Abstract
This paper investigates the stability of predator–prey models within multi-patch environments, with a particular focus on the influence of cross-dispersion across patches. We apply Kirchhoff’s matrix tree theorem and Liapunov’s method to derive criteria related to the cross-dispersion topology, thus solving the challenge of determining global asymptotic stability conditions. The method incorporates realistic ecological interactions and spatial heterogeneity, offering a framework for stability analysis. Our findings demonstrate that an appropriate level of cross-dispersion can effectively mitigate oscillations and foster convergence toward equilibrium. Two numerical examples validate these theoretical results and demonstrate the feasibility and effectiveness of the model across multiple patches.
MSC:
34D20; 34D23
1. Introduction
The predator–prey relationship is fundamental in nature, making predator–prey models one of the most basic and widely studied biological models. Due to increasingly frequent human activities and spatial heterogeneity, the habitats of many species have been fragmented into separate patches [1,2,3,4,5]. Understanding how species interact across these fragmented habitats has become crucial for ecological management and conservation efforts, as well as for predicting the long-term persistence of species in altered environments.
Previous studies explored single-species movement in multi-patch environments, shedding light on how dispersal affects population dynamics and stability [6,7,8,9,10,11]. Early works, focused primarily on prey dispersal in response to resource availability, highlighting the effects of spatial structure on prey stability [10]. More recent studies extended these models to account for both predator and prey dispersal across patches, providing a more comprehensive understanding of species interactions in fragmented landscapes [11]. However, these studies typically consider dispersal within the same species, with limited investigation into cross-dispersal, where different species respond to population changes in other patches. This gap suggests a need for a model that addresses cross-dispersal effects between predators and prey across multiple patches to accurately reflect interactions in real-world ecosystems.
This study introduces a predator–prey model with cross-dispersal in a multi-patch environment (PMCM), aiming to provide a novel approach to examining interspecies interactions across fragmented habitats. In PMCM, we assume that when the predator population in a patch is low and the prey population is abundant, predators from adjacent patches are attracted to migrate to that patch. This migration behavior results in cross-dispersal, where the population of one species in one patch affects the movement of another species in neighboring patches. The model not only enhances realism but also helps explain species coexistence and stability under cross-dispersal effects, which are often observed in nature.
Stability is one of the most essential dynamic properties in ecological and biological systems Among various tools used to investigate stability, the Lyapunov method is highly effective [12,13,14,15,16,17,18]. However, constructing an appropriate Lyapunov function for PMCM poses challenges due to the complexity introduced by cross-dispersal. In this paper, we employ Kirchhoff’s matrix tree theorem from graph theory to construct a suitable Lyapunov function and analyze the stability of PMCM.
Compared to existing studies [10,11,15], the primary innovations and significant contributions of this paper are summarized as follows:
- A sufficient stability criterion for PMCM is derived, which is closely linked to the topological structure of cross-dispersal between patches.
- A global Lyapunov function for PMCM is constructed using Kirchhoff’s matrix tree theorem from graph theory, providing a novel approach to stability analysis.
The remainder of this paper is organized as follows. In Section 2, we review fundamental concepts and necessary notations from graph theory, followed by the presentation of the PMCM model. In Section 3, we perform a stability analysis of PMCM. An example with numerical simulation is provided in Section 4 to further illustrate our results. Finally, the conclusion is given in Section 5.
2. Preface and Model Description
In this section, we first introduce essential notations, key concepts, and pertinent lemmas from graph theory, as illustrated in Section 2.1. These foundational elements are crucial for a deeper understanding of the theoretical framework. Following this, the PMCM model is formally introduced in Section 2.2, providing the necessary context for the subsequent analysis and discussions.
2.1. Preface to Mathematics
Throughout this paper, and unless otherwise indicated, we will adhere to the following notations to maintain clarity and consistency in our presentation. We define the notations . We define as the class of all non-negative functions , where V is defined on the domain . These functions are continuously differentiable with respect to the variable x and exhibit once-differentiable behavior with respect to the variable t. This notation encapsulates the smoothness properties essential for the analysis of the system’s dynamics. Superscript “T” indicates the transpose of vectors or matrices.
