Nonseparation Approach to General-Decay Synchronization of Quaternion-Valued Neural Networks with Mixed Time Delays
Abstract
:1. Introduction
2. Preliminaries
3. Analysis Process
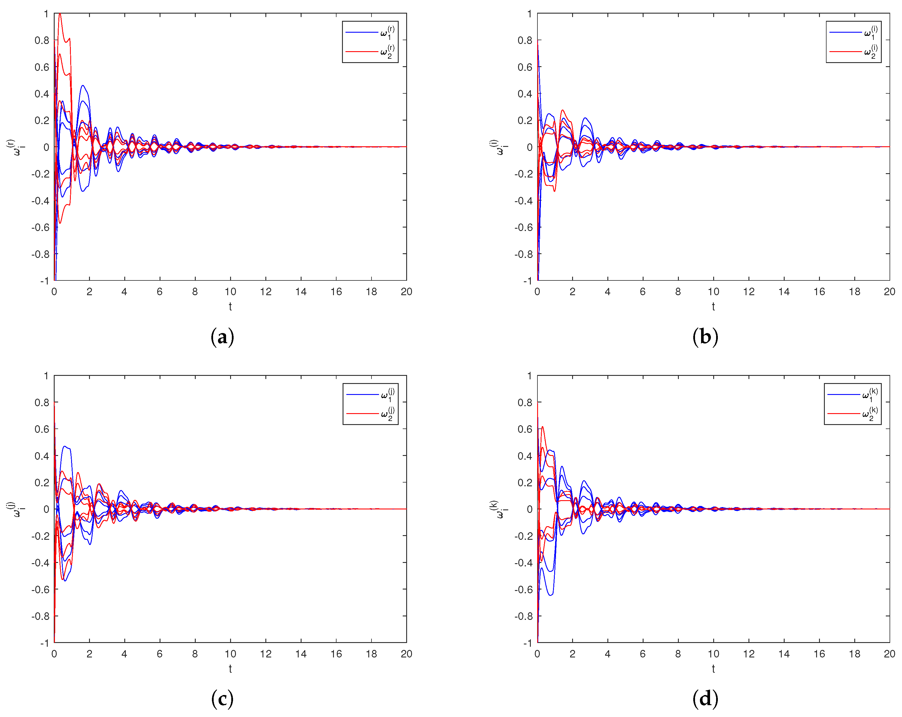
4. Numerical Examples and Simulations
5. Conclusions
Author Contributions
Funding
Data Availability Statement
Conflicts of Interest
Appendix A
| Listing A1. quaternionchaos1.m. |
![]() ![]() ![]() |
| Listing A2. quaternionsyn2.m. |
![]() ![]() ![]() ![]() |
References
- Kazemy, A.; Cao, J. Consecutive synchronization of a delayed complex dynamical network via distributed adaptive control approach. Int. J. Control Autom. Syst. 2018, 16, 2656–2664. [Google Scholar]
- Wu, A.L.; Wen, S.P.; Zeng, Z.G. Synchronization control of a class of memristor-based recurrent neural networks. Inf. Sci. 2012, 183, 106–116. [Google Scholar] [CrossRef]
- Feki, M. An adaptive chaos synchronization scheme applied to secure communication. Chaos Solitons Fractals 2003, 18, 141–148. [Google Scholar] [CrossRef]
- Yang, Z.; Zhang, Z. Finite-time synchronization analysis for BAM neural networks with time-varying delays by applying the maximum-value approach with new inequalities. Mathematics 2022, 10, 835. [Google Scholar] [CrossRef]
- Liu, M.; Lu, B.; Li, Z.; Jiang, H.; Hu, C. Fixed-time synchronization control of delayed dynamical. Entropy 2021, 23, 1610. [Google Scholar] [CrossRef]
- Abdurahman, A.; Abudusaimaiti, M.; Jiang, H. Fixed/predefined-time lag synchronization of complex-valued BAM neural networks with stochastic perturbations. Appl. Math. Comput. 2023, 444, 127811. [Google Scholar] [CrossRef]
- Hui, M.; Yan, J.; Zhang, J.; Iu, H.H.C.; Yao, R.; Bai, L. Exponential synchronization of inertial neural network with mixed delays via intermittent pinning control. Int. J. Robust Nonlinear Control 2022, 32, 358–372. [Google Scholar] [CrossRef]
- Zhang, Z. New sufficient conditions on global asymptotic synchronization of inertial delayed neural networks by using integrating inequality techniques. Nonlinear Dyn. 2019, 95, 897–904. [Google Scholar] [CrossRef]
- Pogromsky, A.; Santoboni, G.; Nijmeijer, H. Partial synchronization: From symmetry towards stability. Physica D 2002, 172, 65–87. [Google Scholar] [CrossRef]
- Feketa, P.; Schaum, A.; Meurer, T. Synchronization and multicluster capabilities of oscillatory networks with adaptive coupling. IEEE Trans. Autom. Control 2020, 66, 3084–3096. [Google Scholar] [CrossRef]
- Wang, Z.; Liu, Y.; Li, M.; Liu, X. Stability analysis for stochastic Cohen-Grossberg neural networks with mixed time delays. IEEE Trans. Neural Netw. 2006, 17, 814–820. [Google Scholar] [CrossRef]
- Zhu, Q.; Cao, J. Exponential stability of stochastic neural networks with both markovian jump parameters and mixed time delays. IEEE Trans. Cybern. 2011, 41, 341–353. [Google Scholar]
- Han, J.; Chen, G.; Hu, J. New results on anti-synchronization in predefined-time for a class of fuzzy inertial neural networks with mixed time delays. Neurocomputing 2022, 495, 26–36. [Google Scholar] [CrossRef]
- Wang, L.; Shen, Y.; Zhang, G. Synchronization of a class of switched neural networks with time-varying delays via nonlinear feedback control. IEEE Trans. Cybern. 2016, 46, 2300–2310. [Google Scholar] [CrossRef] [PubMed]
- Wang, L.; Shen, Y.; Zhang, G. General decay synchronization stability for a class of delayed chaotic neural networks with discontinuous activations. Neurocomputing 2016, 179, 169–175. [Google Scholar] [CrossRef]
- Abdurahman, A. New results on the general decay synchronization of delayed neural networks with general activation functions. Neurocomputing 2018, 275, 2505–2511. [Google Scholar] [CrossRef]
- Lu, J.; Huang, Y.; Ren, S. General decay synchronization and H∞ synchronization of multi-weighted coupled reaction-diffusion neural networks. Int. J. Control Autom. Syst. 2020, 18, 1250–1263. [Google Scholar] [CrossRef]
