Identifying Multi-Scale Gravity and Magnetic Anomalies Using Statistical Empirical Mode Decomposition: A Case Study from the Eastern Tianshan Orogenic Belt
Abstract
:1. Introduction
2. Methods
2.1. SEMD Method
2.1.1. Sifting Process
- (1)
- Identify the local maximum and minimum values of the signal , where represents the original signal and is the time.
- (2)
- Construct the upper envelope and lower envelope of the signal by using a smoothing technique with a smoothing parameter to the maximum and minimum values .
- (3)
- Calculate the mean of the upper and lower envelopes:
- (4)
- Subtract the mean from the original signal to obtain an updated signal:
- (5)
- Perform steps 1–4 on the updated signal until the resulting signal at the th iteration satisfies the above-mentioned IMF conditions and thereafter the first IMF, namely , is obtained.
- (6)
- Subtract from the original signal to obtain the residual signal:
- (7)
- Use as the updated original signal and find all its local maxima and minima.
- (8)
- Fit the local maxima and minima to create the upper envelope and lower envelope of the signal accordingly using the cubic spline interpolation method.
- (9)
- Compute the mean of the upper and lower envelopes:
- (10)
- Subtract the mean from the original signal to obtain an updated signal:
- (11)
- Iterate steps 7–10 on the updated signal until the resulting signal satisfies the above-mentioned IMF conditions, and thereafter the second IMF, denoted as , is derived.
