Sustainable Production of Rare Earth Elements from Mine Waste and Geoethics
Abstract
:1. Introduction
1.1. Conventional or Primary Resources for REE Extraction
1.2. Non-Conventional or Secondary Resources for REE Extraction
1.3. Mining: Sustainability, Circular Economy, and Geoethics
2. Materials and Method
2.1. Geoethics of REE Extraction from Primary vs. Secondary Sources
2.2. Categories of Potential Environmental and Social Impacts
2.2.1. Acidification (kg SO2 Equivalents)
2.2.2. Freshwater (kg PO43− Equivalents) and Terrestrial Eutrophication (kg N Equivalents)
2.2.3. Global Warming Potential or Climate Change (kg CO2 Equivalents)
2.2.4. Particulate Matter Formation (kg PM2.5 Equivalents)
2.2.5. Water Consumption (kg/kg Equivalents)
2.2.6. Abiotic Resource Depletion (kg Sb Equivalents)
2.2.7. Fossil Fuel Depletion (MJ)
2.2.8. Ozone Depletion (kg CFC-11 Equivalents)
2.2.9. Ionizing Radiation (kBq 235U Equivalents)
2.2.10. Freshwater Ecotoxicity (kg 1,4-DCB Equivalents or CTUe)
2.2.11. Human Toxicity (kg 1,4-DCB Equivalents or CTUh)
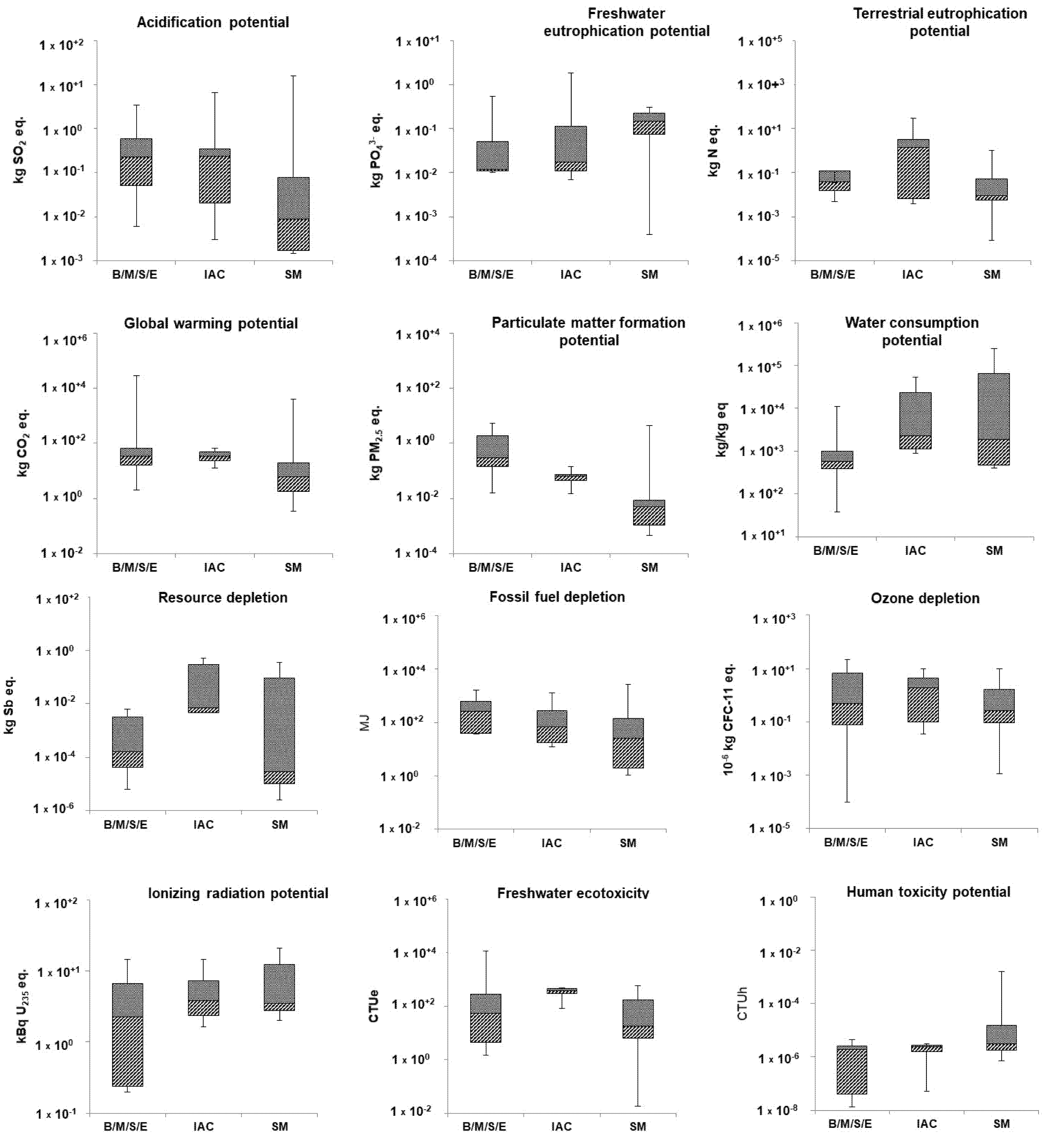
3. Results
4. Discussion
5. Conclusion
Author Contributions
Funding
Data Availability Statement
Acknowledgments
Conflicts of Interest
Appendix A
| Mine Site | Bayan Obo 1 | Bear Lodge | ||||||
|---|---|---|---|---|---|---|---|---|
| Reference | [9] | [67] | [68] | [69] | [56] | [70] | [71] | |
| Country | China | USA | ||||||
| Deposit | Bastnäsite and Monazite | |||||||
| 1kg REO/REE to Be Extracted | LREO-HREO | REO | LREO-HREO | REO | Nd2O3 | REO | REO | |
| Acidification potential (kg SO2 eq.) | - | 1.4–2.2 × 10−1 | 1.85–1.92 * | 2.81–33.89 × 10−1 | 7.4 × 10−1 | 2.4 × 10−1 | 6 × 10−3 | |
| Freshwater ecotoxicity potential | (CTUe) | - | - | 3.07–5.25× 10+1 | - | 2.20–2.78 × 10+2 | - | 1.45 |
| (kg 1,4-DCB eq.) | - | 2.7–3.5 | - | 2.39–20.3 × 10−1 | - | 9.5 × 10−1 | - | |
| Freshwater eutrophication potential (kg P eq.) | - | - | - | 1.2–55.0 × 10−2 | 1.2 × 10−2 | 8 × 10−2 | - | |
| Terrestrial eutrophication potential (kg N eq.) | - | 4–6 × 10−2 | 1.8–2.7 × 10−1 | - | 1.4 × 10−1 | - | 1.3 × 10−2 | |
| Global warming potential (kg CO2 eq.) | 3.03–3.45 × 10+1 | 1.2–1.6 × 10+1 | 2.298–3.53× 10+2 | 3.46–6.34 × 10+1 | 8.93 × 10+1 | 3.10 × 10+2 | 1.21 × 10+1 | |
| Human toxicity potential | (CTUh) | - | - | 1.9–3.1 × 10−6 | - | 4.42 × 10−6 | - | 1.3 × 10−8 |
| (kg 1,4-DCB eq.) | - | 3.6–32.0 × 10+1 | - | 4.3–850 | - | 2.0 × 10+1 | - | |
| Particulate matter formation potential (kg PM2.5 eq.) | - | - | 1.6–1.8 × 10−1 | - | 4.7 × 10−1 | 2.5 | 1.6 × 10−2 | |
| Water consumption potential (kg/kg eq.) | 3.76–3.81 × 10+1 | - | - | 4.17–9.00 × 10+2 | 7.43× 10+2 | - | - | |
| Resource depletion (kg Sb eq.) | - | - | - | 0.5–1.6 × 10−4 | 6.14× 10−3 | - | - | |
| Energy consumption (MJ) | 1.69–1.80 × 10+2 | 1.74–2.32 × 10+2 | 3.15–5.79 × 10+2 | 4.93–9.85 × 10+2 | - | - | - | |
| Fossil fuel depletion (MJ) | 3.65–3.93 × 10+1 | - | - | 4.93–9.85 × 10+2 | 1.47 × 10+3 | 2.93 × 10+2 ** | 4.05 × 10+1 | |
| Ozone depletion potential (kg CFC-11 eq.) × 10−6 | - | 2.7 | 3.8–19.7 | 0.77–1.3 × 10−1 | 1.75 × 10+1 | 1.2 | 2.4 × 10−3 | |
| Ionizing radiation potential (kBq U235 eq.) | - | - | - | - | 6.56 | 2.9 | - | |
| Mine Site | Mine X | Mount Weld 1 | Mount Weld 2 | Bayan Obo 1 | Bayan Obo 2 | Sichuan | Mountain Pass | Songwe Hill | Norra Kärr | |
