Abstract
This paper considers the problem of portfolio selection and adjustment for target benefit plans (TBP) with longevity trends and partial information. The longevity trends are modeled by a time-varying force function. The financial market consists of risk-free assets and stocks, in which the return rate of stocks is a stochastic process and cannot be completely observed. This paper adopts the mean-variance utility model as an optimization criterion. The aim is to maximize the terminal value of the pension fund and the excess pension benefit after the participant’s retirement. The optimization equations are developed in game theory to obtain explicit solutions for the equilibrium strategies. Finally, the influence of the longevity trend on the internal structure of the pension system and the sensitivity of the equilibrium strategies to the related parameters are explored by numerical analysis. The conclusion shows that this model’s results can provide stable and adequate retirement benefits for participants.
Keywords:
target benefit pension plans; mean-variance utility model; longevity trend; partial information MSC:
93E20; 97M30
1. Introduction
Pension financialization refers to investing pension funds in financial markets to achieve higher returns, thereby providing more support for pension systems facing the challenges of population aging and sustainability. The goal of pension financialization is to enhance the value of pension funds by investing in diverse financial instruments such as stocks, bonds, and real estate, to consequently increase the pension returns and alleviate government fiscal pressure. Nevertheless, this approach has risks and challenges due to the volatility and uncertainty of the financial markets [1,2]. Therefore, effective risk management strategies and regulatory measures must be developed to ensure the safe and stable operation of pension funds.
Typically, pension plans are categorized as either defined-benefit (DB) pensions or defined-contribution (DC) pensions, based on the varying arrangements of contributions and benefits. The DB pension plan provides participants with stable retirement benefits, but the plan sponsor bears all the risks. In DC pension plans, the risks are entirely borne by the plan members, but the benefits for the retired members mainly depend on the investment returns, and their future benefits are highly uncertain. Due to the increased risk of longevity and demographic shifts, the traditional DB and DC pensions have gradually revealed their limitations, and policymakers are actively searching for a more up-to-date pension system, hoping to further optimize the existing pension system. This includes the collective DC pension plan [3,4] from the Netherlands, the risk-sharing DB plan [5,6] from Japan, and the target benefit plan (TBP) [7,8] from Canada.
The target benefit pension plan is a type of hybrid pension plan that encompasses the advantages of both the DB and DC plans. The plan risks are no longer borne by individuals but shared by plan participants of different generations (including active individuals, retirees, and members not yet in the pension plan). The plan enables risk transfer and sharing among its members, so as to maintain a stable level of pension benefits across generations and ensure the sustainability of the pension plan. Gollier (2008) [9] and Cui (2011) [10] showed that compared with a traditional DB pension or an individual DC pension, the hybrid pension plan with the characteristics of risk sharing can improve the benefit level of retirees. In the management of the target return pension plan, Wang et al. (2018) [11] controlled the cumulative retirement return in the optimization goal and obtained the optimal strategy by minimizing the discontinuous risk and retirement return risk of the pension plan to ensure stable and safe returns for participants over time. Wang et al. (2019) [12] used an S-shaped utility to describe the risk preference of the insured and considered the TBP model based on the risk preference. Zhao and Wang (2022) [13] adopted a binary utility function to express sponsors’ preference for benefit and wealth, to obtain the optimal investment strategy and dynamic adjustment strategy of the retirement income, ensuring adequate retirement benefits for retirees, while maintaining intergenerational risk sharing equity.
In pension management problems, the existing literature can be divided into three categories according to different optimization objectives: utility maximization/minimization [14,15], minimization of the deviation of account assets from the desired target [16,17], and maximization of the terminal value under the mean-variance (MV) criterion [18,19]. Among them, the first type of optimization objective generally expects to maximize the terminal wealth and focuses more on the return of the account funds. The second type of optimization objective sets an expected target for the account assets, according to the participants’ retirement needs, and considers the strategy that can achieve the expected target, focusing on the safety of the pension investment. The third type of optimization criterion is to obtain the optimal strategy that takes into account both the pension benefits and risks. For pension managers, each of these three optimization objectives has its advantages and disadvantages, and they can only choose the appropriate optimization criteria for different preferences. In the management problem of TBP plans, many scholars have studied the optimal management problem under the first two optimization objectives and obtained the desired results. Unfortunately, the third type of mean-variance objective has yet to be studied, and there is much room for research.
