Abstract
The core of detrital zircons from the southern Meiganga gold-bearing placers were analyzed by Laser Ablation Split Stream analytical techniques to determine their trace element abundances and U-Pb ages. The obtained data were used to characterize each grain, determine its formation condition, and try to trace the provenance. The Hf (5980 to 12,010 ppm), Y (27–1650 ppm), U (25–954 ppm), Th (8–674 ppm), Ti (2–256 ppm), Ta, Nb, and Sr (mainly <5 ppm), Th/U (0.06–2.35), Ti zircon temperature (617–1180 °C), ∑REE (total rare earth element) (98–1030 ppm), and Eu/Eu* (0.03 to <1.35) are predominant values for igneous crustal-derived zircons, with very few from mantle sources and of metamorphic origin. Crustal igneous zircons are mainly inherited grains crystallized in granitic magmas (with some charnockitic and tonalitic affinities) and a few from syenitic melts. Mantle zircons were crystallized in trace element depleted mantle source magmatic intrusion during crustal opening. Metamorphic zircons grown in sub-solidus solution in equilibrium with garnet “syn-metamorphic zircons” and in equilibrium with anatectic melts “anatectic zircons” during crustal tectono-metamorphic events. The U-Pb (3671 ± 23–612 ± 11 Ma) ages distinguish: Eoarchean to Neoproterozoic igneous zircons; Neoarchean to Mid Paleoproterozoic anatectic zircons; and Late Neoproterozoic syn-metamorphic grains. The Mesoarchean to Middle Paleoproterozoic igneous zircons are probably inherited from pyroxene-amphibole-bearing gneiss (TTGs composition) and amphibole-biotite gneiss, whose features are similar to those of the granites, granodiorites, TTG, and charnockites found in the Congo Craton, south Cameroon. The youngest igneous zircons could be grains eroded from Pan-African intrusion(s) found locally. Anatectic and syn-metamorphic zircons could have originated from amphibole-biotite gneiss underlying the zircon-gold bearing placers and from locally found migmatized rocks that are from the Cameroon mobile belt, which could be used as proxies for tracking gold.
1. Introduction
Meiganga is one of the key areas for small scale gold mining activities in Cameroon. As in many areas in this country, gold is extracted from supergene assemblages and terrigenous sediments (alluvium, eluvium, colluvium, and terrace) of mostly unknown primary sources (Figure 1). The clastic gold particles (very fine to coarse grained) are generally associated with some heavy minerals (e.g., zircon, magnetite, kyanite, ilmenite, and tourmaline) [1,2]. These weathering-resistant minerals are very useful in provenance studies, as they can register important information on their source rock petrogenesis, paleoenvironment, and tectonic reconstitution [3,4,5,6,7,8,9]. Some of these heavy minerals often fingerprint information on the chemistry of their environment of crystallization, the nature of their source rocks, and on the pre-existing tectonic settings [4,5,8,9,10,11]. Zircon in particular is an important mineral in fingerprinting source parameters [5,12,13,14,15]. One of the key tools to determine zircon source parameters is the combination of zircon geochemistry and U-Pb dating [4,8,9,10]. Each zircon has a characteristic age reflecting its genesis, and the population of detrital zircons in a sediment is a function of the age signature of source rocks in the proto-source terranes [12].
Figure 1.
Geological sketch map of regional and local settings; (a) Cameroon in Africa, (b) geologic map of Adamawa, North and Far North Cameroon with the location of the south of Meiganga and (c) geological map of the south of Meiganga with the sample location.
Meiganga is in the Central part of the Cameroon mobile belt [16], a mega-tectonic structure that formed during the Neoproterozoic, from a collision between the Saharan meta-craton and Congo Craton [17,18]. Recent research works carried out on rocks found in the west of Meiganga have revealed the existence of Archean and Paleoproterozoic inheritance [19,20,21]. Trace element geochemistry and U-Pb ages of detrital zircon from gold-bearing placers in the west of Meiganga show that they were mainly crystallized and sourced from Archean to Precambrian granitoids [9].
Gold-bearing sediments were found in some streams in the southern part of Meiganga. The gold particles are associated with zircon, tourmaline, magnetite, kyanite, and ilmenite [1]. The source rocks and crystallization processes of most of these heavy minerals are poorly constrained. Djou [1] suggested a gneissic origin for a part of the deposited clasts, based on the presence of kyanite within the heavy mineral suites. Detailed analyses have not yet been carried on those minerals to help understand their source history and constrain their provenance. In this paper, we present trace element abundance and U-Pb core age for zircons from this gold placer. These data are used to characterize each grain, understand its formation history, and try to locate its proto-source and source rock within the local and regional settings.
2. Overview on the Regional and Local Geologic Settings
2.1. Brief Review of the Regional Geology
Basement formations in Cameroon (Figure 2) comprise Archean, Paleoproterozoic (Eburnean), and Pan-African rocks (Table 1). Archean units (>2500 Ma) constitute the Congo Craton, while the Paleoproterozoic ones (2400–1800 Ma) include the West Central African Belt and Pan-African/Cambrian units that constitute the Oubanguide Belt in the Mobile Zone [22,23].
Figure 2.
Sketch geological map of Cameroon (adapted from [38]). Oubanguide Complex: NCSG: Northern Cameroon SGp (PG: Poli Group, AG: Adamawa Group, WCG: West Cameroon Group); SCSG: Southern Cameroon SGp (YG: Yaoundé Group, LG: Lom Group, SG: Sanaga Group); SECSGp: Southeastern Cameroon SGp (DG: Dja, YoGroup: Yokadouma, S.O.Group: Sembe Ouesso Group); CCSZ: Centre Cameroon shear zone; SSZ: Sanaga shear zone; Sedimentary cover: (CLG: Chad Lake Group; BG: Benue Group; MG: Manfe Group; DG: Douala Group); B: Cameroon main litho-structural units.
Table 1.
Summarized ages of plutonic and metamorphic rocks found in Congo Craton, Cameroon mobile belt, and Meiganga.
2.1.1. The Ntem Complex
The Archean Craton or Ntem Complex (Figure 2) located in the northwestern end of the Congo Craton [24] is mainly composed of Archean rocks (Table 1) with some reworked Paleoproterozoic material that formed in early Proterozoic times [25]. It is structurally made up of two main units: the Ntem (at the center and south) and the Nyong (in the northwestern) [24]. The Ntem unit is essentially made up of tonalite, trondhjemite, and granodioritic suites (TTGs) and charnockites with TTGs cutting across charnockites and greenstone belts [26]. TTGs and charnockites enclose xenolithic remnants (3.1 Ga) of greenstone belts (banded iron formations and sillimanite-bearing paragneisses) [27,28]. Bounded Iron Formations found in the Ntem unit are locally intercalated with meta-siltstones and meta-sandstones [29]. The TTGs and charnockites were intruded by K-rich granitoids (monzogranite and syenogranite) during the Archean [30,31] and cross-cut by metadoleritic dykes during the Eburnean [32,33] or Late Archean time [34]. The Nyong unit, ranging in age from Archean to Paleoproterozoic [32,35,36,37], and part of the West Central African Fold Belt [23], is composed of migmatitic orthogneisses (TTGs), meta-gabbro, amphibolite, garnetite, eclogite, felsic gneiss of volcanic to volcano-sedimentary origin, quartzite, charnockite, meta-syenite, and BIF [22,23,37]. Migmatites, charnockites, and meta-sedimentary rocks are Archean in age [32,35].
2.1.2. The Cameroon Mobile Belt
The Cameroon mobile zone or Central African Fold belt is a mega-tectonic structure underlying Cameroon, Chad, and the Central African Republic between the Congo Craton to the south and the Nigerian shield to the north [52]. It was formed during the Neoproterozoic, from the collision between the Saharan meta-craton and the Congo craton [17,18]. In the Cameroonian territory, the Central African Fold belt is made up of three main structural units: the Poli Group in its northern part, the Adamawa at the center, and the Yaoundé Group in the south [18]. Within the central African fold belt, several domains are recognized on the basis of field, petrographic, structural, and isotopic studies. These include the Paleoproterozoic gneissic basement, Mesoproterozic to Neoproterozoic schists, and gneisses of Poli, Yaoundé, and Lom, and Pan-African granitoids whose ages range from the early stage of the deformation (orthogneisses) to the late uplit stages of the belts [36]. Examples of geochronological data of some of these rocks are summarized in Table 1.