|---|---|---|---|---|---|---|---|---|---|---|
| Reference | [72] | [70] | [64] | [65] | [65] | [69] | [70] | [47] | [73] | |
| Country | Australia | China | USA | Malawi | Sweden | |||||
| Deposit | Monazite | Bastnäsite | Synchysite | Eudialyte | ||||||
| 1kg REO/REE to Be Extracted | REE | REO | REO | REO | REO | REO | REO | REO | Dy | |
| Acidification potential (kg SO2 eq) | - | 3 × 10−2 | - | 2 × 10−2 * | 1.5 × 10−2 * | 1.38–2.34 × 10−1 | 5 × 10−2 | 5.4–63.75 × 10−2 | 4.5 × 10−1 | |
| Freshwater ecotoxicity potential | (CTUe) | - | - | - | 6.11 × 10+2 | 1.17 × 10+4 | - | - | 1.50–4.32 | - |
| kg 1,4-DCB eq. | 4.6 × 10−3 | 1 × 10−1 | - | - | - | 1.28–2.12 × 10−1 | 1.2 × 10−1 | - | 2 | |
| Freshwater eutrophication potential (kg P eq.) | - | <1 × 10−2 | - | 2.0 × 10−2 | 1.2 × 10−2 | 1–12 × 10−2 | <1 × 10−3 | - | 1.5 × 10−2 | |
| Terrestrial eutrophication potential (kg N eq.) | - | - | 8.1 × 10−3 | 3.6 × 10−2 | - | - | 5–20 × 10−3 | - | ||
| Global warming potential (kg CO2 eq.) | 6.54 × 10+1 | 2 | 1.82–2.75 × 10+1 | 3.30 × 10+1 | 3.81 × 10+1 | 1.63–2.83 × 10+1 | 7 | 1.703–8.726 × 10+1 | 1.45 × 10+2 | |
| Human toxicity potential | (CTUh) | - | - | - | 2.59 × 10−6 | 2.52 × 10−6 | - | - | 1.1–6.7 × 10−8 | - |
| kg 1,4-DCB eq. | 1.53 | 1.5 × 10+1 | - | - | - | 4.4–7.6 | 2.0 × 10+1 | - | 3.5 × 10+1 | |
| Particulate matter formation potential (kg PM2.5 eq.) | - | 2 × 10−1 | - | 9.1 × 10−2 | 6.1 × 10−2 | - | 4 × 10−1 | 5.16–5.21 | 1.6 **** | |
| Water consumption potential (kg/kg eq.) | 1.117 × 10+1 | - | 1.31–1.81 | 5.22 × 10+2 | 5.30 × 10+2 | 2.85–6.29 × 10+2 | - | - | - | |
| Resource depletion (kg Sb eq.) | - | - | - | 2.1 | 4.5 × 10−3 | 0.64–3.2 × 10−5 | - | - | - | |
| Energy consumption (MJ) | 9.17 × 10+2 | - | 3.02–4.08 × 10+2 | - | - | 2.12–3.98 × 10+2 | - | - | - | |
| Fossil fuel depletion (MJ) | - | 3.35 × 10+1 ** | - | - | - | 2.12–3.98 × 10+2 | 1.59 × 10+2 ** | - | 1.675 × 10+3 ** | |
| Ozone depletion potential (kg CFC-11 eq.) × 10−6 | - | 2 × 10−1 | - | 9.53 | 6.75 | 7.3–9.4 × 10−2 | 5 × 10−1 | 1.0–1.6 × 10−4 | 2.1 × 10+1 | |
| Ionizing radiation potential (kBq U235 eq.) | - | 2 × 10−1 | 0.24–2.02 *** | 6.76 | 2.27 | - | 2 × 10−1 | - | × 10+1 | |
| Mine Site | Southern Provinces 1 | Southern Provinces 2 | Southern Provinces 3 | Southern Provinces 4 | Southern Provinces 5 | Southern Provinces 6 | |
|---|---|---|---|---|---|---|---|
| Reference | [74] | [69] | [73] | [65] | [75] | [56] | |
| Country | China | ||||||
| Deposit | Ion Adsorption Clays | ||||||
| 1kg REO/REE to Be Extracted | REO | REO | REO | REO | HREO | Nd2O3 | |
| Acidification potential (kg SO2 eq.) | 3-6 × 10−3 * | 2.94–7.29 × 10−1 | 6.5–32 × 10−2 | 6 × 10−3 * | 1.7–3.5 × 10−1 | 6.46 | |
| Freshwater ecotoxicity potential | (CTUe) | 2.80–4.51 × 10+2 | - | 8.0–49.1 × 10+1 | 4.28 × 10+2 | 2.54–3.61 × 10−3 | 3.05 × 10+2 |
| (kg 1,4-DCB eq.) | - | 1.94–5.21 × 10−1 | - | - | - | - | |
| Freshwater eutrophication potential (kg P eq.) | 1.11–1.78 × 10−2 | 3.91–18.22 × 10−1 | - | 1.7 × 10−2 | 0.7–1.1 × 10−2 | 1.9 × 10−2 | |
| Terrestrial eutrophication potential (kg N eq.) | 2.8–4.6 × 10−1 | - | 3.25–29.4 | 4.6 × 10−1 | - | 2.7 | |
| Global warming potential (kg CO2 eq.) | 2.09–3.55 × 10+1 | 3.06–6.72 × 10+1 | 1.3–5.2 × 10+1 | 4.05 × 10+1 | 1.88–3.31 × 10+1 | 6.36 × 10+1 | |