- (12)
- Separate the second IMF from the original signal to obtain a residual signal:
- (13)
- Update the original signal to in step 7 and repeat steps 7–12 on the residual signal to obtain another IMF.
- (14)
- Continue the sifting process until the updated or residual signal is less than the predetermined value of substantial consequence, or no more IMFs can be extracted from the residual signal.
2.1.2. Smoothing Technique
- (1)
- Cubic spline smoothing is a useful technique for smoothing data by fitting a piecewise cubic function to the data points [45,46]. Each cubic spline function can be defined as:where a, b, c, and d are undetermined coefficients. This method involves constructing a set of cubic polynomials that approximate the data, ensuring that the resulting curve is smooth and continuous. Thus, it aims to minimize squared error and the curvature of cubic splines. This is expressed as:where is the smoothing parameter, the value of which is non-negative and not greater than one. If , the curvature constraints are lifted, and the smoothing cubic spline then passes through all data points, resulting in an interpolation cubic spline.
- (2)
- Local polynomial smoothing smooths a signal by fitting a polynomial function to a localized subset of data points [45,46,47,48]. The local polynomial can be expressed as:where , , , and are the coefficients to be estimated. This smoothing method tries to use a weighted least squares approach to find the polynomial coefficients that minimize the sum of squared errors between the observed values and the predicted values. The weights are determined by a weighting function that assigns larger weights to nearby observations and smaller weights to distant ones. Thus, local polynomial fitting can be solved as a minimize problem given by:where denotes a non-negative weight function and h is the bandwidth controlling the size of the local neighborhood. By fitting the localized data, local polynomial smoothing can provide a smoothed curve that adapts to the local behavior of the data, allowing for more flexibility in capturing variations and features in the dataset.
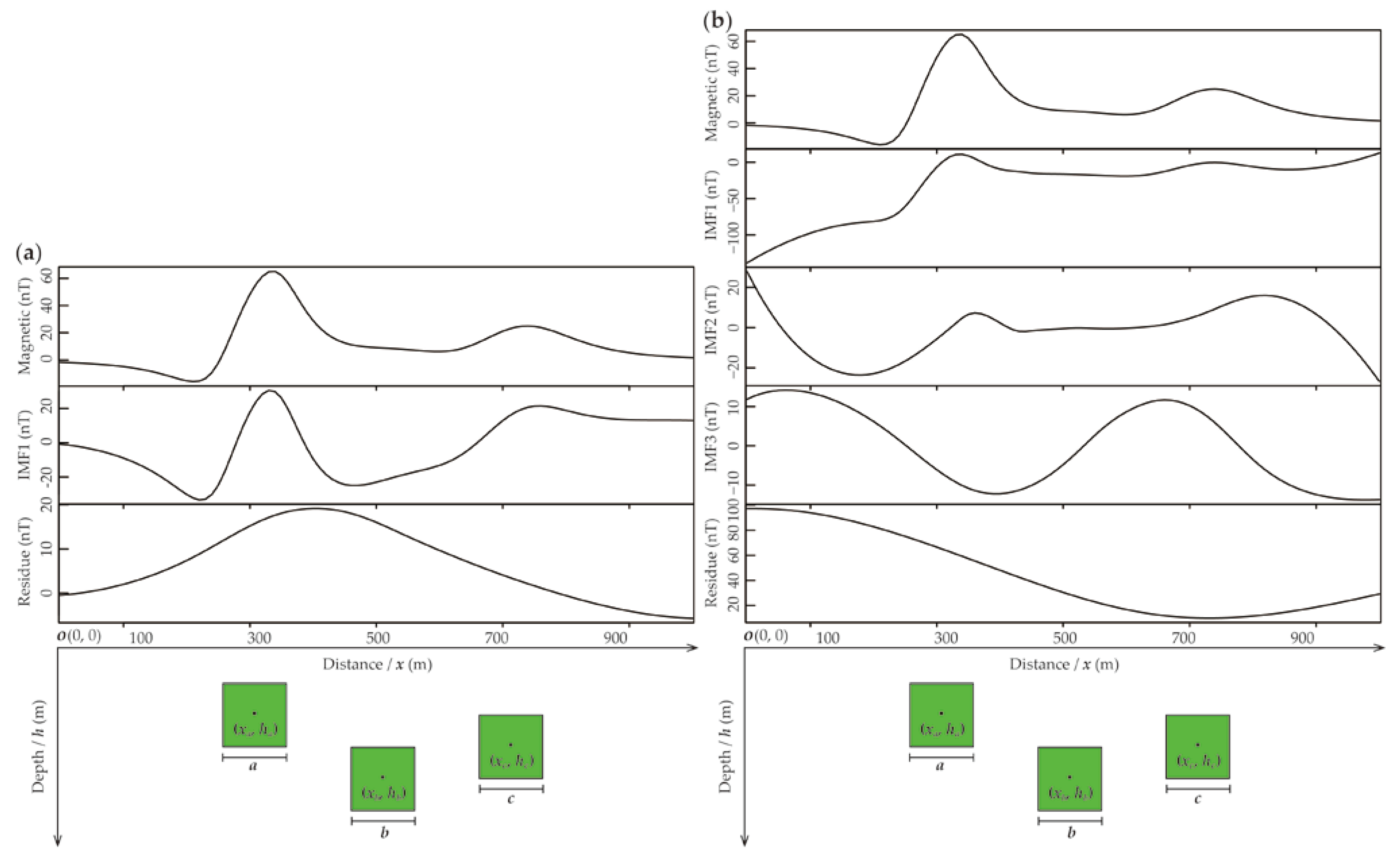
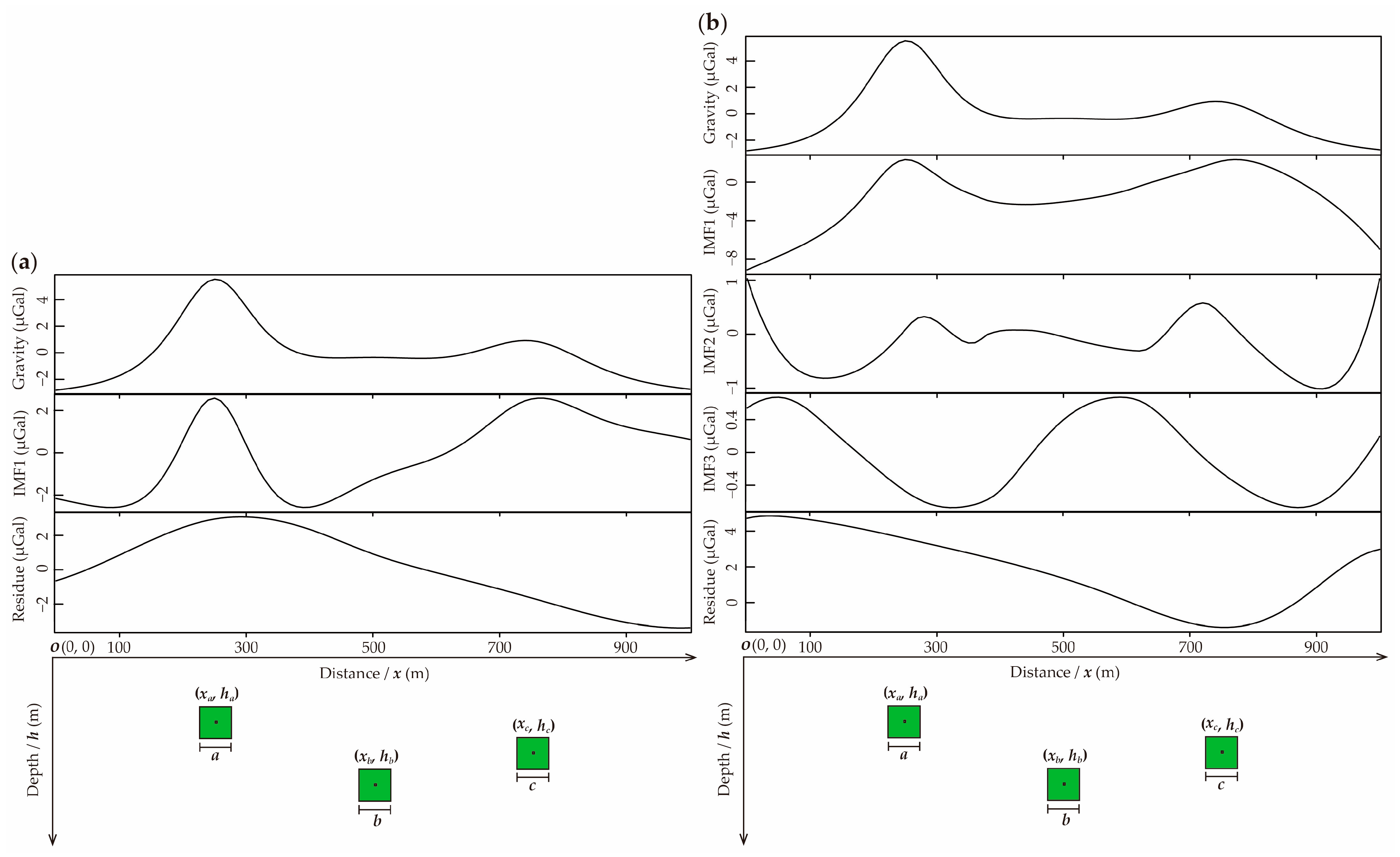
2.2. Forward Model
3. Results and Discussion
3.1. Forward Modeling
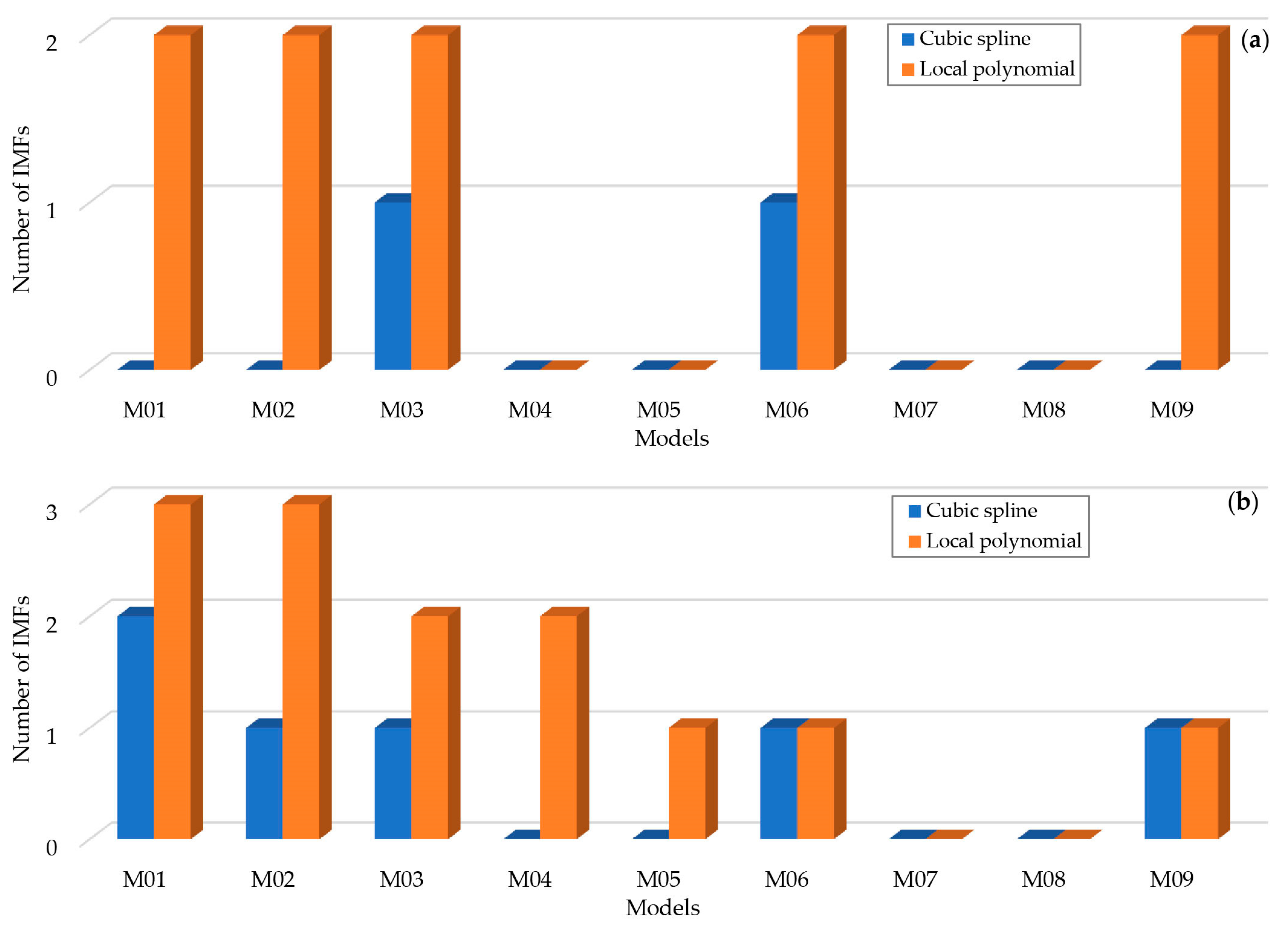
3.1.1. The Size of Field Sources
3.1.2. The Depth of Field Sources
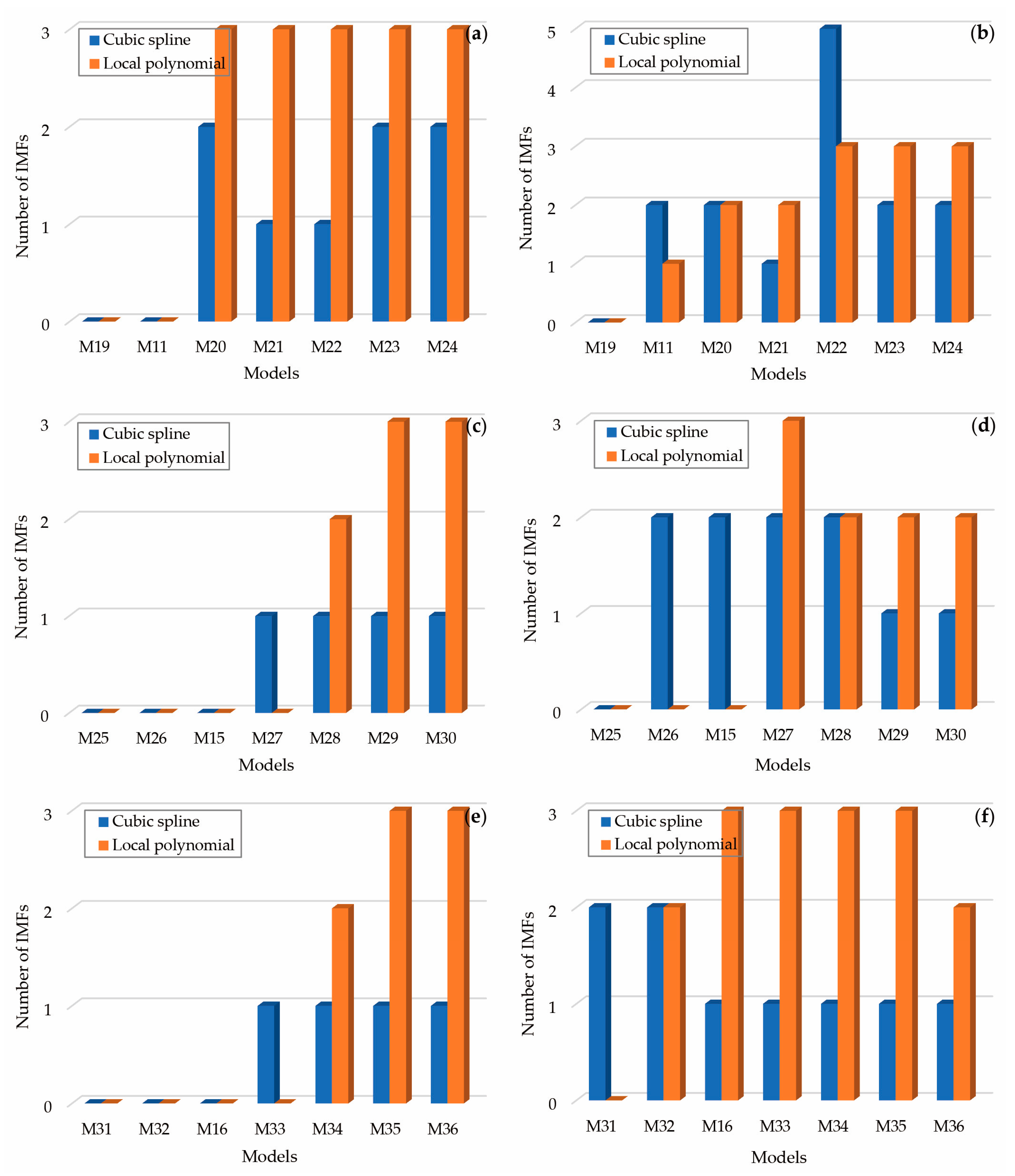
3.1.3. The Distance between Field Sources
3.2. Case Study: Identifying the Multi-Scale Gravity and Magnetic Anomalies of the Eastern Tianshan Orogenic Belt
3.2.1. Geological Setting and Data
3.2.2. Densities and Magnetic Properties of Lithologies
3.2.3. Multi-Scale Gravity and Magnetic Anomalies
4. Conclusions
- (1)
- A comparison of forward modeling results shows that the SEMD method using the local polynomial smoothing technique performs better in decomposing gravity and magnetic data than the SEMD method using the cubic spline smoothing technique.
- (2)
- The decomposition results of aeromagnetic and gravity data in the eastern Tianshan district further demonstrate the effectiveness of the SEMD method using local polynomial smoothing in identifying multi-scale gravity anomalies. This method uses the smoothing technique to remove noise and extracts the high-frequency component (i.e., IMF1) that has almost no geological significance from the original signal. This is equivalent to denoising the original signal, eliminating the interference of meaningless fluctuations in the subsequent decomposition process, which could potentially contaminate all signals. Therefore, the remaining IMFs and residual component signals often have distinct geological significance and effectively reveal the regional scale and middle-to-deep level structural framework of the Gobi Desert-covered area in the eastern Tianshan region. Both the gravity and magnetic anomalies indicate that the junction zone of the Kanggurtag-Huangshan forearc/intra-arc basin and the Dananhu-Tousuquan arc may have the characteristics of a plate or block boundary. This provides more geophysical evidence to resolve the disputed issue of the division of the eastern Tianshan tectonic unit caused by the coverage of the Gobi Desert.
