Sign in to use this feature.

Years

Between: -

Subjects

remove_circle_outline
remove_circle_outline
remove_circle_outline
remove_circle_outline
remove_circle_outline
remove_circle_outline

Journals

Article Types

Countries / Regions

Search Results (21)

Search Parameters:
Keywords = pseudomonotone bifunction

Order results
Result details
Results per page
Select all
Export citation of selected articles as:
13 pages, 258 KB  
Article
Proximal Point Methods for Solving Equilibrium Problems in Hadamard Spaces
by Behzad Djafari Rouhani and Vahid Mohebbi
Axioms 2025, 14(2), 127; https://doi.org/10.3390/axioms14020127 - 10 Feb 2025
Viewed by 1041
Abstract
We investigate the Δ-convergence and strong convergence of a sequence generated by the proximal point method for pseudo-monotone equilibrium problems in Hadamard spaces. First, we show the Δ-convergence of the generated sequence to a solution of the equilibrium problem. Next, we [...] Read more.
We investigate the Δ-convergence and strong convergence of a sequence generated by the proximal point method for pseudo-monotone equilibrium problems in Hadamard spaces. First, we show the Δ-convergence of the generated sequence to a solution of the equilibrium problem. Next, we prove the strong convergence of the generated sequence with some additional conditions imposed on the bifunction. Finally, we prove the strong convergence of the generated sequence, by using Halpern’s regularization method, without any additional condition. Full article
22 pages, 764 KB  
Article
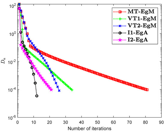
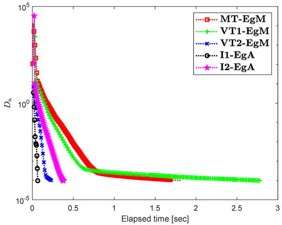
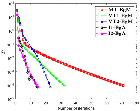
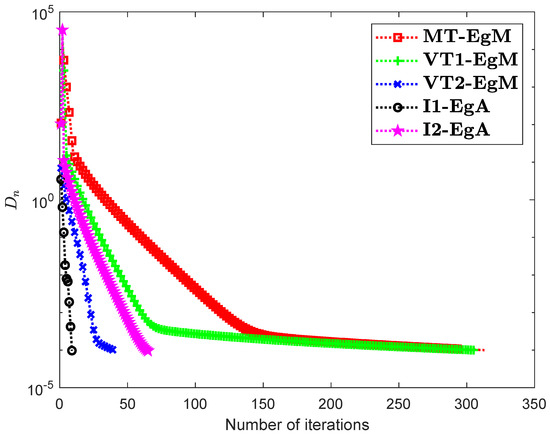
An Inertial Subgradient Extragradient Method for Efficiently Solving Fixed-Point and Equilibrium Problems in Infinite Families of Demimetric Mappings
by Habib ur Rehman, Fouzia Amir, Jehad Alzabut and Mohammad Athar Azim
Mathematics 2025, 13(1), 20; https://doi.org/10.3390/math13010020 - 25 Dec 2024
Viewed by 983
Abstract
The primary objective of this article is to enhance the convergence rate of the extragradient method through the careful selection of inertial parameters and the design of a self-adaptive stepsize scheme. We propose an improved version of the extragradient method for approximating a [...] Read more.
The primary objective of this article is to enhance the convergence rate of the extragradient method through the careful selection of inertial parameters and the design of a self-adaptive stepsize scheme. We propose an improved version of the extragradient method for approximating a common solution to pseudomonotone equilibrium and fixed-point problems that involve an infinite family of demimetric mappings in real Hilbert spaces. We establish that the iterative sequences generated by our proposed algorithms converge strongly under suitable conditions. These results substantiate the effectiveness of our approach in achieving convergence, marking a significant advancement in the extragradient method. Furthermore, we present several numerical tests to illustrate the practical efficiency of the proposed method, comparing these results with those from established methods to demonstrate the improved convergence rates and solution accuracy achieved through our approach. Full article
(This article belongs to the Special Issue Applied Functional Analysis and Applications: 2nd Edition)
Show Figures