Let us review some of graph theory’s basic concepts from [19]. A digraph consists of a vertex set and a set E of directed arcs from vertex k to vertex h. A subgraph is referred to as spanning if it shares the same vertex set as . A digraph is considered weighted if each arc has a positive weight . The value holds if there is an arc from vertex h to vertex k in , and the weight matrix is denoted by . The weight associated with a directed graph is defined as the product of the individual weights assigned to each of its arcs. Specifically, this total weight contains the cumulative influence of the arcs’ weights, offering a comprehensive measure of the graph’s weighted structure. A directed path in is a subgraph with distinct vertices , where the arc set is . If , is called a directed cycle. A connected subgraph is considered a tree if it has no cycles. A tree is rooted at vertex k, termed the root; if k is not the terminal vertex of any arc, each remaining vertex in the structure serves as the terminal vertex of exactly one arc, ensuring the well-defined connectivity of the graph A subgraph is termed unicyclic if it consists of disjoint rooted trees, with their respective roots forming a directed cycle. A digraph is said to be strongly connected if, for any two distinct vertices, a directed path exists between them. We denote the digraph associated with the weight matrix A as . The Laplacian matrix of is given by , where if , and if .
The following lemmas are utilized to establish our theoretical results.
Lemma 1
(West (1996) [19], Kirchhoff’s matrix tree theorem). The cofactor associated with the k-th diagonal element of the Laplacian matrix , denoted by , is defined under the condition that . This cofactor can be expressed using the following identity:
where represents the collection of all spanning trees of the weighted digraph , each rooted at vertex k, and denotes the corresponding weight of the spanning tree .
Lemma 2
(Li and Shuai) (2010) [10]). The cofactor of the k-th diagonal element of can be denoted as on the condition of . Then, the following identity holds:
For any , let represent arbitrary functions defined on the domain. The set of all spanning unicyclic graphs of the digraph is denoted by . The weight of any unicyclic graph is represented by , while refers to the directed cycle within the graph . Specifically, if is strongly connected, we have for each , ensuring positive coefficients in the graph’s weight structure.
2.2. Model Description
In this subsection, we will provide a description of our proposed model, along with a detailed explanation of its underlying structure and components. PMCM in patches can be demonstrated as follows:
where is the density of the prey population and is the density of the predator population in the k-th patch. The system’s parameters in (1) in the k-th patch are non-negative constants and can be summarized as follows:
- :
- the intrinsic rate of the natural increase in the prey population which means the prey population is in a environment where predators are absent.
- :
- the mortality rate of the predator population.
- :
- the intraspecific competition rates of the prey population.
- :
- the intraspecific competition rates of the predator population.
- :
- the attack rate of the predator on a particular prey.
- :
- the proportion of prey that become predator after the predator eats the prey.
- :
- boundary conditions in the case of different continuous cross-dispersions.
() is the cross-dispersal rate of the prey (predator) population from the h-th patch to the k-th patch. Specifically, () if and only if there is no prey (predator) cross-dispersal activity from the h-th patch to the k-th patch. For the sake of understanding, we present a schematic diagram in Figure 1 for system (1).
Figure 1.
The schematic diagram for system (1).
In Figure 1, there are isolated patches in which each patch has two components as a predator and a prey population. Take vertices to represent the dynamical systems. Each directed arc in Figure 1 represents the process of cross-dispersal occurring between the two distinct components across different patches. This illustration highlights the movement and interaction between these components within the multi-patch environment.
Remark 1.
In general, system (1) can be simplified. Specifically, let and ; then, we can clearly obtain a unique equilibrium for system (1) as follows:
Then, we explicitly determine that is a positive equilibrium when is satisfied. Therefore, it is feasible to determine that there is a positive equilibrium for system (1)
Remark 2.
For the equilibrium for the discussed system, system (1), we acknowledge the existence of other equilibria, such as vanishing equilibria and predator-free equilibria, but they do not contribute significantly to the main goal of our analysis, and our study focuses in particular on the equilibria that are most relevant for analyzing the global stability of the system. The chosen equilibria best reflect our research goals, particularly the dynamics of long-term coexistence and interactions among multiple patches.
Remark 3.
According to LaSalle’s Invariance Principle, the solution of the system will converge to the largest invariant set where . In the context of this study, if this invariant set contains only the equilibrium point , then is confirmed to be globally asymptotically stable within the positive cone .