| Human toxicity potential | (CTUh) | 1.4–2.2 × 10−6 | - | 0.005–0.3 × 10−5 | 2.65 × 10−6 | - | 2.67 × 10−6 |
| (kg 1,4-DCB eq.) | - | 1.7–5.3 | - | - | - | - | |
| Particulate matter formation potential (kg PM2.5 eq.) | 3.2–6.0 × 10−2 | - | 1.5–7 × 10−2 | 4.9 × 10−2 | 9–14 × 10+2 | 7.02 × 10−2 | |
| Water consumption potential (kg/kg eq.) | 2.99–5.36 × 10+4 | 1.166–3.323 × 10+3 | - | 8.86 × 10+2 | - | 1.120 × 10+3 | |
| Resource depletion (kg Sb eq.) | 2.98–4.67 × 10−3 | 0.9–4.1 × 10−4 | - | 4.17 × 10−1 | - | 4.64 × 10−3 | |
| Energy consumption (MJ) | 2.55–3.88 × 10+2 | - | 1.71–7.06 × 10+2 | - | 2.697–4.426 × 10+2 | - | |
| Fossil fuel depletion (MJ) | 1.26–1.77 × 10+1 | 4.797–11.07 × 10+2 | 1.7–6.9 × 10+1 | - | - | 7.09 × 10+1 | |
| Ozone depletion potential (kg CFC-11 eq.)×10−6 | 2.33–3.07 | 0.8–1.5 × 10−1 | 1.5–5 | 7.04 | 3.45–6.1 × 10−2 | 9.6 | |
| Ionizing radiation potential (kBq U235 eq.) | 1.62–2.27 | - | 8.0–14.5 | 2.60 | - | 5.0 | |
| Waste | Bayan Obo Tailings | New Kankberg Tailings | Covas Tailings | Bayan Obo Tailings | Electronic | Magnet | FluorescentPowders | Fluorescent Powder | |
|---|---|---|---|---|---|---|---|---|---|
| Reference | [48] | [59] | [59] | [30] | [61] | [57] | [62] | [57] | |
| Country | Chine | Sweden | Sweden | Chine | USA | China | |||
| 1kg REO/REE to Be Extracted | Sc2O3 | REO | REO | Sc2O3 + Other REO | REO | REO | REO | REO | |
| Acidification potential (kg SO2 eq.) | 1.58 × 10+1 | - | - | 1.44 × 10−3 | 8.73–113 × 10−3 | 1.51 × 10−3 ** | 4.278 × 10−2 | 1.89 × 10−3 ** | |
| Freshwater ecotoxicity potential (CTUe) | 5.68 × 10+2 | - | - | 4.11 × 10−1 | 1.05–15.1 × 10+1 | 1.8 × 10−2 | 1.86 × 10+2 | 2 | |
| Freshwater eutrophication potential (kg P eq.) | - | - | - | - | - | 3 × 10−1 | 3.9 × 10−4 | - | |
| Terrestrial eutrophication potential (kg N eq.) | 1.01 | - | - | 8.2 × 10−5 | 5.08–65.7 × 10−3 | 8.0 × 10−3 | - | 1.0 × 10−2 | |
| Global warming potential (kg CO2 eq.) | 3.940 × 10+3 | 6.27 × 10−1 * | 5.88 * | 3.4 × 10−1 | 1.81–21.7 | 6 | 2.007 × 10+1 | 2.0 × 10+1 | |
| Human toxicity potential | (CTUh) | 2.56 × 10−6 | - | - | 1.62 × 10−3 | 7.24–94.4 × 10−7 | 2 × 10−5 | 3.18 × 10−6 | 1 × 10−6 |
| (kg 1,4-DCB eq.) | - | 7.7 × 10−12 * | 1.92 × 10−9 * | - | - | - | - | ||
| Particulate matter formation potential (kg PM2.5 eq.) | 4.51 | - | - | 4.7 × 10−4 | 6.94–107 × 10−4 | 1.4 × 10−3 | 7.0 × 10−3 | 5 × 10−3 | |
| Water consumption potential (kg/kg eq.) | 2.54 × 10+5 | - | - | - | 4.00 × 10+2 | 3.180 × 10+3 | 5.00 × 10+2 | ||
| Resource depletion (kg Sb eq.) | - | 2.5 × 10−6 * | 1.3 × 10−5 * | - | 3.6 × 10−1 | - | 4.5 × 10−5 | ||
| Energy consumption (MJ) | 1.01 × 10+4 | - | - | - | - | 1.784 × 10+2 | - | ||
| Fossil fuel depletion (MJ) | 2.655 × 10+3 | 1.567 × 10+1 * | 1.37 × 10+2 * | 1.05 | 1.99–24.9 | - | - | ||
| Ozone depletion (kg CFC-11 eq.) × 10−6 | 2.71 | - | - | - | 5.12–99.6 × 10−1 | 2.6 × 10−1 | 1.596 × 10−1 | 3 × 10−2 | |
| Ionizing radiation potential (kBq U235 eq.) | - | - | - | - | 2 | 2.106 × 10+1 | 3.5 | ||
References
- Ganguli, R.; Cook, D.R. Rare earths: A review of the landscape. MRS Energy Sustain. 2018, 5, 1–6. [Google Scholar] [CrossRef] [Green Version]
- Binnemans, K.; McGuiness, P.; Jones, P.T. Rare-earth recycling needs market intervention. Nat. Rev. Mater. 2021, 6, 459–461. [Google Scholar] [CrossRef]