Author Contributions
Funding
Data Availability Statement
Conflicts of Interest
References
- Mallick, K.; Vasanthi, A.; Sharma, K.K. Bouguer Gravity Regional and Residual Separation: Application to Geology and Environment; Springer: New York, NY, USA, 2012. [Google Scholar]
- Hinze, W.J.; von Frese, R.R.B.; Saad, A.H. Gravity and Magnetic Exploration: Principles, Practices, and Applications; Cambridge University Press: New York, NY, USA, 2013. [Google Scholar]
- Jacoby, W.; Smilde, P.L. Gravity Interpretation: Fundamentals and Application of Gravity Inversion and Geological Interpretation; Springer: Berlin/Heidelberg, Germany, 2009. [Google Scholar]
- Naidu, P.S.; Mathew, M.P. Analysis of Geophysical Potential Fields: A Digital Signal Processing Approach; Elsevier Science B.V.: Amsterdam, The Netherlands, 1998. [Google Scholar]
- Båth, B.M. Spectral Analysis in Geophysics; Elsevier Scientific Publishing Company: Amsterdam, The Netherlands, 1982. [Google Scholar]
- Buttkus, B. Spectral Analysis and Filter Theory in Applied Geophysics; Springer: Berlin/Heidelberg, Germany, 1991. [Google Scholar]
- Foufoula-Georgiou, E.; Kumar, P. Wavelets in Geophysics; Academic Press: New York, NY, USA, 1994. [Google Scholar]
- Lv, P.F.; Wu, X.; Zhao, Y.; Chang, J.H. Noise removal for semi-airborne data using wavelet threshold and singular value decomposition. J. Appl. Geophys. 2022, 201, 104622. [Google Scholar] [CrossRef]
- Scholz, C.H.; Mandelbrot, B.B. Fractals in Geophysics; Springer: Basel, Switzerland, 1989. [Google Scholar]
- Turcotte, D.L. Fractals and Chaos in Geology and Geophysics; Cambridge University Press: New York, NY, USA, 1997. [Google Scholar]
- Dimri, V.P. Fractal Solutions for Understanding Complex Systems in Earth Sciences; Springer: New York, NY, USA; Cham, Switzerland; Heidelberg, Germany, 2016. [Google Scholar]
- Sankar, G.S.; Dimri, V.P. Interpretation of gravity data using eigenimage with Indian case study: A SVD approach. J. Appl. Geophys. 2013, 95, 23–35. [Google Scholar] [CrossRef]
- Chen, Y.Q.; Zhang, L.N.; Zhao, B.B. Application of singular value decomposition (SVD) in extraction of gravity components indicating the deeply and shallowly buried granitic complex associated with tin polymetallic mineralization in the Gejiu tin ore field, Southwestern China. J. Appl. Geophys. 2015, 123, 63–70. [Google Scholar] [CrossRef]
- Beiki, M. TSVD analysis of Euler deconvolution to improve estimating magnetic source parameters: An example from the Asele area, Sweden. J. Appl. Geophys. 2013, 90, 82–91. [Google Scholar] [CrossRef]
- Wang, G.W.; Zhang, S.T.; Yan, C.H.; Xu, G.Y.; Ma, M.; Li, K.; Feng, Y. Application of the multifractal singular value decomposition for delineating geophysical anomalies associated with molybdenum occurrences in the Luanchuan ore field (China). J. Appl. Geophys. 2012, 86, 109–119. [Google Scholar] [CrossRef]
- Zhao, B.B.; Chen, Y.Q. Singular value decomposition (SVD) for extraction of gravity anomaly associated with gold mineralization in Tongshi gold field, Western Shandong Uplifted Block, Eastern China. Nonlinear Proc. Geophys. 2011, 18, 103–109. [Google Scholar] [CrossRef]
- Huang, N.E.; Wu, Z.H. A review on Hilbert-Huang transform: Method and its applications to geophysical studies. Rev. Geophys. 2008, 46, RG2006. [Google Scholar] [CrossRef]
- Huang, N.E.; Shen, Z.; Long, S.R.; Wu, M.C.; Shih, H.H.; Zheng, Q.; Yen, N.-C.; Tung, C.C.; Liu, H.H. The empirical mode decomposition and the Hilbert spectrum for nonlinear and non-stationary time series analysis. Proc. R. Soc. Lond. A 1998, 454, 903–995. [Google Scholar] [CrossRef]
- Xu, G.M.; Cheng, Q.M. Comparing BEMD and BEEMD for identifying geochemical anomalies associated with Cu polymetallic mineralization in the southwestern Fujian province (China). Geochemistry 2022, 82, 125905. [Google Scholar] [CrossRef]
- Xu, G.M.; Cheng, Q.M.; Zuo, R.G.; Wang, H.C. Application of improved bi-dimensional empirical mode decomposition (BEMD) based on Perona-Malik to identify copper anomaly association in the southwestern Fujian (China). J. Geochem. Explor. 2016, 164, 65–74. [Google Scholar] [CrossRef]
- Battista, B.M.; Knapp, C.; McGee, T.; Goebel, V. Application of the empirical mode decomposition and Hilbert-Huang transform to seismic reflection data. Geophysics 2007, 72, H29–H37. [Google Scholar] [CrossRef]
