Inversion of TEM Responses in Tunnel with Steel Infrastructure and Its Application
Abstract
1. Introduction
2. Methods
2.1. Forward and Inversion Theory
2.2. Data Pre-Processing Methods
2.2.1. Correction Factor Method
2.2.2. Prior Information Constraint Method
3. Field Data Application
3.1. Geological Setting
3.2. Interference Analysis
3.3. Data Acquisition
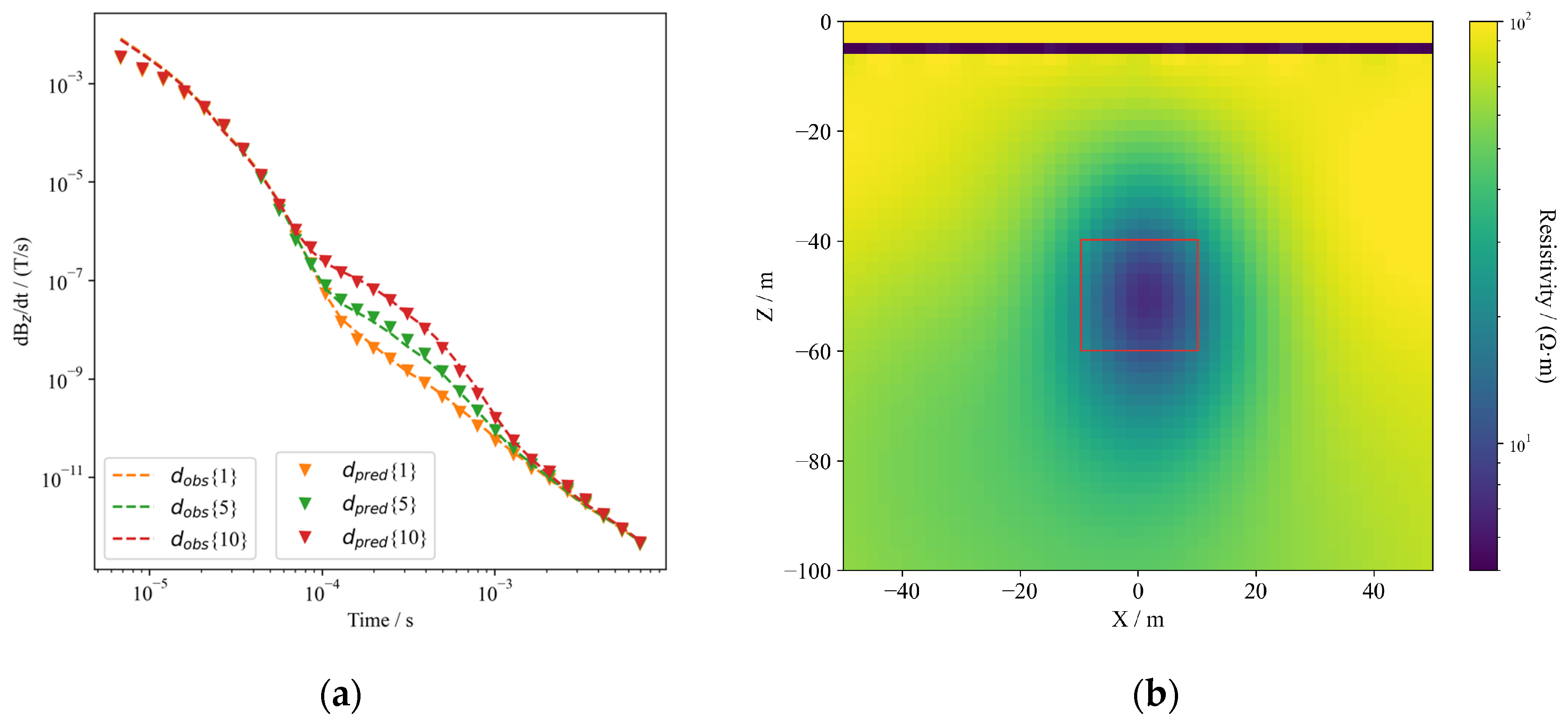
4. Results and Discussion
5. Conclusions
Author Contributions
Funding
Data Availability Statement
Conflicts of Interest
References
- Fountain, D.; Smith, R.; Payne, T.; Limieux, J. A helicopter time-domain EM system applied to mineral exploration: System and data. First Break 2005, 23. [Google Scholar] [CrossRef]
- Yang, D.; Oldenburg, D.W. Three-dimensional inversion of airborne time-domain electromagnetic data with applications to a porphyry deposit. Geophysics 2012, 77, B23–B34. [Google Scholar] [CrossRef]
- Fitterman, D.V.; Stewart, M.T. Transient electromagnetic sounding for groundwater. Geophysics 1986, 51, 995–1005. [Google Scholar] [CrossRef]
- Chang, J.H.; Su, B.Y.; Malekian, R.; Xing, X.J. Detection of Water-Filled Mining Goaf Using Mining Transient Electromagnetic Method. IEEE Trans. Ind. Inform. 2020, 16, 2977–2984. [Google Scholar] [CrossRef]
- Danielsen, J.E.; Auken, E.; Jørgensen, F.; Søndergaard, V.; Sørensen, K.I. The application of the transient electromagnetic method in hydrogeophysical surveys. J. Appl. Geophys. 2003, 53, 181–198. [Google Scholar] [CrossRef]
- Kafri, U.; Goldman, M. The use of the time domain electromagnetic method to delineate saline groundwater in granular and carbonate aquifers and to evaluate their porosity. J. Appl. Geophys. 2005, 57, 167–178. [Google Scholar] [CrossRef]
- McNeill, J.D.; Edwards, R.N.; Levy, G.M. Approximate calculations of the transient electromagnetic response from buried conductors in a conductivity half-space. Geophysics 1984, 49, 918–924. [Google Scholar] [CrossRef]
- Raiche, A.P.; Gallagher, R.G. Apparent resistivity and diffusion velocity. Geophysics 1985, 50, 1628–1633. [Google Scholar] [CrossRef]
- Holladay, J.S.; West, G.F. Effect of well casings on surface electrical surveys. Geophysics 1984, 49, 177–188. [Google Scholar] [CrossRef]
- Swidinsky, A.; Edwards, R.N.; Jegen, M. The marine controlled source electromagnetic response of a steel borehole casing: Applications for the NEPTUNE Canada gas hydrate observatory. Geophys. Prospect. 2013, 61, 842–856. [Google Scholar] [CrossRef]
- Kohnke, C.; Liu, L.F.; Streich, R.; Swidinsky, A. A method of moments approach to model the electromagnetic response of multiple steel casings in a layered earth. Geophysics 2018, 83, Wb81–Wb96. [Google Scholar] [CrossRef]