- Yin, X.; Martineau, C.; Demers, I.; Basiliko, N.; Fenton, N.J. The potential environmental risks associated with the development of rare earth element production in Canada. Environ. Rev. 2021, 29, 354–377. [Google Scholar] [CrossRef]
- Pagano, G.; Thomas, P.J.; Di Nunzio, A.; Trifuoggi, M. Human exposures to rare earth elements: Present knowledge and research prospects. Environ. Res. 2019, 171, 493–500. [Google Scholar] [CrossRef] [PubMed]
- Bonfante, M.C.; Raspini, J.P.; Fernandes, I.B.; Fernandes, S.; Campos, L.M.; Alarcon, O.E. Achieving Sustainable Development Goals in rare earth magnets production: A review on state of the art and SWOT analysis. Renew. Sustain. Energy Rev. 2021, 137, 110616. [Google Scholar] [CrossRef]
- Ikhlayel, M. Evaluation of the environmental impacts of rare earth elements production. Int. J. Environ. Sci. 2017, 74, 939–957. [Google Scholar] [CrossRef]
- McLellan, B.C.; Corder, G.D.; Ali, S.H. Sustainability of Rare Earths—An Overview of the State of Knowledge. Minerals 2013, 3, 304–317. [Google Scholar] [CrossRef]
- Peppoloni, S.; Di Capua, G. Geoethics: Manifesto for An Ethics of Responsibility towards the Earth; Springer: Cham, Switzerland, 2022; 123p, ISBN 978-3030980436. [Google Scholar]
- Koltun, P.; Tharumarajah, A. Life Cycle Impact of Rare Earth Elements. ISRN Met. 2014, 2014, 907536. [Google Scholar] [CrossRef] [Green Version]
- Dushyantha, N.; Batapola, N.; Ilankoon, I.M.S.K.; Rohitha, S.; Premasiri, R.; Abeysinghe, B.; Ratnayake, N.; Dissanayake, K. The story of rare earth elements (REEs): Occurrences, global distribution, genesis, geology, mineralogy and global production. Ore Geol. Rev. 2020, 122, 103521. [Google Scholar] [CrossRef]
- Sadri, F.; Nazari, A.M.; Ghahreman, A. A review on the cracking, baking and leaching processes of rare earth element concentrates. J. Rare Earths 2017, 35, 739–752. [Google Scholar] [CrossRef]
- Gupta, C.K.; Krishnamurthy, N. Extractive Metallurgy of Rare Earths; CRC Press: Boca Raton, FL, USA, 2005; ISBN 0-415-33340-7. [Google Scholar]
- Royen, H.; Fortkamp, U. Rare Earth Elements: Purification, Separation and Recycling; Report No. C 211; IVL Swedish Environmental Research Institute Ltd.: Stockholm, Sweden, 2016; 34p, ISBN 978-91-88319-12-8. [Google Scholar]
- Schreiber, A.; Marx, J.; Zapp, P.; Hake, J.-F.; Voßenkaul, D.; Friedrich, B. Environmental Impacts of Rare Earth Mining and Separation Based on Eudialyte: A New European Way. Resources 2016, 5, 32. [Google Scholar] [CrossRef] [Green Version]
- Nasdala, L.; Akhmadaliev, S.; Burakov, B.E.; Chanmuang N, C.; Škoda, R. The absence of metamictisation in natural monazite. Sci. Rep. 2020, 10, 14676. [Google Scholar] [CrossRef]
- Navarro, J.; Zhao, F. Life-Cycle Assessment of the Production of Rare-Earth Elements for Energy Applications: A Review. Front. Energy Res. 2014, 2, 45. [Google Scholar] [CrossRef] [Green Version]
- Zhou, L.; Wang, X.; Zhuo, Y.; Hu, K.; Zhong, W.; Huang, G. Dynamic pore structure evolution of the ion adsorbed rare earth ore during the ion exchange process. R. Soc. Open Sci. 2019, 6, 191107. [Google Scholar] [CrossRef]
- Ayora, C.; Macías, F.; Torres, E.; Lozano, A.; Carrero, S.; Nieto, J.M.; Pérez-López, R.; Fernández-Martínez, A.; Castillo-Michel, H. Recovery of Rare Earth Elements and Yttrium from Passive-Remediation Systems of Acid Mine Drainage. Environ. Sci. Technol. 2016, 50, 8255–8262. [Google Scholar] [CrossRef]