2.2. Local Geology
The Meiganga part of the Adamawa-Yadé domain (AYD) (Figure 2) is situated between the Congo Craton and the Sahara Metacratron [20]. Basement rocks in Meiganga are composed of paragneisses, orthogneisses, amphibolites, granulites, migmatites, quartzites, metadiorites, schists, and granites [1,2,16,21]. Some gneisses and amphibolites underwent retrograde metamorphism that led to the formation of greenschist facies overprints [16]. Partial melting of gneiss led to the crystallization of leucogranites found in the northern part of Meiganga [16]. Magmatism, cataclastic deformation, rock fracturing, and partial melting of some basement rocks led to the formation of mafic dykes and dykelets, syenitic, micro-granitic, quartzo-feldspathic and quartz-rich veins, brecciated shear zones, and mylonites [1,2,16]. The basement rocks are locally overlain by basaltic flows, lithified clastic sediments (sandstones and conglomerates), unconsolidated detritus (e.g., colluvium, eluvium, alluvium), or red soil [1,2,53]. Skarnoids (hornfels) are visible at the contact between some intrusions and overlying sedimentary rocks.
The western part of Meiganga is made up of pyroxene-amphibole orthogneiss, amphibole gneiss, biotite gneiss, amphibole-biotite gneiss, amphibolite, calc-alkaline and two mica-granites, and amphibole-biotite granite [16,19,20,21,44,47,53]. Pyroxene-amphibole orthogneiss locally enclose mafic xenoliths [44]. The geochemical features of the orthogneiss and U-Pb zircon ages are similar to those of many TTGs and charnockites outcropping within the Archean Ntem complex in the south of Cameroon [20,44]. The ages of some rocks in the west of Meiganga presented in Table 1 range from Archean to Neoproterozoic. Zircons occurring in a gold-bearing placer in the west of Meiganga are inherited grains crystallized from Archean to Precambrian magmatic crustal evens with part of their source rocks being granitoids, TTG, and charnockites [9].
The southern part of Meiganga (Figure 1c) from where the studied zircon were sampled are composed of mainly undated graphite schists, amphibolites, mica-rich quartzites, amphibole-biotite gneisses, orthogneisses, migmatites, calc-alkaline granitic rocks, biotite-amphibole, and biotite-chlorite granites whose formation periods are assumed to be Precambrian as they also belong to the central part of the Cameroon mobile belt [53]. Hornfels are found at the contact between calc-alkaline biotite-chlorite granite and biotite-chlorite granite at the south eastern part of the locality (Figure 1c). Rocks found in valleys are locally covered by alluvial flats and terraces with part of the alluvium hosting gold.
3. Materials and Methods
In total, 111 zircons from gold-bearing alluviums in two areas (Gankoumbol and Yende: Figure 1) were analyzed to determine the trace elements composition and U-Pb core age at the University of California, Santa Barbara, CA, USA. The results from each zircon core were acquired by Laser Ablation Split Stream analytical techniques. The analyzed zircons were sampled upstream and in small size streams to be close to the source area. They were separated from pre-concentrated heavy and light minerals mixtures obtained from 50 L of mainly very coarse-grained alluvium, at the bottom of the gold-bearing pits. Heavy mineral fractions were separated from light minerals using bromoform (Density: 2.7 g/cm−3) at the Department of Earth Sciences of the University of Yaoundé I, Cameroon. The separation procedure is similar to the one described in [54,55].
The gold-bearing heavy mineral fractions were sent for zircon separation, trace element analysis, and U-Pb dating at the Department of Earth Sciences of the University of California. The analytical procedures used to obtain the zircon trace element and U-Pb age data are the same as those presented in [9]. Each mounted grain is polished and analyzed following standard procedures using a laser ablation “split stream” setup consisting of a Photon Machines Excimer 193 nm laser ablation unit coupled to a Nu Instruments, “Nu Plasma” multi-collector inductively coupled a plasma-mass spectrometer and an Agilent 7700S quadrupole inductively coupled plasma-mass spectrometer (for detailed methodology see [56,57,58]. Samples were abraded for 20 s using a fluence of 1.5 J/cm2, a frequency of 4 Hz, and a spot size of 20 µm diameter, resulting in crater depths of ~9 µm. Utilizing a standard-sample bracketing technique, analyses of reference materials with known isotopic compositions were measured before and after each set of the seven unknown analyses. Data reduction, including corrections for baseline, instrumental drift, mass bias, down-hole fractionation, and age and trace element concentration calculations were carried out using Iolite v. 2.1.2 [59]. “91500” zircon (1065.4 ± 0.3 Ma 207Pb/206Pb ID-TIMS age and 1062.4 ± 0.4 Ma 206Pb/238U ID-TIMS age: [60]) served as the primary reference material to monitor and correct for mass bias, as well as Pb/U down-hole fractionation and to calibrate concentration data, while “GJ-1” zircon (608.5 ± 0.4 Ma 207Pb/206Pb and 601.7 ± 1.3 Ma 206Pb/238U ID-TIMS ages: [61]) was treated as an unknown in order to assess accuracy and precision. Twenty-three analyses of GJ-1 zircon throughout the analytical session yield a weighted mean 207Pb/206Pb date of 593 ± 5 Ma, MSWD = 0.8 and a weighted mean 206Pb/238U date of 603 ± 2 Ma, MSWD = 1.0. Concordia and Kernal Density Estimate (KDE) plots were calculated in Isoplot version 2.4 [62] and Density Plotter [63], respectively, using the 238U and 235U decay constants of [64]. All uncertainties are quoted at 95% confidence levels or 2 s level and include contributions from the external reproducibility of the primary reference material for the 207Pb/206Pb and 206Pb/238U ratios. For plotting and age interpretation purposes, the 207Pb/206Pb dates are used for analyses older than 1000 Ma, whereas the 206Pb/238U dates are used for analyses younger than 1000 Ma.
4. Results
4.1. Zircon Geochemistry
4.1.1. Minor Elements
The relatively high Y and Hf contents in part of the studied zircons can reflect a crystallization in Hf-Y-rich melts with favorable conditions for Hf and Y to substitute Zr. The Hf/Y ratios (5.0−293.0) are mainly less than 30, with the highest values exclusively being those of zircons with very low Y contents.
4.1.2. Trace Elements
The trace element (U, Th, Ti, Ta, Nb, Pb, and Sr) abundances (<1000 ppm) and Th/U ratios are heterogeneous with similar values found in some grains (Table 2 and Table 3). Within U and Th elemental suites, U contents (25−954 ppm) mainly exceed 219 ppm, and Th contents (8–674 ppm) are mostly greater than 100 ppm. The Th/U ratios (0.06 to >2.0) are larger than 0.4. Four groups can be distinguished (Figure 3): (1) zircons with Th/U ratios (˂0.2) (lowest proportion); (2) zircons with Th/U ratios (≥0.2 to ≤0.5) (highest proportion); (3) zircons with Th/U ratios (˃0.5 to ≤1.0); and (4) zircons with Th/U ratios ˃1.0. The plotted data in Th versus U binary diagram (Figure 4a) show a pronounced positive correlation (the increase in U content when Th content increases) for group 2–4 zircons; however, no correlation is found for group 1 zircons, as their plots are scattered. This correlation is less pronounced (as part of the plots are scattered) in the Th/U versus U(Figure 4b) and Th/U versus Th (Figure 4c) plot diagrams. The Th/U ratios for group 2 to group 4 are within the range of igneous zircons as presented in [4,5,11,65,66]. Those of group 1 (e.g., MSDZ015, MSDZ040, MSDZ045, MSDZ067, MSDZ082, and MSDZ093) characterize metamorphic zircons if based on the criteria of [5], [67], and [68].
Table 2.
Minor and trace element concentrations (ppm) in the southern Meiganga detrital zircons.
Table 3.
U, Th, and Pb abundance (in ppm), isotopic geochemical data, and U-Pb core ages (in Ma) for the southern Meiganga detrital zircons.
Figure 3.
Number of zircon grains in various classified Th/U ratio’s groups (group 1: Th/U < 0.2, group 2: Th/U [0.2–0.5], group 3: Th/U [0.5–1.0], and group 4: Th/U > 1.0).
Figure 4.
Geochemical correction of various elements/ratios within the southern Meiganga detrital zircons: (a) Th versus U; (b) Th/U versus Th; (c) Th/U versus U; (d) Nb versus Ta (red triangles represent zircon with Th/U < 0.2; blue squares represent zircon with Th/U ratios [0.2 to 0.5]; brown circles represent zircons with Th/U ratios [>0.5 to 0.956]; and yellow stars represent zircons with Th/U > 1.0).