The MV portfolio selection theory proposed by Markowitz [20] manages risk without unduly restricting investment. It is considered the beginning of modern finance, and the theory has become one of the foundations of modern finance. Due to the failure of the MV criterion to satisfy the iterated expectation property, it cannot be utilized directly in dynamic programming principles to derive a time-consistent optimal strategy. To address this limitation, Basak and Chabakauri (2010) [21] solved this problem by defining a time-consistent equilibrium strategy in a game theoretic framework. Similarly, Björk and Murgoci (2010) [22] applied this method to solve the more general Markovian time-inconsistent problem. Based on Björk and Murgoci (2010) [22]’s theory, scholars have solved various time-inconsistent problems by solving the extended Hamilton–Jacobi–Bellman (HJB) system of equations [23,24]. In recognition of the significant influence of consumption on investment decisions in real-life situations, Kronborg and Steffensen (2015) [25] attempted to consider the consumption choices in the MV criterion to explore the optimal asset allocation strategy. However, numerical simulations revealed that the consumption choices obtained by Kronborg and Steffensen (2015) [25] were discontinuous and did not correspond to reality. To address this issue, Yang et al. (2021) [26] put forward a novel category of the mean-variance utility (MVU) model to study the investment–consumption portfolio problem. The equilibrium strategy was obtained in the game theory framework, which overcame the shortcomings of Kronborg and Steffensen (2015) [25]. In addition, Kang (2021) [27] investigated the equilibrium strategy in which the prices of risky assets were controlled by the Heston stochastic volatility model, based on Yang et al. (2021) [26]. Based on the above research, we introduce the MVU model into the management problem of TBP plans. This criterion integrates both the return and risk of pension wealth at the terminal moment and the utility of the deviations of benefit payments from the expected target over the entire time horizon. The MVU enables decision makers to identify the optimal investment and benefit payment strategy that balances the enhancement of wealth and the fulfillment of benefits, maximizes the interests and needs of participants, and hence accomplishes the long-term financial planning and goals.
The accelerating rate of population aging due to the worldwide mortality reduction and the global fertility decline has put tremendous pressure on traditional pension plans. In recent years, governments, financial institutions, and individuals have been affected by longevity risk, and it has become a common challenge worldwide. In 2004, European investment banks tried to issue longevity bonds, and capital markets issued many derivatives, such as longevity swaps, to transfer longevity risk. Some of the literature (Wong et al. (2014) [28], Kwok et al. (2016) [29]) has considered the use of longevity-related assets to hedge against longevity risk in the market. In addition, another approach proposed by scholars to deal with longevity risk is the natural hedge approach, in which lower mortality increases annuity product payments while reducing life insurance product expenses. Combining the two creates a natural hedge to reduce losses from longevity risk. Whichever method is chosen, an accurate forecast of future mortality is required. Earlier mortality models were static, where mortality did not change over time and is no longer applicable. Therefore, scholars have proposed dynamic mortality prediction models that add a time factor to the static mortality models. Furthermore, Strulik and Vollmer (2013) [30] showed that the increase in the average life expectancy from the second half of the 20th century onwards was mainly due to the increase in the maximum age of the population. Therefore, Knell (2018) [31] assumed in his article that the maximum age of the population increased linearly with time. Devolder and Melis (2015) [32] argued that the mortality force is dependent on the age and the time of a specific population. On the one hand, due to medical advances and economic development, people’s mortality rates are gradually decreasing. On the other hand, as people age, the force of mortality increases. Inspired by Knell (2018) [31], who assumed that the maximum age of survival was an increasing function of time, Fu (2023) [33] also applied an age- and time-dependent mortality force, called the modified Makeham’s Law, to describe the longevity risk.
Until now, most studies have assumed that investors can fully grasp the economic structure and market conditions, but this assumption is difficult to satisfy in practice. For example, in portfolio problems, because the distribution nature of risk asset prices related to portfolio decisions is usually unobtainable, decision makers cannot accurately obtain the rate of return of risk assets. They can only estimate it based on all the available information. In addition, many studies have confirmed the predictability of the return rate of risk assets [34,35]. Wang et al. (2021) [36] analyzed the variance between optimal investment strategies for managing DC pensions in scenarios of partial and complete information. The results showed that partial information could affect the investment proportion of stocks. Applying filtering technology and the stochastic dynamic programming method, Wang et al. (2022) [37] derived the optimal investment strategy for a DC pension plan with stock return predictability and inflation risk. The study highlighted that the predictability of the partially observable stock returns yield plays a crucial role in the optimal investment strategy for inflation-indexed bonds.
This paper considers a TBP model with overlapping generations. In the continuous-time case, the insured’s contribution is determined. At the same time, the payment of the insured is the target payment, and the income risk of the fund account is shared by the insured of different generations. Since longevity risk exists inside the pension system and directly affects the size of the number of people and accounts in the pension system, the longevity trend factor is considered in constructing the pension model in this paper. The financial market consists of a risk-free asset and a stock, in which the return rate of stock is random, subject to a mean recovery process, and cannot be completely observed. The ultimate goal is to design a new risk-sharing plan for pension planners according to the participants’ risk preferences and objectives. Here, to simultaneously measure the benefits and risks of the pension plan in the investment process and make the benefits of retired members reach or exceed the preset target benefits during the whole distribution period, the mean-variance utility objective model is adopted. To maximize the terminal wealth of pension accounts, minimize the investment risks, and maximize the pension excess benefits after the retirement of the insured persons, the optimal equation was established under the thought of game theory, and the balanced investment strategy and benefit adjustment strategy were obtained. Finally, the sensitivity of the equalization strategy to the related parameters is explored through numerical analysis. The contributions of this paper are as follows: (1) this paper introduces the mean-variance utility model into the optimal management of the target benefit plan for the first time. It obtains the equilibrium investment strategy and benefit payment adjustment strategy. (2) This paper considers the longevity trend phenomenon in the model’s construction and explores the impact of the longevity trend on the pension system through numerical simulation. (3) This paper considers partial information factors in controlling the target benefit pension plan for the first time, deduces the investment and return adjustment strategy under the fully observable stock return, and compares it with the strategy under the partially observable condition. (4) This paper deduces the equilibrium benefit adjustment strategy under different utility functions.