- Costis, S.; Mueller, K.K.; Coudert, L.; Neculita, C.M.; Reynier, N.; Blais, J.-F. Recovery potential of rare earth elements from mining and industrial residues: A review and cases studies. J. Geochem. Explor. 2021, 221, 106699. [Google Scholar] [CrossRef]
- Gómez-Arias, A.; Yesares, L.; Díaz, J.; Caraballo, M.A.; Maleke, M.; Sáez, R.; van Heerden, E.; Vermeulen, D.; Nieto, J.M.; Castillo, J. Mine waste from carbonatite deposits as potential rare earth resource: Insight into Phalaborwa (Palabora) Complex. J. Geochem. Explor. 2021, 232, 106884. [Google Scholar] [CrossRef]
- Hermassi, M.; Granados, M.; Valderrama, C.; Ayora, C.; Cortina, J.L. Recovery of rare earth elements from acidic mine waters: An unknown secondary resource. Sci. Total Environ. 2022, 810, 152258. [Google Scholar] [CrossRef]
- Larochelle, T.; Noble, A.; Ziemkiewicz, P.; Hoffman, D.; Constant, J. A Fundamental Economic Assessment of Recovering Rare Earth Elements and Critical Minerals from Acid Mine Drainage Using a Network Sourcing Strategy. Minerals 2021, 11, 1298. [Google Scholar] [CrossRef]
- Royer-Lavallée, A.; Neculita, C.M.; Coudert, L. Removal and potential recovery of rare earth elements from mine water. J. Ind. Eng. Chem. 2020, 89, 47–57. [Google Scholar] [CrossRef]
- Kim, R.; Cho, H.; Han, K.N.; Kim, K.; Mun, M. Optimization of Acid Leaching of Rare-Earth Elements from Mongolian Apatite-Based Ore. Minerals 2016, 6, 63. [Google Scholar] [CrossRef] [Green Version]
- Li, S.; Malik, M.; Azimi, G. Extraction of Rare Earth Elements from Phosphogypsum Using Mineral Acids: Process Development and Mechanistic Investigation. Ind. Eng. Chem. Res. 2022, 61, 102–114. [Google Scholar] [CrossRef]
- Costis, S.; Mueller, K.K.; Blais, J.F.; Royer-Lavallée, A.; Coudert, L.; Neculita, C.M. Review of recent work on the recovery of rare earth elements from secondary sources. In Natural Resources of Canada Report; Bibliothèque et Archives Canada: Ottawa, ON, Canada, 2019; 63p, ISBN 978-2-89146-926-5. [Google Scholar]
- Hassas, B.V.; Rezaee, M.; Pisupati, S.V. Precipitation of rare earth elements from acid mine drainage by CO2 mineralization process. Chem. Eng. J. 2020, 399, 125716. [Google Scholar] [CrossRef]
- Balassone, G.; Manfredi, C.; Vasca, E.; Bianco, M.; Boni, M.; Di Nunzio, A.; Lombardo, F.; Mozzillo, R.; Marino, A.; Mormone, A.; et al. Recycling REEs from the Waste Products of Silius Mine (SE Sardinia, Italy): A Preliminary Study. Sustainability 2021, 13, 14000. [Google Scholar] [CrossRef]
- Blissett, R.S.; Smalley, N.; Rowson, N.A. An investigation into six coal fly ashes from the United Kingdom and Poland to evaluate rare earth element content. Fuel 2014, 119, 236–239. [Google Scholar] [CrossRef] [Green Version]
- Wang, Z.; Dai, S.; Zou, J.; French, D.; Graham, I.T. Rare earth elements and yttrium in coal ash from the Luzhou power plant in Sichuan, Southwest China: Concentration, characterization and optimized extraction. Int. J. Coal Geol. 2019, 203, 1–14. [Google Scholar] [CrossRef]
- Arvanitidis, N.; Boon, J.; Nurmi, P.; Di Capua, G. White Paper on Responsible Mining. IAPG—International Association for Promoting Geoethics. 2017. Available online: http://www.geoethics.org/wp-responsible-mining (accessed on 18 February 2022).