The Ti, Ta, Nb, and Sr contents (<48 ppm) are generally low. This indicates low degrees of substitution of these elements within the crystal structure of zircon. Within these element suites, Ti contents (2 to 256 ppm) are globally less than 12 ppm; with the highest value (256 ppm) being that of MSDZ055. Low Ti-zircons generally have low Th and U, which clearly differentiate them from others. The calculated Ti-zircon temperatures (617 to 1180 °C) (Table 2) are mainly more than 700 °C, with the predominance of zircons whose temperatures ranging from 700–717 °C, 680–694 °C, and 720–728 °C. The highest temperatures are that of MSDZ008 and MSDZ055. The Ta and Nb abundances are generally very close (Figure 4d), and vary from 0.2 to 25.1 ppm and 0.3 to 19.6 ppm, respectively. The highest Ta (25.1 ppm) and Nb (19.6 ppm) values were found in MSDZ085, which also has the highest Th (674 ppm) and relatively high Y (1474 ppm), U (461 ppm), and Ti (33.2 ppm) contents. The Nb/Ta ratios vary from 0.6 to 3.4, with the highest values generally being for zircons with Hf contents (<9000 ppm) and Y contents (>361 to 931 ppm).
4.1.3. Rare Earth Elements (REE)
The REE abundances (Table 4) are variable with the values of total light rare earth elements (LREE: La-Pr) being generally less than those of middle rare earth elements (MREE: Nd-Gd) and heavy rare earth elements (HREE: Tb-Lu). The total rare elements (∑REE) range from 43 to 1030 ppm, with most values being less 400 ppm. Lowest ∑REE contents are that of MSDZ030 (43 ppm), MSDZ046 (98 ppm), and MSDZ059 (79 ppm), of which the normalized patterns (Figure 5a–g) are different from others.
Table 4.
Rare earth element abundance (in ppm) in the southern Meiganga detrital zircons. REE (rare earth elements).
Figure 5.
REE patterns for southern Meiganga zircons normalized to [69], chondrite values versus element (La–Lu) diagrams ((a) zircon with Th/U < 0.2; (b–d) zircon with Th/U [0.2 to 0.5]; (e–g) zircon with Th/U [>0.5 to 1.0]; (h–j) zircon with Th/U > 1.0).
Within the LREE suites, the Ce content (2–187 ppm) is dominant. Significantly high Ce content (187 ppm) was obtained in MSDZ055, which has the highest Pr (28.8 ppm), Nd (41.3 ppm), Ti (256 ppm), and Sr (15.99 ppm) contents. The calculated Ce/Ce* anomalies for a few zircons MSDZ003, MSDZ084, and MSDZ089, are 50, 524, and 436, respectively (Table 4). MREE suites show the predominance of Gd contents (3–161 ppm) over those of Nd (≤41.3 ppm), Sm (≤58.7 ppm), and Eu (≤23.50 ppm). The calculated Eu/Eu* (0.03 to <1.33) (Table 4) and normalized plots (Figure 5), mainly show negative anomalies with just a few slightly pronounced positive anomalies (Figure 5a,d,g). The calculated Sm/LaN ratios range from 246 to 1569. Within the HREE suites, Yb contents (2–461 ppm) are generally higher than the contents of Er (3–210 ppm), Dy (4–248 ppm), Lu (1–78 ppm), Ho (1.0–54 ppm), Tm (≤46 ppm), and Tb (≤32.5 ppm). The HREE normalized patterns (Figure 5) generally show an increase from Tb to Lu, except for a few grains (e.g., MSDZ074, MSDZ090, and MSDZ102) whose plots are almost flat. The calculated Gd/Yb and Lu/Hf ratios are <3.0 and <4.1, respectively, with the highest values in MSDZ059 also having the highest Hf/Y ratio (≈274).
4.2. U-Pb Dating
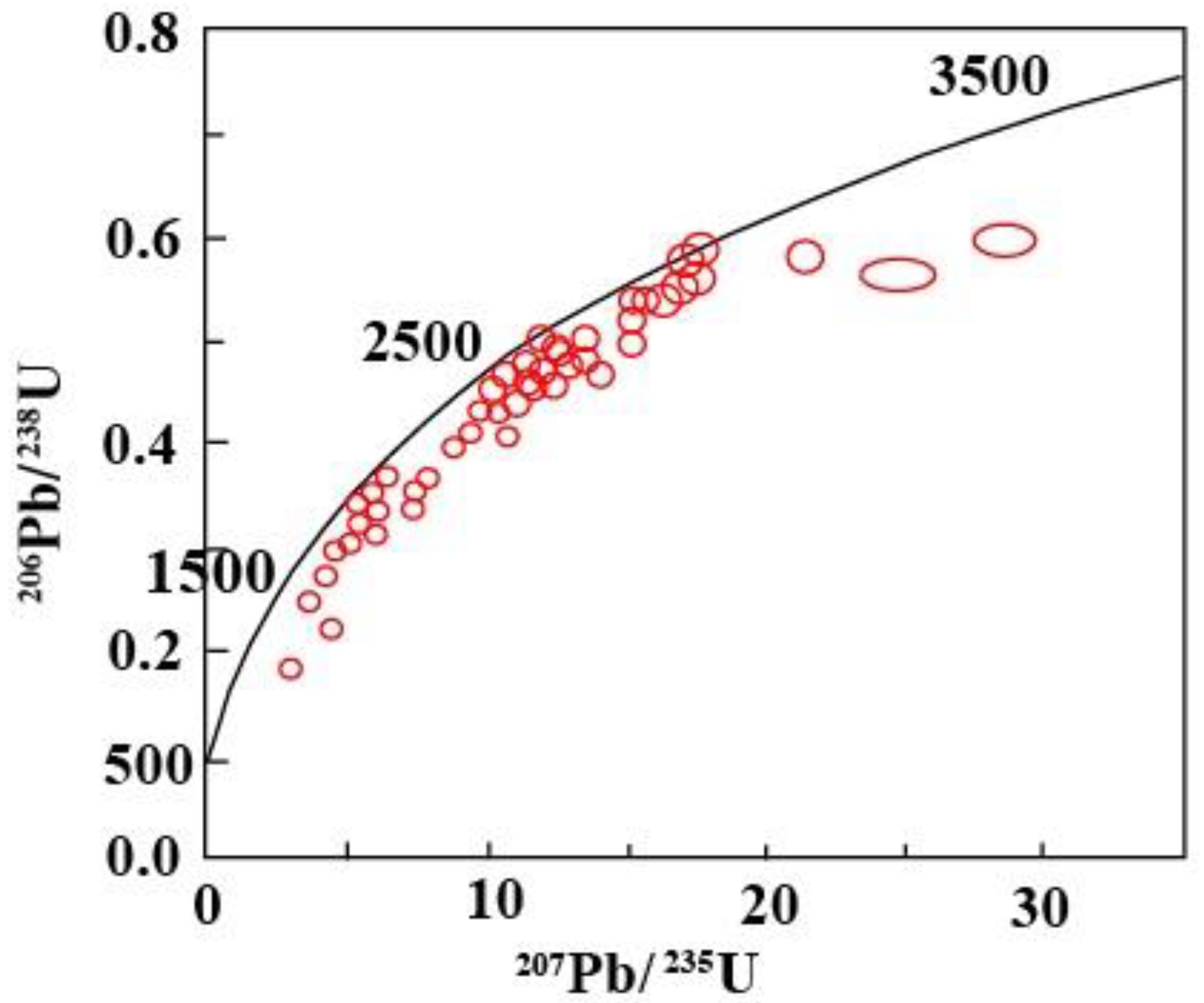
The U-Pb zircon core ages (Table 3, Figure 6 and Figure 7) show Eoarchean to Late Neoproterozoic 207Pb/206Pb (3671 ± 23 to 637 ± 24 Ma), 207Pb/235U (3428 ± 79 to 615 ± 13 Ma), and 206Pb/238U (3038 ± 53 to 612 ± 11 Ma) ages. They are highly heterogeneous, with some different grains having the same age. For plotting and age interpretation purposes, the 207Pb/206Pb dates are used for analyses older than 1000 Ma, whereas the 206Pb/238U dates are used for analyses younger than 1000 Ma. The 207Pb/206Pb data plots for ages greater than 1000 Ma (Figure 7) show the predominance of Middle Paleoproterozoic ages (2050–1993 Ma and 2232–2062 Ma) with the peak at 2130 Ma. Neoarchean age zircons (2797–2531 Ma with the peak at 2700 Ma), in addition to Mesoarchean zircons (3041–2805 Ma) are also abundant. Three grains have ages >3100 Ma (one of Paleo-archean, 3290 Ma, and two of Eo-archean, >3500 Ma). Two grains are of Middle Mesoproterozoic age (>1200 Ma). The 206Pb/238U ages (less than 1000 Ma) for younger zircons show the predominance of the Middle Neoproterozoic ages (Cryogenian) (740–643 Ma), with a few Late Neoproterozoic ages (Ediacarian) (612 and 613 Ma).
Figure 6.
U-Pb discordia diagram for the southern Meiganga detrital zircons.
Figure 7.
Plot showing the spatial distribution of 207Pb/206Pb ages (>1000 Ma) for the southern Meiganga detrital zircons.