The rest of this paper is arranged as follows: In Section 2, some necessary assumptions are given, the model framework is described, and the optimization problem is proposed. Section 3 presents the model, giving the theoretical results and the conclusion under special circumstances. In Section 4, the sensitivity analysis of the relevant parameters is carried out by numerical simulation, and the corresponding analysis is presented. Section 5 gives the main conclusions of this paper.
2. Model Formulation
Let be a complete probability space satisfying the usual conditions, where is a probability measure on , is a complete and right-continuous filtration, and represents the sum of all information obtained up to time t, i.e., the decision made at any time t is based on the filtration . presents the investment horizon of the pension. denotes the set of all R-valued measurable stochastic processes adapted to , where .
2.1. Demographic and Economic Formulation
This paper considers a target benefit pension system consisting of working-stage and retirement-stage participants. Let a, b, and be the entrance age, the retirement age, and the maximal survival age of the participants. It is noteworthy that most scholars in the literature generally assume the maximum survival age to be constant; however, here it is assumed to be a function of time, because the maximum survival age varies continuously with time t. As medical care and people’s living standards continue to improve, the problem of population aging is becoming more and more serious. In order to reflect the trend of population aging in the model, a modified version of the de Moivre function in Knell (2018) [31] is used as a survival function to study the impact of this phenomenon on the internal system of pensions.
where is the increase factor of the maximum survival age, and represents the adjustment coefficient of the survival function. In particular, when , the survival function is the original linear de Moivre survival function.
Let indicate the number of people newly enrolled in the pension scheme at time t. Then, the number of the cohort at x-year-old at time t is
The total number of members in the working and the retirement stages are as follows, respectively:
is the average annual salary of the newly retired, which increases at the rate of . Therefore, the average annual salary of a retiree at age at time t is . The average salary for a retirees aged x at time t is , denoted by .
The proportion of the pension to the average salary of the insured is an important standard to measure the pension management performance and reflects the degree of the replacement of the pension after retirement to the pre-retirement salary and the degree of the maintenance of consumption. Similar to Wang et al. (2018) [11], we suppose the annual benefit payment rate of a pension is a certain percentage of the average annual salary at the time of retirement, denoted . The annual payment rate of the pension for a retiree aged x at time t is
where represents the interest rate. The actual total cumulative benefit payment at time t is
denoted by ; then, .
It is assumed that is the total target retirement benefit at time 0, with the interest rate increasing. Therefore, the total target benefit at time t is .
Let be the instantaneous contribution rate of the working member at time 0, and the contribution rate increases exponentially with rate . Then, the total contribution rate of all working members is
denoted ; then, .
2.2. Financial Market
The price process of a risk-free asset is
The price process of a stock is
where represents the random rate of return of the stock, subject to the following process
where is the mean regression parameter, is the long-term mean of the variable , and and are the volatility index.
In the financial market, it is assumed that pension plan managers can only observe the stock price process and cannot directly observe the variable . Therefore, decisions made by managers must be adapted to , i.e., the filtering generated by the stock price process. Since does not adapt to , the plan manager lacks information about , which is called partial information.
Suppose that is the dollar amount invested in the stock at time t; then, represents the strategy adopted by the plan manager from time t to T. The dynamic process of pension fund is satisfied by
2.3. The Optimization Problem
The mean-variable utility model is used to study the optimal management of the TBP plan. This objective function maximizes the cumulative expected utility of the retirees’ benefits during the whole distribution period while ensuring the pension fund maximizes the total wealth and minimizes the investment risk at the final moment.
where is the risk avoidance parameter of the investment process, and is the preference factor, which is used to measure how much attention fund managers attach to pension returns. is the utility function of pension excess benefits. For writing purposes, we denote , .
3. Equilibrium Investment and Benefit Payment Adjustment Strategy
3.1. Filtration Problem
We define and as the conditional expectation and conditional variance of , respectively. According to Theorem 12.7 in Liptser and Shiryayev (2001) [38], there is
Let . We define the innovations process as
is a standard Brownian motion with respect to . Therefore, has a semi-martingale representation with respect to the filtration ,
We have
thus, the estimation process of the stock return rate is
The dynamic equations are given by
Using the Kalman filtering theory, the optimization Problem (2) is as follows:
3.2. Equilibrium Problem
According to the composition of optimization model (5), the following notation is defined
Therefore, the value function of the optimization problem (5) can be rewritten in the following form
Definition 1.