- Chen, Y.K.; Zhang, G.Y.; Gan, S.W.; Zhang, C.L. Enhancing seismic reflections using empirical mode decomposition in the flattened domain. Appl. Geophys. 2015, 119, 99–105. [Google Scholar] [CrossRef]
- Shaw, P.K.; Saha, D.; Ghosh, S.; Janaki, M.S.; Iyengar, A.N.S. Investigation of coherent modes in the chaotic time series using empirical mode decomposition and discrete wavelet transform analysis. Chaos Soliton Fract. 2015, 78, 285–296. [Google Scholar] [CrossRef]
- Chen, C.; Zhu, X.; Chen, Y.Q.; Zhang, S.T.; Zhao, P.D. Application of BEMD in extraction of magnetic anomaly components associated with Sn-W polymetallic mineralization in SE Yunnan, SW China. J. Earth Sci. 2021, 32, 318–326. [Google Scholar] [CrossRef]
- Shang, Z.; Chen, Y.Q.; Xu, X.T.; Zhao, B.B. Extraction of gravity—Magnetic anomalies associated with Pb–Zn–Fe polymetallic mineralization in Luziyuan ore field, Yunnan Province, Southwestern China. Nat. Resour. Res. 2021, 31, 1963–1979. [Google Scholar] [CrossRef]
- Huang, J.N.; Zhao, B.B.; Chen, Y.Q.; Zhao, P.D. Bidimensional empirical mode decomposition (BEMD) for extraction of gravity anomalies associated with gold mineralization in the Tongshi gold field, Western Shandong Uplifted Block, Eastern China. Comput. Geosci. 2010, 36, 987–995. [Google Scholar] [CrossRef]
- Chen, J.G.; Xiao, F.; Chang, T. Gravity and magnetic anomaly separation based on bidimensional empirical mode decomposition. J. Earth Sci. 2011, 36, 327–335, (In Chinese with English Abstract). [Google Scholar]
- Hou, W.S.; Yang, Z.J.; Zhou, Y.Z.; Zhang, L.P.; Wu, W.L. Extracting magnetic anomalies based on an improved BEMD method: A case study in the Pangxidong Area, South China. Comput. Geosci. 2012, 48, 1–8. [Google Scholar] [CrossRef]
- Zhao, J.; Zhao, P.D.; Chen, Y.Q. Using an improved BEMD method to analyse the characteristic scale of aeromagnetic data in the Gejiu region of Yunnan, China. Comput. Geosci. 2016, 88, 132–141. [Google Scholar] [CrossRef]
- Chen, Y.Q.; Zhang, L.N.; Zhao, B.B. Application of Bi-dimensional empirical mode decomposition (BEMD) modeling for extracting gravity anomaly indicating the ore-controlling geological architectures and granites in the Gejiu tin-copper polymetallic ore field, southwestern China. Ore Geol. Rev. 2017, 88, 832–840. [Google Scholar] [CrossRef]
- Asl, A.A.; Manaman, N.S. Locating magnetic sources by empirical mode decomposition. J. Appl. Geophys. 2018, 159, 329–340. [Google Scholar] [CrossRef]
- Mandal, A.; Niyogi, S. Filter assisted bi-dimensional empirical mode decomposition: A hybrid approach for regional-residual separation of gravity anomaly. J. Appl. Geophys. 2018, 159, 218–227. [Google Scholar] [CrossRef]
- Kim, D.; Kim, K.O.; Oh, H.S. Extending the scope of empirical mode decomposition by smoothing. EURASIP J. Adv. Sig. Pr. 2012, 168, 1–17. [Google Scholar] [CrossRef]
- Kim, D.; Park, M.; Oh, H.S. Bidimensional statistical empirical mode decomposition. IEEE Signal Proc. Lett. 2012, 19, 191–194. [Google Scholar] [CrossRef]
- Yadav, I.C.; Shahnawazuddin, S.; Pradhan, G. Addressing noise and pitch sensitivity of speech recognition system through variational mode decomposition based spectral smoothing. Digit. Signal Process. 2019, 86, 55–64. [Google Scholar] [CrossRef]
- Wu, Z.H.; Huang, N.E. Ensemble empirical mode decomposition: A noise-assisted data analysis method. Adv. Data Sci. Adapt. Anal. 2009, 1, 1–41. [Google Scholar] [CrossRef]
- Park, M.; Kim, D.; Oh, H.S. Quantile-based empirical mode decomposition: An efficient way to decompose noisy signals. IEEE Trans. Instrum. Meas. 2015, 64, 1802–1813. [Google Scholar] [CrossRef]
- Ali, M.; Khan, D.M.; Alshanbari, H.M.M.; El-Bagoury, A.A.A.H. Prediction of complex stock market data using an improved hybrid EMD-LSTM model. Appl. Sci. 2023, 13, 1429. [Google Scholar] [CrossRef]
- Jaber, A.M.; Ismail, M.T. Trend extraction using empirical mode decomposition and statistical empirical mode decomposition: Case study: Kuala Lumpur stock market. AIP Conf. Proc. 2014, 1635, 776–779. [Google Scholar] [CrossRef]
- Biswas, M.; Dey, D. Bi-dimensional statistical empirical mode decomposition-based video analysis for detecting colon polyps using composite similarity measure. In Proceedings of the 1st International Conference on Intelligent Computing, Communication and Devices (ICCD), SOA University, Bhubaneswar, India, 18–19 April 2014; pp. 297–308. [Google Scholar]