5. Discussion
5.1. Zircon Geochemistry, Characterization, Classification, and Environment of Crystallization
The Hf, Y, U, Th, Ti, Nb, Ta, Sr, and REE contents, Th/U ratios, and the Ti-in-zircon temperature are variable, and mainly show a crystallization in different environments. The Th/U ratios distinguish four groups: (1) Th/U < 0.2; (2) Th/U [0.2–0.5]; (3) Th/U [0.5–1.0]; and (4) Th/U > 1.0. They were re-organized into two main groups: (1) igneous affiliated zircons (Th/U ratios ≥ 0.2) and (2) metamorphic affiliated zircons (Th/U ratios < 0.2).
5.1.1. Igneous Affiliated Zircons
The trace and rare earth element abundances in the studied igneous affiliated zircons are generally less than those in some zircons found in Cameroon (e.g., [8,9,70]). For example, zircon inclusions in Mayo Kila gem corundum found in the NW region of Cameroon are composed of Hf (≤26,238 ppm), U (≤17,175 ppm), and Th (≤45,584 ppm) [70]. The ∑REE contents obtained for detrital zircons occurring with gem corundum in the Mamfe Basin, SW region of Cameroon are up to 1470 ppm [8]. These values are largely greater than those of the studied igneous zircons (Table 2, Table 3 and Table 4). They can, therefore, be classified as Hf-U-Th-REE-low zircons. Their Hf values are mainly close to those of magmatic zircons found in the western Meiganga gold-bearing placers (cf. [9]), and might show closeness in their crystallization history. The Hf contents in part of the studied zircons are compatible with the values (<11,000 ppm) in zircons crystallized in alkaline magmas [4,71], suggesting a crystallization in alkaline melts. Their plotted data in Figure 4 and Figure 8 show some correlations, as some zircons are plotted together, suggesting a cogenesis and crystallization in the same/similar magma or in different magmas with similar features. This similarity is supported by the closeness of the values of other trace elements, Th/U ratios, and Ti zircon temperatures, and Eu/Eu*.
Figure 8.
(a) Th/U ratio versus Ti-in-zircon temperature (°C) with some grouping of plots, and (b) ∑REE (ppm) versus Ti zircon temperature (°C) showing correlations within some zircons from the southern Meiganga gold-bearing placers. Some plots are close while others scattered. Red triangles represent zircon with Th/U < 0.2; blue squares represent zircon with Th/U ratios [0.2 to 0.5]; brown circles represent zircons with Th/U ratios [>0.5 to 1.0]; and stars represent zircons with Th/U > 1.0.
The elemental abundances, Th/U ratios, and Ti-zircon temperatures (617–1180 °C) in the igneous zircons distinguished those with relatively high and relatively low values. Relatively high elemental abundance zircons were probably crystallized in trace elements and REE-enriched melts, with favorable conditions for these elements to substitute Zr in each forming crystal. They are probably crustal-derived zircons, as zircon from crustal rocks generally have elevated contents of some trace elements (notably U, Th, and Y) and REE [4,5]. The relatively high Th (674 ppm), Y (1474 ppm), U (461 ppm), Ti (33 ppm), Nb (25 ppm), and Ta (20 ppm) in MSDZ085, for example, can relate its crystallization in a Y-Th-U-Ti-Nb-Ta-rich magma. The Zr substitution by Nb and Ta during this zircon crystallization was probably governed by Nb, Ta, and REE coupled mechanism (cf. [5]), as this grain also has significant total REE (990 ppm). The relatively high Ti (256 ppm in MSDZ055) may be due to crystallization in Ti-enriched environment with sufficient temperature for Ti to substitute Zr; alternatively, it can be due to Ti-rich mineral inclusion. Relating the high Ti content to a mineral inclusion is difficult, as no inclusion was visualized. The relatively high-elemental zircons are generally from granitoids, as their plots fall essentially in granitoid fields in Figure 9, Figure 10 and Figure 11. The granitoid origin of those zircons is confirmed by the Y, U, Th, and Yb abundances, largely within the range limit in granitic zircons [4,11,71].
Figure 9.
Y versus U plot for southern Meiganga detrital zircons (the lithounit fields are from [4,71]). Red triangles represent zircon with Th/U < 0.2; blue squares represent zircon with Th/U ratios [0.2 to 0.5]; brown circles represent zircons with Th/U ratios [>0.5 to 1.0]; and stars represent zircons with Th/U > 1.0.
Figure 10.
Y versus Nb/Ta plot for southern Meiganga detrital zircons (the lithounit fields are from [4,71]). Red triangles represent zircon with Th/U < 0.2; blue squares represent zircon with Th/U ratios [0.2 to 0.5]; brown circles represent zircons with Th/U ratios [>0.5 to 1.0]; and stars represent zircons with Th/U > 1.0).
Figure 11.
Y versus Yb/Sm plot for southern Meiganga detrital zircons (the lithounit fields are from [4,71]). Red triangles represent zircon with Th/U < 0.2; blue squares represent zircon with Th/U ratios [0.2 to 0.5]; brown circles represent zircons with Th/U ratios [>0.5 to 1.0]; and stars represent zircons with Th/U > 1.0).
Interpretations for very low to low elemental contents in part of the studied zircons can be approached in three ways: (1) elements in those zircon’s forming melts are present, but good conditions to ensure that these elements go into their structure are lacking; (2) the depletion or absence of some elements in those zircons’ environment of crystallization; or (3) the presence of other accessory minerals (e.g., apatite, xenotime, monazites, allanite, and titanite) [66,72,73] crystallizing in the same melt and competing for REE and other trace elements. The lowest Hf contents in relatively low elemental zircons are within the range limit (4576–6500 ppm) in magmatic zircons found in the western Mamfe corundum gem placers [6,7,8] and zircon mega-crysts found in alluvial gem corundum deposits associated with alkali basalts (e.g., [74]). These values are also within the range limit (Hf < 9000 ppm) in [10] magmatic zircons crystallized during tectonic rifting. Rifting cannot yet be suggested, as Hf isotopic data are lacking for a detailed interpretation. Zircons from basic and ultrabasic igneous rocks (mantle zircons) are generally depleted in U, Th, Y, and REE [10,75,76]; it is possible that part of the southern Meiganga zircons (e.g., MSDZ016, MSDZ031, MSDZ038, and MSDZ106) were crystallized in mantle source magma(s) as their features, namely U < 30 ppm, Th < 10 ppm, and some plots falling in the mafic rocks field (Figure 9, Figure 10 and Figure 11), are within the range limit in mantle zircons. The Ti-zircon-temperature (<850 °C) for part of the very low U and Th zircons is less than the temperature (>1300 °C: [77]) for the primary mantle source magma. This temperature difference can complicate the affiliation of part of the very low U and Th zircons to mantle sources. They could be crystals that crystallized at the last stage of cooling mantle source magmas or crystals formed in cooling magmas that originated from the partial fusion of pre-existing mafic rocks. A mafic granulitic origin can be suggested, as part the temperatures are within the range limit (816 ± 12 °C to 798 ± 13 °C) proposed by [78]. Based on the plots of very low to low elemental contents zircons in Figure 9, Figure 10 and Figure 11, three protosources are distinguished: granitoids, syenites, and mafic rocks.
5.1.2. Metamorphic Affiliated Zircons
The geochemical features in part of the southern Meiganga detrital zircons are compatible with those of metamorphic zircons grown in equilibrium with garnet (Th/U < 0.07, depletion in REE, Eu/Eu*: 0.24–0.63) (cf. [68]) and crystals grown in equilibrium with an anatectic melt (Th/U < 0.2; relatively trace element-enriched, depleted in MREE, steep REE patterns, positive Ce, and negative Eu anomalies) (cf. [5,9,11,67]). Only one zircon (MSDZ046) with Hf: 9790 ppm, Y: 155 ppm, U: 396 ppm, Th: 26 ppm, Th/U: 0.065, and ∑REE: 98.15 ppm, and Ti temperature: 690 °C, has features close to that of [68] metamorphic zircon grown in subsolidus solution in equilibrium with garnet. This zircon may have crystallized during syn-metamorphic crustal even in low-Th-REE melt. The other zircons (MSDZ015, MSDZ040, MSDZ067, and MSDZ093) have features of zircon grown in equilibrium with anatectic melts, as presented above. The Ti-in-zircon temperatures for these zircons range from 656 ± 60 °C to 778 ± 44 °C, with some values being close to experimental values for granulitic facies metamorphism presented in [78]. Relating their sources to granulitic facies metamorphism is difficult, as some analyses are still needed. MSDZ082, with its positive normalized Pr and Gd plots, is different from the other zircons, as it also has the highest Y (1650 ppm). This grain was plotted in granitoid fields in Figure 9, Figure 10 and Figure 11, and its other features are close to those of granitoid zircons. It was probably crystallized in an anatectic melt of a granitic composition, as a geochemical feature of a metamorphic zircon grown in equilibrium with anatectic melt does not differ from that of igneous zircons (cf. [5]).