(Equilibrium strategy) For a strategy with any initial state , we define the following strategy
where . If
for all , where f is the objective function, then is called the equilibrium strategy, and the equilibrium value function is defined as
is once continuously differentiable on , and is twice continuously differentiable on }. For any , we define an operator as
Lemma 1.
Assume that the functions , , and satisfy the following system of equations
then, , , and .
Proof.
See Appendix A. □
Lemma 2.
If there exists a function that satisfies
where , , , , ,
and Lemma 1 holds for any strategy , then the equilibrium investment and benefit payment adjustment strategy is given by
and .
Proof.
See Appendix B. □
3.3. Solution to the Equilibrium Problem
According to Lemma 2 and the first-order optimality condition, the following equations are obtained
It can be obtained by further solving
where is the inverse function of f. It is assumed that the inverse exists. According to (6), we have ; thus,
Substituting the above partial derivatives into Lemma 2, we obtain
Inspired by Yang [26] and Kang [27], we assume that F, , and have the following forms
where
Therefore, can be written as
Inserting (19) and (21) into (18), we have
The equilibrium strategy satisfies
Substituting (19), (21), (22), and (23) into (9), (10), and (12), we obtain
Theorem 1.
The equilibrium strategy of the optimization problem (5) is
The equilibrium value function is
and the expected terminal wealth under the equilibrium strategy is
Remark 1.
Different optimal benefit payment adjustment strategies can be obtained by choosing different utility functions in the optimization problem (5).
(i) With a logarithmic utility function, i.e., , the optimal benefit payment strategy satisfies
(ii) With a power utility function, i.e., , the optimal benefit payment strategy becomes
(iii) With an exponential utility function, i.e., /η, the optimal benefit payment strategy can be obtained as
Remark 2.
(Complete Information Case) For the optimization problem with complete information, i.e., is completely observable, the equilibrium strategy is
The value function is
The expected terminal wealth under the equilibrium strategy is
where
Equation (27) represents the equilibrium strategy in the partial information case, where the expected stock returns are only partially observable. In contrast, Equation (28) represents the equilibrium strategy in the complete information case, where the expected stock returns are fully observable. This disparity in the observability of the expected stock returns has significant implications for decision making and portfolio optimization. In the complete information case, with the complete observability of the expected returns, investors have access to more accurate and reliable information. This enables them to make more informed investment decisions and construct optimal portfolios based on the precise estimations of future stock performance. However, in the partial information case where the expected stock returns are only partially observable, investors face uncertainty and must rely on imperfect information. This introduces challenges in estimating future returns and constructing optimal portfolios, as there is a higher level of ambiguity and risk involved.
4. Numerical Example
We study the influence of various factors on the equilibrium investment and benefit payment adjustment strategy. Similar to [11,23,24], we make the following assumptions.
- The time horizon T is set to 30 years.
- The age when the pension participants join the pension plan is 30, the retirement age is 65, the maximum survival age at time 0 is 95, and we have , , .
- Let the maximum survival age growth rate of the pension participants be 0.2 and adjust the survival function parameter . In the model set out in this paper, when the pension plan ends, the maximum survival age of the participant is 106 years old, which is within the reasonable maximum survival age range.
- The number of people newly enrolled in the pension scheme at time t is 20.
- The average annual salary of the newly retired at time 0 is 1, and the expected annual salary increase rate is 0.03.
- The target benefit of pension is 100, and the growth rate . The cost of living adjustment rate .
- The instantaneous payment rate at time 0 is set to 0.3, and the increase rate .
- The risk-free interest rate , the stock price volatility , and the values of the parameters related to the stock yield are , , , and .
- The risk avoidance parameter , and the preference factor .
4.1. Equilibrium Benefit Adjustment Strategy
This section shows the change in the payment adjustment strategy in the time interval, gives the influence relationship between the various parameters and , and provides a reasonable explanation.
Figure 1 shows the change in the equalization payment . As expected, increased with time. In addition, we added the track of the target payment as a reference in the figure, and we see that although the actual payment was slightly less than the target payment in the initial stage, the gap narrowed with the increase in the time, and the actual payment was able to reach the target payment in the later stage. This indicates that the equilibrium benefit adjustment strategy obtained in this paper can meet the requirements of the target benefit pension and provide stable retirement benefits for retired members.
Figure 1.
Comparison of the equilibrium benefit payment and the target benefit payment.
Figure 2 shows the influence of the preference factor on the payment adjustment strategy . When increases, the payment adjustment strategy increases. This is because represents the manager’s attention to the benefit. With the increase in , the manager is more inclined to realize the payment target.
Figure 2.
Effect of on .