- Santisteban, J.I.; Mediavilla, R.; Celis, A.; Castano, S.; de la Losa, A. Millennial-scale cycles of aridity as a driver of human occupancy in central Spain? Quatern. Int. 2016, 407, 96–109. [Google Scholar] [CrossRef]
- Huang, B.Q.; Kunoth, A. An optimization based empirical mode decomposition scheme. J. Comput. Appl. Math. 2013, 240, 174–183. [Google Scholar] [CrossRef]
- Arfia, F.B.; Sabri, A.; Messaoud, M.B.; Sabri, A. Choosing interpolation RBF function in image filtering with the bidimentional empirical modal decomposition. In Proceedings of the 1st International Conference on Advanced Technologies for Signal and Image Processing (ATSIP), Sousse, Tunisia, 17–19 March 2014; pp. 361–366. [Google Scholar]
- Jia, L.S.; Zhang, Q.; Zheng, X.; Yao, P.L.; He, X.G.; Wei, X.H. The empirical optimal envelope and its application to local mean decomposition. Digit. Signal Process. 2019, 87, 166–177. [Google Scholar] [CrossRef]
- Hastie, T.; Tibshirani, R.; Friedman, J. The Elements of Statistical Learning: Data Mining, Inference, and Prediction; Springer: New York, NY, USA, 2009. [Google Scholar]
- Ghosh, S. Kernel Smoothing: Principles, Methods and Applications; John Wiley & Sons, Inc.: Hoboken, NJ, USA, 2018. [Google Scholar]
- Fan, J.Q.; Gijbels, I. Data-driven bandwidth selection in local polynomial fitting: Variable bandwidth and spatial adaptation. J. R. Stat. Soc. B 1995, 57, 371–394. [Google Scholar] [CrossRef]
- Fan, J.Q.; Gijbels, I. Local Polynomial Modelling and Its Applications; CRC Press: Boca Raton, FL, USA, 1996. [Google Scholar]
- Xiao, W.J.; Zhang, L.C.; Qin, K.Z.; Sun, S.; Li, J.L. Paleozoic accretionary and collisional tectonics of the Eastern Tianshan (China): Implications for the continental growth of Central Asia. Am. J. Sci. 2004, 304, 370–395. [Google Scholar] [CrossRef]
- Xiao, F.; Wang, Z.H. Geological interpretation of Bouguer gravity and aeromagnetic data from the Gobi-desert covered area, Eastern Tianshan, China: Implications for porphyry Cu-Mo polymetallic deposits exploration. Ore Geol. Rev. 2017, 80, 1042–1055. [Google Scholar] [CrossRef]
- Xiao, F.; Wang, K.Q.; Hou, W.S.; Wang, Z.H.; Zhou, Y.Z. Prospectivity mapping for porphyry Cu–Mo mineralization in the eastern Tianshan, Xinjiang, northwestern China. Nat. Resour. Res. 2020, 29, 89–113. [Google Scholar] [CrossRef]
- Xiao, F.; Chen, W.L.; Wang, J.; Erten, O. A hybrid logistic regression: Gene expression programming model and its application to mineral prospectivity mapping. Nat. Resour. Res. 2021, 31, 2041–2064. [Google Scholar] [CrossRef]
- Wang, Y.F.; Chen, H.Y.; Falloon, T.J.; Han, J.S. The Paleozoic-Mesozoic magmatic evolution of the Eastern Tianshan, NW China: Constraints from geochronology and geochemistry of the Sanchakou intrusive complex. Gondwana Res. 2022, 103, 1–22. [Google Scholar] [CrossRef]
- Wang, Z.G.; Zhu, X.Q.; Bi, H.; Wang, Y.L.; Wu, B.Q.; Zou, T.R.; Zhao, Z.H.; Gui, X.T. Granites in Xinjiang, China; Geological Publishing House: Beijing, China, 2006; (In Chinese with English Abstract). [Google Scholar]
- Chen, Y.C.; Liu, D.Q.; Tang, Y.L.; Wang, D.H.; Dong, L.H.; Xu, X.; Wang, X.D. Mineral Resources and Mineralization System in Tianshan, China; Geological Publishing House: Beijing, China, 2008; (In Chinese with English Abstract). [Google Scholar]
- Zhang, L.C.; Liu, D.Q.; Wang, Y.B.; Li, Q.C.; Li, B.Q. Metallogenic Rules of Dominant Metal Minerals in Xinjiang, China; Geological Publishing House: Beijing, China, 2006; (In Chinese with English Abstract). [Google Scholar]
- Xiao, F.; Chen, J.G.; Agterberg, F.P.; Wang, C.B. Element behavior analysis and its implications for geochemical anomaly identification: A case study for porphyry Cu-Mo deposits in Eastern Tianshan, China. J. Geochem. Explor. 2014, 145, 1–11. [Google Scholar] [CrossRef]
- Liu, D.Q.; Tang, Y.L.; Zhou, R.H. Copper Deposits and Nickle Deposits in Xinjiang, China; Geological Publishing House: Beijing, China, 2005. [Google Scholar]
- Wu, G.G.; Dong, L.H.; Xue, C.J. The Main Porphyry Copper Ore Belts in the North Xinjiang, China; Geological Publishing House: Beijing, China, 2008. [Google Scholar]
- Shao, X.L. Resaerch for Geophysical Characteristics and Prospecting Application on Huangshan-Jingerquan Ultramafic Complex Belt in Eastern Tianshan of Xinjiang. Ph.D. Thesis, China University of Geosciences, Beijing, China, 2012. [Google Scholar]
- Zhuang, D.Z. Research on Metallogentic Geological Conditions and the Predicting Models of Compound Information in East Tianshan of Xinjiang. Ph.D. Thesis, Jilin University, Changchun, China, 2005. [Google Scholar]