3. Stability Analysis for a Predator–Prey Model with Cross-Dispersal in a Multi-Patch Environment
In this section, the stability of PMCM will be analyzed. By using Kirchhoff’s matrix tree theorem from graph theory, we construct a Lyapunov function tailored specifically to the PMCM system. This function serves as a critical tool in establishing the stability criteria for the model. And then we can obtain a sufficient stability criterion for PMCM.
Before proceeding, we discuss the existence of a global positive solution. The local solution will play a key role. It is obvious that each patch in system (1) has a local positive solution, since the terms in system (1) are linear. Hence, for any initial value , the system (1) has a unique local positive solution , , where is the exposure time, and , , , and represent the initial values of the k-th subecosystem in system (1). Below, we present a lemma regarding the existence of a global positive solution.
Lemma 3.
Proof.
To verify the existence of a global solution in system (1), we first prove that there exists a global solution for the k-th patch of system (1). Based on the existence of a local positive solution in the k-th patch of system (1), we only need to prove that the exposure time holds almost surely. For this purpose, we select a sufficiently large integer such that the initial conditions satisfy For each integer , we define a time:
We define and prove that it is infinitely large. Clearly, as i increases, also increases and satisfies Therefore, is well defined and satisfies Our next goal is to prove that , almost surely. Suppose this statement is not true; then, there is a constant and an integer so that
We first define a -continuous function as
and we have
Hence, we have:
where
According to the inequality, we have
Thus,
where
Thus, we have
Integrating both sides of this equation yields
According to Gronwall’s inequality, we have
If and satisfy the conditions defined at the stopping time, we have
According to the monotonicity property of on , we have
Therefore, we have a.s. Consequently, we have demonstrated the existence of a global positive solution for the k-th patch. By applying the same method and Lyapunov function analogously, we can establish that the remaining patches also possess global positive solutions, thereby proving this result. □
Definition 1.
In this study, we consider the stability of the system, that is, whether the system can return to its equilibrium point when there are disturbances or changes in the initial state. For a given system equilibrium point , we define its stability as follows:
where and represent the equilibrium values of the system in each patch k.
Stability: If, for any given , there exists a such that when the initial state satisfies , the system state satisfies for all , this means that under small perturbations in the initial conditions, the system remains within the neighborhood of the equilibrium point.
Asymptotic Stability: Asymptotic stability is a stronger property than stability. If the system satisfies the stability conditions as stated above, and the system state converges to the equilibrium point as , that is, , then the equilibrium point is said to be asymptotically stable.
Theorem 1.
Assume that digraphs and are strongly connected, where and , and the parameters in system (1) satisfy the following condition:
If k is presented such that condition (3) is satisfied and there is a positive equilibrium , it is unique and globally asymptotically stable in the positive cone .
Proof of Theorem 1.
Let us construct a Lyapunov function:
where we take and , respectively, as the cosine formula for the kth diagonal element of the Laplace matrix of and :
and
Relying on system (1), we derive that
Specifically, applying the inequality
we obtain
Thus, the original cross-term is transformed into a non-negative sum of squared terms The previous inequality then becomes
where
Similarly, we can obtain that
where ,
Because and are strongly connected, it can be inferred that and for any . We can find ; this implies that and . Then, using condition (3), yields and . From (6) and (8), it follows that
where and .
Moreover, by analyzing each directed cycle within the weighted digraphs and , one can infer that
hold for all .
Based on Equation (9), we can determine the conditions under which .
First, consider , which requires either , leading to , or , implying that . However, the given condition excludes the possibility of , so the only valid solution is .
Similarly, for , we deduce that , as the condition prevents from being a solution.
The conditions derived above can be simplified as , along with and . Therefore, holds if and only if the above conditions are satisfied.
If there exists a k that makes the following inequalities hold:
that is to say
and
we can have and . Since and for , we make and , while . This indicates that
Based on Remark 1, we know that and are constants with uniquely determined values. Consequently, is also uniquely defined. Furthermore, from Remark 3, it follows that the equilibrium point is asymptotically stable. Therefore, inherits this asymptotic stability and uniqueness. Thus, the uniqueness of in is confirmed.