- Lima, A.; Esperancinha, S.; Morris, J. Chapter 6—Geoethics and Georesources. In Teaching Geoethics, Resources for Higher Education; Vasconcelos, C., Schneider-Voß, S., Peppoloni, S., Eds.; Universidade do Porto: Porto, Portugal, 2020; 208p, ISBN 978-989-746-254-2. [Google Scholar]
- Di Capua, G.; Peppoloni, S.; Bobrowsky, P.T. The Cape Town Statement on Geoethics. Ann. Geophys. 2017, 60, 1–6. [Google Scholar] [CrossRef] [Green Version]
- Potthast, T. Toward an Inclusive Geoethics—Commonalities of Ethics in Technology, Science, Business, and Environment. Geoethics 2015, 49, 56. [Google Scholar] [CrossRef]
- Boon, J. Relationships and the Course of Social Events during Mineral Exploration—An Applied Sociology Approach; Springer Nature: London, UK, 2020. [Google Scholar] [CrossRef]
- Peppoloni, S.; Di Capua, G. Geoethics as global ethics to face grand challenges for humanity. Geol. Soc. Lond. Spec. Publ. 2020, 508, 13–29. [Google Scholar] [CrossRef]
- Peppoloni, S.; Di Capua, G. Geoethics: Ethical, Social and Cultural Implications in Geosciences. Ann. Geophys. 2017, 60. [Google Scholar] [CrossRef] [Green Version]
- Peppoloni, S.; Bilham, N.; Di Capua, G. Chapter 2—Contemporary Geoethics within the Geosciences. In Exploring Geoethics; Ethical Implications, Societal Contexts, and Professional Obligations of the Geosciences; Bohle, M., Ed.; Springer: Berlin/Heidelberg, Germany, 2019; 227p, ISBN 978-3-030-12009-2. [Google Scholar]
- Peppoloni, S.; Di Capua, G. Chapter 4—Theoretical Aspects of Geoethics. In Teaching Geoethics, Resources for Higher Education; Vasconcelos, C., Schneider-Voß, S., Peppoloni, S., Eds.; Universidade do Porto: Porto, Portugal, 2020; 207p, ISBN 978-989-746-254-2. [Google Scholar]
- Omodara, L.; Pitkäaho, S.; Turpeinen, E.-M.; Saavalainen, P.; Oravisjärvi, K.; Keiski, R.L. Recycling and substitution of light rare earth elements, cerium, lanthanum, neodymium, and praseodymium from end-of-life applications—A review. J. Clean. Prod. 2019, 236, 117573. [Google Scholar] [CrossRef]
- Kinnunen, P.H.-M.; Kaksonen, A.H. Towards circular economy in mining: Opportunities and bottlenecks for tailings valorization. J. Clean. Prod. 2019, 228, 153–160. [Google Scholar] [CrossRef]
- Zhang, W.; Noble, A.; Yang, X.; Honaker, R. A Comprehensive Review of Rare Earth Elements Recovery from Coal-Related Materials. Minerals 2020, 10, 451. [Google Scholar] [CrossRef]
- Ceniceros-Gómez, A.E.; Macías-Macías, K.Y.; de la Cruz-Moreno, J.E.; Gutiérrez-Ruiz, M.E.; Martínez-Jardines, L.G. Characterization of mining tailings in México for the possible recovery of strategic elements. J. S. Am. Earth Sci. 2018, 88, 72–79. [Google Scholar] [CrossRef]
- European Commission, Joint Research Centre. Recovery of Critical and Other Raw Materials from Mining Waste and Landfills: State of Play on Existing Practices; Blengini, G., Mathieux, F., Mancini, L., Nyberg, M., Viegas, H., Eds.; Publications Office: Luxembourg, 2019. [Google Scholar]
- Mudd, G.M. Sustainable/responsible mining and ethical issues related to the Sustainable Development Goals (SDGs). Geol. Soc. Lond. Spec. 2020, 508, 187–199. [Google Scholar] [CrossRef]
- Weng, Z.; Haque, N.; Mudd, G.M.; Jowitt, S.M. Assessing the energy requirements and global warming potential of the production of rare earth elements. J. Clean. Prod. 2016, 139, 1282–1297. [Google Scholar] [CrossRef]
- Pell, R.; Wall, F.; Yan, X.; Li, J.; Zeng, X. Mineral processing simulation based-environmental life cycle assessment for rare earth project development: A case study on the Songwe Hill project. J. Environ. Manag. 2019, 249, 109353. [Google Scholar] [CrossRef] [PubMed]
- Wang, L.; Wang, P.; Chen, W.-Q.; Wang, Q.-Q.; Lu, H.-S. Environmental impacts of scandium oxide production from rare earths tailings of Bayan Obo Mine. J. Clean. Prod. 2020, 270, 122464. [Google Scholar] [CrossRef]
- Stranddorf, H.K.; Hoffmann, L.; Schmidt, A. Impact categories, normalisation and weighting in LCA. In Environmental News; The Danish Ministry of the Environment, Environmental Protection Agency: Copenhagen, Denmark, 2005. [Google Scholar]
- Tool for the Reduction and Assessment of Chemical and Other Environmental Impacts (TRACI) TRACI Version 2.1, User’s Guide; United States Environmental Protection Agency (USEPA): Washington, DC, USA, 2012.
