Abstract
The objective of this paper is to introduce an iterative method with the addition of an inertial term to solve equilibrium problems in a real Hilbert space. The proposed iterative scheme is based on the Mann-type iterative scheme and the extragradient method. By imposing certain mild conditions on a bifunction, the corresponding theorem of strong convergence in real Hilbert space is well-established. The proposed method has the advantage of requiring no knowledge of Lipschitz-type constants. The applications of our results to solve particular classes of equilibrium problems is presented. Numerical results are established to validate the proposed method’s efficiency and to compare it to other methods in the literature.
Keywords:
equilibrium problem; pseudomonotone bifunction; Lipschitz-type conditions; strong convergence theorems; variational inequality problems; fixed-point problem MSC:
47H05; 47H10; 65Y05; 65K15
1. Introduction
Suppose that is a nonempty closed and convex subset of a real Hilbert space The inner product and induced norm are denoted by and , respectively. Let be a bifunction and for all The equilibrium problem (EP) [1,2] for a bifunction f on is defined in the following way:
The equilibrium problem is a general mathematical problem in the sense that it unifies various mathematical problems, i.e., fixed-point problems, vector and scalar minimization problems, problems of variational inequality, complementarity problems, Nash equilibrium problems in noncooperative games, saddle point problems, and inverse optimization problems [2,3,4]. The equilibrium problem is also known as the well-known Ky Fan inequality due to the result [1]. Many authors established and generalized several results on the existence and nature of the solution of the equilibrium problems (see for more detail [1,4,5]). Due to the importance of this problem (EP) in both pure and applied sciences, many researchers studied it in recent years [6,7,8,9,10,11,12,13,14,15,16,17] and other in [18,19,20,21,22].
Tran et al. in [23] introduced iterative sequence in the following way:
where This method is also known as the extragradient method in [23] due to the previous contribution of Korpelevich [24] to solve the saddle-point problems. The iterative sequence generated by the above-mentioned method is weakly convergent to the solution with prior knowledge of Lipschitz-type constants. These Lipschitz-like constants are often not known or are difficult to compute. Recently, Hieu et al. [25] introduced an extension of the method (1) for solving the equilibrium problem. Let us consider that and choose with such that
where is updated in the following manner:
Inertial-like methods are well-known two-step iterative methods in which the next iteration is derived from the previous two iterations (see [26,27] for more details). To speed up the iterative sequence convergence rate, an inertial extrapolation term is used. Numerical examples show that inertial effects improve numerical performance in terms of execution time and the expected number of iterations. Recently, many existing methods were established for the case of equilibrium problems (see [28,29,30,31] for more details).
In this paper, inspired by the methods in [23,25,26,32], we introduce a general inertial Mann-type subgradient extragradient method to evaluate the approximate solution of the equilibrium problems involving pseudomonotone bifunction. A strong convergence result corresponding to the proposed algorithm is well-established by assuming certain mild conditions. Some of the applications for our main results are considered to solve the fixed-point problems. Lastly, computational results show that the new method is more successful than existing ones [23,33,34].
2. Preliminaries
A metric projection of onto a closed and convex subset of is defined by
In this study, the equilibrium problem under the following conditions:
- (c1).
- A bifunction is said to be pseudomonotone [3,35] on if
- (c2).
- A bifunction is said to be Lipschitz-type continuous [36] on if there exist constants such that
- (c3).
- for all and satisfy
- (c4).
- is convex and subdifferentiable on for each
A cone on at is defined by
Let a convex function and subdifferential of ℸ at is defined by
Lemma 1.
[37] Let be a subdifferentiable, lower semicontinuous, and convex function on . Then, is said to be a minimizer of ℸ if and only if , where stands for the subdifferential of ℸ at and is a normal cone of on
Lemma 2.
[38] Assume that be a metric projection such that
- (i)
- (ii)
- if and only if
- (iii)
Lemma 3.
[39] Assume that is a sequence satisfying, i.e., Moreover, let and be two sequences, such that Then,
Lemma 4.
[40] Assume that be a sequence of real numbers such that there exists a subsequence of such that for all Then, there is a nondecreasing sequence such that as and the following conditions are fullfiled by all (sufficiently large) numbers :
In fact,
Lemma 5.
[41] For all and the following inequalities hold.
- (i)
- (ii)
- .
3. Main Results
We propose an iterative method for solving equilibrium problems involving a pseudomonotone that is based on Tran et al. in [23], and the Mann-type method [32] and the inertial scheme [26]. For clarity in the presentation, we use notation and follow conventions and
Lemma 6.
A sequence generated by (5) is monotonically decreasing, converges to , and has a lower bound
Proof.
Assume that such that
This implies that has a lower bound Moreover, there exists a fixed real number , such that ☐
Lemma 7.
Suppose that Conditions (c1)–(c4) are satisfied. Then, sequence generated by the Algorithm 1 is a bounded sequence.
| Algorithm 1 (Explicit Accelerated Strong Convergence Iterative Scheme) |
|
Proof.
From the value of we have
For there exists such that
This implies that
Due to , it implies that for each Thus, we have
Moreover, and owing to the subdifferential, we have
Due to the definition of , we have
Now, using , we obtain
By letting , we obtain
By substituting in Expression (8), we obtain
Since , we have From the pseudomonotonicity of bifunction f, we achieve It follows from Expression (12) that
From the description of we obtain
We have the given formula in place:
Since then there is number that
Thus, there exists a finite number , such that
From Expression (19), we obtain
From Expression (4), we have for all and implies that
It is given that and by definition of , we have
Next, we compute
The above expression implies that
Therefore, we conclude that is bounded sequence. ☐
Theorem 1.