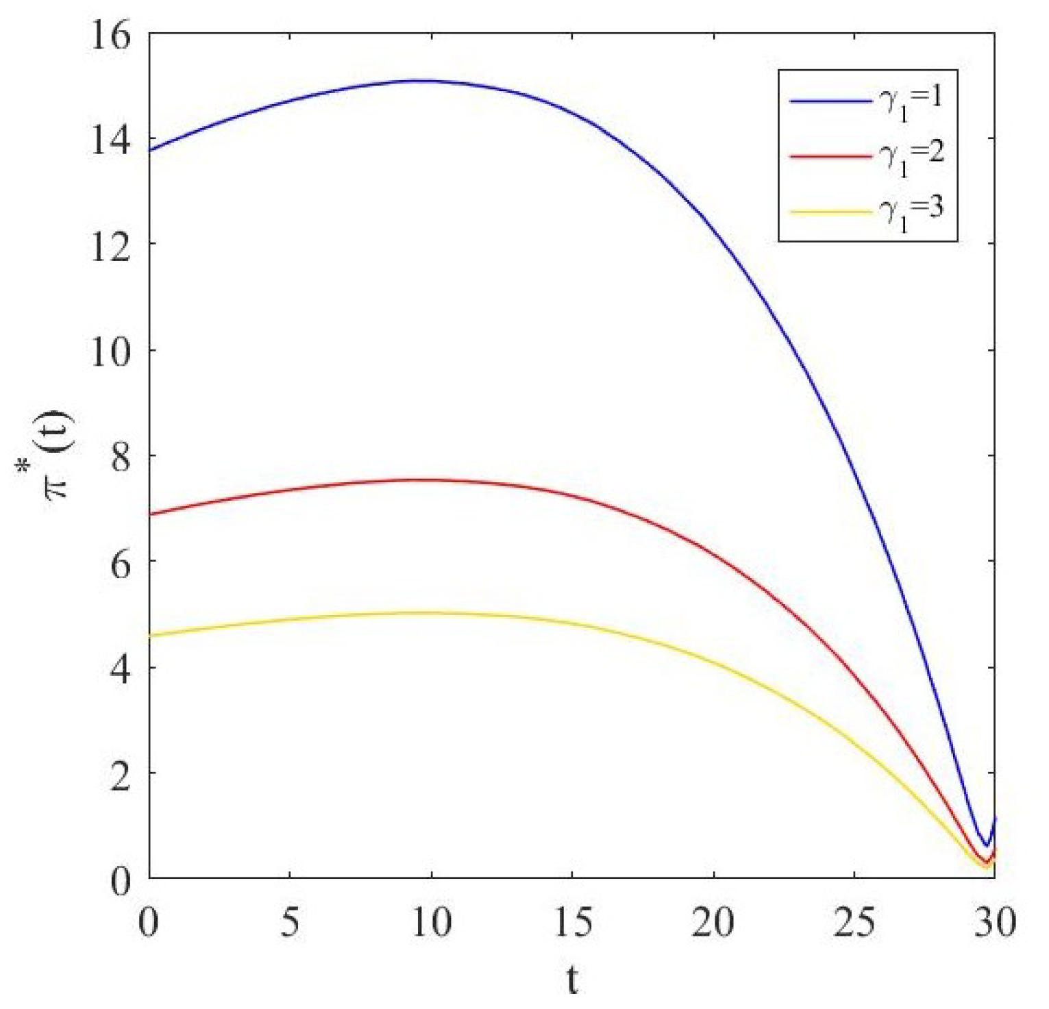
Figure 3 describes the trajectory of the equilibrium payment adjustment strategy under different risk aversion coefficients when the manager selects the exponential utility function. As can be seen from the figure, with the increase in , the manager chose a larger payment ratio, and the adjustment range was amaller, which was finally maintained around 0.197.
Figure 3.
Effect of on .
It can be seen from Figure 4 that the growth rate of the target payment was positively correlated with the equilibrium payment adjustment strategy . The explanation for this phenomenon is that increases with . At this time, the manager increases the current payment ratio in order to achieve the target benefit or keep the benefit stable.
Figure 4.
Effect of on .
Figure 5 shows the relationship between the adjustment rate and the equalization benefit adjustment strategy . As can be seen from the figure, with the increase in , the adjustment range of the payment ratio became smaller. The reason for this result is that when increases, the actual benefit of the plan participant increases accordingly. However, during this process, the target benefit set by the target benefit pension plan remains unchanged; so, the plan manager can easily achieve the target benefit without an excessive adjustment of the benefit ratio.
Figure 5.
Effect of on .
4.2. Equilibrium Investment Strategy
This section presents the relationship between the various parameters and the equilibrium investment strategy and provides a reasonable explanation.
Figure 6 shows the influence of the risk aversion factor on . Given the risk aversion parameter, , gradually decreased with time t. This is because over time, as pension funds accumulate wealth, investment in stocks gradually becomes unnecessary, and managers reduce their investment in stocks. In addition, it can be seen from Figure 6 that decreased with the increase in . When the risk aversion coefficient increases, it means that the model is more risk averse. At this time, the plan manager has a more conservative attitude towards risky assets, and she/he is more willing to buy risk-free assets, which leads to the corresponding decrease in .
Figure 6.
Effect of on .