| Model | Size (m) | Depth (m) | Distance (m) | ||||
|---|---|---|---|---|---|---|---|
| a | b | c | ha | hb | hc | xb − xa = xc − xb | |
| M01 | 50 | 100 | 150 | 100 | 100 | 100 | 200 |
| M02 | 50 | 150 | 100 | 100 | 100 | 100 | 200 |
| M03 | 100 | 50 | 150 | 100 | 100 | 100 | 200 |
| M04 | 50 | 100 | 150 | 150 | 150 | 150 | 200 |
| M05 | 50 | 150 | 100 | 150 | 150 | 150 | 200 |
| M06 | 100 | 50 | 150 | 150 | 150 | 150 | 200 |
| M07 | 50 | 100 | 150 | 200 | 200 | 200 | 200 |
| M08 | 50 | 150 | 100 | 200 | 200 | 200 | 200 |
| M09 | 100 | 50 | 150 | 200 | 200 | 200 | 200 |
| M10 | 50 | 50 | 50 | 100 | 150 | 200 | 200 |
| M11 | 50 | 50 | 50 | 100 | 200 | 150 | 200 |
| M12 | 50 | 50 | 50 | 150 | 100 | 200 | 200 |
| M13 | 100 | 100 | 100 | 100 | 150 | 200 | 200 |
| M14 | 100 | 100 | 100 | 100 | 200 | 150 | 200 |
| M15 | 100 | 100 | 100 | 150 | 100 | 200 | 200 |
| M16 | 150 | 150 | 150 | 100 | 150 | 200 | 200 |
| M17 | 150 | 150 | 150 | 100 | 200 | 150 | 200 |
| M18 | 150 | 150 | 150 | 150 | 100 | 200 | 200 |
| M19 | 50 | 50 | 50 | 100 | 200 | 150 | 50 |
| M20 | 50 | 50 | 50 | 100 | 200 | 150 | 100 |
| M21 | 50 | 50 | 50 | 100 | 200 | 150 | 150 |
| M22 | 50 | 50 | 50 | 100 | 200 | 150 | 250 |
| M23 | 50 | 50 | 50 | 100 | 200 | 150 | 300 |
| M24 | 50 | 50 | 50 | 100 | 200 | 150 | 350 |
| M25 | 100 | 100 | 100 | 150 | 100 | 200 | 100 |
| M26 | 100 | 100 | 100 | 150 | 100 | 200 | 150 |
| M27 | 100 | 100 | 100 | 150 | 100 | 200 | 250 |
| M28 | 100 | 100 | 100 | 150 | 100 | 200 | 300 |
| M29 | 100 | 100 | 100 | 150 | 100 | 200 | 350 |
| M30 | 100 | 100 | 100 | 150 | 100 | 200 | 400 |
| M31 | 150 | 150 | 150 | 100 | 150 | 200 | 150 |
| M32 | 150 | 150 | 150 | 100 | 150 | 200 | 250 |
| M33 | 150 | 150 | 150 | 100 | 150 | 200 | 300 |
| M34 | 150 | 150 | 150 | 100 | 150 | 200 | 350 |
| M35 | 150 | 150 | 150 | 100 | 150 | 200 | 400 |
| M36 | 150 | 150 | 150 | 100 | 150 | 200 | 450 |
| Lithology | Density (103 kg/m3) | Magnetic Susceptibility (10−6 4πSI) | Remnant Polarization (10−3 A/m) |
|---|---|---|---|
| Gobi Desert | 1.77 | 0.00 | 0.00 |
| Marble | 2.77 | 0.00 | 0.00 |
| Andesite | 2.75 | N.A. | N.A. |
| Basalt | 2.77 | N.A. | N.A. |
| Tuff | 2.68 | 950 | 550 |
| Siltstone | 2.66 | 0.00 | 0.00 |
| Schist | 2.68 | 76.0 | 60.0 |
| Gneiss | 2.67 | N.A. | N.A. |
| Quartz porphyry | 2.66 | N.A. | N.A. |
| Glutenite | 2.68 | 0.00 | 0.00 |
| Granite | 2.61 | 1079 | N.A. |
| Granodiorite | 2.68 | 50.0 | 0.00 |
| Dacite porphyry | 2.66 | N.A. | N.A. |
| Serpentinite | 2.93 | 3850 | 4600 |
| Diabase | 2.86 | 58,510 | N.A. |
| Diorite | 2.79 | 2872 | N.A. |
| Gabbro | 2.90 | 8330 | 1500 |
| Amphibolite | 2.79 | N.A. | N.A. |
Disclaimer/Publisher’s Note: The statements, opinions and data contained in all publications are solely those of the individual author(s) and contributor(s) and not of MDPI and/or the editor(s). MDPI and/or the editor(s) disclaim responsibility for any injury to people or property resulting from any ideas, methods, instructions or products referred to in the content. |
© 2023 by the authors. Licensee MDPI, Basel, Switzerland. This article is an open access article distributed under the terms and conditions of the Creative Commons Attribution (CC BY) license (https://creativecommons.org/licenses/by/4.0/).
Share and Cite
Xiao, F.; Lin, W.; Yang, H.; Wang, C. Identifying Multi-Scale Gravity and Magnetic Anomalies Using Statistical Empirical Mode Decomposition: A Case Study from the Eastern Tianshan Orogenic Belt. Minerals 2023, 13, 1118. https://doi.org/10.3390/min13091118
Xiao F, Lin W, Yang H, Wang C. Identifying Multi-Scale Gravity and Magnetic Anomalies Using Statistical Empirical Mode Decomposition: A Case Study from the Eastern Tianshan Orogenic Belt. Minerals. 2023; 13(9):1118. https://doi.org/10.3390/min13091118
Chicago/Turabian StyleXiao, Fan, Weipeng Lin, Huaqing Yang, and Cuicui Wang. 2023. "Identifying Multi-Scale Gravity and Magnetic Anomalies Using Statistical Empirical Mode Decomposition: A Case Study from the Eastern Tianshan Orogenic Belt" Minerals 13, no. 9: 1118. https://doi.org/10.3390/min13091118
APA StyleXiao, F., Lin, W., Yang, H., & Wang, C. (2023). Identifying Multi-Scale Gravity and Magnetic Anomalies Using Statistical Empirical Mode Decomposition: A Case Study from the Eastern Tianshan Orogenic Belt. Minerals, 13(9), 1118. https://doi.org/10.3390/min13091118