- Liu, L.; Deng, F.; Qu, B.; Fang, J. General Decay Stability of Backward Euler–Maruyama Method for Nonlinear Stochastic Integro-Differential Equations. Appl. Math. Lett. 2023, 135, 108406. [Google Scholar] [CrossRef]
- Tojtovska, B.; Janković, S. General decay stability analysis of impulsive neural networks with mixed time delays. Neurocomputing 2014, 142, 438–446. [Google Scholar] [CrossRef]
- Alaglöz, Y.; Oral, K.; Yüce, S. Split quaternion matrices. Miskolc Math. Notes 2012, 13, 223–232. [Google Scholar] [CrossRef]
- Zou, C.; Kou, K.; Wang, Y. Quaternion collaborative and sparse representation with application to color face recognition. IEEE Trans. Image Process. 2016, 25, 3287–3302. [Google Scholar] [CrossRef]
- Chen, X.; Song, Q.; Li, Z.; Zhao, Z.; Liu, Y. Stability analysis of continuous-time and discrete-time quaternion-valued neural networks with linear threshold neurons. IEEE Trans. Neural Netw. Learn. Syst. 2017, 29, 2769–2781. [Google Scholar] [CrossRef] [PubMed]
- Shu, H.; Song, Q.; Liu, Y.; Zhao, Z.; Alsaadi, F.E. Global μ-stability of quaternion-valued neural networks with non-differentiable time-varying delays. Neurocomputing 2017, 247, 202–212. [Google Scholar] [CrossRef]
- Liu, Y.; Zhang, D.; Lu, J. Global exponential stability for quaternion-valued recurrent neural networks with time-varying delays. Nonlinear Dyn. 2017, 87, 553–565. [Google Scholar] [CrossRef]
- Liu, Y.; Zhang, D.; Lu, J.; Cao, J. Global μ-stability criteria for quaternion-valued neural networks with unbounded time-varying delays. Inf. Sci. 2016, 360, 273–288. [Google Scholar] [CrossRef]
- Tu, Z.; Cao, J.; Alsaedi, A.; Hayat, T. Global dissipativity analysis for delayed quaternion-valued neural networks. Neural Netw. 2017, 89, 97–104. [Google Scholar] [CrossRef]
- Li, H.; Zhang, L.; Hu, C.; Jiang, H.; Cao, J. Global Mittag-Leffler synchronization of fractional-order delayed quaternion-valued neural networks: Direct quaternion approach. Appl. Math. Comput. 2020, 373, 125020. [Google Scholar] [CrossRef]
- Tu, Z.; Yang, X.; Wang, L.; Ding, N. Stability and stabilization of quaternion-valued neural networks with uncertain time-delayed impulses: Direct quaternion method. Phys. A Stat. Mech. Its Appl. 2019, 535, 122358. [Google Scholar] [CrossRef]
- Hu, J.; Zeng, C.; Tan, J. Boundedness and periodicity for linear threshold discrete-time quaternion-valued neural network with time-delays. Neurocomputing 2017, 267, 417–425. [Google Scholar] [CrossRef]



Disclaimer/Publisher’s Note: The statements, opinions and data contained in all publications are solely those of the individual author(s) and contributor(s) and not of MDPI and/or the editor(s). MDPI and/or the editor(s) disclaim responsibility for any injury to people or property resulting from any ideas, methods, instructions or products referred to in the content. |
© 2023 by the authors. Licensee MDPI, Basel, Switzerland. This article is an open access article distributed under the terms and conditions of the Creative Commons Attribution (CC BY) license (https://creativecommons.org/licenses/by/4.0/).
Share and Cite
Han, X.; Abdurahman, A.; You, J. Nonseparation Approach to General-Decay Synchronization of Quaternion-Valued Neural Networks with Mixed Time Delays. Axioms 2023, 12, 842. https://doi.org/10.3390/axioms12090842
Han X, Abdurahman A, You J. Nonseparation Approach to General-Decay Synchronization of Quaternion-Valued Neural Networks with Mixed Time Delays. Axioms. 2023; 12(9):842. https://doi.org/10.3390/axioms12090842
Chicago/Turabian StyleHan, Xiaofang, Abdujelil Abdurahman, and Jingjing You. 2023. "Nonseparation Approach to General-Decay Synchronization of Quaternion-Valued Neural Networks with Mixed Time Delays" Axioms 12, no. 9: 842. https://doi.org/10.3390/axioms12090842
APA StyleHan, X., Abdurahman, A., & You, J. (2023). Nonseparation Approach to General-Decay Synchronization of Quaternion-Valued Neural Networks with Mixed Time Delays. Axioms, 12(9), 842. https://doi.org/10.3390/axioms12090842