Figure 7 describes the relationship between the volatility coefficient of the stock price and . Strategy decreases with the increase in . The increase in means that the risk of investing in stocks is greater, and managers tend to be more conservative at this time.
Figure 7.
Effect of on .
With the increase in , the amount of money invested in stocks decreased. The increase in means that the risk of investing in stocks is greater, and then managers tend to invest in a conservative way.
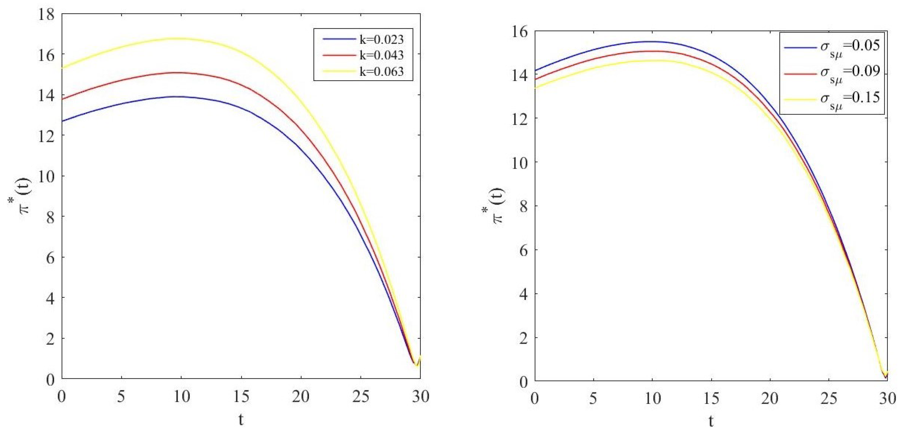
Figure 8 analyzes the influence of the parameters k and on . The figure shows that increased with k and decreased with . The greater the speed of the mean-reversion k, the stronger the predictability of the stock returns, and the lower the risk, the more managers understand the information of stock returns, and there is a corresponding increase in the stock investment funds. When is larger, the stock returns are more volatile, and the risk is greater; hence, the manager reduces the funds invested in the stock.
Figure 8.
Effects of k and on .
4.3. Influence of the Longevity Trend on the Equalization Benefit Adjustment Strategy
This section presents and compares the equalization payment adjustment strategies with and without the longevity trend.
We set the maximum survival age of the pension participants as a constant when disregarding the longevity trends. As can be seen from Figure 9, when the maximum survival age of the pension participants increased with time, that is, when there was a longevity trend, the equilibrium benefit adjustment strategy was lower than the equilibrium benefit adjustment strategy without considering the longevity trend, and with the growth of time, the difference in the equilibrium benefit adjustment strategy in the two cases gradually increased. For pension managers, the rise in the maximum survival age has put enormous pressure on the pension system. To ensure the stability and sustainability of the pension system, administrators reduce the adjustment of pension benefits , reducing benefits for retirees.
Figure 9.
The effect of the longevity trend on .
5. Conclusions
This paper studied the optimal investment and benefit adjustment of target benefit pension plans with longevity trends and partial information. The model in this paper assumes that there is longevity risk inside the pension system, and the fund account income risk is shared by different generations of insured persons. The mean-variance utility model was adopted to maximize the terminal wealth of the pension accounts, minimize the investment risk, and maximize the pension excess benefit.
To solve the partial information problems, we first used the Kalman filter theory to estimate the stock return rate that cannot be completely observed. Since the optimization objective adopted in this paper was time-inconsistent, it was similar to [26,27], and we used the thought of game theory to solve it to obtain the equilibrium investment and benefit adjustment payment strategy. In addition, we compared the equilibrium strategies in the partially measurable case and the fully measurable case and also gave the equilibrium payment adjustment strategies under different utility functions. Finally, we provided some numerical analysis to verify our theoretical results. The conclusion shows that our model results can provide stable and sufficient retirement benefits to the participants. With the effect of longevity risk, pension fund managers will ensure the asset stability of the fund account by reducing the benefit payment rate.
However, there were some limitations to this study. For instance, we did not consider inflation, which is a widespread economic variable. Future research can explore the optimal management of target benefit pension plans in further depth.
Author Contributions
Writing—original draft, N.L.; Writing—review & editing, W.L. and A.M. All authors have read and agreed to the published version of the manuscript.
Funding
This research was supported by the National Natural Science Foundation of China (Nos: 11961064).
Institutional Review Board Statement
Not applicable.
Informed Consent Statement
Not applicable.
Data Availability Statement
Not applicable.
Acknowledgments
The authors are very grateful to the editors and the anonymous referees for their constructive and valuable comments and suggestions, which led to the greatly improved version of our manuscript.
Conflicts of Interest
The authors declare no conflict of interest.
Appendix A
Proof.
To simplify the writing, we denote by . According to the Itô lemma, one has
Taking the conditional expectation for (A1), we have
Similarly, applying Itô lemma to yields
Taking the expectation for (A2), we have
Finally, letting , then , and substituting it into (11) yields
According to the Itô lemma, it further yields
Taking the expectation for (A3), it is straightforward that
thus,
□
Appendix B
Proof.