Let be a sequence generated by Algorithm 1, and Conditions (c1)–(c4) are satisfied. Then, strongly converges to
Proof.
By using definition of we have
From Expression (26), we have
From Expression (23), we have
for some Substituting (33) into (32), we obtain
for some It is given that and by using Lemma 2 (ii) ( is a convex and closed set ([23,34])), we obtain
The remainder of the proof shall be taken into account in the following two parts:
Case 1: Assume that there is a fixed number () such as
It implies that exists, and due to (34), we obtain
Due to the existence of , and , we infer that
We can calculate that
It follows that
The term is referred to above that
Thus, this implies that and are bounded. The reflexivity of and the boundedness of guarantee that there is a subsequence , such that as Next, our aim to prove that Using (8), due to and (11), we write
while y is an any arbitrary member in It continues from (38) and (39) that the right-hand side approaches to zero. From Condition (c3) and , we have
The following is that ; thus It continues from that
Due to , we can deduce that
Next, consider the following value
Substituting , we have
where Consider that
Next, consider that
for some Combining Expressions (46), (48), and (49), we obtain
Case 2: Assume there is a subsequence of that
Using Lemma 4, there is a sequence, such as
Similar to Case 1, Relation (37) gives that
Due to and , we deduce the following:
It continues on from that
We use the same reasoning as that in Case 1:
It implies that
The above implies that
As a result, This completes the proof of the theorem. ☐
By letting , we obtain a strong convergence of the result in [25].
Corollary 1.
Let be a bifunction satisfying Conditions (c1)–(c4). Choosing , and satisfies the following conditions:
Let be a sequence that is generated in the following manner:
where and The step size is updated in the following way:
Then, sequence converges strongly to
4. Applications to Solve Fixed-Point Problems
We propose our results to focus on fixed-point problems regarding -strict pseudocontraction mapping. The fixed-point problem (FPP) for is defined in the following manner:
We assume that the following conditions were met:
- (c1*)
- A mapping is said to be κ-strict pseudocontraction [42] on if
- (c2*)
- A mapping that is weakly sequentially continuous on if
If we consider that mapping is weakly continuous and a -strict pseudocontraction, then satisfies the conditions (c1)–(c4) (see [43]) and The values of and in Algorithm 1 can be written as follows:
Corollary 2.
Suppose is a nonempty, convex, and closed subset of a Hilbert space and is weakly continuous and κ-strict pseudocontraction with solution set Let , , and fulfill the items, i.e., Moreover, choose satisfying such that
where , i.e., Assume that is the sequence generated in the following manner:
where Compute
Then, strongly converges to
Corollary 3.
Suppose to be a convex and closed subset of a Hilbert space and is weakly continuous and κ-strict pseudocontraction with solution set Let , and fulfills the requirement, i.e., Assume that is the sequence formed as follows:
where Compute
Then, sequence converges strongly to
5. Applications to Solve Variational-Inequality Problems
Next, we consider the application of our results in the problem of classical variational inequalities [44,45]. The variational-inequality problem (VIP) for an operator is stated in the following manner:
We assume that the following conditions were met:
- (1)
- The solution set of problem (VIP) denoted by is nonempty.
- (2)
- An operator is said to be pseudomonotone if
- (3)
- An operator is said to be Lipschitz continuous through , such that
- (4)
- for all and satisfy
If we define for all Then, problem (EP) becomes the problem of variational inequalities described above where From the above value of the bifunction f, we have
Corollary 4.
Suppose that is a function satisfying the assumptions (1)–(4). Let , , and satisfies the items, i.e., Moreover, choose satisfying , such that
where , i.e., Assume that is the sequence generated in the following manner:
where Compute
Then, sequences converge strongly to
Corollary 5.
Suppose that is a function meeting conditions (1)–(4). Let , and satisfies the conditions, i.e., Assume that is the sequence generated in the following manner:
where
Compute
Then, sequences converge strongly to
Remark 1.
Condition (4) could be exempted when is monotone. Indeed, this condition, which is a particular case of Condition (c3), is only used to prove (43). Without Condition (4), inequality (42) can be obtained by imposing monotonocity on . In that case,
By allowing in (42), we have
Let , for every By using the convexity of set , for every Since and for every , we have
Therefore, Since as and due to continuity, we have for each which provides
Remark 2.
From Remark 1, it can be concluded that Corollaries 4 and 5 still hold, even if we remove Condition (4) in the case of monotone operators.
6. Numerical Illustrations
Numerical results are presented in this section to demonstrate the efficiency of our proposed method. The MATLAB codes were run in MATLAB version 9.5 (R2018b) on an Intel(R) Core(TM)i5-6200 CPU PC @ 2.30 GHz 2.40 GHz, RAM 4.00 GB.
Example 1.