5.2. Detrital Zircon Geochronology and Fingerprinted Magmatic-Metamorphic Events
The recorded U-Pb ages (Table 3, Figure 6 and Figure 7) are mainly heterogeneous with some similarities. The heterogeneity of most of the ages show that they were crystallized at different periods and probably sourced from different protosources and/or source rocks. The crystallization periods of igneous crustal derived zircons, ranging from Eoarchean to Late Neoproterozoic (Figure 7), is composed of three main periods with the following peaks: (1) 1300 Ma of Late Mesoproterozoic; (2) 2130 Ma of Early to Middle Paleoproterozoic; and (3) 2700 Ma of mainly Mesoarchean to Neoarchean. The other magmatic zircon crystallization period is Middle to Late Neoproterozoic (740–612 Ma). This could date four main magmatic episodes linked to crustal fusion; the Mesoarchean to Neoarchean, Early to Middle Paleoproterozoic, Late Mesoproterozoic, and Middle to Late Neoproterozoic events. The obtained group of ages for crustal igneous zircons from the southern Meiganga gold placers show that different magmatic protosources and source rocks provided detritus forming these gold placers. The closeness in ages of some zircons (e.g., MSDZ018: 2801 Ma and MSDZ019: 2802 Ma; MSZD032: 2502 Ma; and MSDZ056: 2503 Ma) may show cogenesis and crystallization at the same time and in the same magma, as their plots overlap (in Figure 12) and fall in the same rock type field (in Figure 9, Figure 10 and Figure 11).
Figure 12.
Ti-in-zircon temperature (°C) versus 207Pb/206Pb ages (Ma) showing correlations within some zircons from the southern Meiganga gold-bearing placers.
Mafic rock’s zircons (MSDZ016: 2999 Ma, MSDZ031: 2797 Ma, MSDZ038: 2795 Ma, and MSDZ106: 2121 Ma), are Early Neoarchean, Late Mesoarchean, and Middle Paleoproterozoic (Rhyacian) mantle source crystals formed probably in magmatic intrusions during crustal opening. The closeness in age between MSDZ031 and MSDZ038 can show that they crystallized at the same time, and probably in the same magma, as their data are plotted together in Figure 2, Figure 4, Figure 7, and Figure 12. Their trace element abundances, and their calculated values are also very close (see Table 2, Table 3 and Table 4). The Hf contents in this group of zircons (mantle zircons) are all bellow 9000 ppm, and therefore, within the limit proposed by [10] for zircons crystallized during rifting. Rifting and mantle magmatic intrusion cannot be demonstrated easily, as Hf isotopic data are lacking.
The metamorphic zircons 207Pb/206Pb ages (2796 Ma, 2559 Ma, 2504 Ma, 2215 Ma, and 2169 Ma) and 206Pb/238U age (671 Ma) date three main events: the Neoarchean, Middle Paleoproterozoic, and Middle Neoproterozoic. The Neoarchean and Middle Paleoproterozoic zircons with anatectic melt zircon characteristics, could be grains whose proto-sources underwent metamorphism and partial melting (migmatization). They could be syngenetic zircon crystallized in migrating melts during the Neoarchean and Middle Paleoproterozoic periods. The 671 ± 12 Ma age of MSDZ015 and its geochemical features are similar to those of zircons grown in equilibrium with garnet, which shows that this syngenetic zircon was crystallized in a garnet-rich rock during Middle Neoproterozoic event, probably the Pan-African orogeny, which affected the Cameroon Mobile Belt. This age is close to those of some Pan-African rocks within the Cameroon Mobile Belt presented in Table 1.
5.3. Age Correlation, Potential Sources Rocks, and Deposition
The southern part of Meiganga from where the studied zircons were sampled is mostly made up of undated biotite-amphibole granites; biotite-amphibole gneisses; biotite granites; biotite-chlorite granitic rocks; and few amphibolites and hornfels (see [53]). With a lack of available data dating those rocks, it is difficult to do a local correlation to locate nearby proto-source(s) and source rocks for the southern detrital zircon Meiganga. However, at local and regional scales, the obtained ages are partly similar to those of zircons occurring in the western Meiganga gold-bearing placer presented in [9] and to the ages of some rocks outcropping in the southwest, northeast, and west of Meiganga, and Congo Craton (see Table 1).
Crustal-derived igneous zircons with ages ranging from 3671 to 612 Ma have some age similarities with those of zircons from some igneous and meta-magmatic rocks found in other parts of Meiganga and in the Congo Craton in South Region of Cameroon (Table 5). For these examples, 207Pb/206Pb ages (2605 ± 14 Ma: MSDZ004, 2988 ± 16 Ma: MSDZ009, and 2877 ± 17 Ma: MSDZ077) are close to zircon inherited ages (2602.2 Ma, 2987 Ma, and 2884 Ma) for pyroxene-amphibole-bearing gneiss (TTGs composition: [20,32]) found in the SW of Meiganga. The 206Pb/238U ages (612 ± 11 Ma: MSDZ085 and 619 ± 11 Ma: MSDZ074) are similar to zircon ages (614.1 ± 3.9 and 619.8 ± 9.8 Ma: [37]) for meta-diorite outcropping in the NE of Meiganga. The age of MSDZ043 (643 ± 11 Ma) is close to that of two micas granite (647 ± 46 Ma: [21]) outcropping in Doua, west of Meiganga. It is not easy in the current geologic setting to consider these rocks to be source rocks of the southern Meiganga crustal-derived magmatic zircons, as those rocks are often found very far from the sampling points of the studied zircons and their host gold bearing placer. They could be detritus from a nearby undated proto-source and source rock or could be polycyclic detritus from the above rocks.
Table 5.
Age correlations between the southern Meiganga detrital zircons and other lithounits in the Congo Craton and in Meiganga.
Mesoarchean, as well as Neoarchean ages of crustal derived igneous zircons are often similar to those from rocks (e.g., charnockite, tonalite, granodiorite, syenite, and granite) found in the Ntem complex (Northern Congo Craton), with just a few links with those from rocks (e.g., garnet-bearing gneiss, meta-quartzite, clinopyroxene syenite, and orthopyroxene-garnet gneiss) of the Nyong Unit (Table 1 and Table 5). Early and Middle Paleoproterozoic aged zircons are mainly similar to those from rocks (e.g., amphibolite, charnockite, meta-granodiorite, meta-syenite, and orthopyroxene-garnet gneiss) found within the Nyong Unit (Table 1 and Table 5). Their presence in the studied area (within the Cameroon Mobile Belt) shows Archean to Paleoproterozoic inheritance, and post-Archean reworking. The Archean to Paleoproterozic igneous zircons inheritance in some metamorphic rocks found at the west of Meiganga was proven by [20] (see Table 1). Plotted in granitoid field (Figure 9, Figure 10 and Figure 11), they could be inherited grains from granite and granodiorite proto-sources with features similar to those of granitoids in the Congo Craton. Those zircons whose plots fall out the various discriminating fields could be inherited grains crystallized in charnockitic and tonalitic magmas, as their ages are close to that of charnockite and tonalite found in the Congo Craton. Those old Archean and Paleoproterozoic rocks were probably reworked with the conservation of some inherited zircons, during the two main tectono-magmatic and metamorphic events (the Eburnean and Pan-African) registered within the Cameroon Mobile Belt.
The age (671 ± 12 Ma) of a metamorphic zircon grown in equilibrium with garnet (MSDZ015) is close to the youngest zircon age (675 Ma: [19]) for amphibole-biotite gneiss found in the west of Meiganga. This rock also hosts Early Paleoproterozic age zircons with some similarities to those of the studied zircons (Table 5). Undated amphibole-biotite gneiss cropping in the south of Meiganga (Figure 1) is the bed-rock of the studied zircon-gold bearing placers. If age extrapolation is possible, it can be suggested that amphibole-biotite gneiss found in the south of Meiganga may be the source rock of part of the detritus forming zircon-gold bearing placers. Indirect sources of the placers can also be pyroxene-amphibole-bearing gneiss, meta-diorite, and two micas granites found within the local settings.
The primary sources of host gold grains are difficult to be directly constrained as gold crystals were not found in placer’s rock fragments or in the underlying and surrounding rocks. The depositional periods of the studied zircons are also not easy to constrain. The unconsolidated nature of their host-sediments and their location in streams may suggest post-Neoproterozoic to recent deposition.
6. Conclusions
The southern Meiganga detrital zircon-gold bearing placers are composed of igneous (crustal derived and mantle origin) and metamorphic zircons (grown in equilibrium with garnet and those grown in equilibrium with an anatectic melt) with different histories of crystallization and from mainly different sources.
Crustal derived igneous zircons were crystallized in granitic magmas with some charnockitic and tonalitic affinities during Eoarchean to Late Neoproterozoic periods. Mantle igneous zircons were crystallized from mantle source magmas during Early Neoarchean to Middle Paleoproterozoic times.