This proof process is divided into three steps. To simplify the writing, we denote
by .
Step 1. Applying the Itô lemma, we have
Using (9)–(11) further yields
Therefore,
We define
It follows from (13)–(16) that
Step 2. Applying the Itô lemma to yields
Since satisfies (12) for any arbitrary strategy , we have
Setting and into (A6) and using (A5) and (9)–(11),
Substituting (A4) into the above inequality, we obtain
Taking the expectation for the above inequality, conditional upon , leads to
Therefore,
Step 3. The last step proves that is an equilibrium strategy. Suppose the strategy satisfies the infimum in (12), one has
According to the derivation of (A8), we have
Taking the expectation for the above equality yields
Combining (A9) and (A11), we obtain
For any strategy defined by Definition 1, we have . Equations (A4), (A7), and (A11) yield
Taking the conditional expectation on the above inequality yields
Therefore,
It can be seen from the above equation that satisfies 1. Thus, is an equilibrium strategy, and
□
References
- Meramveliotakis, G. Understanding Money & Credit in Contemporary Capitalism: Back to the Future of Marx’s Theory of Fetishism and Alienation. Critique 2011, 50, 307–324. [Google Scholar]
- Hassel, A.; Naczyk, M.; Wiß, T. The political economy of pension financialisation: Public policy responses to the crisis. J. Eur. Public Policy 2019, 26, 483–500. [Google Scholar] [CrossRef]
- Niels, K. The ‘defined ambition’ pension plan: A dutch interpretation. Rotman Int. J. Pension Manag. 2013, 6, 6–11. [Google Scholar]
- Bovenberg, A.L.; Mehlkopf, R.; Nijman, T.E. The Promise of Defined Ambition Plans: Lessons for the United States: The Next 40 Years; Oxford University Press: Oxford, UK, 2016; pp. 215–246. [Google Scholar]
- Pugh, C.; Yermo, J. Funding regulations and risk sharing. In OECD Working Papers on Insurance and Private Pensions; OECD: Paris, France, 2008. [Google Scholar] [CrossRef]
- Turner, J.A. Hybrid pensions: Risk sharing arrangements for pension plan sponsors and participants. Soc. Actuar. 2014, 1–44. [Google Scholar]
- Canadian Institute of Actuaries. Report of the Task Force on Target Benefit Plans. 2015. Available online: https://www.cia-ica.ca/docs/default-source/2015/215043e.pdf (accessed on 18 July 2023).
- Munnell, A.H.; Sass, A.S. New Brunswick’s new shared risk pension plan. In State and Local Pension Plans Briefs; Center For Retirement Research: Boston, MA, USA, 2013; No. 33. [Google Scholar]
- Gollier, C. Intergenerational risk-sharing and risk-taking of a pension fund. J. Public Econ. 2008, 92, 1463–1485. [Google Scholar] [CrossRef]
- Cui, J.; De Jong, F.; Ponds, E. Intergenerational risk sharing within funded pension schemes. J. Pension Econ. Financ. 2011, 10, 1–29. [Google Scholar] [CrossRef]
- Wang, S.X.; Lu, Y.; Sanders, B. Optimal investment strategies and intergenerational risk sharing for target benefit pension plans. Insur. Math. Econ. 2018, 80, 1–14. [Google Scholar] [CrossRef]
- Wang, S.X.; Rong, X.M.; Zhao, H. Optimal investment and benefit payment strategy under loss aversion for target benefit pension plans. Appl. Math. Comput. 2019, 346, 205–218. [Google Scholar] [CrossRef]
- Zhao, H.; Wang, S. Optimal investment and benefit adjustment problem for a target benefit pension plan with Cobb-Douglas utility and Epstein-Zin recursive utility. Eur. J. Oper. Res. 2022, 301, 1166–1180. [Google Scholar] [CrossRef]
- Battocchio, P.; Menoncin, F. Optimal pension management in a stochastic framework. Insur. Math. Econ. 2004, 34, 79–95. [Google Scholar] [CrossRef]
- Cairns, A.J.G.; Blake, D.; Dowd, K. Stochastic lifestyling: Optimal dynamic asset allocation for defined contribution pension plans. J. Econ. Dyn. Control 2005, 30, 843–877. [Google Scholar] [CrossRef]
- Bordley, R.; LiCalzi, M. Decision Analysis Using Targets Instead of Utility Functions. Decis. Econ. Financ. 2000, 23, 53–74. [Google Scholar] [CrossRef]
- Vigna, E.; Haberman, S. Optimal Investment Strategy for Defined Contribution Pension Scheme. Insur. Math. Econ. 2001, 28, 233–262. [Google Scholar] [CrossRef]
- Li, D.P.; Rong, X.M.; Zhao, H. Time-Consistent Investment Strategy for DC Pension Plan with Stochastic Salary Under CEV Model. J. Syst. Sci. Complex. 2016, 29, 428–454. [Google Scholar] [CrossRef]