Based on Definition 1, since we have established that the system’s equilibrium point is globally asymptotically stable within the positive cone , this naturally implies the stability of the system. As asymptotic stability is a stronger condition than stability, our proof of global asymptotic stability ensures that the system, when subjected to small perturbations, will not only remain in the vicinity of , but will also tend towards over time. Therefore, under the given conditions, the system exhibits both stability and convergence to the equilibrium state. □
4. Numerical Simulation
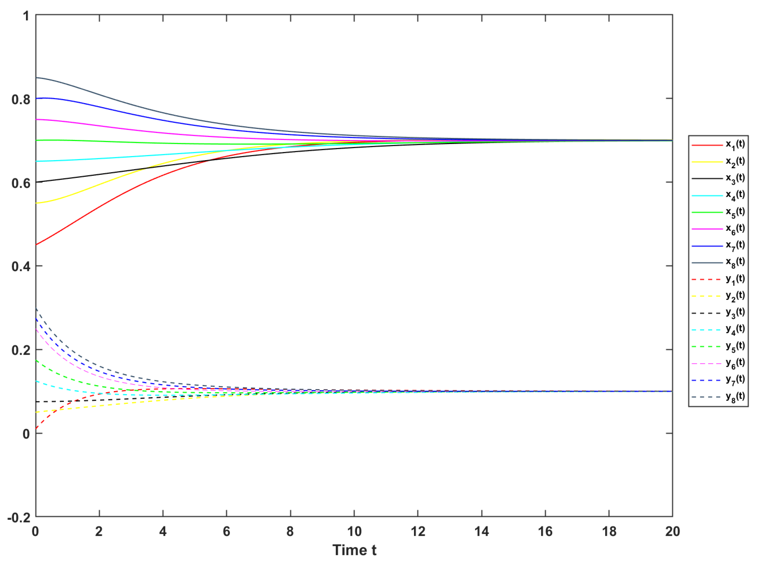
To prove the feasibility and validity of our results, in this section, we present two examples and their numerical simulation. We consider PMCM in eight patches and produce a schematic diagram (see Figure 2). We then take a step further, and a digraph for system (1) is presented (see Figure 3).
Figure 2.
The schematic diagram for system (1) in 8 patches.
Figure 3.
The digraph of system (1) in 8 patches.
After this, we set , , , , , , and , where . In this set of parameters, there are and , which satisfy condition (3). And in this case, while and , the cross-dispersal rates are set as follows:
And we determine that and It is easy to derive that . Moreover, and are strongly connected. Above, all of Theorem 1’s conditions have been satisfied; hence, we can conclude that is both unique and globally asymptotically stable within the positive cone . The initial value can be set as below:
The simulation result is given in Figure 4.
Figure 4.
The solution of system (1) when .
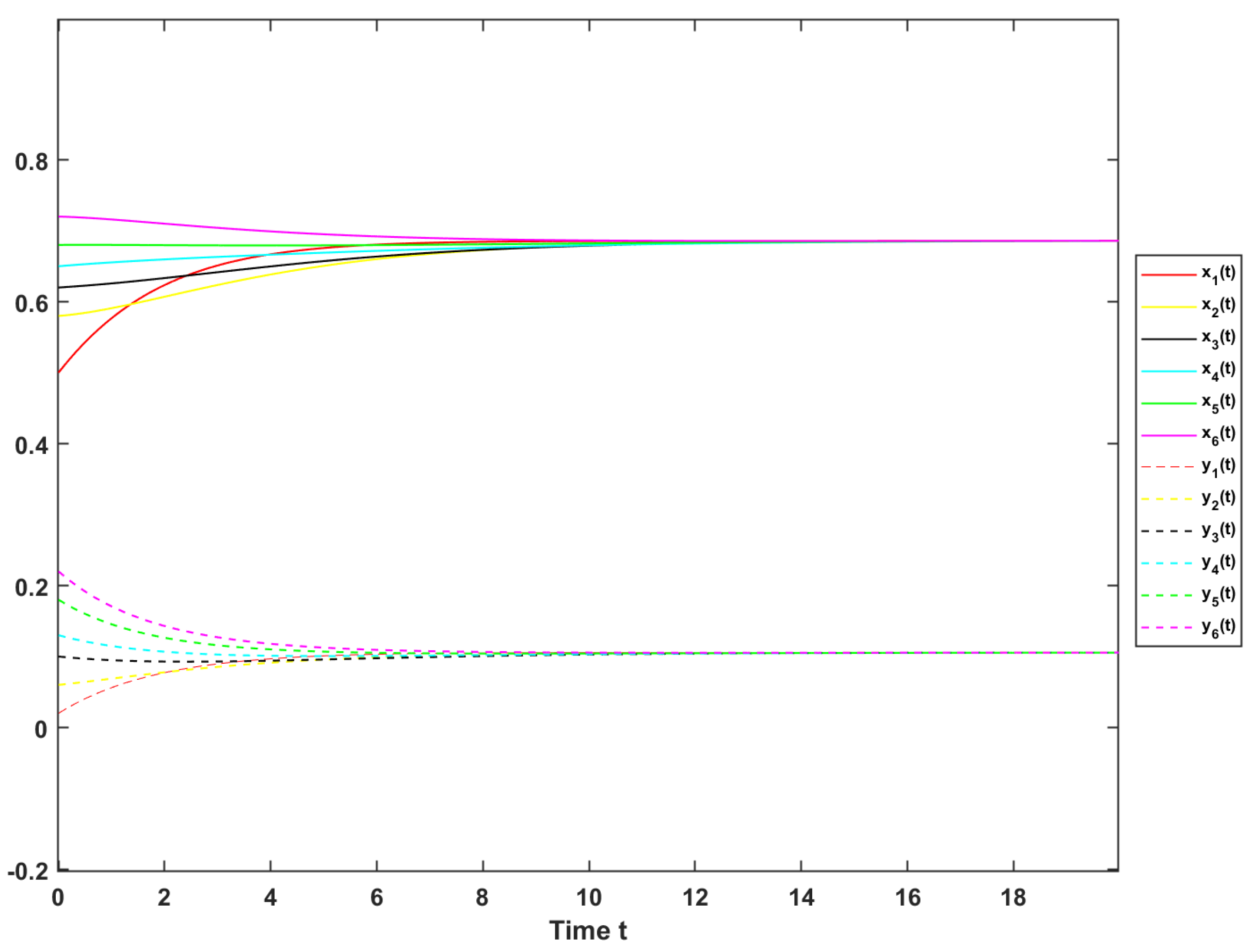
To further validate the feasibility and effectiveness of our results, we also present a numerical simulation example with 6 patches to complement the previous analysis. This additional simulation aims to demonstrate that the conclusions hold under different configurations. The schematic diagram for the system in six patches is shown in Figure 5, and the corresponding digraph is given in Figure 6.
Figure 5.
The schematic diagram for system (1) in 6 patches.
Figure 6.
The digraph of system (1) in 6 patches.