Let there be m companies that manufacture the same product. Assume vector u of each item represents the quantity of the material produced by a company i. We consider that cost function P to be a declining affine function that relies on , i.e., where The formula for profit of every company i is taken as where is the tax value and cost for developing item Moreover, consider that is the set of actions related to each company and the plan to figure out the model as In addition, each member wants to achieve its peak turnover by a good level of production on the basis that the performance of other firms is an input parameter. The commonly used modelling methodology is based on the famous Nash equilibrium principle. A point is the level of equilibrium of the model if
wile is obtain from by letting with Furthermore, we consider while An equilibrium level of the model is defined by
Bifunction f converts into the following form (see [23]):
where and P, Q matrices of order Matrix P is positive semidefinite, and matrix is negative semidefinite with Lipschitz-type constants (see [23]) for details. are taken randomly. (Two diagonal matrices randomly and take elements from and respectively. Randomly and orthogonal matrices are generated. Then, a positive semidefinite matrix and a negative semidefinite matrix are achieved. Lastly, set and ). The constraint set be defined by
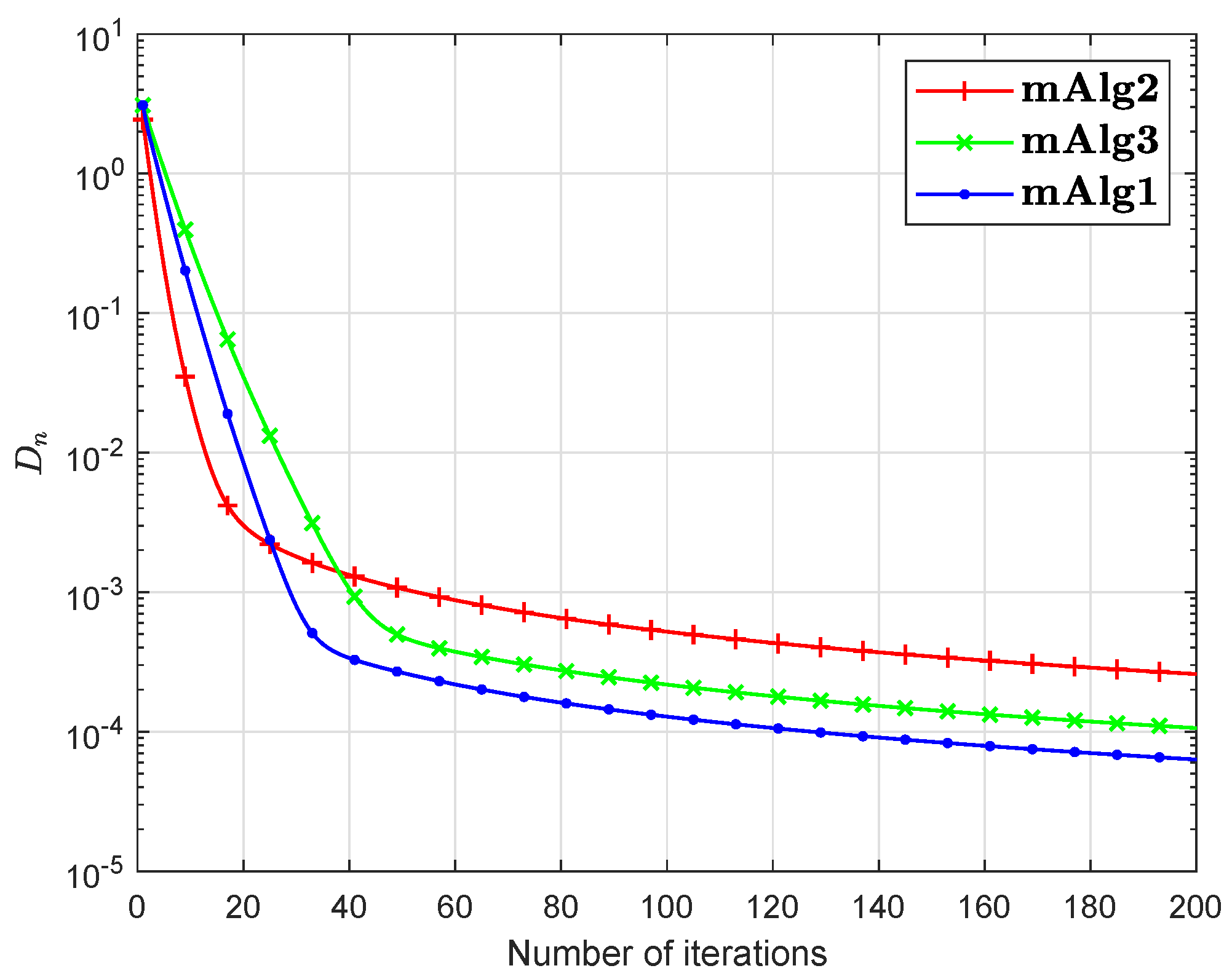
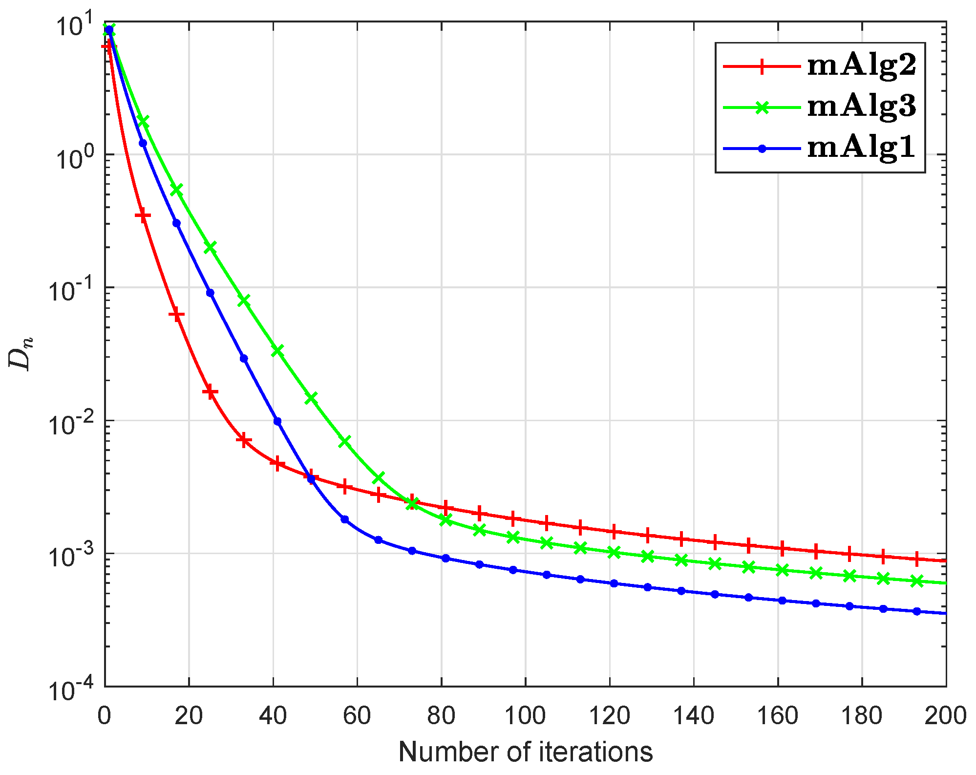
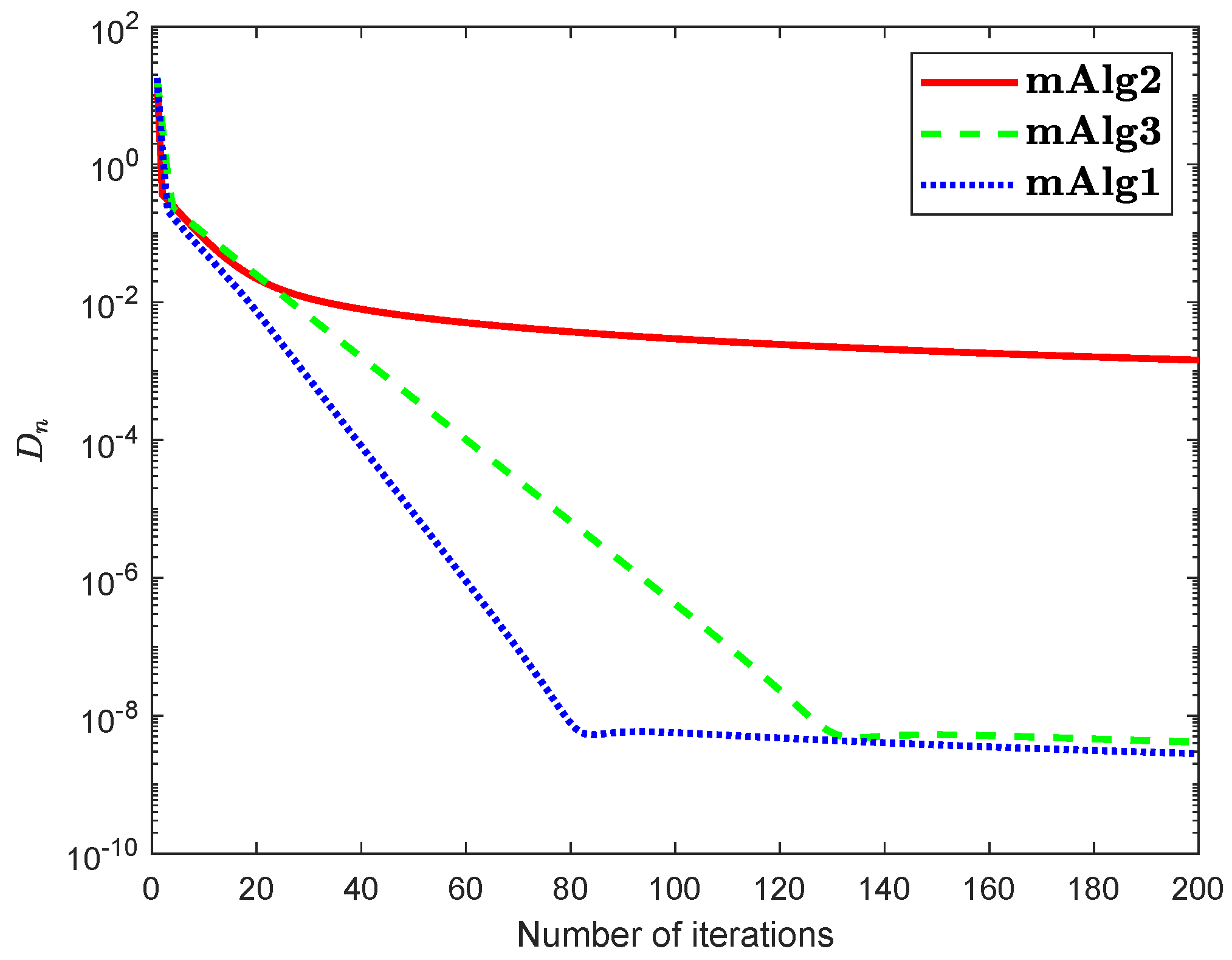
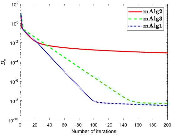
Numerical explanations for the first 200 iterations of three methods are considered in Figure 1, Figure 2, Figure 3, Figure 4, Figure 5 and Figure 6 and Table 1 by letting initial points . For Algorithm 3.2 (mAlg2) in [34]: and ; For Algorithm (mAlg3) in (60): , , , ; For Algorithm 1 (mAlg1): , , , , and .