- Zhang, L.; Li, D.P.; Lai, Y.Z. Equilibrium investment strategy for a defined contribution pension plan under stochastic interest rate and stochastic volatility. J. Comput. Appl. Math. 2020, 368, 112536. [Google Scholar] [CrossRef]
- Markowitz, H. Portfolio selection. J. Financ. 1952, 7, 77–91. [Google Scholar]
- Basak, S.; Chabakauri, G. Dynamic mean—Variance asset allocation. Rev. Financ. Stud. 2010, 23, 2970–3016. [Google Scholar] [CrossRef]
- Bjo¨rk, T.; Murgoci, A. A General Theory of Markovian Time Inconsistent Stochastic Control Problems; Working Paper; Stockholm School of Economics: Stockholm, Sweden, 2010. [Google Scholar]
- Long, J.; Zeng, S. Equilibrium Time-Consistent Strategy for Corporate International Investment Problem with Mean-Variance Criterion. Math. Probl. Eng. 2016, 2016, 3295041.1–3295041.20. [Google Scholar] [CrossRef]
- Guan, G. Equilibrium and Precommitment Mean-Variance Portfolio Selection Problem with Partially Observed Price Index and Multiple Assets. Methodol. Comput. Appl. Probab. 2020, 22, 1–23. [Google Scholar] [CrossRef]
- Kronborg, M.T.; Steffensen, M. Inconsistent investment and consumption problems. Appl. Math. Optim. 2015, 71, 473–515. [Google Scholar] [CrossRef]
- Yang, B.Z.; He, X.J.; Zhu, S.P. Continuous time mean–variance–utility portfolio problem and its equilibrium strategy. Optimization 2021, 71, 4213–4241. [Google Scholar] [CrossRef]
- Kang, J.; Wang, M.; Huang, N. Equilibrium strategy for mean–variance–utility portfolio selection under Heston’s SV model. J. Comput. Appl. Math. 2021, 392, 113490. [Google Scholar] [CrossRef]
- Wong, T.W.; Chiu, M.C.; Wong, H.Y. Time-consistent mean-variance hedging of longevity risk: Effect of cointegration. Insur. Math. Econ. 2014, 56, 56–67. [Google Scholar] [CrossRef]
- Kwok, K.Y.; Chiu, M.C.; Wong, H.Y. Demand for longevity securities under relative performance concerns: Stochastic differential games with cointegration. Insur. Math. Econ. 2016, 71, 353–366. [Google Scholar] [CrossRef]
- Strulik, H.; Vollmer, S. Long-run trends of human aging and longevity. J. Popul. Econ. 2013, 26, 1303–1323. [Google Scholar] [CrossRef]
- Knell, M. Increasing life expectancy and NDC pension systems. J. Pension Econ. Financ. 2018, 17, 1–30. [Google Scholar] [CrossRef]
- Devolder, P.; Melis, R. Optimal mix between pay as you go and funding for pension liabilities in a stochastic framework. Astin Bull. 2015, 45, 551–575. [Google Scholar] [CrossRef]
- Fu, K.; Rong, X.; Zhao, H. Optimal investment problem for a hybrid pension with intergenerational risk-sharing and longevity trend under model uncertainty. Working Paper, Tianjin University. arXiv 2023, arXiv:2302.02351. [Google Scholar]
- Fama, E.F.; French, K.R. Permanent and temporary components of stock prices. J. Political Econ. 1988, 96, 246–273. [Google Scholar] [CrossRef]
- Boudoukh, J.; Michaely, R.; Richardson, M.; Roberts, M.R. On the implications of measuring payout yield: Implications for empirical asset pricing. J. Financ. 2007, 62, 877–915. [Google Scholar] [CrossRef]
- Wang, P.; Shen, Y.; Zhang, L.; Kang, Y. Equilibrium investment strategy for a DC pension plan with learning about stock return predictability. Insur. Math. Econ. 2021, 100, 384–407. [Google Scholar] [CrossRef]
- Wang, P.; Zhang, L.; Li, Z. Asset allocation for a DC pention plan with learning about stock return predictability. J. Ind. Manag. Optim. 2022, 18, 3847–3877. [Google Scholar] [CrossRef]
- Liptser, R.S.; Shiryayev, A.N. Statistics of Random Processes, II-Applications; Springer: Berlin/Heidelberg, Germany; New York, NY, USA, 2001. [Google Scholar]
Disclaimer/Publisher’s Note: The statements, opinions and data contained in all publications are solely those of the individual author(s) and contributor(s) and not of MDPI and/or the editor(s). MDPI and/or the editor(s) disclaim responsibility for any injury to people or property resulting from any ideas, methods, instructions or products referred to in the content. |
© 2023 by the authors. Licensee MDPI, Basel, Switzerland. This article is an open access article distributed under the terms and conditions of the Creative Commons Attribution (CC BY) license (https://creativecommons.org/licenses/by/4.0/).