The inherited igneous zircons of Mesoarchean to Middle Paleoproterozoic were probably sorted from pyroxene-amphibole-bearing and amphibole-biotite gneiss, with their features similar to those of rocks in the Congo Craton. Late Neoproterozoic zircons, with ages close to those of meta-diorite and two mica granite found in the NE and west of Meiganga, were probably eroded from unidentified nearby rocks formed in the same periods.
Metamorphic zircons grown in equilibrium with garnet were crystallized in low-Th-REE subsolidus solution during the Pan-African syn-metamorphic crustal event. Metamorphic zircons grown in equilibrium with an anatectic melt were probably crystallized during the Neoarchean and Middle Paleoproterozoic in migrated melts from partial fusion of metamorphic protoliths. These inherited zircons were probably sourced from amphibole-biotite gneiss underlying the zircon-gold-bearing placers.
Author Contributions
Conceptualization, N.S.K.; Data curation, A.P.K.; Funding acquisition, N.S.K.; Methodology, P.R.S.; Project administration, N.S.K.; Software, E.A.A.B.; Validation, G.N.; Writing—review and editing, N.S.K. and A.S.V. All authors have read and agreed to the published version of the manuscript.
Funding
The research was partly funded by Professor John Cottle of the Department of Earth Sciences, and the Earth Research Institute, University of California, Santa Barbara, CA, USA, who financed the laboratory analyses.
Acknowledgments
The authors thank John Cottle of the Department of Earth Sciences, and the Earth Research Institute, University of California, Santa Barbara, CA, USA, for financial support and laboratory facilities. We also thank the personnel at the Department Earth Sciences at this same University, as they analyzed the zircons in this study. Our gratitude to Elena Belousova, Tom Andersen, and David Richard Lentz, whose reviews and comments have helped to improve the original manuscript. The authors also extend their gratitude to the two anonymous reviewers whose detailed and constructive comments helped to improve the manuscript.
Conflicts of Interest
The authors declare no conflict of interest.
References
- Djou, E.S. Prospection des Indices de Minéralisation d’or Dans la Zone de Méiganga-Sud (Nord-Est Cameroun). Master’s Thesis, University Yaoundé I, Yaoundé, Cameroon, 2015. [Google Scholar]
- Kenna, H.S. Prospection des Indices de Minéralisations d’or Dans la Zone de Méiganga Ouest. Master’s Thesis, University Yaoundé I, Yaoundé, Cameroon, 2015. [Google Scholar]
- Morton, C.A.; Claoue-Long, C.J.; Hallsworth, C.R. Zircon age and heavy mineral constraints of North Sea Carboniferous sandstones. Mar. Pet. Geol. 2001, 18, 319–337. [Google Scholar] [CrossRef]
- Belousova, A.E.; Griffin, L.W.; O’Reilly, Y.S.; Fisher, I.N. Igneous zircon: Trace element composition as an indicator of source rock type. J. Miner. Petrol. 2002, 143, 602–622. [Google Scholar] [CrossRef]
- Hoskin, P.W.O.; Schaltegger, U. The composition of zircon and igneous and metamorphic petrogenesis. In Reviews in Mineralogy and Geochemistry; Mineralogical Society of America: Washington, DC, USA, 2003; Volume 53, pp. 27–55. [Google Scholar]
- Kanouo, S.N.; Zaw, K.; Yongue, F.R.; Sutherland, L.F.; Meffre, S.; Njonfang, E.; Ma, C.; Tchouatcha, S.T. U-Pb zircon age constraining the source and provenance of gem-bearing Late Cenozoic detrital deposit, Mamfe Basin, SW Cameroon. Resour. Geol. 2012, 62, 316–324. [Google Scholar] [CrossRef]
- Kanouo, S.N.; Yongue, F.R.; Ekomane, E.; Njonfang, E.; Ma, C.; Lentz, D.R.; She, Z.; Zaw, K.; Venkatesh, A.S. U-Pb ages for zircon grains from Nsanaragati Alluvial Gem Placers: Its correlation to the source rocks. Resour. Geol. 2015, 65, 103–121. [Google Scholar] [CrossRef]
- Kanouo, S.N.; Ekomane, E.; Yongue, F.R.; Njonfang, E.; Zaw, K.; Ma, C.; Ghogomu, R.T.; Lentz, D.R.; Venkatesh, A.S. Trace elements in corundum, chrysoberyl, and zircon: Application to mineral exploration and provenance study of the western Mamfe gem clastic deposits (SW Cameroon, Central Africa). J. Afr. Earth Sci. 2016, 113, 35–50. [Google Scholar] [CrossRef]
- Kanouo, S.N.; Ngueutchoua, G.; Kouske, P.A.; Yongue, F.R.; Venkatesh, A.S. Trace element and U-Pb core age for zircons from western Meiganga gold placer, Cameroon: Their genesis and Archean-Proterozoic sources. Minerals 2018, 8, 194. [Google Scholar] [CrossRef]
- Heaman, L.M.; Bowins, R.; Crocket, J. The chemical composition of igneous zircon suites: Implications for geochemical tracer studies. Geochem. Cosmochem. Acta. 1990, 54, 1597–1607. [Google Scholar] [CrossRef]
- Kanouo, S.N.; Njonfang, E.; Kouské, P.A.; Yongue, F.R.; Ngueutchoua, G. U-Pb zircon age: Preliminary data evaluating the Earth history recorded by two basement rocks (granitic pegmatite and mica-schist) in Mamfe Basin (SW Cameroon, Central Africa). J. Geol. Geophys. 2017, 6, 1–9. [Google Scholar] [CrossRef]
- Cawood, A.P.; Nemchin, A.A. Provenance record of a rift basin: U/Pb ages of detrital zircons from the Perth Basin, Western Australia. J. Sed. Geol. 2000, 134, 209–234. [Google Scholar] [CrossRef]
- Zeh, A.; Gerdes, A.; Klemd, R.; Barton-Jr, M.J. U-Pb and Lu-Hf isotope record of detrital zircon grains from the Limpopo Belt-Evidence for crustal recycling at the Hadean to early-Archean transition. Geochem. Cosmochem. Acta 2008, 72, 5304–5329. [Google Scholar] [CrossRef]
- Gehrels, G. Detrital zircon U-Pb geochronology applied to tectonics. Annu. Rev. Earth Planet. Sci. 2014, 42, 127–149. [Google Scholar] [CrossRef]
- Andersen, T.; Kristoffersen, M.; Elburg, A.M. How far can we trust provenance and crustal evolution information from detrital zircons? A South African case study. Gondwana Res. 2016, 34, 129–148. [Google Scholar] [CrossRef]
- Ganwa, A.A. Les Granitoïdes de Méiganga: Étude Pétrographique, Géochimique, Structurale et Géochronologique: Leur Place dans la Chaîne Panafricaine. Ph.D. Thesis, University Yaoundé I, Yaoundé, Cameroon, 2005. [Google Scholar]
- Abbelsalam, G.M.; Liégeois, P.J.; Stern, J.R. The Saharan Metacraton. J. Afr. Earth Sci. 2002, 34, 119–136. [Google Scholar] [CrossRef]
- Ngako, V.; Njonfang, E.; Affaton, P. Pan-African tectonics in northwestern Cameroon: Implication for the history of the western Gondwana. Gondwana Res. 2008, 14, 509–522. [Google Scholar] [CrossRef]
- Ganwa, A.A.; Siebel, W.; Shang, K.C.; Naimou, S.; Ekodeck, G.E. New constraints from Pb-evaporation zircon ages of the Méiganga amphibole-biotite gneiss, Central Cameroon, on Proterozoic crustal evolution. Int. J. Geosci. 2011, 2, 138–147. [Google Scholar]
- Ganwa, A.A.; Klotzli, S.U.; Hauzenberger, C. Evidence for Archean inheritance in the pre-Pan-African crust of Central Cameroon: Insight from zircon internal structure and LA-MC-ICP-MS U-Pb ages. J. Afr. Earth Sci. 2016, 120, 12–22. [Google Scholar] [CrossRef]