After this, we set , , , , , , and , where . In this set of parameters, there are and , which satisfy condition (2). And in this case, while and , the cross-dispersal rates are set as follows:
And we determine that and It is easy to derive that . Moreover, and are strongly connected. Above, all the theorem’s conditions have been satisfied; hence, we can conclude that is both unique and globally asymptotically stable within the positive cone .
The initial value can be set as below:
The simulation result is given in Figure 7.
Figure 7.
The solution of system (1) when .
5. Conclusions
This study examines the stability of a predator–prey model with cross-dispersal in a multi-patch environment, deriving a sufficient criterion for global asymptotic stability using Kirchhoff’s matrix tree theorem and a Lyapunov function. Our results highlight the significant role of cross-dispersal in stabilizing population dynamics across fragmented habitats, reducing oscillations and accelerating convergence to equilibrium. The numerical simulations confirm these findings and demonstrate the model’s broader applicability compared to single-species dispersal approaches.
This study advances multi-patch predator–prey models and offers ecological insights, such as optimizing dispersal strategies for habitat restoration. However, this study still has limitations. The model assumed that the environment and species were homogeneous within patches and did not consider environmental heterogeneity and noise effects. Future studies will introduce environmental heterogeneity and noise factors to simulate more realistic ecosystems and explore the interactions of multiple species in multi-slice environments to enhance the application value of the model.
Author Contributions
Writing—original draft preparation, K.X.; software, K.P.; writing—review and editing, S.G. All authors participated in the writing and coordination of the manuscript. All authors have read and agreed to the published version of the manuscript.
Funding
This research was funded by the Fundamental Research Funds for the Central Universities (No. 2572022BC04).
Data Availability Statement
Data are contained within the article.
Conflicts of Interest
The authors declare that they have no competing interests.