- Hujbregts, M.A.J.; Steinmann, Z.J.N.; Elshout, P.M.F.; Stam, G.; Verones, F.; Vieira, M.D.M.; Zijp, M.; Hollander, A.; van Zelm, R. ReCiPe 2016, V1.1: A Harmonized Life Cycle Impact Assessment Method at Midpoint and Endpoint Level, Report I: Characterization. RIVM Report 2016-0104a; National Institute for Public Health and the Environment: Utrecht, The Netherlands, 2016; 194p. [Google Scholar]
- Huijbregts, M.A.J.; Steinmann, Z.J.N.; Elshout, P.M.F.; Stam, G.; Verones, F.; Vieira, M.; Zijp, M.; Hollander, A.; van Zelm, R. ReCiPe2016: A harmonised life cycle impact assessment method at midpoint and endpoint level. Int. J. Life Cycle Assess. 2017, 22, 138–147. [Google Scholar] [CrossRef]
- Sala, S.; Crenna, E.; Secchi, M.; Pant, R. Global Normalisation Factors for the Environmental Footprint and Life Cycle Assessment, EUR (28984); Publications Office of the European Union: Luxembourg, 2017; ISBN 978-92-79-77213-9. [Google Scholar]
- Singh, V.; Dincer, I.; Rosen, M.A. Chapter 4.2—Life Cycle Assessment of Ammonia Production Methods. In Exergetic, Energetic and Environmental Dimensions; Dincer, I., Colpan, C.O., Kizilkan, O., Eds.; Academic Press: Cambridge, MA, USA, 2018; pp. 935–959. [Google Scholar]
- Farjana, S.H.; Huda, N.; Mahmud, M.P.; Saidur, R. A review on the impact of mining and mineral processing industries through life cycle assessment. J. Clean. Prod. 2019, 231, 1200–1217. [Google Scholar] [CrossRef]
- Arshi, P.S.; Vahidi, E.; Zhao, F. Behind the Scenes of Clean Energy: The Environmental Footprint of Rare Earth Products. ACS Sustain. Chem. Eng. 2018, 6, 3311–3320. [Google Scholar] [CrossRef]
- Amato, A.; Becci, A.; Birloaga, I.; De Michelis, I.; Ferella, F.; Innocenzi, V.; Ippolito, N.; Jiménez-Gómez, C.P.; Vegliò, F.; Beolchini, F. Sustainability analysis of innovative technologies for the rare earth elements recovery. Renew. Sustain. Energy Rev. 2019, 106, 41–53. [Google Scholar] [CrossRef]
- Schulze, R.; Lartigue-Peyrou, F.; Ding, J.; Schebek, L.; Buchert, M. Developing a Life Cycle Inventory for Rare Earth Oxides from Ion-Adsorption Deposits: Key Impacts and Further Research Needs. J. Sustain. Met. 2017, 3, 753–771. [Google Scholar] [CrossRef]
- Grzesik, K.; Kossakowska, K.; Bieda, B.; Kozakiewicz, R. Screening Life Cycle Assessment of beneficiation processes for Rare Earth Elements recovery from secondary sources. IOP Conf. Ser. Earth Environ. Sci. 2019, 214, 012068. [Google Scholar] [CrossRef]
- Wang, L.; Jiao, G.H.; Lu, H.S.; Wang, Q.Q. Life Cycle Assessment of Integrated Exploitation Technology for Tailings in Bayan Obo Mine, China. Appl. Ecol. Environ. Res. 2019, 17, 4343–4359. [Google Scholar] [CrossRef]
- Li, Z.; Diaz, L.A.; Yang, Z.; Jin, H.; Lister, T.E.; Vahidi, E.; Zhao, F. Comparative life cycle analysis for value recovery of precious metals and rare earth elements from electronic waste. Resour. Conserv. Recycl. 2019, 149, 20–30. [Google Scholar] [CrossRef]
- Yang, D.; Gao, S.; Hong, J.; Ye, L.; Ma, X.; Qi, C.; Li, X. Life cycle assessment of rare earths recovery from waste fluorescent powders—A case study in China. Waste Manag. 2019, 99, 60–70. [Google Scholar] [CrossRef]
- Wall, F.; Rollat, A.; Pell, R.S. Responsible Sourcing of Critical Metals. Elements 2017, 13, 313–318. [Google Scholar] [CrossRef] [Green Version]
- Koltun, P.; Klymenko, V. Cradle-to-gate life cycle assessment of the production of separated mix of rare earth oxides based on Australian production route. Min. Miner. Deposits 2020, 14, 1–15. [Google Scholar] [CrossRef]
- Bailey, G.; Joyce, P.J.; Schrijvers, D.; Schulze, R.; Sylvestre, A.M.; Sprecher, B.; Vahidi, E.; Dewulf, W.; Van Acker, K. Review and new life cycle assessment for rare earth production from bastnäsite, ion adsorption clays and lateritic monazite. Resour. Conserv. Recycl. 2020, 155, 104675. [Google Scholar] [CrossRef]
- Pyrgaki, K.; Gemeni, V.; Karkalis, C.; Koukouzas, N.; Koutsovitis, P.; Petrounias, P. Geochemical Occurrence of Rare Earth Elements in Mining Waste and Mine Water: A Review. Minerals 2021, 11, 860. [Google Scholar] [CrossRef]