Figure 1.
Algorithm 1 compared to Algorithm (60) and Algorithm 3.2 in [34] for .
Figure 2.
Algorithm 1 compared to Algorithm (60) and Algorithm 3.2 in [34] for .
Figure 3.
Algorithm 1 compared to Algorithm (60) and Algorithm 3.2 in [34] for .
Figure 4.
Algorithm 1 compared to Algorithm (60) and Algorithm 3.2 in [34] for .
Figure 5.
Algorithm 1 compared to Algorithm (60) and Algorithm 3.2 in [34] for .
Figure 6.
Algorithm 1 compared to Algorithm (60) and Algorithm 3.2 in [34] for .
Example 2.
Assume that set is defined by
Let us define an operator , such that
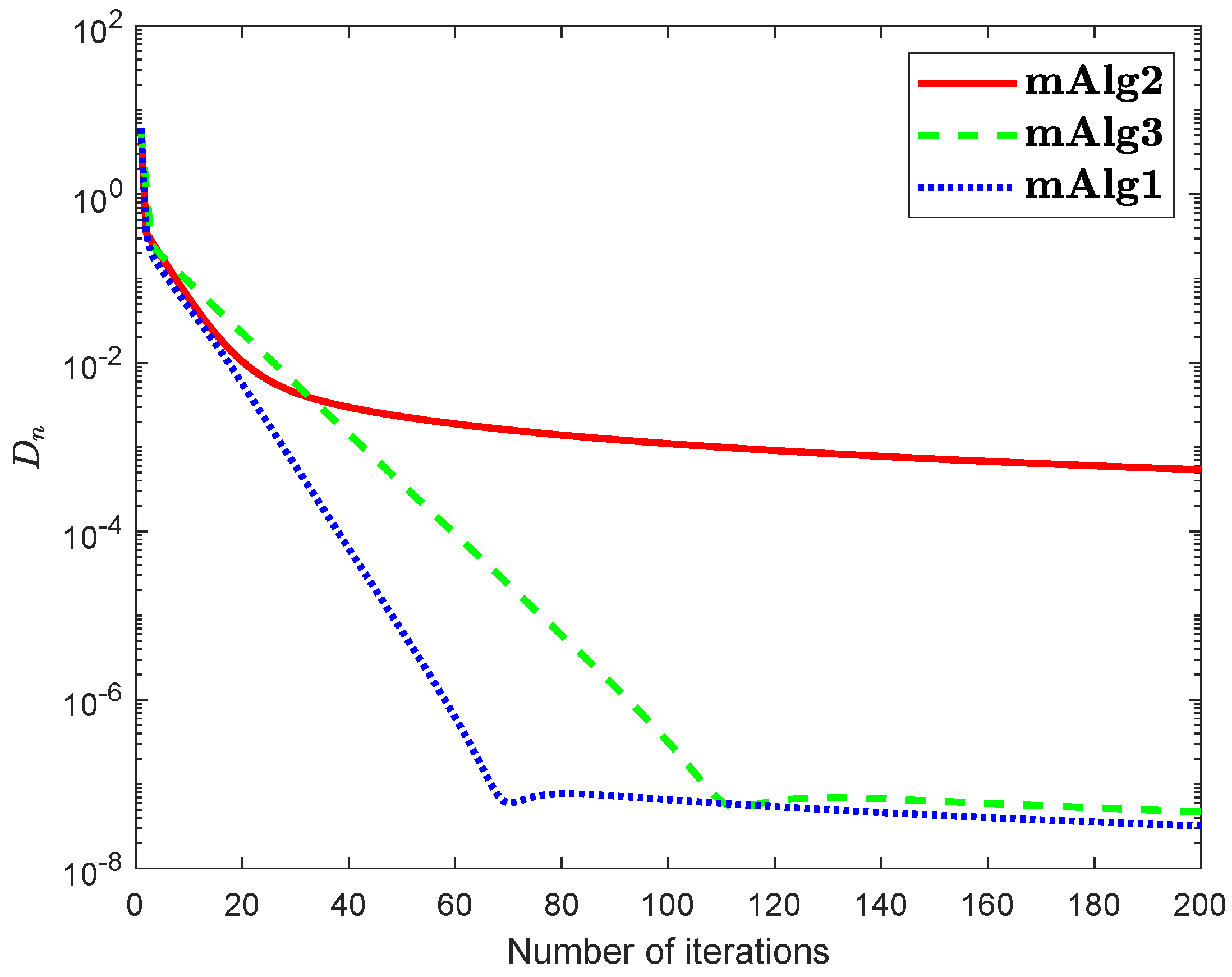
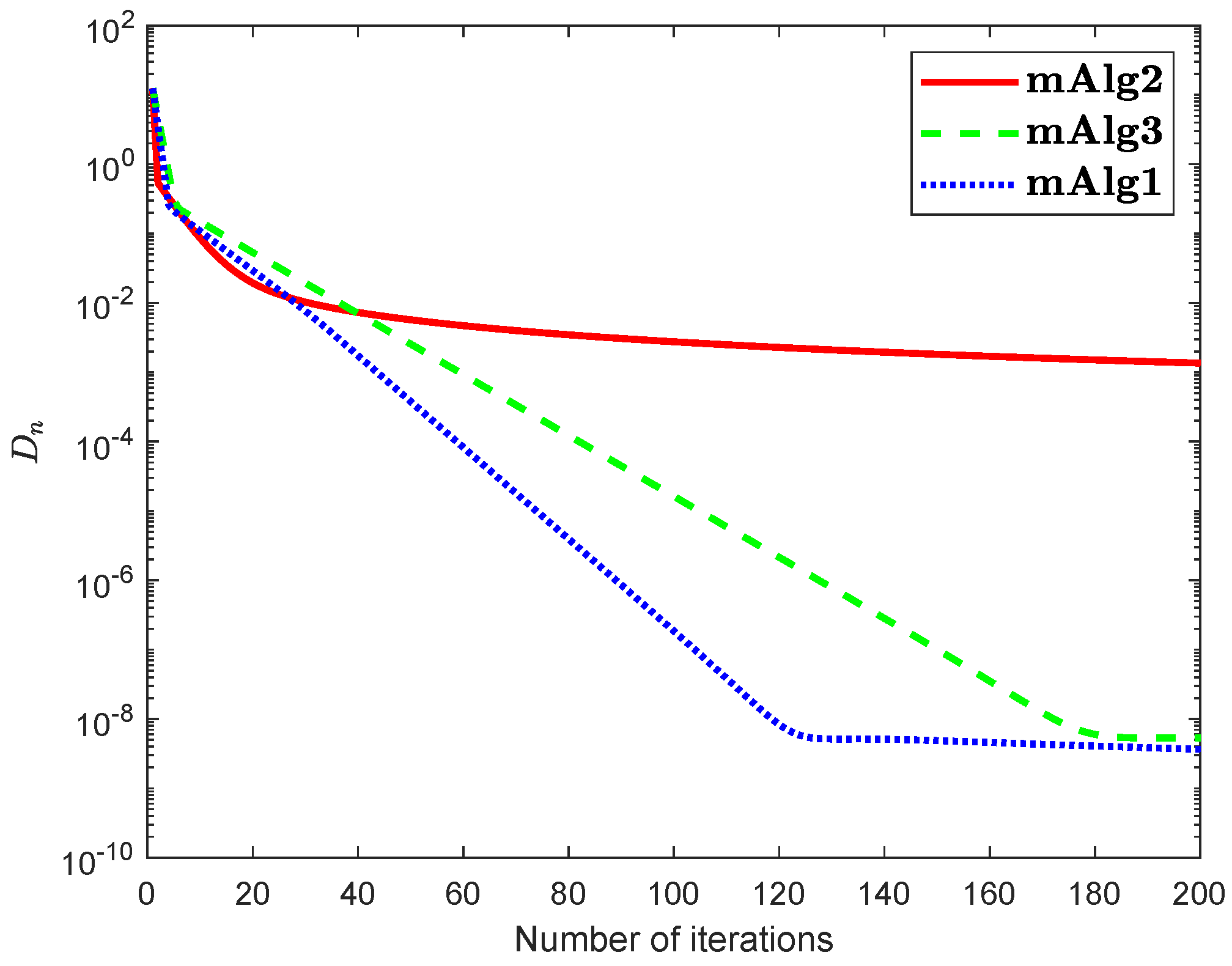
where and In the above is a Hilbert space with inner product and induced norm is Numerical explanations for the first 200 iterations of three methods are considered in Figure 7, Figure 8, Figure 9 and Figure 10 by letting initial points . For Algorithm 3.2 (mAlg2) in [34]: and ; For Algorithm (mAlg3) in (60): , , , ; For Algorithm 1 (mAlg1): , , , , and .
Figure 7.
Algorithm 1 compared to Algorithm (60) and Algorithm 3.2 in [34] for .
Figure 8.
Algorithm 1 compared to Algorithm (60) and Algorithm 3.2 in [34] for .
Figure 9.
Algorithm 1 compared to Algorithm (60) and Algorithm 3.2 in [34] for .
Figure 10.