- Kepnamou, D.A.; Ganwa, A.A.; Klötzli, S.U.; Hauzenberger, C.; Ngounouno, I.; Naïmou, S. The Pan-African biotite-muscovite granite and amphibole-biotite granite of Doua (Central Cameroon): Zircon features, LA-MC-ICP-MS U-Pb dating and implication on their tectonic setting. J. Geosci. Geom. 2017, 5, 119–129. [Google Scholar]
- Nédélec, A.; Minyem, D.; Barbey, P. High-P-high-T anatexis of Archean tonalitic grey gneisses: The Eseka migmatites, Cameroon. Precambrian Res. 1993, 62, 191–205. [Google Scholar] [CrossRef]
- Penaye, J.; Toteu, S.F.; Tchameni, R.; Van Schmus, W.R.; Tchakounte, J.; Ganwa, A.; Minyem, D.; Nsifa, E.N. The 2.1 Ga West Central African Belt in Cameroon: Extension and evolution. J. Afr. Earth Sci. 2004, 39, 159–164. [Google Scholar] [CrossRef]
- Maurizot, P.; Abessolo, A.; Feybesse, A.; Johan, J.L.; Lecompte, P. Etude et prospection minière au Sud Ouest Cameroun. Synthèse des travaux de 1978–1985; Technical Report for BRGM; BRGM: Orléans, France, 1986; CMR 066; p. 274. [Google Scholar]
- Tchameni, R.; Mezger, K.; Nsifa, E.; Pouclet, A. Neoarchaean evolution in the Congo Craton: Evidence from K-rich granitoids of the Ntem Complex, Southern Cameroon. J. Afr. Earth Sci. 2000, 30, 133–147. [Google Scholar] [CrossRef]
- Pouclet, A.; Tchameni, R.; Mezger, K.; Vidal, M.; Nsifa, E.; Shang, C.; Penaye, J. Archean crustal accretion at the northern border of the Congo Craton (South Cameroon). The charnockite-TTG link. Bull. Soc. 2007, 5, 331–342. [Google Scholar]
- Nsifa, E.N.; Tchameni, R.; Belinga, S.M.E. De l’existence de FORMATION Catarchéennes Dans le Complexe Cratonique du Ntem (Sud-Cameroun). Project No. 273, Archean Cratonic Rocks of Africa; 1993; Volume 23. [Google Scholar]
- Tchameni, R.; Pouclet, A.; Mezger, K.; Nsifa, N.E.; Vicat, J.P. Monozircon and Sm-Nd whole rock ages from the Ebolowa greenstone belts: Evidence for the terranes older than 2.9 Ga in the Ntem Complex (Congo craton, South Cameroon). J. Cameroon Acad. Sci. 2004, 4, 213–224. [Google Scholar]
- Chombong, N.N.; Suh, C.E.; Ilouga, C.D.C. New detrital zircon U-Pb ages from BIF-related metasediments in the Ntem Complex (Congo craton) of southern Cameroon, West Africa. Nat. Sci. 2013, 5, 835–847. [Google Scholar] [CrossRef]
- Shang, C.K.; Satir, M.; Siebel, W.; Taubald, H.; Nsifa, E.N.; Westphal, M.; Reitter, E. Genesis of K-rich granitoids in the Sangmelima region, Ntem Complex (Congo craton), Cameroon. Terra Nostra 2001, 5, 60–63. [Google Scholar]
- Shang, K.C.; Liégeois, P.J.; Satir, M.; Frisch, W.; Nsifa, E.N. Late Archaean high-K granite geochronology of the northern metacratonic margin of the Archaean Congo craton, Southern Cameroon: Evidence for Pb-loss due to non-metamorphic causes. Gondwana Res. 2010, 18, 337–355. [Google Scholar] [CrossRef]
- Toteu, S.F.; Van Schmus, W.R.; Penaye, J.; Nyobé, J.B. U-Pb and Sm-Nd evidence for Eburnean and Pan-African high-grade metamorphism in cratonic rocks of southern Cameroon. Precambrian Res. 1994, 108, 45–73. [Google Scholar] [CrossRef]
- Vicat, J.P.; Leger, J.M.; Nsifa, N.E.; Piguet, P.; Nzenti, J.P.; Tchameni, R.; Pouclet, A. Distinction au sein du craton congolais du Sud-Ouest du Cameroun, de deux épisodes doléritiques initiant les cycless orogéniques éburnéen (Paléoprotérozoïque) et panafricain (Néoprotérozoïque). C. R. Acad. Sci. Paris 1996, 323, 575–582. [Google Scholar]
- Shang, K.C.; Satir, M.; Nsifa, N.E.; Liégeois, P.J.; Siebel, W.; Taubald, H. Archaean high-K granitoids produced by remelting of earlier Tonalite–Trondhjemite–Granodiorite (TTG) in the Sangmelima region of the Ntem complex of the Congo craton, southern Cameroon. Int. J. Earth Sci. 2007, 96, 817–841. [Google Scholar] [CrossRef]
- Lasserre, M.; Soba, D. Age Libérien des granodiorites et des gneiss à pyroxènes du Cameroun Méridional. Bull. BRGM 1976, 2, 17–32. [Google Scholar]
- Toteu, S.F.; Penaye, J.; Michard, A. New U-Pb and Sm-Nd data from North-Central Cameroon and its bearing on the pre-Pan-African history of central Africa. Precambrian Res. 2001, 108, 45–73. [Google Scholar] [CrossRef]
- Lerouge, C.; Cocherie, A.; Toteu, F.S.; Penaye, J.; Mile, P.J.; Tchameni, R.; Nsifa, N.E.; Fanning, M.C.; Deloule, E. Shrimp U-Pb zircon age evidence for Paleoproterozoic sedimentation and 2.05 Ga syntectonic plutonism in the Nyong Group, South-Western Cameroon: Consequences for the Eburnean-Transamazonian belt of NE Brazil and Central Africa. J. Afr. Earth Sci. 2006, 44, 412–427. [Google Scholar] [CrossRef]
- Owona, S. Archean-Eburnean and Pan-African Features and Relationships in Their Junction Zone in the South of Yaoundé (Cameroon). Ph.D. Thesis, University Douala, Douala, Cameroon, 2008. [Google Scholar]
- Delhal, J.; Ledent, D. Données Géochronologiques sur le Complexe Calco·Magnésien du Sud-Cameroun; Technical Report for Department of Geology and Mineralogy of the Royal Museum for Central Africa: Tervuren, Belgium, 1975; pp. 71–76. [Google Scholar]
- Tetsopgang, S.; Suzuki, K.; Adachi, M. Preliminary CHIME dating of granites from Nkambe area, northwestern Cameroon. J. Earth Planet. Sci. Nagoya Univ. 1999, 46, 57–70. [Google Scholar]
- Tetsopgang, S.; Suzuki, K.; Njonfang, E. Petrology and CHIME geochronology of Pan-African high K and Sr/Y granitoids in the Nkambe area, Cameroon. Gondwana Res. 2008, 14, 686–699. [Google Scholar] [CrossRef]
- Tagne-Kamga, G. Petrogenesis of the Neoproterozoic Ngondo igneous plutonic complex (Cameroon, west central Africa): A case of late collisional ferro-potassic magmatism. J. Afr. Earth Sci. 2003, 36, 149–171. [Google Scholar] [CrossRef]
- Njiosseu, T.L.E.; Nzenti, P.J.; Njanko, T.; Kapajika, B.; Nédélec, A. New U-Pb zircon ages from Tonga (Cameroon): Coexisting Eburnian-Transmazonian (2.1 Ga) and Pan-African (0.6 Ga) imprints. C. R. Geosci. 2005, 337, 551–562. [Google Scholar] [CrossRef]
- Ganwa, A.A.; Frisch, W.; Siebel, W.; Ekodeck, E.G.; Shang, K.C.; Ngako, V. Archean inheritances in the pyroxene-amphibole-bearing gneiss of the Méiganga area (Central North Cameroon): Geochemical and 207Pb/206Pb age imprints. C. R. Geosci. 2008, 340, 211–222. [Google Scholar] [CrossRef]
- Nzenti, J.P.; Barbey, P.; Macaudiere, J.; Soba, D. Origin and evolution of the Late Precambrian high-grade Yaoundé gneisses (Cameroon). Precambrian Res. 1988, 38, 91–109. [Google Scholar] [CrossRef]
- Tchakounté, N.J.; Toteu, F.S.; Van Schmus, R.W.; Penaye, J.; Deloule, E.; Ondoua, M.J.; Houketchang, B.M.; Ganwa, A.A.; White, M.W. Evidence of ca 1.6 Ga detrital zircon in Bafia group (Cameroon): Implication for chronostratigraphy of the Pan-African Belt north of the Congo craton. C. R. Geosci. 2007, 339, 132–142. [Google Scholar] [CrossRef]
- Ganwa, A.A.; Frisch, W.; Siebel, W.; Shang, C.K. Geochemistry of magmatic rocks and time constraints on deformational phases and shear zone slip in the Méiganga area, Central Cameroon. Int. Geol. Rev. 2011, 53, 759–784. [Google Scholar] [CrossRef]
- Ganwa, A.A.; Klötzli, S.U.; Kepnamou, D.A.; Hauzenberger, C. Multiple Ediacaran tectono-metamorphic events in the Adamawa-Yadé Domain of the Central Africa Fold Belt: Insight from the zircon U-Pb LAM-ICP-MS geochronology of the metadiorite of Meiganga (Central Cameroon). Geol. J. 2018, 1–14. [Google Scholar] [CrossRef]