- Patzer, C.; Tietze, K.; Ritter, O. Steel-cased wells in 3-D controlled source EM modelling. Geophys. J. Int. 2017, 209, 813–826. [Google Scholar] [CrossRef]
- Orujov, G.; Anderson, E.; Streich, R.; Swidinsky, A. On the electromagnetic response of complex pipeline infrastructure. Geophysics 2020, 85, E241–E251. [Google Scholar] [CrossRef]
- Wu, G.; Yang, G.; Tan, H. Mapping coalmine goaf using transient electromagnetic method and high density resistivity method in Ordos City, China. Geod. Geodyn. 2016, 7, 340–347. [Google Scholar] [CrossRef]
- Yang, C.; Liu, S.D.; Wu, R.X. Quantitative Prediction of Water Volumes Within a Coal Mine Underlying Limestone Strata Using Geophysical Methods. Mine Water Environ. 2017, 36, 51–58. [Google Scholar] [CrossRef]
- Su, M.X.; Xia, T.; Xue, Y.G.; Mao, D.Q.; Qiu, D.H.; Zhu, J.Y.; Zhao, Y.; Wang, P. Small fixed-loop transient electromagnetic in tunnel forward geological prediction. Geophys. Prospect. 2020, 68, 1399–1415. [Google Scholar] [CrossRef]
- Chouteau, M.; Bouchard, K. Two-dimensional terrain correction in magnetotelluric surveys. Geophysics 1988, 53, 854–862. [Google Scholar] [CrossRef]
- Sasaki, Y. Bathymetric effects and corrections in marine CSEM data. Geophysics 2011, 76, F139–F146. [Google Scholar] [CrossRef]
- Zhou, X.L.; Zhou, J.-H.; Wei, Y.X. Influences on Metal Support to Mine Transient Electromagnetic Detection and Correction Technology. Coal Sci. Technol. 2014. [Google Scholar] [CrossRef]
- Zhou, G.Q.; Yue, M.X.; Yang, X.D.; Liu, S.D.; Wu, Z.; Cao, Y.; Wu, X.P. A metal interference correction method of tunnel transient electromagnetic advanced detection. J. Geophys. Eng. 2020, 17, 429–438. [Google Scholar] [CrossRef]
- Cheng, M.; Yang, D.K.; Luo, Q. Interpreting Surface Large-Loop Time-Domain Electromagnetic Data for Deep Mineral Exploration Using 3D Forward Modeling and Inversion. Minerals 2023, 13, 34. [Google Scholar] [CrossRef]
- Kang, S.; Dewar, N.; Knight, R. The effect of power lines on time-domain airborne electromagnetic data. Geophysics 2021, 86, E123–E141. [Google Scholar] [CrossRef]
- Heagy, L.J.; Oldenburg, D.W. Impacts of magnetic permeability on electromagnetic data collected in settings with steel-cased wells. Geophys. J. Int. 2023, 234, 1092–1110. [Google Scholar] [CrossRef]
- Kang, S.; Knight, R.; Goebel, M. Improved Imaging of the Large-Scale Structure of a Groundwater System with Airborne Electromagnetic Data. Water Resour. Res. 2022, 58, e2021WR031439. [Google Scholar] [CrossRef]