Algorithm 1 compared to Algorithm (60) and Algorithm 3.2 in [34] for .
7. Conclusions
We studied a Mann-type extragradient-like scheme for determining the numerical solution of equilibrium problem involving pseudomonotone function and also prove a strong convergent theorem. Computational conclusions were established to illustrate the computational performance of our algorithms relative to other approaches. Such computational experiments showed that the inertial effect increases the efficacy of the iterative method in this sense.
Author Contributions
Formal analysis, C.K.; funding acquisition, N.P. (Nuttapol Pakkaranang), N.P. (Nattawut Pholasa) and C.K.; investigation, N.W., N.P. (Nuttapol Pakkaranang) and C.K.; methodology, C.K.; project administration, C.K., N.P. (Nattawut Pholasa) and C.K.; resources, N.P. (Nattawut Pholasa) and C.K.; software, N.P. (Nuttapol Pakkaranang); supervision, N.P. (Nattawut Pholasa); Writing—original draft, N.W. and N.P. (Nuttapol Pakkaranang); Writing—review and editing, N.P. (Nuttapol Pakkaranang). All authors have read and agreed to the published version of the manuscript.
Funding
The APC was funded by University of Phayao.
Institutional Review Board Statement
Not applicable.
Informed Consent Statement
Not applicable.
