef]
- Hu, H. Two-grid method for two-dimensional nonlinear Schrödinger equation by finite element method. Numer. Meth. Part. D. E. 2018, 34, 385–400. [Google Scholar] [CrossRef]
- Hu, H. Lp error estimate of nonlinear Schrödinger equation using a two-grid finite element method. Numer. Meth. Part. D. E. 2023, 39, 2865–2884. [Google Scholar] [CrossRef]
- Hu, H.; Li, B.; Zou, J. Optimal convergence of the Newton iterative Crank-Nicolson finite element method for the nonlinear Schrödinger equation. Comput. Meth. Appl. Math. 2022, 22, 591–612. [Google Scholar] [CrossRef]
- Tian, Z.; Chen, Y.; Huang, Y.; Wang, J. Two-grid mixed finite element method for two-dimensional time-dependent Schrödinger equation. Math. Meth. Appl. Sci. 2023, 46, 12759–12776. [Google Scholar] [CrossRef]
- Tian, Z.; Chen, Y.; Wang, J. Two-grid method for a fully discrete mixed finite element solution of the time-dependent Schrödinger equation. Mathematics 2023, 11, 3127. [Google Scholar] [CrossRef]
- Wang, J.; Tian, Z. Two-grid algorithm for two-dimensional linear Schrödinger equation by the mixed finite element method. Results Appl. Math. 2023, 20, 100404. [Google Scholar] [CrossRef]
- Luo, Z.; Li, L.; Sun, P. A reduced-order MFE formulation based on POD method for parabolic equations. Acta. Math. Sci. 2013, 33B, 1471–1484. [Google Scholar] [CrossRef]
- Luo, Z.; Teng, F. A reduced-order extrapolated finite difference iterative scheme based on POD method for 2D Sobolev equation. Appl. Math. Comput. 2018, 329, 374–383. [Google Scholar] [CrossRef]
- Luo, Z.; Zhou, Y.; Yang, X. A reduced finite element formulation based on proper orthogonal decomposition for Burgers equation. Appl. Numer. Math. 2009, 59, 1933–1946. [Google Scholar] [CrossRef]
- Luo, Z. The reduced-order extrapolating method about the Crank-Nicolson finite element solution coefficient vectors for parabolic type equation. Mathematics 2020, 8, 1261. [Google Scholar] [CrossRef]
- Luo, Z.; Jiang, W. A reduced-order extrapolated technique about the unknown coefficient vectors of solutions in the finite element method for hyperbolic type equation. Appl. Numer. Math. 2020, 158, 123–133. [Google Scholar] [CrossRef]
- Chang, X.; Li, H. The reduced-dimension method for Crank-Nicolson mixed finite element solution coefficient vectors of the extended Fisher-Kolmogorov equation. Axioms 2024, 13, 710. [Google Scholar] [CrossRef]
- Chang, X.; Li, H. A POD-based reduced-dimension method for solution coefficient vectors in the Crank-Nicolson mixed finite element method for the fourth-order parabolic equation. Fractal Fract. 2025, 9, 137. [Google Scholar] [CrossRef]
- Li, Y.; Luo, Z. A reduced-dimension extrapolating method of finite element solution coefficient vectors for fractional Tricomi-Type Equation. Mathematics 2023, 11, 4699. [Google Scholar] [CrossRef]
- Teng, F.; Luo, Z. A reduced-order extrapolation technique for solution coefficient vectors in the mixed finite element method for the 2D nonlinear Rosenau equation. J. Math. Anal. Appl. 2020, 485, 123761. [Google Scholar] [CrossRef]
- Luo, Z. The dimensionality reduction of Crank-Nicolson mixed finite element solution coefficient vectors for the unsteady Stokes equation. Mathematics 2022, 10, 2273. [Google Scholar] [CrossRef]