Figure 1

27 pages, 398 KB  
Article
Mann-Type Inertial Accelerated Subgradient Extragradient Algorithm for Minimum-Norm Solution of Split Equilibrium Problems Induced by Fixed Point Problems in Hilbert Spaces
by Manatchanok Khonchaliew, Kunlanan Khamdam and Narin Petrot
Symmetry 2024, 16(9), 1099; https://doi.org/10.3390/sym16091099 - 23 Aug 2024
Cited by 3 | Viewed by 1945
Abstract
This paper presents the Mann-type inertial accelerated subgradient extragradient algorithm with non-monotonic step sizes for solving the split equilibrium and fixed point problems relating to pseudomonotone and Lipschitz-type continuous bifunctions and nonexpansive mappings in the framework of real Hilbert spaces. By sufficient conditions [...] Read more.
This paper presents the Mann-type inertial accelerated subgradient extragradient algorithm with non-monotonic step sizes for solving the split equilibrium and fixed point problems relating to pseudomonotone and Lipschitz-type continuous bifunctions and nonexpansive mappings in the framework of real Hilbert spaces. By sufficient conditions on the control sequences of the parameters of concern, the strong convergence theorem to support the proposed algorithm, which involves neither prior knowledge of the Lipschitz constants of bifunctions nor the operator norm of the bounded linear operator, is demonstrated. Some numerical experiments are performed to show the efficacy of the proposed algorithm. Full article
(This article belongs to the Section Mathematics)
18 pages, 392 KB  
Article
Method for Approximating Solutions to Equilibrium Problems and Fixed-Point Problems without Some Condition Using Extragradient Algorithm
by Anchalee Sripattanet and Atid Kangtunyakarn
Axioms 2024, 13(8), 525; https://doi.org/10.3390/axioms13080525 - 2 Aug 2024
Viewed by 1133
Abstract
The objective of this research is to present a novel approach to enhance the extragradient algorithm’s efficiency for finding an element within a set of fixed points of nonexpansive mapping and the set of solutions for equilibrium problems. Specifically, we focus on applications [...] Read more.
The objective of this research is to present a novel approach to enhance the extragradient algorithm’s efficiency for finding an element within a set of fixed points of nonexpansive mapping and the set of solutions for equilibrium problems. Specifically, we focus on applications involving a pseudomonotone, Lipschitz-type continuous bifunction. Our main contribution lies in establishing a strong convergence theorem for this method, without relying on the assumption of limnxn+1xn=0. Moreover, the main theorem can be applied to effectively solve the combination of variational inequality problem (CVIP). In support of our main result, numerical examples are also presented. Full article
(This article belongs to the Section Mathematical Analysis)
Show Figures

Figure 1

21 pages, 399 KB  
Article
Subgradient Extra-Gradient Algorithm for Pseudomonotone Equilibrium Problems and Fixed-Point Problems of Bregman Relatively Nonexpansive Mappings
by Roushanak Lotfikar, Gholamreza Zamani Eskandani, Jong-Kyu Kim and Michael Th. Rassias
Mathematics 2023, 11(23), 4821; https://doi.org/10.3390/math11234821 - 29 Nov 2023
Cited by 3 | Viewed by 1490
Abstract
In this article, we introduce a new subgradient extra-gradient algorithm to find the common element of a set of fixed points of a Bregman relatively nonexpansive mapping and the solution set of an equilibrium problem involving a Pseudomonotone and Bregman–Lipschitz-type bifunction in reflexive [...] Read more.
In this article, we introduce a new subgradient extra-gradient algorithm to find the common element of a set of fixed points of a Bregman relatively nonexpansive mapping and the solution set of an equilibrium problem involving a Pseudomonotone and Bregman–Lipschitz-type bifunction in reflexive Banach spaces. The advantage of the algorithm is that it is run without prior knowledge of the Bregman–Lipschitz coefficients. Finally, two numerical experiments are reported to illustrate the efficiency of the proposed algorithm. Full article
(This article belongs to the Special Issue Recent Trends in Convex Analysis and Mathematical Inequalities)
Show Figures