Acknowledgments
Chainarong Khanpanuk would like to thank Phetchabun Rajabhat University. Nattawut Pholasa was financial supported by University of Phayao.
Conflicts of Interest
The authors declare no conflict of interest.
References
- Fan, K. A Minimax Inequality and Applications, Inequalities III; Shisha, O., Ed.; Academic Press: New York, NY, USA, 1972. [Google Scholar]
- Muu, L.; Oettli, W. Convergence of an adaptive penalty scheme for finding constrained equilibria. Nonlinear Anal. Theory Methods Appl. 1992, 18, 1159–1166. [Google Scholar] [CrossRef]
- Blum, E. From optimization and variational inequalities to equilibrium problems. Math. Stud. 1994, 63, 123–145. [Google Scholar]
- Bigi, G.; Castellani, M.; Pappalardo, M.; Passacantando, M. Existence and solution methods for equilibria. Eur. J. Oper. Res. 2013, 227, 1–11. [Google Scholar] [CrossRef]
- Antipin, A. Equilibrium programming: Proximal methods. Comput. Math. Math. Phys. 1997, 37, 1285–1296. [Google Scholar]
- Giannessi, F.; Maugeri, A.; Pardalos, P.M. Equilibrium Problems: Nonsmooth Optimization and Variational Inequality Models; Kluwer Academic Publisher: Dordrecht, The Netherlands, 2006; Volume 58. [Google Scholar]
- Dafermos, S. Traffic Equilibrium and Variational Inequalities. Transp. Sci. 1980, 14, 42–54. [Google Scholar] [CrossRef]
- ur Rehman, H.; Kumam, P.; Cho, Y.J.; Yordsorn, P. Weak convergence of explicit extragradient algorithms for solving equilibirum problems. J. Inequalities Appl. 2019, 2019. [Google Scholar] [CrossRef]
- Ur Rehman, H.; Pakkaranang, N.; Kumam, P.; Cho, Y.J. Modified subgradient extragradient method for a family of pseudomonotone equilibrium problems in real a Hilbert space. J. Nonlinear Convex Anal. 2020, 21, 2011–2025. [Google Scholar]
- Ur Rehman, H.; Kumam, P.; Dong, Q.L.; Cho, Y.J. A modified self-adaptive extragradient method for pseudomonotone equilibrium problem in a real Hilbert space with applications. Math. Methods Appl. Sci. 2020, 44, 3527–3547. [Google Scholar] [CrossRef]
- Ur Rehman, H.; Kumam, P.; Sitthithakerngkiet, K. Viscosity-type method for solving pseudomonotone equilibrium problems in a real Hilbert space with applications. AIMS Math. 2021, 6, 1538–1560. [Google Scholar] [CrossRef]
- Ur Rehman, H.; Kumam, P.; Gibali, A.; Kumam, W. Convergence analysis of a general inertial projection-type method for solving pseudomonotone equilibrium problems with applications. J. Inequalities Appl. 2021, 2021. [Google Scholar] [CrossRef]
- Rehman, H.U.; Kumam, P.; Dong, Q.L.; Peng, Y.; Deebani, W. A new Popov’s subgradient extragradient method for two classes of equilibrium programming in a real Hilbert space. Optimization 2020, 1–36. [Google Scholar] [CrossRef]
- Ur Rehman, H.; Kumam, P.; Shutaywi, M.; Alreshidi, N.A.; Kumam, W. Inertial Optimization Based Two-Step Methods for Solving Equilibrium Problems with Applications in Variational Inequality Problems and Growth Control Equilibrium Models. Energies 2020, 13, 3292. [Google Scholar] [CrossRef]
- Ferris, M.C.; Pang, J.S. Engineering and Economic Applications of Complementarity Problems. Siam Rev. 1997, 39, 669–713. [Google Scholar] [CrossRef]
- Ur Rehman, H.; Kumam, P.; Cho, Y.J.; Suleiman, Y.I.; Kumam, W. Modified Popov’s explicit iterative algorithms for solving pseudomonotone equilibrium problems. Optim. Methods Softw. 2020, 36, 82–113. [Google Scholar] [CrossRef]
- Ur Rehman, H.; Kumam, P.; Abubakar, A.B.; Cho, Y.J. The extragradient algorithm with inertial effects extended to equilibrium problems. Comput. Appl. Math. 2020, 39. [Google Scholar] [CrossRef]
- Ur Rehman, H.; Pakkaranang, N.; Hussain, A.; Wairojjana, N. A modified extra-gradient method for a family of strongly pseudomonotone equilibrium problems in real Hilbert spaces. J. Math. Comput. Sci. 2020, 22, 38–48. [Google Scholar] [CrossRef]
- Wairojjana, N.; ur Rehman, H.; Argyros, I.K.; Pakkaranang, N. An Accelerated Extragradient Method for Solving Pseudomonotone Equilibrium Problems with Applications. Axioms 2020, 9, 99. [Google Scholar] [CrossRef]
- Wairojjana, N.; ur Rehman, H.; la Sen, M.D.; Pakkaranang, N. A General Inertial Projection-Type Algorithm for Solving Equilibrium Problem in Hilbert Spaces with Applications in Fixed-Point Problems. Axioms 2020, 9, 101. [Google Scholar] [CrossRef]
- Wairojjana, N.; Pakkaranang, N.; Ur Rehman, H.; Pholasa, N.; Khanpanuk, T. Strong Convergence of Extragradient-Type Method to Solve Pseudomonotone Variational Inequalities Problems. Axioms 2020, 9, 115. [Google Scholar] [CrossRef]