- Sprecher, B.; Xiao, Y.; Walton, A.; Speight, J.; Harris, R.; Kleijn, R.; Visser, G.; Kramer, G.J. Life Cycle Inventory of the Production of Rare Earths and the Subsequent Production of NdFeB Rare Earth Permanent Magnets. Environ. Sci. Technol. 2014, 48, 3951–3958. [Google Scholar] [CrossRef]
- Zaimes, G.G.; Hubler, B.J.; Wang, S.; Khanna, V. Environmental Life Cycle Perspective on Rare Earth Oxide Production. ACS Sustain. Chem. Eng. 2015, 3, 237–244. [Google Scholar] [CrossRef]
- Lee, J.C.; Wen, Z. Rare Earths from Mines to Metals: Comparing Environmental Impacts from China’s Main Production Pathways. J. Ind. Ecol. 2017, 21, 1277–1290. [Google Scholar] [CrossRef]
- Marx, J.; Schreiber, A.; Zapp, P.; Walachowicz, F. Comparative Life Cycle Assessment of NdFeB Permanent Magnet Production from Different Rare Earth Deposits. ACS Sustain. Chem. Eng. 2018, 6, 5858–5867. [Google Scholar] [CrossRef]
- Pell, R.; Wall, F.; Yan, X.; Li, J.; Zeng, X. Temporally explicit life cycle assessment as an environmental performance decision making tool in rare earth project development. Miner. Eng. 2019, 135, 64–73. [Google Scholar] [CrossRef]
- Browning, C.; Northey, S.; Haque, N.; Bruckard, W.; Cooksey, M. Life Cycle Assessment of Rare Earth Production from Monazite. In REWAS 2016; Kirchain, R.E., Blanpain, B., Meskers, C., Olivetti, E., Apelian, D., Howarter, J., Eds.; Springer: Cham, Switzerland, 2016. [Google Scholar] [CrossRef]
- Zapp, P.; Marx, J.; Schreiber, A.; Friedrich, B.; Voßenkaul, D. Comparison of dysprosium production from different resources by life cycle assessment. Resour. Conserv. Recycl. 2018, 130, 248–259. [Google Scholar] [CrossRef]
- Vahidi, E.; Navarro, J.; Zhao, F. An initial life cycle assessment of rare earth oxides production from ion-adsorption clays. Resour. Conserv. Recycl. 2016, 113, 1–11. [Google Scholar] [CrossRef] [Green Version]
- Deng, H.; Kendall, A. Life cycle assessment with primary data on heavy rare earth oxides from ion-adsorption clays. Int. J. Life Cycle Assess. 2019, 24, 1643–1652. [Google Scholar] [CrossRef] [Green Version]



| Impact Category | Unit |
|---|---|
| Acidification | kg SO2 eq. |
| Freshwater eutrophication | kg PO43− eq. |
| Terrestrial eutrophication | kg N eq. |
| Global warming potential or climate change | kg CO2 eq. |
| Particulate matter formation | kg PM2.5 eq. |
| Water consumption | kg/kg eq. |
| Abiotic resource depletion | kg Sb eq. |
| Fossil fuel depletion | MJ |
| Ozone depletion | kg CFC-11 eq. |
| Ionizing radiation | kBq 235U eq. |
| Freshwater ecotoxicity | kg 1,4-DCB eq. or CTUe |
| Human toxicity | kg 1,4-DCB eq. or CTUh |
Publisher’s Note: MDPI stays neutral with regard to jurisdictional claims in published maps and institutional affiliations. |
© 2022 by the authors. Licensee MDPI, Basel, Switzerland. This article is an open access article distributed under the terms and conditions of the Creative Commons Attribution (CC BY) license (https://creativecommons.org/licenses/by/4.0/).
Share and Cite
Jouini, M.; Royer-Lavallée, A.; Pabst, T.; Chung, E.; Kim, R.; Cheong, Y.-W.; Neculita, C.M. Sustainable Production of Rare Earth Elements from Mine Waste and Geoethics. Minerals 2022, 12, 809. https://doi.org/10.3390/min12070809
Jouini M, Royer-Lavallée A, Pabst T, Chung E, Kim R, Cheong Y-W, Neculita CM. Sustainable Production of Rare Earth Elements from Mine Waste and Geoethics. Minerals. 2022; 12(7):809. https://doi.org/10.3390/min12070809
Chicago/Turabian StyleJouini, Marouen, Alexandre Royer-Lavallée, Thomas Pabst, Eunhyea Chung, Rina Kim, Young-Wook Cheong, and Carmen Mihaela Neculita. 2022. "Sustainable Production of Rare Earth Elements from Mine Waste and Geoethics" Minerals 12, no. 7: 809. https://doi.org/10.3390/min12070809
APA StyleJouini, M., Royer-Lavallée, A., Pabst, T., Chung, E., Kim, R., Cheong, Y.-W., & Neculita, C. M. (2022). Sustainable Production of Rare Earth Elements from Mine Waste and Geoethics. Minerals, 12(7), 809. https://doi.org/10.3390/min12070809