Figure 1

29 pages, 940 KB  
Article
Inertial Modification Using Self-Adaptive Subgradient Extragradient Techniques for Equilibrium Programming Applied to Variational Inequalities and Fixed-Point Problems
by Habib ur Rehman, Wiyada Kumam and Kamonrat Sombut
Mathematics 2022, 10(10), 1751; https://doi.org/10.3390/math10101751 - 20 May 2022
Cited by 10 | Viewed by 2062
Abstract
Equilibrium problems are articulated in a variety of mathematical computing applications, including minimax and numerical programming, saddle-point problems, fixed-point problems, and variational inequalities. In this paper, we introduce improved iterative techniques for evaluating the numerical solution of an equilibrium problem in a Hilbert [...] Read more.
Equilibrium problems are articulated in a variety of mathematical computing applications, including minimax and numerical programming, saddle-point problems, fixed-point problems, and variational inequalities. In this paper, we introduce improved iterative techniques for evaluating the numerical solution of an equilibrium problem in a Hilbert space with a pseudomonotone and a Lipschitz-type bifunction. These techniques are based on two computing steps of a proximal-like mapping with inertial terms. We investigated two simplified stepsize rules that do not require a line search, allowing the technique to be carried out more successfully without knowledge of the Lipschitz-type constant of the cost bifunction. Once control parameter constraints are put in place, the iterative sequences converge on a particular solution to the problem. We prove strong convergence theorems without knowing the Lipschitz-type bifunction constants. A sequence of numerical tests was performed, and the results confirmed the correctness and speedy convergence of the new techniques over the traditional ones. Full article
(This article belongs to the Special Issue Applied Functional Analysis and Applications)
Show Figures

Figure 1

22 pages, 540 KB  
Article
On Strengthened Extragradient Methods Non-Convex Combination with Adaptive Step Sizes Rule for Equilibrium Problems
by Meshal Shutaywi, Wiyada Kumam, Habib ur Rehman and Kamonrat Sombut
Symmetry 2022, 14(5), 1045; https://doi.org/10.3390/sym14051045 - 19 May 2022
Viewed by 2236
Abstract
Symmetries play a vital role in the study of physical phenomena in diverse areas such as dynamic systems, optimization, physics, scientific computing, engineering, mathematical biology, chemistry, and medicine, to mention a few. These phenomena specialize mostly in solving equilibria-like problems in abstract spaces. [...] Read more.
Symmetries play a vital role in the study of physical phenomena in diverse areas such as dynamic systems, optimization, physics, scientific computing, engineering, mathematical biology, chemistry, and medicine, to mention a few. These phenomena specialize mostly in solving equilibria-like problems in abstract spaces. Motivated by these facts, this research provides two innovative modifying extragradient strategies for solving pseudomonotone equilibria problems in real Hilbert space with the Lipschitz-like bifunction constraint. Such strategies make use of multiple step-size concepts that are modified after each iteration and are reliant on prior iterations. The excellence of these strategies comes from the fact that they were developed with no prior knowledge of Lipschitz-type parameters or any line search strategy. Mild assumptions are required to prove strong convergence theorems for proposed strategies. Various numerical tests have been reported to demonstrate the numerical behavior of the techniques and then contrast them with others. Full article
(This article belongs to the Section Mathematics)
Show Figures

Figure 1

18 pages, 317 KB  
Article
Inertial Extragradient Methods for Solving Split Equilibrium Problems
by Suthep Suantai, Narin Petrot and Manatchanok Khonchaliew
Mathematics 2021, 9(16), 1884; https://doi.org/10.3390/math9161884 - 8 Aug 2021
Cited by 6 | Viewed by 2148
Abstract
This paper presents two inertial extragradient algorithms for finding a solution of split pseudomonotone equilibrium problems in the setting of real Hilbert spaces. The weak and strong convergence theorems of the introduced algorithms are presented under some constraint qualifications of the scalar sequences. [...] Read more.
This paper presents two inertial extragradient algorithms for finding a solution of split pseudomonotone equilibrium problems in the setting of real Hilbert spaces. The weak and strong convergence theorems of the introduced algorithms are presented under some constraint qualifications of the scalar sequences. The discussions on the numerical experiments are also provided to demonstrate the effectiveness of the proposed algorithms. Full article
(This article belongs to the Special Issue Nonlinear Problems and Applications of Fixed Point Theory)
20 pages, 503 KB  
Article
Approximations of an Equilibrium Problem without Prior Knowledge of Lipschitz Constants in Hilbert Spaces with Applications
by Chainarong Khanpanuk, Nuttapol Pakkaranang, Nopparat Wairojjana and Nattawut Pholasa
Axioms 2021, 10(2), 76; https://doi.org/10.3390/axioms10020076 - 27 Apr 2021
Cited by 1 | Viewed by 2243
Abstract
The objective of this paper is to introduce an iterative method with the addition of an inertial term to solve equilibrium problems in a real Hilbert space. The proposed iterative scheme is based on the Mann-type iterative scheme and the extragradient method. By [...] Read more.
The objective of this paper is to introduce an iterative method with the addition of an inertial term to solve equilibrium problems in a real Hilbert space. The proposed iterative scheme is based on the Mann-type iterative scheme and the extragradient method. By imposing certain mild conditions on a bifunction, the corresponding theorem of strong convergence in real Hilbert space is well-established. The proposed method has the advantage of requiring no knowledge of Lipschitz-type constants. The applications of our results to solve particular classes of equilibrium problems is presented. Numerical results are established to validate the proposed method’s efficiency and to compare it to other methods in the literature. Full article
(This article belongs to the Special Issue Numerical Analysis and Computational Mathematics)
Show Figures