- Cockett, R.; Kang, S.; Heagy, L.J.; Pidlisecky, A.; Oldenburg, D.W. SIMPEG: An open source framework for simulation and gradient based parameter estimation in geophysical applications. Comput. Geosci. 2015, 85, 142–154. [Google Scholar] [CrossRef]
- Heagy, L.J.; Cockett, R.; Kang, S.; Rosenkjaer, G.K.; Oldenburg, D.W. A framework for simulation and inversion in electromagnetics. Comput. Geosci. 2017, 107, 1–19. [Google Scholar] [CrossRef]
- Haber, E. Computational Methods in Geophysical Electromagnetics; Society for Industrial and Applied Mathematics: Philadelphia, PA, USA, 2014. [Google Scholar]
- Giudici, M.; Manera, M.; Romano, E. The use of hydrological and geoelectrical data to fix the boundary conditions of a ground water flow model: A case study. Hydrol. Earth Syst. Sci. 2003, 7, 297–303. [Google Scholar] [CrossRef]
- Lavu, S.; McHugh, R.; Sangster, A.J.; Westerman, R. Radio-wave imaging in a coal seam waveguide using a pre-selected enforced resonant mode. J. Appl. Geophys. 2011, 75, 171–179. [Google Scholar] [CrossRef]
- Jun, Z. Research on radio electromagnetic wave perspective detection method through borehole-roadway in mine. J. China Coal Soc. 2020, 45, 2856–2864. [Google Scholar] [CrossRef]
















Disclaimer/Publisher’s Note: The statements, opinions and data contained in all publications are solely those of the individual author(s) and contributor(s) and not of MDPI and/or the editor(s). MDPI and/or the editor(s) disclaim responsibility for any injury to people or property resulting from any ideas, methods, instructions or products referred to in the content. |
© 2024 by the authors. Licensee MDPI, Basel, Switzerland. This article is an open access article distributed under the terms and conditions of the Creative Commons Attribution (CC BY) license (https://creativecommons.org/licenses/by/4.0/).
Share and Cite
Ran, S.; Shen, J.; Hu, Z.; Long, G. Inversion of TEM Responses in Tunnel with Steel Infrastructure and Its Application. Minerals 2024, 14, 802. https://doi.org/10.3390/min14080802
Ran S, Shen J, Hu Z, Long G. Inversion of TEM Responses in Tunnel with Steel Infrastructure and Its Application. Minerals. 2024; 14(8):802. https://doi.org/10.3390/min14080802
Chicago/Turabian StyleRan, Shang, Jinsong Shen, Zuzhi Hu, and Gang Long. 2024. "Inversion of TEM Responses in Tunnel with Steel Infrastructure and Its Application" Minerals 14, no. 8: 802. https://doi.org/10.3390/min14080802
APA StyleRan, S., Shen, J., Hu, Z., & Long, G. (2024). Inversion of TEM Responses in Tunnel with Steel Infrastructure and Its Application. Minerals, 14(8), 802. https://doi.org/10.3390/min14080802