- Wairojjana, N.; Younis, M.; Ur Rehman, H.; Pakkaranang, N.; Pholasa, N. Modified Viscosity Subgradient Extragradient-Like Algorithms for Solving Monotone Variational Inequalities Problems. Axioms 2020, 9, 118. [Google Scholar] [CrossRef]
- Tran, D.Q.; Dung, M.L.; Nguyen, V.H. Extragradient algorithms extended to equilibrium problems. Optimization 2008, 57, 749–776. [Google Scholar] [CrossRef]
- Korpelevich, G. The extragradient method for finding saddle points and other problems. Matecon 1976, 12, 747–756. [Google Scholar]
- Hieu, D.V.; Quy, P.K.; Vy, L.V. Explicit iterative algorithms for solving equilibrium problems. Calcolo 2019, 56. [Google Scholar] [CrossRef]
- Polyak, B. Some methods of speeding up the convergence of iteration methods. USSR Comput. Math. Math. Phys. 1964, 4, 1–17. [Google Scholar] [CrossRef]
- Beck, A.; Teboulle, M. A Fast Iterative Shrinkage-Thresholding Algorithm for Linear Inverse Problems. SIAM J. Imaging Sci. 2009, 2, 183–202. [Google Scholar] [CrossRef]
- Hung, P.G.; Muu, L.D. The Tikhonov regularization extended to equilibrium problems involving pseudomonotone bifunctions. Nonlinear Anal. Theory Methods Appl. 2011, 74, 6121–6129. [Google Scholar] [CrossRef]
- Konnov, I. Application of the Proximal Point Method to Nonmonotone Equilibrium Problems. J. Optim. Theory Appl. 2003, 119, 317–333. [Google Scholar] [CrossRef]
- Moudafi, A. Proximal point algorithm extended to equilibrium problems. J. Nat. Geom. 1999, 15, 91–100. [Google Scholar]
- Oliveira, P.; Santos, P.; Silva, A. A Tikhonov-type regularization for equilibrium problems in Hilbert spaces. J. Math. Anal. Appl. 2013, 401, 336–342. [Google Scholar] [CrossRef]
- Mann, W.R. Mean value methods in iteration. Proc. Am. Math. Soc. 1953, 4, 506. [Google Scholar] [CrossRef]
- Censor, Y.; Gibali, A.; Reich, S. The Subgradient Extragradient Method for Solving Variational Inequalities in Hilbert Space. J. Optim. Theory Appl. 2010, 148, 318–335. [Google Scholar] [CrossRef]
- Hieu, D.V. Halpern subgradient extragradient method extended to equilibrium problems. Rev. Real Acad. Cienc. Exactas FÍSicas Nat. Ser. Matemíticas 2016, 111, 823–840. [Google Scholar] [CrossRef]
- Bianchi, M.; Schaible, S. Generalized monotone bifunctions and equilibrium problems. J. Optim. Theory Appl. 1996, 90, 31–43. [Google Scholar] [CrossRef]
- Mastroeni, G. On Auxiliary Principle for Equilibrium Problems. In Nonconvex Optimization and Its Applications; Springer: New York, NY, USA, 2003; pp. 289–298. [Google Scholar] [CrossRef]
- Tiel, J.V. Convex Analysis: An Introductory Text, 1st ed.; Wiley: New York, NY, USA, 1984. [Google Scholar]
- Kreyszig, E. Introductory Functional Analysis with Applications, 1st ed.; Wiley: New York, NY, USA, 1989. [Google Scholar]
- Xu, H.K. Another control condition in an iterative method for nonexpansive mappings. Bull. Aust. Math. Soc. 2002, 65, 109–113. [Google Scholar] [CrossRef]
- Maingé, P.E. Strong Convergence of Projected Subgradient Methods for Nonsmooth and Nonstrictly Convex Minimization. Set Valued Anal. 2008, 16, 899–912. [Google Scholar] [CrossRef]
- Bauschke, H.H.; Combettes, P.L. Convex Analysis and Monotone Operator Theory in Hilbert Spaces, 2nd ed.; CMS Books in Mathematics; Springer International Publishing: New York, NY, USA, 2017. [Google Scholar]
- Browder, F.; Petryshyn, W. Construction of fixed points of nonlinear mappings in Hilbert space. J. Math. Anal. Appl. 1967, 20, 197–228. [Google Scholar] [CrossRef]
- Wang, S.; Zhang, Y.; Ping, P.; Cho, Y.; Guo, H. New extragradient methods with non-convex combination for pseudomonotone equilibrium problems with applications in Hilbert spaces. Filomat 2019, 33, 1677–1693. [Google Scholar] [CrossRef]
- Stampacchia, G. Formes bilinéaires coercitives sur les ensembles convexes. Comptes Rendus Hebd. Seances Acad. Sci. 1964, 258, 4413. [Google Scholar]
- Konnov, I.V. On systems of variational inequalities. Russ. Math. C/C Izv. Vyss. Uchebnye Zaved. Mat. 1997, 41, 77–86. [Google Scholar]
Publisher’s Note: MDPI stays neutral with regard to jurisdictional claims in published maps and institutional affiliations. |
© 2021 by the authors. Licensee MDPI, Basel, Switzerland. This article is an open access article distributed under the terms and conditions of the Creative Commons Attribution (CC BY) license (https://creativecommons.org/licenses/by/4.0/).