Figure 1

24 pages, 423 KB  
Article
A Parallel Hybrid Bregman Subgradient Extragradient Method for a System of Pseudomonotone Equilibrium and Fixed Point Problems
by Annel Thembinkosi Bokodisa, Lateef Olakunle Jolaoso and Maggie Aphane
Symmetry 2021, 13(2), 216; https://doi.org/10.3390/sym13020216 - 28 Jan 2021
Cited by 4 | Viewed by 2229
Abstract
We introduce a new parallel hybrid subgradient extragradient method for solving the system of the pseudomonotone equilibrium problem and common fixed point problem in real reflexive Banach spaces. The algorithm is designed such that its convergence does not require prior estimation of the [...] Read more.
We introduce a new parallel hybrid subgradient extragradient method for solving the system of the pseudomonotone equilibrium problem and common fixed point problem in real reflexive Banach spaces. The algorithm is designed such that its convergence does not require prior estimation of the Lipschitz-like constants of the finite bifunctions underlying the equilibrium problems. Moreover, a strong convergence result is proven without imposing strong conditions on the control sequences. We further provide some numerical experiments to illustrate the performance of the proposed algorithm and compare with some existing methods. Full article
Show Figures

Figure 1

27 pages, 1167 KB  
Article
Approximation Results for Variational Inequalities Involving Pseudomonotone Bifunction in Real Hilbert Spaces
by Kanikar Muangchoo, Nasser Aedh Alreshidi and Ioannis K. Argyros
Symmetry 2021, 13(2), 182; https://doi.org/10.3390/sym13020182 - 23 Jan 2021
Cited by 5 | Viewed by 2540
Abstract
In this paper, we introduce two novel extragradient-like methods to solve variational inequalities in a real Hilbert space. The variational inequality problem is a general mathematical problem in the sense that it unifies several mathematical models, such as optimization problems, Nash equilibrium models, [...] Read more.
In this paper, we introduce two novel extragradient-like methods to solve variational inequalities in a real Hilbert space. The variational inequality problem is a general mathematical problem in the sense that it unifies several mathematical models, such as optimization problems, Nash equilibrium models, fixed point problems, and saddle point problems. The designed methods are analogous to the two-step extragradient method that is used to solve variational inequality problems in real Hilbert spaces that have been previously established. The proposed iterative methods use a specific type of step size rule based on local operator information rather than its Lipschitz constant or any other line search procedure. Under mild conditions, such as the Lipschitz continuity and monotonicity of a bi-function (including pseudo-monotonicity), strong convergence results of the described methods are established. Finally, we provide many numerical experiments to demonstrate the performance and superiority of the designed methods. Full article
(This article belongs to the Section Mathematics)
Show Figures

Figure 1

20 pages, 1222 KB  
Article
Approximation Results for Equilibrium Problems Involving Strongly Pseudomonotone Bifunction in Real Hilbert Spaces
by Wiyada Kumam and Kanikar Muangchoo
Axioms 2020, 9(4), 137; https://doi.org/10.3390/axioms9040137 - 26 Nov 2020
Viewed by 2298
Abstract
A plethora of applications in non-linear analysis, including minimax problems, mathematical programming, the fixed-point problems, saddle-point problems, penalization and complementary problems, may be framed as a problem of equilibrium. Most of the methods used to solve equilibrium problems involve iterative methods, which is [...] Read more.
A plethora of applications in non-linear analysis, including minimax problems, mathematical programming, the fixed-point problems, saddle-point problems, penalization and complementary problems, may be framed as a problem of equilibrium. Most of the methods used to solve equilibrium problems involve iterative methods, which is why the aim of this article is to establish a new iterative method by incorporating an inertial term with a subgradient extragradient method to solve the problem of equilibrium, which includes a bifunction that is strongly pseudomonotone and meets the Lipschitz-type condition in a real Hilbert space. Under certain mild conditions, a strong convergence theorem is proved, and a required sequence is generated without the information of the Lipschitz-type cost bifunction constants. Thus, the method operates with the help of a slow-converging step size sequence. In numerical analysis, we consider various equilibrium test problems to validate our proposed results. Full article
(This article belongs to the Special Issue Numerical Analysis and Computational Mathematics)
Show Figures