- Shang, C.K.; Siebel, W.; Satir, M.; Chen, F.; Mvondo, J.O. Zircon Pb-Pb and U-Pb systematics of TTG rocks in the Congo craton: Constraints of crustal formation, crystallization and Pan-African lead loss. Bull. Geosci. 2004, 79, 205–219. [Google Scholar]
- Kornprobst, J.; Cantagrel, J.M.; Fabries, J.; Lasserre, M.; Rollet, M.; Soba, D. Existence in Cameroon of a Pan-African or older alkaline magmatism, the nepheline syenite with mboziite of Nkonglong; comparison with the known alkaline rocks of the same region. Bull. Soci. Geol. France 1976, 18, 1295–1305. [Google Scholar] [CrossRef]
- Tchameni, R.; Mezger, K.; Nsifa, N.E.; Pouclet, A. Crustal origin of Early Proterozoic syenites in the Congo craton (Ntem complex), South Cameroon. Lithos 2001, 57, 23–42. [Google Scholar] [CrossRef]
- Toteu, S.F.; Penaye, J.; Poudjom Djomani, Y.H. Geodynamic evolution of the Pan-African belt in Central Africa with special reference to Cameroon. Can. J. Earth Sci. 2004, 41, 73–85. [Google Scholar] [CrossRef]
- Lassere, M. Carte Géologique de Reconnaissance à l’échelle du 1/500 000 Territoire du Cameroun, Ngaoundéré Est. Dir. Mines Géol. Cameroun, Yaoundé, 1 carte et notice. 1961. [Google Scholar]
- Parfenoff, A.; Pomerol, C.; Tourenq, J. Les Minéraux en Grains. Méthodes D’étude et Détermination; Masson et Cie Edition: Paris, France, 1970. [Google Scholar]
- Kanouo, S.N. Geology of the Western Mamfe Corundum Deposits, SW Region Cameroon: Petrography, Geochemistry, Geochronology, Genesis, and Origin. Ph.D. Thesis, University Yaoundé I, Yaoundé, Cameroon, 2014. [Google Scholar]
- Cottle, J.M.; Waters, D.J.; Riley, D. Metamorphic history of the South Tibetan Detachment System, Mt. Everest region, revealed by RSCM thermometry and phase equilibria modelling. J. Metamorph. Geol. 2011, 29, 561–582. [Google Scholar] [CrossRef]
- Cottle, J.M.; Burrows, A.J.; Kylander-Clark, A.; Freedman, P.A.; Cohen, R. Enhanced sensitivity in laser ablation multi-collector inductively coupled plasma mass spectrometry. J. Anal. At. Spectrom. 2013, 28, 1700–1706. [Google Scholar] [CrossRef]
- Kylander-Clark, A.R.C.; Hacker, B.R.; Cottle, J.M. Laser-ablation split-stream ICP petrochronology. Chem. Geol. 2013, 345, 99–112. [Google Scholar] [CrossRef]
- Paton, C.; Woodhead, J.; Hellstrom, J.; Hergt, J.; Greig, A.; Maas, R. Improved laser ablation U-Pb zircon geochronology through robust down hole fractionation correction. Geochem. Geophys. Geosyst. 2010, 11, 1–36. [Google Scholar] [CrossRef]
- Wiedenbeck, M.; Alle, P.; Corfu, F.; Grin, W.; Meier, M.; Oberli, F.; Von Quadt, A.; Roddick, J.; Spiegel, W. Three natural zircon standards for U-Th-Pb, Lu-Hf, trace element and REE analyses. Geostand. Newslett. 1995, 19, 1–23. [Google Scholar] [CrossRef]
- Jackson, S.; Pearson, N.; Griffin, W.; Belousova, E. The application of laser ablation-inductively coupled plasma-mass spectrometry to in situ U/Pb zircon geochronology. Chem. Geol. 2004, 657, 47–69. [Google Scholar] [CrossRef]
- Ludwig, K. User’s Manual for Isoplot 2.4: A Geochronological Toolkit for Microsoft Excel; Berkeley Geochronology Center: Berkeley, CA, USA, 2012. [Google Scholar]
- Vermeesch, P. On the visualisation of detrital age distributions. Chem. Geol. 2012, 312–313, 190–194. [Google Scholar] [CrossRef]
- Steiger, R.; Jager, E. Subcommission on geochronology: Convention on the use of decay constants in geo and cosmochronology. Earth Planet. Sci. Lett. 1977, 36, 359–362. [Google Scholar] [CrossRef]
- Konzett, J.; Armstrong, R.A.; Sweeny, R.J.; Compston, W. The timing of Marid suite metasomatism in the Kaapvaal mantle: An ion probe study of zircons from Marid xenoliths. Earth Planet. Sci. Lett. 1998, 160, 133–145. [Google Scholar] [CrossRef]
- Kirkland, C.L.; Smithies, R.H.; Taylor, R.J.M.; Evans, N.; McDonald, B. Zircon Th/U ratios in magmatic environs. Lithos 2015, 212–215, 397–414. [Google Scholar] [CrossRef]
- Hiess, J.; Nutman, A.P.; Bennett, V.C.; Holden, P. Ti-in-zircon thermometry applied to contrasting Archean metamorphic and igneous systems. Chem. Geol. 2008, 247, 323–338. [Google Scholar] [CrossRef]
- Rubatto, D. Zircon trace element geochemistry: Partitioning with garnet and link between U-Pb ages and metamorphism. Chem. Geol. 2002, 184, 123–138. [Google Scholar] [CrossRef]
- McDonough, F.W.; Sun, S.S. The composition of the Earth. Chem. Geol. 1995, 120, 223–253. [Google Scholar] [CrossRef]
- Mbih, P.K.; Sebastien Meffre, S.; Yongue, F.R.; Kanouo, S.N.; Jay, T. Chemistry and origin of the Mayo Kila sapphires, NW region Cameroon (Central Africa): Their possible relationship with the Cameroon volcanic line. J. Afr. Earth Sci. 2016, 118, 263–273. [Google Scholar] [CrossRef]
- Veevers, J.J.; Belousova, A.E.; Saeed, A.; Sircombe, K.; Cooper, F.A.; Read, E.S. Pan-Gondwanaland detrital zircons from Australia analyzed for Hf-isotopes and trace elements reflect an ice-covered Antarctic provenance of 700–500 Ma age, TDM of 2.0–1.0 Ga, and alkaline affinity. Earth Sci. Rev. 2006, 76, 135–174. [Google Scholar] [CrossRef]
- Gromet, P.L.; Silver, T.L. Rare earth element distributions among minerals in a granodiorite and their petrogenetic implications. Geochem. Cosmochem. Acta. 1983, 47, 925–939. [Google Scholar] [CrossRef]
- Pettke, T.; Audétat, A.; Schaltegger, U.; Heinrich, C.A. Magmatic-to-hydrothermal crystallization in the W-Sn mineralized Mole Granite (NSW, Australia): Part II: Evolving zircon and thorite trace element chemistry. Chem. Geol. 2005, 220, 191–213. [Google Scholar] [CrossRef]
- Abduriyim, A.; Sutherland, L.F.; Belousova, A.E. U-Pb age and origin of gem zircon from the New England sapphire fields, New South Wales, Australia. Aust. J. Earth Sci. 2012, 59, 1067–1081. [Google Scholar] [CrossRef]
- Belousova, A.E.; Griffin, L.W.; Pearson, J.N. Trace element composition and cathodoluminesence properties of southern African kimberlitic zircons. Mineral. Mag. 1998, 62, 355–366. [Google Scholar] [CrossRef]
- Hoskin, P.W.O.; Black, L.P. Metamorphic zircon formation by solid-state recrystallization of protolith ignous zircon. J. Met. Petrol. 2000, 18, 423–439. [Google Scholar] [CrossRef]
- Green, H.D.; Falloon, J.T.; Eggins, M.S.; Yaxley, M.G. Primary magmas and mantle temperatures. Eur. J. Mineral. 2001, 13, 437–451. [Google Scholar] [CrossRef]
- Pattison, M.R.D.; Chacko, T.; Farquhar, J.; Mcfarlane, M.R.C. Temperatures of granulite-facies metamorphism: Constraints from experimental phase equilibria and thermobarometry corrected for retrograde exchange. J. Petrol. 2003, 44, 867–900. [Google Scholar] [CrossRef]
Publisher’s Note: MDPI stays neutral with regard to jurisdictional claims in published maps and institutional affiliations. |
© 2021 by the authors. Licensee MDPI, Basel, Switzerland. This article is an open access article distributed under the terms and conditions of the Creative Commons Attribution (CC BY) license (http://creativecommons.org/licenses/by/4.0/).