- Luo, Z.; Li, Y. A preserving precision mixed finite element dimensionality reduction method for Unsaturated Flow problem. Mathematics 2022, 10, 4391. [Google Scholar] [CrossRef]
- Luo, Z.; Yang, J. The reduced-order method of continuous space-time finite element scheme for the non-stationary incompressible flows. J. Comput. Phys. 2022, 456, 111044. [Google Scholar] [CrossRef]
- Li, S.; He, S.; Li, H.; Cao, G. Reduced-order difference algorithm for the Schrödinger equation based on the POD method. J. Shanxi Univ. Nat. Sci. Ed. 2016, 39, 567–576. (In Chinese) [Google Scholar]
- Adams, R.A. Sobolev Spaces; Academic Press: New York, NY, USA, 1975. [Google Scholar]
- Luo, Z. The founfations and applications of mixed finite element methods; Chinese Science Press: Beijing, China, 2006. (In Chinese) [Google Scholar]
- Luo, Z.; Chen, G. Proper Orthogonal Decomposition Methods for Partial Differential Equations; Academic Press of Elsevier: San Diego, CA, USA, 2018. [Google Scholar]







| CNFE Method | RDCNFE Method | |||
|---|---|---|---|---|
| Grid | Order | Order | ||
| 2.9018 × | 2.9018 × | |||
| 7.4470 × | 1.9622 | 7.4470 × | 1.9622 | |
| 1.8326 × | 2.0228 | 1.8326 × | 2.0228 | |
| 4.1776 × | 2.1332 | 4.1776 × | 2.1332 | |
| CNFE Method | RDCNFE Method | |||
|---|---|---|---|---|
| Real Time | CPU Runtime | CPU Runtime | ||
| 2.2825 × | 4.259 s | 2.2825 × | 1.182 s | |
| 2.0730 × | 8.183 s | 2.0730 × | 2.006 s | |
| 2.4137 × | 11.578 s | 2.4137 × | 2.826 s | |
| 2.3860 × | 14.815 s | 2.3860 × | 3.715 s | |
| 2.3419 × | 19.868 s | 2.3419 × | 4.728 s | |
| 2.3509 × | 22.819 s | 2.3509 × | 5.606 s | |
| 2.3558 × | 27.952 s | 2.3558 × | 6.260 s | |
| 2.3539 × | 30.962 s | 2.3539 × | 7.241 s | |
| 2.3535 × | 34.373 s | 2.3535 × | 8.050 s | |
Disclaimer/Publisher’s Note: The statements, opinions and data contained in all publications are solely those of the individual author(s) and contributor(s) and not of MDPI and/or the editor(s). MDPI and/or the editor(s) disclaim responsibility for any injury to people or property resulting from any ideas, methods, instructions or products referred to in the content. |
© 2025 by the authors. Licensee MDPI, Basel, Switzerland. This article is an open access article distributed under the terms and conditions of the Creative Commons Attribution (CC BY) license (https://creativecommons.org/licenses/by/4.0/).
Share and Cite
Chang, X.; Li, H.; Wang, J.; Ren, X. Integrating Proper Orthogonal Decomposition with the Crank–Nicolson Finite Element Method for Efficient Solutions of the Schrödinger Equation. Axioms 2025, 14, 727. https://doi.org/10.3390/axioms14100727
Chang X, Li H, Wang J, Ren X. Integrating Proper Orthogonal Decomposition with the Crank–Nicolson Finite Element Method for Efficient Solutions of the Schrödinger Equation. Axioms. 2025; 14(10):727. https://doi.org/10.3390/axioms14100727
Chicago/Turabian StyleChang, Xiaohui, Hong Li, Jiahua Wang, and Xuehui Ren. 2025. "Integrating Proper Orthogonal Decomposition with the Crank–Nicolson Finite Element Method for Efficient Solutions of the Schrödinger Equation" Axioms 14, no. 10: 727. https://doi.org/10.3390/axioms14100727
APA StyleChang, X., Li, H., Wang, J., & Ren, X. (2025). Integrating Proper Orthogonal Decomposition with the Crank–Nicolson Finite Element Method for Efficient Solutions of the Schrödinger Equation. Axioms, 14(10), 727. https://doi.org/10.3390/axioms14100727