Figure 1

21 pages, 1771 KB  
Article
Inertial Iterative Self-Adaptive Step Size Extragradient-Like Method for Solving Equilibrium Problems in Real Hilbert Space with Applications
by Wiyada Kumam and Kanikar Muangchoo
Axioms 2020, 9(4), 127; https://doi.org/10.3390/axioms9040127 - 31 Oct 2020
Cited by 1 | Viewed by 2222
Abstract
A number of applications from mathematical programmings, such as minimization problems, variational inequality problems and fixed point problems, can be written as equilibrium problems. Most of the schemes being used to solve this problem involve iterative methods, and for that reason, in this [...] Read more.
A number of applications from mathematical programmings, such as minimization problems, variational inequality problems and fixed point problems, can be written as equilibrium problems. Most of the schemes being used to solve this problem involve iterative methods, and for that reason, in this paper, we introduce a modified iterative method to solve equilibrium problems in real Hilbert space. This method can be seen as a modification of the paper titled “A new two-step proximal algorithm of solving the problem of equilibrium programming” by Lyashko et al. (Optimization and its applications in control and data sciences, Springer book pp. 315–325, 2016). A weak convergence result has been proven by considering the mild conditions on the cost bifunction. We have given the application of our results to solve variational inequality problems. A detailed numerical study on the Nash–Cournot electricity equilibrium model and other test problems is considered to verify the convergence result and its performance. Full article
(This article belongs to the Special Issue Numerical Analysis and Computational Mathematics)
Show Figures

Figure 1

24 pages, 1384 KB  
Article
A General Inertial Projection-Type Algorithm for Solving Equilibrium Problem in Hilbert Spaces with Applications in Fixed-Point Problems
by Nopparat Wairojjana, Habib ur Rehman, Manuel De la Sen and Nuttapol Pakkaranang
Axioms 2020, 9(3), 101; https://doi.org/10.3390/axioms9030101 - 31 Aug 2020
Cited by 13 | Viewed by 3677
Abstract
A plethora of applications from mathematical programming, such as minimax, and mathematical programming, penalization, fixed point to mention a few can be framed as equilibrium problems. Most of the techniques for solving such problems involve iterative methods that is why, in this paper, [...] Read more.
A plethora of applications from mathematical programming, such as minimax, and mathematical programming, penalization, fixed point to mention a few can be framed as equilibrium problems. Most of the techniques for solving such problems involve iterative methods that is why, in this paper, we introduced a new extragradient-like method to solve equilibrium problems in real Hilbert spaces with a Lipschitz-type condition on a bifunction. The advantage of a method is a variable stepsize formula that is updated on each iteration based on the previous iterations. The method also operates without the previous information of the Lipschitz-type constants. The weak convergence of the method is established by taking mild conditions on a bifunction. For application, fixed-point theorems that involve strict pseudocontraction and results for pseudomonotone variational inequalities are studied. We have reported various numerical results to show the numerical behaviour of the proposed method and correlate it with existing ones. Full article
(This article belongs to the Special Issue Fixed Point Theory and Its Related Topics II)
Show Figures

Figure 1

18 pages, 345 KB  
Article
An Accelerated Extragradient Method for Solving Pseudomonotone Equilibrium Problems with Applications
by Nopparat Wairojjana, Habib ur Rehman, Ioannis K. Argyros and Nuttapol Pakkaranang
Axioms 2020, 9(3), 99; https://doi.org/10.3390/axioms9030099 - 17 Aug 2020
Cited by 8 | Viewed by 3882
Abstract
Several methods have been put forward to solve equilibrium problems, in which the two-step extragradient method is very useful and significant. In this article, we propose a new extragradient-like method to evaluate the numerical solution of the pseudomonotone equilibrium in real Hilbert space. [...] Read more.
Several methods have been put forward to solve equilibrium problems, in which the two-step extragradient method is very useful and significant. In this article, we propose a new extragradient-like method to evaluate the numerical solution of the pseudomonotone equilibrium in real Hilbert space. This method uses a non-monotonically stepsize technique based on local bifunction values and Lipschitz-type constants. Furthermore, we establish the weak convergence theorem for the suggested method and provide the applications of our results. Finally, several experimental results are reported to see the performance of the proposed method. Full article
(This article belongs to the Special Issue Iterative Processes for Nonlinear Problems with Applications)
Show Figures

Figure 1

Back to TopTop