References
- Hanski, I. Metapopulation dynamics. Nature 1998, 396, 41–49. [Google Scholar] [CrossRef]
- Strogatz, S.H. Exploring complex networks. Nature 2001, 410, 268–276. [Google Scholar] [CrossRef] [PubMed]
- Kareiva, P. Habitat fragmentation and the stability of predator-prey interactions. Nature 1987, 326, 388–390. [Google Scholar] [CrossRef]
- Fang, M.; Wang, Y.; Chen, M.; DeAngelis, D.L. Asymptotic population abundance of a two-patch system with asymmetric diffusion. Discret. Contin. Dyn. Syst.-A 2020, 40, 3411–3425. [Google Scholar] [CrossRef]
- Li, L.; Wang, G. The ideal free distribution of clonal plant’s ramets among patches in a heterogeneous environment. Bull. Math. Biol. 2006, 68, 1837–1850. [Google Scholar] [CrossRef] [PubMed]
- Barman, B.; Ghosh, B. Dynamics of a spatially coupled model with delayed prey dispersal. Int. J. Model. Simul. 2022, 42, 400–414. [Google Scholar] [CrossRef]
- Kurowski, L.; Krause, A.L.; Mizuguchi, H.; Grindrod, P.; Van Gorder, R.A. Two-species migration and clustering in two-dimensional domains. Bull. Math. Biol. 2017, 79, 2302–2333. [Google Scholar] [CrossRef] [PubMed]
- Li, R.; Lou, Y. A diffusive predator-prey model with spatially heterogeneous carrying capacity. Calc. Var. Partial Differ. Equ. 2023, 56, 132–165. [Google Scholar]
- Rodrigues, L.A.D.; Mistro, D.C.; Cara, E.R.; Petrovskaya, N.; Petrovskii, S. Patchy invasion of stage-structured alien species with short-distance and long-distance dispersal. Bull. Math. Biol. 2015, 77, 1583–1619. [Google Scholar] [CrossRef] [PubMed]
- Li, M.Y.; Shuai, Z. Global-stability problem for coupled systems of differential equations on networks. J. Differ. Equ. 2010, 248, 1–20. [Google Scholar] [CrossRef]
- Zhang, C.; Li, W.; Wang, K. Graph-theoretic approach to stability of multi-group models with dispersal. Discret. Contin. Dyn. Syst. Ser. B 2015, 20, 259–280. [Google Scholar] [CrossRef]
- Allesina, S.; Tang, S. Stability criteria for complex ecosystems. Nature 2012, 483, 205–208. [Google Scholar] [CrossRef] [PubMed]
- Wang, L.; Luo, P.; Yang, H.L.; Cao, J. Stability of genetic regulatory networks based on switched systems and mixed time-delays. Math. Biosci. 2016, 278, 94–99. [Google Scholar] [CrossRef] [PubMed]
- Wang, L.; Ge, M.; Hu, J. Global robust synchronization of fractional order complex valued neural networks with mixed time varying delays and impulses. Int. J. Control Autom. Syst. 2021, 19, 431–455. [Google Scholar]
- Wang, L.; Zhang, J.; Sun, W. Global stability for a new predator-prey model with cross-dispersal among patches based on graph theory. Adv. Contin. Discret. Model. 2023, 36, 215–235. [Google Scholar]
- Xiao, Q.; Zeng, Z.; Huang, T. Global exponential stability and synchronization for Clifford-valued memristive neural networks with time-varying delays. Cogn. Comput. 2022, 14, 805–825. [Google Scholar]
- Tang, S.; Liu, F.; Chen, Y. Stability and dynamics of a predator-prey model in spatially heterogeneous environments. Appl. Math. Comput. 2022, 420, 126790–126805. [Google Scholar]
- Chen, Y.; Liu, X.; Zhao, H. Coexistence in a predator-prey model with cross-diffusion: Existence and stability of non-constant positive solutions. J. Math. Biol. 2022, 85, 45–68. [Google Scholar]
- West, D.B. Introduction to Graph Theory; Prentice Hall: Upper Saddle River, NJ, USA, 1996. [Google Scholar]
Disclaimer/Publisher’s Note: The statements, opinions and data contained in all publications are solely those of the individual author(s) and contributor(s) and not of MDPI and/or the editor(s). MDPI and/or the editor(s) disclaim responsibility for any injury to people or property resulting from any ideas, methods, instructions or products referred to in the content. |
© 2024 by the authors. Licensee MDPI, Basel, Switzerland. This article is an open access article distributed under the terms and conditions of the Creative Commons Attribution (CC BY) license (https://creativecommons.org/licenses/by/4.0/).






